Textural Properties of Carbopol® Gel with Curcumin and Curcumin–HPβCD Inclusion Complex and Biological Activities
Abstract
1. Introduction
2. Results and Discussion
2.1. Antioxidant Activity of Curcumin and Curcumin/2-Hydroxypropyl-β-Cyclodextrin Inclusion Complex
2.1.1. DPPH Test
2.1.2. ABTS Test
2.1.3. FRAP Test
2.2. Antimicrobial Activity of Curcumin and Curcumin/2-Hydroxypropyl-β-Cyclodextrin Inclusion Complex
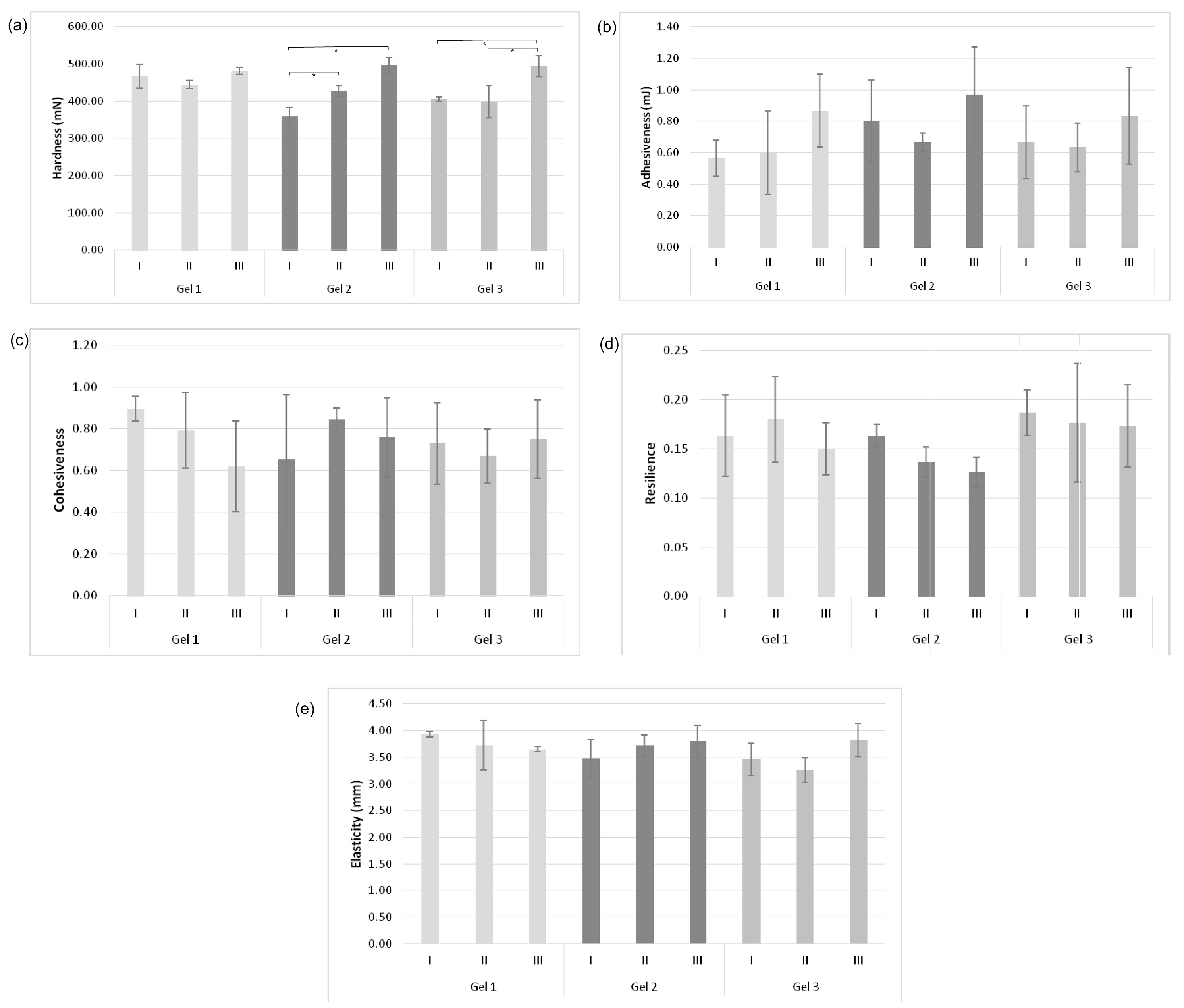
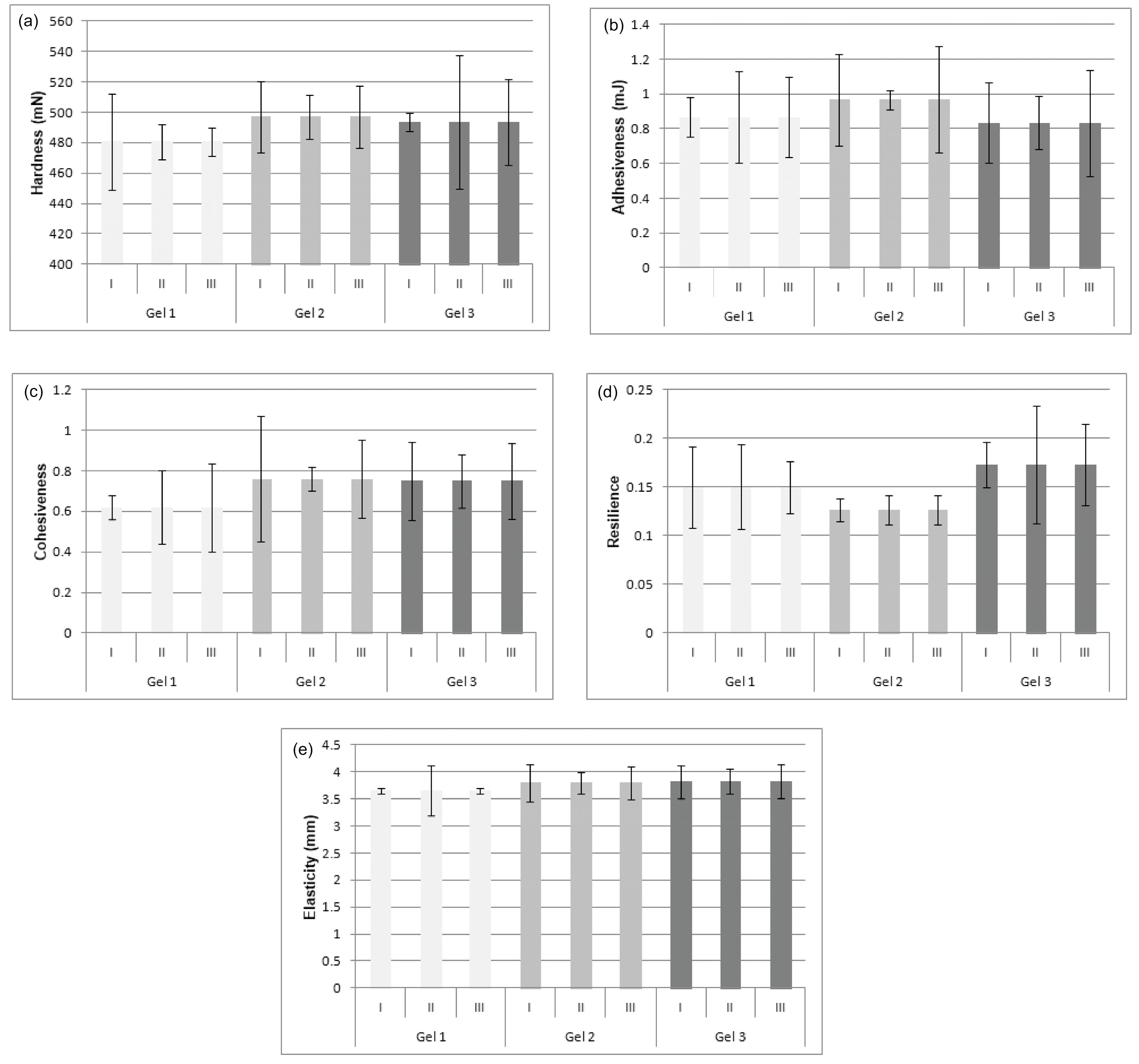
2.3. Texture Analysis
2.4. Scanning Electron Microscopy (SEM)
2.5. Swelling of Gels
2.6. Rheological Evaluation
2.7. The Release of Curcumin from Gels
3. Conclusions
4. Materials and Methods
4.1. Material
4.2. Preparation of Curcumin/2-Hydroxypropyl-β-Cyclodextrin Inclusion Complex
4.3. Preparation of Physical Mixture
4.4. Preparation of Hydrophilic Carbopol® Gel with Curcumin and Curcumin/2-Hydroxypropyl-β-Cyclodextrin Inclusion Complex
4.5. Antioxidant Activity of Curcumin and Curcumin/2-Hydroxypropyl-β-Cyclodextrin Inclusion Complex
4.5.1. DPPH Test
4.5.2. ABTS Test
4.5.3. FRAP Test
4.6. Antimicrobial Activity of Curcumin and Curcumin/2-Hydroxypropyl-β-Cyclodextrin Inclusion Complex
4.6.1. Micro-Dilution Method
4.6.2. Statistical Data Processing
4.7. Texture Analysis of Carbopol® Gel with Curcumin and Curcumin.2-Hydroxypropyl-β-Cyclodextrin Inclusion Complex
- Load cell: 10 kg
- Probe speed: 1.5 mm/s
- Deformation: 5 mm
- Initial load: 50 mN.
4.8. Scanning Electron Microscopy (SEM)
4.9. Swelling of Gels
4.10. Rheological Evaluation
4.11. Release of Curcumin from Gels
4.12. Determination of the Concentration of Curcumin by Using High Pressure Liquid Chromatography (HPLC)
Author Contributions
Funding
Institutional Review Board Statement
Informed Consent Statement
Data Availability Statement
Acknowledgments
Conflicts of Interest
References
- Safitri, F.I.; Nawangsari, D.; Febrina, D. Overview: Application of carbopol 940 in gel. In Proceedings of the International Conference on Health and Medical Sciences (AHMS 2020), Virtual Conference, Yogyakarta, Indonesia, 18 July 2020; Atlantis Press: Amsterdam, The Netherlands, 2021; Volume 34, pp. 80–84. [Google Scholar] [CrossRef]
- Islam, M.T.; Rodriguez-Hornedo, N.; Ciotti, S.; Ackermann, C. Rheological characterization of topical carbomer gels neutralized to different pH. Pharm. Res. 2004, 21, 1192–1199. [Google Scholar] [CrossRef]
- Martinović, M.; Stojanović, N.; Nešić, I. Textural and sensory characterization of carbomeric gels with panthenol. Acta Fac. Med. Naiss. 2022, 39, 232–243. [Google Scholar] [CrossRef]
- Kumara, M. Viscoelastic properties and rheological characterization of carbomers. Int. J. Eng. Res. Technol. 2015, 1, 17–30. [Google Scholar]
- Ergashev, S.U. Important Properties of Carbomer. Int. J. Hum. Comput. Stud. 2021, 3, 34–35. [Google Scholar]
- Slavkova, M.; Tzankov, B.; Popova, T.; Voycheva, C. Gel formulations for topical treatment of skin cancer: A review. Gels 2023, 9, 352. [Google Scholar] [CrossRef] [PubMed]
- Aiyalu, R.; Govindarjan, A.; Ramasamy, A. Formulation and evaluation of topical herbal gel for the treatment of arthritis in animal model. Braz. J. Pharm. Sci. 2016, 52, 493–507. [Google Scholar] [CrossRef]
- Cicalău, G.I.P.; Miere, F.; Mandal, A.K.; Ganea, M.; Scrobota, I.; Ciavoi, G.; Jurca, C.M. Formulation and Characterization of Hydrophilic Ointment Bases with Carvacrol and Magnolol for Periodontal Application. Pharmacophore 2022, 13, 26–32. [Google Scholar] [CrossRef]
- Kusuma, S.A.F.; Abdassah, M.; Valas, B.E. Formulation and evaluation of anti acne gel containing citrus aurantifolia fruit juice using carbopol as gelling agent. Int. J. Appl. Pharm. 2018, 10, 147–152. [Google Scholar] [CrossRef]
- Ternullo, S.; Gagnat, E.; Julin, K.; Johannessen, M.; Basnet, P.; Vanić, Z.; Škalko-Basnet, N. Liposomes augment biological benefits of curcumin for multitargeted skin therapy. Eur. J. Pharm. Biopharm. 2019, 144, 154–164. [Google Scholar] [CrossRef] [PubMed]
- Mansouri, K.; Rasoulpoor, S.; Daneshkhah, A.; Abolfathi, S.; Salari, N.; Mohammadi, M.; Rasoulpoor, S.; Shabani, S. Clinical effects of curcumin in enhancing cancer therapy: A systematic review. BMC Cancer 2020, 20, 791. [Google Scholar] [CrossRef]
- Farhat, F.; Sohail, S.S.; Siddiqui, F.; Irshad, R.R.; Madsen, D.Ø. Curcumin in wound healing—A bibliometric analysis. Life 2023, 13, 143. [Google Scholar] [CrossRef]
- Patel, N.A.; Patel, N.J.; Patel, R.P. Formulation and evaluation of curcumin gel for topical application. Pharm. Dev. Technol. 2009, 14, 83–92. [Google Scholar] [CrossRef] [PubMed]
- Kim, J.; Park, S.; Jeon, B.S.; Jang, W.S.; Lee, S.J.; Son, Y.; Lee, S.S. Therapeutic effect of topical application of curcumin during treatment of radiation burns in a mini-pig model. J. Vet. Sci. 2016, 17, 435. [Google Scholar] [CrossRef] [PubMed]
- Shuja, M.; Majeed, I.; Riaz, T.; Waqar, M.A.; Tabassam, N.; Mehboob, T.; Imtiaz, A. Formulation of Aloe vera based curcumin topical gel and its in-vitro evaluation. Pak. J. Pharm. Sci. 2023, 36, 1719–1727. [Google Scholar] [PubMed]
- Sarangi, M.K.; Padhi, S. Novel Herbal Drug Delivery System: An Overview. Arch. Med. Health Sci. 2018, 6, 171–179. [Google Scholar] [CrossRef]
- Chemban, S.A.; Kaur, L.; Singh, G.; Dhawan, R.; Kaur, N.; Kaur, N. Techniques for enhancing the solubility of poorly water-soluble drugs: A comparative review. J. Int. Res. Med. Pharm. Sci. 2021, 16, 46–58. [Google Scholar]
- Purpura, M.; Lowery, R.P.; Wilson, J.M.; Mannan, H.; Münch, G.; Razmovski-Naumovski, V. Analysis of different innovative formulations of curcumin for improved relative oral bioavailability in human subjects. Eur. J. Nutr. 2018, 57, 929–938. [Google Scholar] [CrossRef]
- Li, N.; Wang, N.; Wu, T.; Qiu, C.; Wang, X.; Jiang, S.; Zhang, Z.; Liu, T.; Wei, C.; Wang, T. Preparation of curcumin:hydroxypropyl-β-cyclodextrin inclusion complex by cosolvency-lyophilization procedure to enhance oral bioavailability of the drug. Drug Dev. Ind. Pharm. 2018, 44, 1966–1974. [Google Scholar] [CrossRef]
- Zeng, Y.; Lv, Y.; Hu, M.; Guo, F.; Zhang, C. Curcumin:loaded hydroxypropyl-β-cyclodextrin inclusion complex with enhanced dissolution and oral bioavailability for epilepsy treatment. Xenobiotica 2022, 52, 718–728. [Google Scholar] [CrossRef]
- Jiang, L.; Xia, N.; Wang, F.; Xie, C.; Ye, R.; Tang, H.; Zhang, H.; Liu, Y. Preparation and characterization of curcumin/β-cyclodextrin nanoparticles by nanoprecipitation to improve the stability and bioavailability of curcumin. LWT 2022, 171, 114149. [Google Scholar] [CrossRef]
- Di Lorenzo, R.; Forgione, F.; Bernardi, A.; Sacchi, A.; Laneri, S.; Greco, G. Clinical studies on topical curcumin. Skin Pharmacol. Physiol. 2024, 36, 235–248. [Google Scholar] [CrossRef] [PubMed]
- Dehghani, S.; Dalirfardouei, R.; Jafari Najaf Abadi, M.H.; Ebrahimi Nik, M.; Jaafari, M.R.; Mahdipour, E. Topical application of curcumin regulates the angiogenesis in diabetic-impaired cutaneous wound. Cell Biochem Funct. 2020, 38, 558–566. [Google Scholar] [CrossRef]
- Shahbandeh, M.; Salehi, M.A.; Soltanyzadeh, M.; Mirzaei, M.; Maleki, A.; Fatemi, M.J.; Mirnejad, R.; Dahmardehei, M. Evaluation of the Antibacterial and Wound Healing Properties of a Burn Ointment Containing Curcumin, Honey, and Potassium Aluminium. arXiv 2022, arXiv:2211.11939. [Google Scholar] [CrossRef]
- Shefa, A.A.; Sultana, T.; Park, M.K.; Lee, S.Y.; Gwon, J.-G.; Lee, B.-T. Curcumin incorporation into an oxidized cellulose nanofiber-polyvinyl alcohol hydrogel system promotes wound healing. Mater. Des. 2020, 186, 108313. [Google Scholar] [CrossRef]
- Ciarleglio, G.; Cinti, F.; Toto, E.; Santonicola, M.G. Synthesis and characterization of alginate gel beads with embedded zeolite structures as carriers of hydrophobic curcumin. Gels 2023, 9, 714. [Google Scholar] [CrossRef] [PubMed]
- Yan, Y.; Kulsoom; Sun, Y.; Li, Y.; Wang, Z.; Xue, L.; Wang, F. Advancing cancer therapy: Nanomaterial-based encapsulation strategies for enhanced delivery and efficacy of curcumin. Mater. Today Bio 2025, 33, 101963. [Google Scholar] [CrossRef]
- Sarfaraz, S.; Zaidi, M.B.; Jabbar, A.; Khalid, M.; Shafeeq, S.; Aslam, F.; Shah, M.R.; Zafar, U.; Ul Qader, S.A.; Roome, T. Enhancement of wound healing via conjugated polymeric serum of curcumin, silver, and metal–organic frameworks. J. Drug Deliv. Sci. Technol. 2026, 115, 107577. [Google Scholar] [CrossRef]
- Deng, X.; Ratnayake, J.; Ali, A. Curcumin-Loaded Drug Delivery Systems for Acute and Chronic Wound Management: A Review. Bioengineering 2025, 12, 860. [Google Scholar] [CrossRef]
- Li, X.; Chen, S.; Zhang, B.; Li, M.; Diao, K.; Zhang, Z.; Li, J.; Xu, Y.; Wang, X.; Chen, H. In situ injectable nano-composite hydrogel composed of curcumin, N,O-carboxymethyl chitosan and oxidized alginate for wound healing application. Int. J. Pharm. 2012, 437, 110–119. [Google Scholar] [CrossRef]
- Gong, C.; Wu, Q.; Wang, Y.; Zhang, D.; Luo, F.; Zhao, X.; Wei, Y.; Qian, Z. A biodegradable hydrogel system containing curcumin encapsulated in micelles for cutaneous wound healing. Biomaterials 2013, 34, 6377–6387. [Google Scholar] [CrossRef]
- Pham, L.; Dang, L.H.; Truong, M.D.; Nguyen, T.H.; Le, L.; Le, V.T.; Nam, N.D.; Bach, L.G.; Nguyen, V.T.; Tran, N.Q. A dual synergistic of curcumin and gelatin on thermal-responsive hydrogel based on Chitosan-P123 in wound healing application. Biomed. Pharmacother. 2019, 117, 109183. [Google Scholar] [CrossRef]
- Zhang, Z.; Chen, H.; Shen, W.; Deng, J.; Bai, C.; Xiao, Y.; Lyu, L. Localized delivery of curcumin by thermosensitive hydrogels for promoting wound healing. J. Cosmet. Dermatol. 2022, 21, 5081–5091. [Google Scholar] [CrossRef] [PubMed]
- Ternullo, S.; Schulte Werning, L.V.; Holsaeter, A.M.; Skalko-Basnet, N. Curcumin-In-Deformable Liposomes-In-Chitosan-Hydrogel as a Novel Wound Dressing. Pharmaceutics 2019, 12, 8. [Google Scholar] [CrossRef] [PubMed]
- Song, Z.; Wen, Y.; Teng, F.; Wang, M.; Liu, N.; Feng, R. Carbopol 940 hydrogel containing curcumin-loaded micelles for skin delivery and application in inflammation treatment and wound healing. New J. Chem. 2022, 46, 3674–3686. [Google Scholar] [CrossRef]
- Senthil, R.; Pradeep Kumar, R.; Sravanthy, P.G. Dual-drug-loaded carbopol gel for enhanced oral wound healing: A curcumin–ciprofloxacin-based therapeutic approach. Oral Maxillofac. Surg. 2026, 30, 3. [Google Scholar] [CrossRef] [PubMed]
- Hurler, J.; Engesland, A.; Poorahmary Kermany, B.; Škalko-Basnet, N. Improved texture analysis for hydrogel characterization: Gel cohesiveness, adhesiveness, and hardness. J. Appl. Polym. Sci. 2012, 125, 180–188. [Google Scholar] [CrossRef]
- Carvalho, F.C.; Calixto, G.; Hatakeyama, I.N.; Luz, G.M.; Gremião, M.P.D.; Chorilli, M. Rheological, mechanical, and bioadhesive behavior of hydrogels to optimize skin delivery systems. Drug Dev. Ind. Pharm. 2013, 39, 1750–1757. [Google Scholar] [CrossRef]
- Nikolić, L.; Urošević, M.; Nikolić, V.; Gajić, I.; Dinić, A.; Miljković, V.; Rakić, S.; Đokić, S.; Kesić, J.; Ilić-Stojanović, S.; et al. The formulation of curcumin:2-hydroxypropyl-β-cyclodextrin complex with smart hydrogel for prolonged release of curcumin. Pharmaceutics 2023, 15, 382. [Google Scholar] [CrossRef]
- Tang, B.; Ma, L.; Wang, H.Y.; Zhang, G.Y. Study on the supramolecular interaction of curcumin and β-cyclodextrin by spectrophotometry and its analytical application. J. Agric. Food Chem. 2002, 50, 1355–1361. [Google Scholar] [CrossRef]
- Stanojević, L.; Stanojević, J.; Cvetković, D.; Cakić, M.; Ilić, D. Antioksidativna aktivnost etanolnogekstraktalistagajene jagode (Fragariae folium). Hem. Ind. 2015, 69, 567–576. [Google Scholar] [CrossRef]
- Bayomi, S.M.; El-Kashef, H.A.; El-Ashmawy, M.B.; Nasr, M.N.; El-Sherbeny, M.A.; Badria, F.A.; Abdel-Aziz, N.I. Synthesis and biological evaluation of new curcumin derivatives as antioxidant and antitumor agents. Med. Chem. Res. 2013, 22, 1147–1162. [Google Scholar] [CrossRef]
- Bhullar, K.S.; Jha, A.; Youssef, D.; Rupasinghe, H.P.V. Curcumin and Its Carbocyclic Analogs: Structure-Activity in Relation to Antioxidant and Selected Biological Properties. Molecules 2013, 18, 5389–5404. [Google Scholar] [CrossRef]
- Adamczak, A.; Ożarowski, M.; Karpiński, T.M. Curcumin, a natural antimicrobial agent with strain-specific activity. Pharmaceuticals 2020, 13, 153. [Google Scholar] [CrossRef]
- Wang, Z.; Jia, Y.; Zhang, M. Effect of curcumin on the quality properties of millet fresh noodle and its inhibitory mechanism against the isolated spoilage bacteria. Food Sci. Nutr. 2020, 8, 1451–1460. [Google Scholar] [CrossRef]
- Sharadha, M.; Gowda, D.; Vishal Gupta, N.; Akhila, A. An overview on topical drug delivery system updated review. Int. J. Res. Pharm. Sci. 2020, 11, 368–385. [Google Scholar] [CrossRef]
- Jackson, L.M.; Schwinn, D.A.; National Academies of Sciences, Engineering, and Medicine. Commissioned Paper: Topical Dosage Form Development and Evaluation. In Compounded Topical Pain Creams: Review of Select Ingredients for Safety, Effectiveness, and Use; National Academies Press: Washington, DC, USA, 2020. [Google Scholar] [CrossRef]
- Metta, S.; Amir, K.M.; Lakshmi, M.S.; Devi, P.; Shruthi, K. A Review: Pharmaceutical Gels and Its Types with Prominence Role of Its Drug Delivery Systems. Int. J. Res. Anal. Rev. 2023, 10, 686–701. [Google Scholar]
- Kim, J.; Kim, M.J.; Lee, K.Y. Wound healing effect of curcumin gel for transdermal delivery. Polym. Korea 2013, 37, 387–392. [Google Scholar] [CrossRef][Green Version]
- Jones, D.S.; Woolfson, A.D.; Brown, A.F. Textural, viscoelastic and mucoadhesive properties of pharmaceutical gels composed of cellulose polymers. Int. J. Pharm. 1997, 151, 223–233. [Google Scholar] [CrossRef]
- Fossa Shirata, M.M.; Campos, P.M.B.G. Influence of UV filters on the texture profile and efficacy of a cosmetic formulation. Int. J. Cosmet. Sci. 2017, 39, 622–628. [Google Scholar] [CrossRef] [PubMed]
- Cevher, E.; Taha, M.A.M.; Orlu, M.; Araman, A. Evaluation of mechanical and mucoadhesive properties of clomiphene citrate gel formulations containing carbomers and their thiolated derivatives. Drug Deliv. 2008, 15, 57–67. [Google Scholar] [CrossRef] [PubMed]
- Vuleta, G.; Milić, J. Magistralne Formule: MF 2008; Farmaceutsko društvo Srbije: Beograd, Srbija, 2008. [Google Scholar]
- Re, R.; Pellegrini, N.; Proteggente, A.; Pannala, A.; Yang, M.; Rice Evans, C. Antioxidant activity applying an improved ABTS radical cation decolorization assay. Free Radic. Biol. Med. 1999, 26, 1231–1237. [Google Scholar] [CrossRef] [PubMed]
- Benzie, I.F.F.; Strain, J.J. The Ferric Reducing Ability of Plasma (Frap) as a Measure of “Antioxidant Power”: The Frap Assay. Anal. Biochem. 1996, 239, 70–76. [Google Scholar] [CrossRef] [PubMed]
- CLSI—Clinical and Laboratory Standards Institute. Methods for Dilution Antimicrobial Susceptibility Test for Bacteria That Grow Aerobically, 9th ed; Approved Standard; CLSI Document M07-A9; CLSI: Wayne, PA, USA, 2012. [Google Scholar]









| Tested Samples | Curcumin | Curcumin in the Complex | Antibiotics | |
|---|---|---|---|---|
| Microbial Strains | Source | MIC/MBC (mg/cm3) | MIC/MBC (mg/cm3) | MIC/MBC (μg/cm3) |
| Gram (+) bacteria | ATCC | Chloramphenicol | ||
| Staphylococcus aureus | 6538 | 0.39/25.0 | 0.037/4.82 | 7.81/15.61 |
| Enterococcus faecalis | 29212 | 0.78/25.0 | 0.005/4.82 | 3.91/7.81 |
| Streptococcus pneumoniae | 6301 | 1.56/>25.0 | 0.134/>4.82 | 0.06/0.12 |
| Streptococcus pyogenes | 19615 | 0.39/25.0 | 0.037/4.82 | 0.25/0.49 |
| Bacillus cereus | 11778 | 0.19/>25.0 | 0.037/>4.82 | 7.81/15.61 |
| Gram (-) bacteria | ATCC | Streptomycin | ||
| Pseudomonas aeruginosa | 9027 | 12.5/>25.0 | 0.037/>4.82 | 0.60/0.60 |
| Salmonella enteritidis | 13076 | 0.78/>25.0 | 0.075/>4.82 | 0.30/0.30 |
| Escherichia coli | 8739 | 12.5/>25.0 | 0.037/>4.82 | 0.16/0.16 |
| Enterobacter aerogenes | 13048 | 12.5/>25.0 | 0.134/>4.82 | 0.60/0.60 |
| Fungus | ATCC | MIC/MFC (mg/cm3) | MIC/MFC (mg/cm3) | Nystatin (μg/cm3) |
| Candida albicans | 24433 | 25.0/>25.0 | 0.037/>4.82 | 3.91/7.81 |
| Components | Function | Gel Composition (%, w/w) |
|---|---|---|
| Carbopol 940® | Gelling agent | 1.00 |
| Propylene glycol | Humectant | 10.00 |
| Triethanolamine, 10% | Neutralizer | 14.00 |
| Purified water | Water phase | 100 |
| Gel 1 (g) | Gel 2 (g) | Gel 3 (g) | |
|---|---|---|---|
| Curcumin | 0.2 | ||
| Curcumin inclusion complex | 1.3 | ||
| Carbopol® gel | to 200 | to 200 | to 200 |
Disclaimer/Publisher’s Note: The statements, opinions and data contained in all publications are solely those of the individual author(s) and contributor(s) and not of MDPI and/or the editor(s). MDPI and/or the editor(s) disclaim responsibility for any injury to people or property resulting from any ideas, methods, instructions or products referred to in the content. |
© 2026 by the authors. Licensee MDPI, Basel, Switzerland. This article is an open access article distributed under the terms and conditions of the Creative Commons Attribution (CC BY) license.
Share and Cite
Urošević, M.; Nikolić, V.; Savić, V.; Mihajilov-Krstev, T.; Gajić, I.; Dinić, A.; Martinović, M.; Nikolić, L. Textural Properties of Carbopol® Gel with Curcumin and Curcumin–HPβCD Inclusion Complex and Biological Activities. Gels 2026, 12, 77. https://doi.org/10.3390/gels12010077
Urošević M, Nikolić V, Savić V, Mihajilov-Krstev T, Gajić I, Dinić A, Martinović M, Nikolić L. Textural Properties of Carbopol® Gel with Curcumin and Curcumin–HPβCD Inclusion Complex and Biological Activities. Gels. 2026; 12(1):77. https://doi.org/10.3390/gels12010077
Chicago/Turabian StyleUrošević, Maja, Vesna Nikolić, Vesna Savić, Tatjana Mihajilov-Krstev, Ivana Gajić, Ana Dinić, Milica Martinović, and Ljubiša Nikolić. 2026. "Textural Properties of Carbopol® Gel with Curcumin and Curcumin–HPβCD Inclusion Complex and Biological Activities" Gels 12, no. 1: 77. https://doi.org/10.3390/gels12010077
APA StyleUrošević, M., Nikolić, V., Savić, V., Mihajilov-Krstev, T., Gajić, I., Dinić, A., Martinović, M., & Nikolić, L. (2026). Textural Properties of Carbopol® Gel with Curcumin and Curcumin–HPβCD Inclusion Complex and Biological Activities. Gels, 12(1), 77. https://doi.org/10.3390/gels12010077

