Swelling Behavior, Biocompatibility, and Controlled Delivery of Sodium–Diclofenac in New Temperature-Responsive P(OEGMA/OPGMA) Copolymeric Hydrogels
Abstract
1. Introduction
2. Results and Discussion
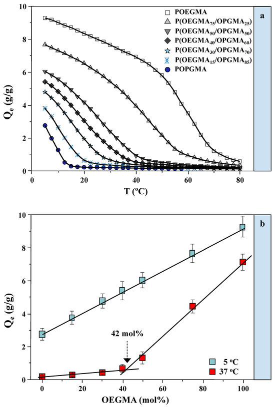
2.1. Swelling Analysis
2.2. Morphological Analysis
2.3. Assessment of pH Sensitivity
2.4. Cell Viability
2.5. Hemolysis
2.6. Drug Delivery
3. Conclusions
4. Materials and Methods
4.1. Materials
4.2. Polymer Library Synthesis
4.3. Gel Content and Sol-Gel Conversion
4.4. Swelling Study
4.5. Scanning Electron Microscopy (SEM)
4.6. Biocompatibility Tests
4.6.1. In Vitro Cytotoxicity
4.6.2. Investigation of Hemolysis Rate
4.7. In Vitro Controlled Release of Diclofenac Sodium from Hydrogel Matrices
Author Contributions
Funding
Institutional Review Board Statement
Informed Consent Statement
Data Availability Statement
Conflicts of Interest
Abbreviations
| OEGMA | Oligo(ethylene glycol) methacrylate. |
| OPGMA | Oligo(propylene glycol) methacrylate. |
| POEGMA | Poly oligo(ethylene glycol) methacrylate. |
| POPGMA | Poly oligo(propylene glycol) methacrylate. |
| P(OEGMA/OPGMA) | Poly (oligo(ethylene glycol) methacrylate/oligo(propylene glycol) methacrylate). |
| VPTT | Volume phase transition temperatures. |
| PEG | Poly(ethylene glycol). |
| PEGMA | Poly(ethylene glycol) methacrylate. |
| PPG | Poly(propylene glycol). |
| PPGMA | Poly(propylene glycol) methacrylate. |
| EG | Ethylene glycol. |
| PG | Propylene glycol. |
| SEM | Scanning electron microscopy. |
| DS | Diclofenac sodium. |
| EGDMA | Ethylene glycol dimethacrylate. |
References
- Feng, Q.; Xu, J.; Zhang, K.; Yao, H.; Zheng, N.; Zheng, L.; Wang, J.; Wei, K.; Xiao, X.; Qin, L.; et al. Dynamic and cell-infiltratable hydrogels as injectable carrier of therapeutic cells and drugs for treating challenging bone defects. ACS Cent. Sci. 2019, 5, 440–450. [Google Scholar] [CrossRef] [PubMed]
- Ahsan, A.; Tian, W.-X.; Farooq, M.A.; Khan, D.H. An overview of hydrogels and their role in transdermal drug delivery. Int. J. Polym. Mater. Polym. Biomater. 2021, 70, 574–584. [Google Scholar] [CrossRef]
- Singh, N.K.; Lee, D.S. In situ gelling pH- and temperature-sensitive biodegradable block copolymer hydrogels for drug delivery. J. Control. Release 2014, 193, 214–227. [Google Scholar] [CrossRef] [PubMed]
- Bruneaua, M.; Bennicia, S.; Brendle, J.; Dutournie, P.; Limousy, L.; Pluchonc, S. Systems for stimuli-controlled release: Materials and applications. J. Control. Release 2019, 294, 355–371. [Google Scholar] [CrossRef]
- Chatterjee, S.; Hui, P.C.-L.; Kan, C.-W. Thermoresponsive hydrogels and their biomedical applications: Special insight into their applications in textile based transdermal therapy. Polymers 2018, 10, 480. [Google Scholar] [CrossRef]
- Musa, M.; Sun, X.; Shi, J.; Li, J.; Zhang, S.; Shi, X. Intelligent responsive nanogels: New Horizons in cancer therapy. Int. J. Pharm. 2025, 669, 125050. [Google Scholar] [CrossRef]
- Yu, J.; Liu, Y.; Zhang, Y.; Ran, R.; Kong, Z.; Zhao, D.; Liu, M.; Zhao, W.; Cui, Y.; Hua, Y.; et al. Smart nanogels for cancer treatment from the perspective of functional groups. Front. Bioeng. Biotechnol. 2024, 11, 1329311. [Google Scholar] [CrossRef]
- Farjadian, F.; Mirkiani, S.; Ghasemiyeh, P.; Kafshboran, H.R.; Mehdi-Alamdarlou, S.; Raeisi, A.; Esfandiarinejad, R.; Soleymani, S.; Goshtasbi, G.; Firouzabadi, N.; et al. Smart nanogels as promising platform for delivery of drug, gene, and vaccine; therapeutic applications and active targeting mechanism. Eur. Polym. J. 2024, 219, 113400. [Google Scholar] [CrossRef]
- Nichifor, M. Role of hydrophobic associations in self-healing hydrogels based on amphiphilic polysaccharides. Polymers 2023, 15, 1065. [Google Scholar] [CrossRef]
- Ilgin, P.; Ozay, H.; Ozay, O. A new dual stimuli responsive hydrogel: Modeling approaches for the prediction of drug loading and release profile. Eur. Polym. J. 2019, 113, 244–253. [Google Scholar] [CrossRef]
- Long, J.; Nand, A.V.; Bunt, C.; Seyfoddin, A. Controlled release of dexamethasone from poly(vinyl alcohol) hydrogel. Pharm. Dev. Technol. 2019, 24, 839–848. [Google Scholar] [CrossRef] [PubMed]
- Pimenta, A.F.R.; Serro, A.P.; Paradiso, P.; Saramago, B.; Colaço, R. Diffusion-based design of multi-layered ophthalmic lenses for controlled drug release. PLoS ONE 2016, 11, e0167728. [Google Scholar] [CrossRef] [PubMed]
- Beyer, S.; Xie, L.; Schmidt, M.; de Bruin, N.; Ashtikar, M.; Rüschenbaum, S.; Lange, C.M.; Vogel, V.; Mäntele, W.; Parnham, M.J.; et al. Optimizing novel implant formulations for the prolonged release of biopharmaceuticals using in vitro and in vivo imaging techniques. J. Control. Release 2016, 235, 352–364. [Google Scholar] [CrossRef]
- Ranasinghe, R.A.S.N.; Wijesekara, W.L.I.; Perera, P.R.D.; Senanayake, S.A.; Pathmalal, M.M.; Marapana, R.A.U.J. Functional and bioactive properties of gelatin extracted from aquatic bioresources—A Review. Food Rev. Int. 2020, 38, 812–855. [Google Scholar] [CrossRef]
- Djagny, K.B.; Wang, Z.; Xu, S. Gelatin: A valuable protein for food and pharmaceutical industries: Review. Crit. Rev. Food Sci. Nutr. 2001, 41, 481–492. [Google Scholar] [CrossRef]
- D’Amora, U.; Ronca, A.; Raucci, M.G.; Lin, H.; Soriente, A.; Fan, Y.; Zhang, X.; Ambrosio, L. Bioactive composites based on double network approach with tailored mechanical, physico-chemical, and biological features. J. Biomed. Mater. Res. A 2018, 106, 3079–3089. [Google Scholar] [CrossRef]
- Lin, C.C.; Metters, A.T. Hydrogels in controlled release formulations: Network design and mathematical modeling. Adv. Drug. Deliver. Rev. 2006, 58, 1379–1408. [Google Scholar] [CrossRef]
- Naficy, S.; Razal, J.M.; Whitten, P.G.; Wallace, G.G.; Spinks, G.M. A pH-sensitive, strong double-network hydrogel: Poly(ethylene glycol) methyl ether methacrylates–poly(acrylic acid). J. Polym. Sci. Pol. Phys. 2012, 50, 423–430. [Google Scholar] [CrossRef]
- Yu, L.; Yao, L.; Yang, K. Redox- and pH-responsive hydrogels: Formulation and controlled drug delivery. J. Porous Mater. 2016, 23, 1581–1589. [Google Scholar] [CrossRef]
- Ishida, T.; Harada, M.; Wanga, X.Y.; Ichihara, M.; Irimura, K.; Kiwada, H. Accelerated blood clearance of PEGylated liposomes following preceding liposome injection: Effects of lipid dose and PEG surface-density and chain length of the first-dose liposomes. J. Control. Release 2005, 105, 305–317. [Google Scholar] [CrossRef]
- Ishida, T.; Kashima, S.; Kiwada, H. The contribution of phagocytic activity of liver macrophages to the accelerated blood clearance (ABC) phenomenon of PEGylated liposomes in rats. J. Control. Release 2008, 126, 162–165. [Google Scholar] [CrossRef] [PubMed]
- Wanka, R.; Koschitzki, F.; Puzovic, V.; Pahl, T.; Manderfeld, E.; Hunsucker, K.Z.; Swain, G.W.; Rosenhahn, A. Synthesis and characterization of dendritic and linear glycol methacrylates and their performance as marine antifouling coatings. ACS Appl. Mater. Interfaces 2021, 13, 6659–6669. [Google Scholar] [CrossRef] [PubMed]
- Suljovrujic, E.; Micic, M. Smart poly(oligo(propylene glycol) methacrylate) hydrogel prepared by gamma radiation. N. Instrum. Meth. B 2015, 342, 206–214. [Google Scholar] [CrossRef]
- González-Cárdenas, V.H.; Vanegas-Martínez, M.V.; Rojas-Rueda, M.E.; Burbano-Paredes, C.C.; Pulido-Barbosa, N.T. Impact of hypothermia during craniosynostosis repair surgery. Rev. Colomb. Anesthesiol. 2016, 44, 235–241. [Google Scholar] [CrossRef]
- Rybinski, M.; Szymanska, Z.; Lasota, S.; Gambin, A. Modelling the efficacy of hyperthermia treatment. J. R. Soc. Interface 2013, 10, 20130527. [Google Scholar] [CrossRef]
- Fournier, D.; Hoogenboom, R.; Thijs, H.M.L.; Paulus, R.M.; Schubert, U.S. Tunable pH- and temperature-sensitive copolymer libraries by reversible addition-fragmentation chain transfer copolymerizations of methacrylates. Macromolecules 2007, 40, 915–920. [Google Scholar] [CrossRef]
- Micic, M.; Miladinovic, Z.R.; Suljovrujic, E. Tuning the thermoresponsive properties of poly(oligo(propylene glycol) methacrylate) hydrogels via gradient copolymerization with 2-hydroxyethyl methacrylate. Int. J. Polym. Mater. Polym. Biomater. 2016, 65, 18–27. [Google Scholar] [CrossRef]
- Pastorczak, M.; Dominguez-Espinosa, G.; Okrasa, L.; Pyda, M.; Kozanecki, M.; Kadlubowski, S.; Rosiak, J.M.; Ulanski, J. Poly(vinyl methyl ether) hydrogels at temperatures below the freezing point of water—Molecular interactions and states of water. Colloid Polym. Sci. 2014, 292, 1775–1784. [Google Scholar] [CrossRef]
- Olejniczak, M.N.; Piechocki, K.; Kozanecki, M.; Koynov, K.; Adamusc, A.; Wachc, R.A. The influence of selected NSAIDs on volume phase transition in poly(2-(2-methoxyethoxy)ethyl methacrylate) hydrogels. J. Mater. Chem. B 2016, 4, 1528–1534. [Google Scholar] [CrossRef]
- Krstic, M.; Rogic Miladinovic, Z.; Barudzija, T.; Mladenovic, A.; Suljovrujic, E. Stimuli-responsive copolymeric hydrogels based on oligo(ethylene glycol) dimethacrylate for biomedical applications: An optimisation study of pH and thermoresponsive behaviour. React. Funct. Polym. 2022, 170, 105140. [Google Scholar] [CrossRef]
- Becer, C.R.; Hahn, S.; Fijten, M.W.M.; Thijs, H.M.L.; Hoogenboom, R.; Schubert, U.S. Libraries of methacrylic acid and oligo(ethylene glycol) methacrylate copolymers with LCST behavior. J. Polym. Sci. Pol. Chem. 2008, 46, 7138–7147. [Google Scholar] [CrossRef]
- Ronka, S.; Kowalczyk, A.; Baczynska, D.; Zołnierczyk, A.K. Pluronics-based drug delivery systems for flavonoids anticancer treatment. Gels 2023, 9, 143. [Google Scholar] [CrossRef] [PubMed]
- Sahu, A.; Kasoju, N.; Goswami, P.; Bora, U. Encapsulation of curcumin in pluronic block copolymer micelles for drug delivery applications. J. Biomater. Appl. 2011, 25, 619–639. [Google Scholar] [CrossRef] [PubMed]
- Lugao, A.B.; Rogero, S.O.; Malmonge, S.M. Rheological behaviour of irradiated wound dressing poly(vinyl pyrrolidone) hydrogels. Radiat. Phys. Chem. 2002, 63, 543–546. [Google Scholar] [CrossRef]
- Loh, X.J. Poly(DMAEMA-co-PPGMA): Dual-responsive “reversible” micelles. J. Appl. Polym. Sci. 2013, 127, 992–1000. [Google Scholar] [CrossRef]
- Gupta, A.; Keddie, D.J.; Kannappan, V.; Gibson, H.; Khalil, I.R.; Kowalczuk, M.; Martin, C.; Shuai, X.; Radecka, I. Production and characterisation of bacterial cellulose hydrogels loaded with curcumin encapsulated in cyclodextrins as wound dressings. Eur. Polym. J. 2019, 118, 437–450. [Google Scholar] [CrossRef]
- Kamoun, E.A.; Kenawy, E.-R.S.; Tamer, T.M.; El-Meligy, M.A.; Eldin, M.S.M. Poly (vinyl alcohol)-alginate physically crosslinked hydrogel membranes for wound dressing applications: Characterization and bio-evaluation. Arab. J. Chem. 2015, 8, 38–47. [Google Scholar] [CrossRef]
- Vargason, A.M.; Anselmo, A.C.; Mitragotri, S. The evolution of commercial drug delivery technologies. Nat. Biomed. Eng. 2021, 5, 951–967. [Google Scholar] [CrossRef]
- Bozbay, R.; Orakdogen, N. Multifunctional poly(methacrylate ester)s-based terpolymer cryogels with basic amino groups: Correlation of elasticity and structural properties with composition. React. Funct. Polym. 2021, 168, 105060. [Google Scholar] [CrossRef]
- Imazato, S.; Kitagawa, H.; Tsuboi, R.; Kitagawa, R.; Thongthai, P.; Sasaki, J.-I. Non-biodegradable polymer particles for drug delivery: A new technology for “bio-active” restorative materials. Dent. Mater. J. 2017, 36, 524–532. [Google Scholar] [CrossRef]
- Labie, H.; Blanzat, M. Hydrogels for dermal and transdermal drug delivery. Biomater. Sci. 2023, 11, 4073–4093. [Google Scholar] [CrossRef] [PubMed]
- Suljovrujic, E.; Milicevic, D.; Stolic, A.; Dudic, D.; Vasalic, D.; Dzunuzovic, E.; Stamboliev, G. Thermal, mechanical, and dielectric properties of radiation sterilized mesomorphic PP: Comparison between gamma and electron beam irradiation modalities. Polym. Degrad. Stab. 2024, 229, 110940. [Google Scholar] [CrossRef]
- Jiang, Z.; Sanchez, R.J.P.; Blakey, I.; Whittaker, A.K. 3D shape change of multi-responsive hydrogels based on a light-programmed gradient in volume phase transition. Chem. Commun. 2018, 54, 10909–10912. [Google Scholar] [CrossRef]
- Micic, M.M. Radiation Synthesis and Characterization of Copolymeric Hydrogels Based on 2-Hydroxyethyl Methacrylate and Functionalized Oligo(alkylene glycol) (meth)acrylate. Ph.D. Thesis, University of Belgrade, Belgrade, Serbia, 2015. [Google Scholar]
- Suljovrujic, E.; Rogic Miladinovic, Z.; Micic, M.; Suljovrujic, D.; Milicevic, D. The influence of monomer/solvent feed ratio on POEGDMA thermoresponsive hydrogels: Radiation-induced synthesis, swelling properties and VPTT. Radiat. Phys. Chem. 2019, 158, 37–45. [Google Scholar] [CrossRef]
- Suljovrujic, E.; Krstic, M.; Rogic Miladinovic, Z.; Petrovic, S.; Leskovac, A.; Stamboliev, G. Optimization of thermoresponsive hydrogels based on oligomers with lower critical solution temperature (LCST) far below/above physiological temperatures for biomedical applications. React. Funct. Polym. 2023, 189, 105612. [Google Scholar] [CrossRef]
- Tai, H.; Howard, D.; Takae, S.; Wang, W.; Vermonden, T.; Hennink, W.E.; Stayton, P.S.; Hoffman, A.S.; Endruweit, A.; Alexander, C.; et al. Photo-cross-linked hydrogels from thermoresponsive PEGMEMA-PPGMA-EGDMA copolymers containing multiple methacrylate groups: Mechanical property, swelling, protein release, and cytotoxicity. Biomacromolecules 2009, 10, 2895–2903. [Google Scholar] [CrossRef]
- Hutson, C.B.; Nichol, J.W.; Aubin, H.; Bae, H.; Yamanlar, S.; Al-Haque, S.; Koshy, S.T.; Khademhosseini, A. Synthesis and characterization of tunable poly(ethylene glycol): Gelatin methacrylate composite hydrogels. Tissue Eng. Part A 2011, 17, 1713–1723. [Google Scholar] [CrossRef]
- Kim, S.-H.; Chu, C.-C. Synthesis and characterization of dextran–methacrylate hydrogels and structural study by SEM. J. Biomed. Mater. Res. A 2000, 49, 517–527. [Google Scholar] [CrossRef]
- Suljovrujic, E.; Rogic Miladinovic, Z.; Krstic, M. Swelling properties and drug release of new biocompatible POEGOPGMA hydrogels with VPTT near to the human body temperature. Polym. Bull. 2021, 78, 2405–2425. [Google Scholar] [CrossRef]
- Suljovrujic, E.; Stojanovic, Z.; Dudic, D.; Milicevic, D. Radiation, thermo-oxidative and storage induced changes in microstructure, crystallinity and dielectric properties of (un)oriented isotactic polypropylene. Polym. Degrad. Stab. 2021, 188, 109564. [Google Scholar] [CrossRef]
- Ciapetti, G.; Verri, E.; Granchi, D.; Cenni, E.; Gamberini, S.; Benetti, D.; Mian, M.; Pizzoferrato, A. In vitro assessment of phagocytosis of bovine collagen by human monocytes/macrophages using a spectrophotometric method. Biomaterials 1996, 17, 1703–1707. [Google Scholar] [CrossRef] [PubMed]
- ISO 10993-5:2009; Biological Evaluation of Medical Devices, Part 5, Tests for Cytotoxicity: In Vitro Methods. ISO: Geneva, Switzerland, 2009.
- Peppas, N.A.; Huang, Y.; Torres-Lugo, M.; Ward, J.H.; Zhang, J. Physicochemical foundations and structural design of hydrogels in medicine and biology. Annu. Rev. Biomed. Eng. 2000, 2, 9–29. [Google Scholar] [CrossRef]
- Gonçalves, C.; Gomes, J.M.; Maia, F.R.; Radhouani, H.; Silva, S.S.; Reisab, R.L.; Oliveira, J.M. Fabrication of biocompatible porous SAIB/silk fibroin scaffolds using ionic liquids. Mater. Chem. Front. 2021, 5, 6582. [Google Scholar] [CrossRef]
- ISO 10993-4:2017; Biological Evaluation of Medical Devices, Part 4, Selection of Tests for Interactions with Blood. ISO: Geneva, Switzerland, 2017.
- Siepmann, J.; Peppas, N.A. Modeling of drug release from delivery systems based on hydroxypropyl methylcellulose (HPMC). Adv. Drug. Deliver. Rev. 2012, 64, 163–174. [Google Scholar] [CrossRef]
- Singh, B.; Bala, R.; Chauhan, N. In vitro release dynamics of model drugs from psyllium and acrylic acid based hydrogels for the use in colon specific drug delivery. J. Mater. Sci.-Mater. M 2008, 19, 2771–2780. [Google Scholar] [CrossRef]
- Zarzycki, R.; Modrzejewska, Z.; Nawrotek, K. Drug release from hydrogel matrices. Ecol. Chem. Eng. S 2010, 17, 117–136. [Google Scholar]
- Cadotte, A.J.; DeMarse, T.B. Poly-HEMA as a drug delivery device for in vitro neural networks on micro-electrode arrays. J. Neural Eng. 2005, 2, 114–122. [Google Scholar] [CrossRef]
- Ritger, P.L.; Peppas, N.A. A simple equation for description of solute release I. Fickian and non-fickian release from non-swellable devices in the form of slabs, spheres, cylinders or discs. J. Control. Release 1987, 5, 23–36. [Google Scholar] [CrossRef]
- Fu, Y.; Kao, W.J. Drug release kinetics and transport mechanisms from semi-interpenetrating networks of gelatin and poly(ethylene glycol) diacrylate. Pharm. Res. 2009, 26, 2115–2124. [Google Scholar] [CrossRef]
- Liu, H.; Wang, C.; Li, C.; Qin, Y.; Wang, Z.; Yang, F.; Li, Z.; Wang, J. A functional chitosan-based hydrogel as a wound dressing and drug delivery system in the treatment of wound healing. RSC Adv. 2018, 8, 7533–7549. [Google Scholar] [CrossRef]
- Vidart, J.M.M.; da Silva, T.L.; Rosa, P.C.P.; Vieira, M.G.A.; da Silva, M.G.C. Development of sericin/alginate particles by ionic gelation technique for the controlled release of diclofenac sodium. J. Appl. Polym. Sci. 2018, 135, 45919. [Google Scholar] [CrossRef]
- Encinas, S.; Bosca, F.; Miranda, M.A. Photochemistry of 2,6-dichlorodiphenylamine and 1 -chlorocarbazole, the photoactive chromophores of diclofenac, meclofenamic acid and their major photoproducts. Photochem. Photobiol. 1998, 68, 640–645. [Google Scholar] [CrossRef]





| Hydrogel Composition (mol%) P(OEGMA/OPGMA) | Qe (37 °C) | k (h−n) | n | De × 10−7 (cm2/s) | Dl × 10−8 (cm2/s) | De/Dl | t1/2 (h) |
|---|---|---|---|---|---|---|---|
| 100/0 | 7.10 | 0.38 | 0.50 | 3.1 | 3.4 | 9.1 | 1.7 |
| 75/25 | 4.40 | 0.33 | 0.49 | 2.3 | 2.7 | 8.5 | 2.3 |
| 50/50 | 1.30 | 0.27 | 0.47 | 1.4 | 2.0 | 7.0 | 3.9 |
| 40/60 | 0.65 | 0.20 | 0.43 | 0.7 | 1.7 | 4.1 | 8.5 |
| 30/70 | 0.40 | 0.17 | 0.41 | 0.4 | 1.4 | 2.9 | 18.9 |
| 15/85 | 0.25 | 0.15 | 0.40 | 0.3 | 1.3 | 2.3 | 29.1 |
| 0/100 | 0.15 | 0.13 | 0.39 | 0.25 | 1.2 | 2.1 | 38.8 |
| Hydrogel Samples | Monomer Content | Hydrogel Designation | |
|---|---|---|---|
| OEGMA (mol%) | OPGMA (mol%) | ||
| POEGMA | 100 | 0 | POEGMA |
| P(OEGMA/OPGMA) | 75 | 25 | P(OEGMA75/OPGMA25) |
| 50 | 50 | P(OEGMA50/OPGMA50) | |
| 40 | 60 | P(OEGMA40/OPGMA60) | |
| 30 | 70 | P(OEGMA30/OPGMA70) | |
| 15 | 85 | P(OEGMA15/OPGMA85) | |
| POPGMA | 0 | 100 | POPGMA |
Disclaimer/Publisher’s Note: The statements, opinions and data contained in all publications are solely those of the individual author(s) and contributor(s) and not of MDPI and/or the editor(s). MDPI and/or the editor(s) disclaim responsibility for any injury to people or property resulting from any ideas, methods, instructions or products referred to in the content. |
© 2025 by the authors. Licensee MDPI, Basel, Switzerland. This article is an open access article distributed under the terms and conditions of the Creative Commons Attribution (CC BY) license (https://creativecommons.org/licenses/by/4.0/).
Share and Cite
Rogic Miladinovic, Z.; Krstic, M.; Suljovrujic, E. Swelling Behavior, Biocompatibility, and Controlled Delivery of Sodium–Diclofenac in New Temperature-Responsive P(OEGMA/OPGMA) Copolymeric Hydrogels. Gels 2025, 11, 201. https://doi.org/10.3390/gels11030201
Rogic Miladinovic Z, Krstic M, Suljovrujic E. Swelling Behavior, Biocompatibility, and Controlled Delivery of Sodium–Diclofenac in New Temperature-Responsive P(OEGMA/OPGMA) Copolymeric Hydrogels. Gels. 2025; 11(3):201. https://doi.org/10.3390/gels11030201
Chicago/Turabian StyleRogic Miladinovic, Zorana, Maja Krstic, and Edin Suljovrujic. 2025. "Swelling Behavior, Biocompatibility, and Controlled Delivery of Sodium–Diclofenac in New Temperature-Responsive P(OEGMA/OPGMA) Copolymeric Hydrogels" Gels 11, no. 3: 201. https://doi.org/10.3390/gels11030201
APA StyleRogic Miladinovic, Z., Krstic, M., & Suljovrujic, E. (2025). Swelling Behavior, Biocompatibility, and Controlled Delivery of Sodium–Diclofenac in New Temperature-Responsive P(OEGMA/OPGMA) Copolymeric Hydrogels. Gels, 11(3), 201. https://doi.org/10.3390/gels11030201

