Cellulose Nanofiber Aerogel from Banana Peduncle Modified with Graphene Oxide as Bio-Adsorbent for Lead and Chromium Ions
Abstract
1. Introduction
2. Results and Discussion
2.1. Preparation of CNF
2.2. Characterization of CNF
2.3. Fabrication of CNF and CNF-GO Aerogel Adsorbents
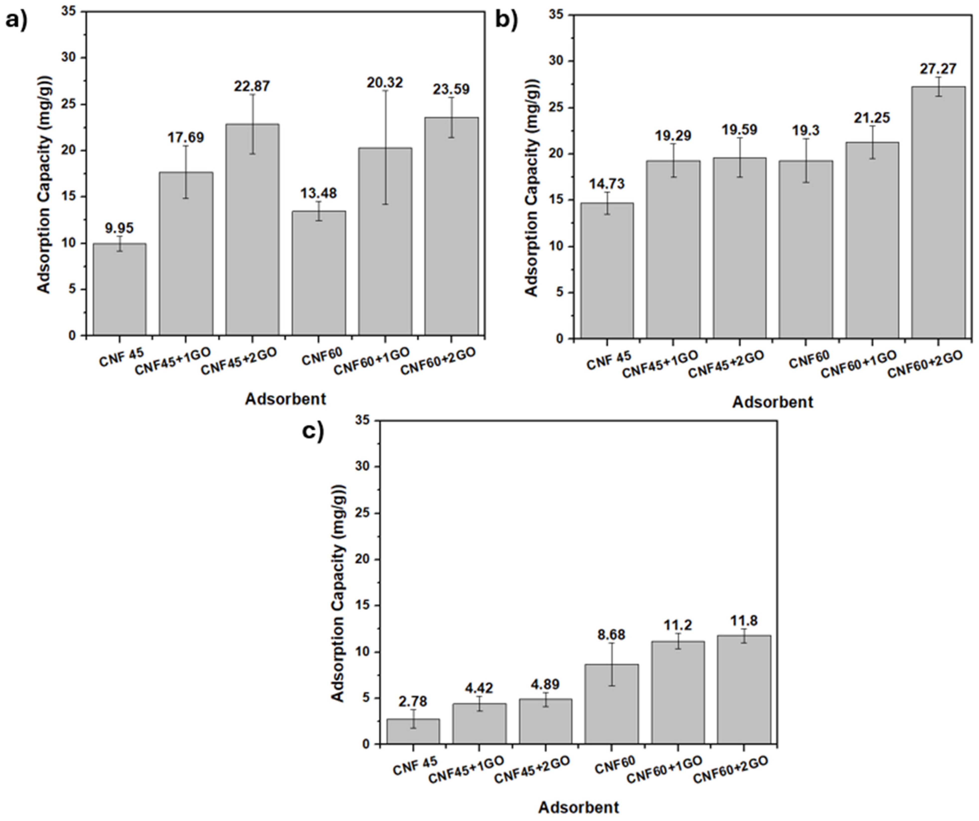
2.4. Pb(II) Adsorption
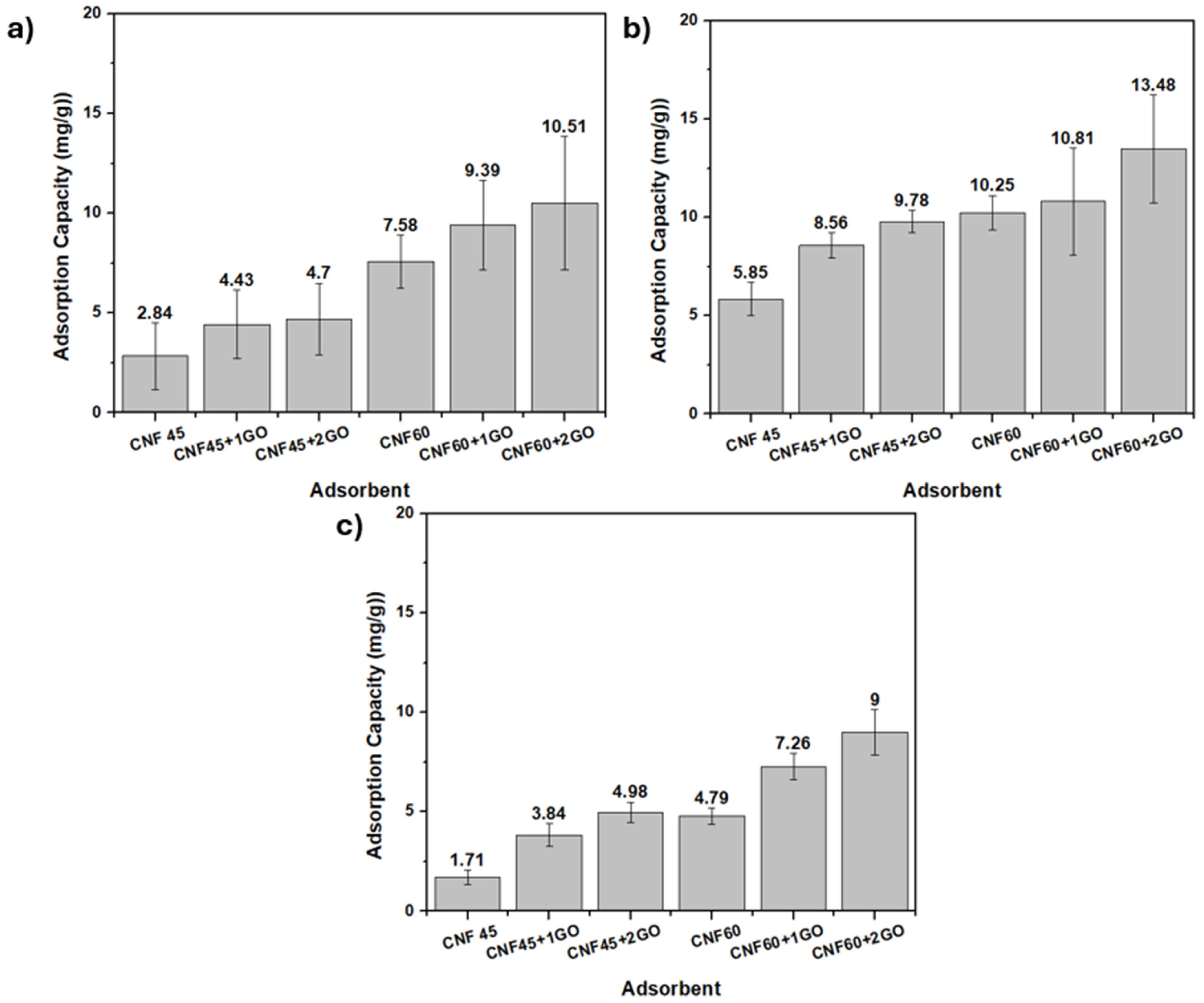
2.5. Cr(VI) Adsorption
3. Conclusions
4. Materials and Methods
4.1. Materials and Chemicals
4.2. Isolation of CNF from Banana Peduncle
4.3. CNF and CNF/GO Aerogel Adsorbent Fabrication
4.4. Characterization
4.5. Porosity
4.6. Adsorption Experiment
4.7. Micro-CT
Author Contributions
Funding
Institutional Review Board Statement
Informed Consent Statement
Data Availability Statement
Acknowledgments
Conflicts of Interest
References
- Nwosu-Obieogu, K.; Okolo, B.I. Biosorption of chromium (VI) from textile waste water using luffa cylindrica activated carbon. Environ. Qual. Manag. 2020, 29, 23–31. [Google Scholar] [CrossRef]
- Chakraborty, R.; Asthana, A.; Singh, A.K.; Jain, B.; Susan, A.B.H. Adsorption of heavy metal ions by various low-cost adsorbents: A review. Int. J. Environ. Anal. Chem. 2022, 102, 342–379. [Google Scholar] [CrossRef]
- Tang, X.; Zheng, H.; Teng, H.; Sun, Y.; Guo, J.; Xie, W.; Yang, Q.; Chen, W. Chemical coagulation process for the removal of heavy metals from water: A review. Desalination Water Treat. 2016, 57, 1733–1748. [Google Scholar] [CrossRef]
- Rajendran, S.; Priya, A.K.; Senthil Kumar, P.; Hoang, T.K.A.; Sekar, K.; Chong, K.Y.; Khoo, K.S.; Ng, H.S.; Show, P.L. A critical and recent developments on adsorption technique for removal of heavy metals from wastewater—A review. Chemosphere 2022, 303, 135146. [Google Scholar] [CrossRef]
- Xiang, H.; Min, X.; Tang, C.J.; Sillanpää, M.; Zhao, F. Recent advances in membrane filtration for heavy metal removal from wastewater: A mini review. J. Water Process Eng. 2022, 49, 103023. [Google Scholar] [CrossRef]
- Bashir, A.; Malik, L.A.; Ahad, S.; Manzoor, T.; Bhat, M.A.; Dar, G.N.; Pandith, A.H. Removal of heavy metal ions from aqueous system by ion-exchange and biosorption methods. Environ. Chem. Lett. 2019, 17, 729–754. [Google Scholar] [CrossRef]
- Minamisawa, M.; Minamisawa, H.; Yoshida, S.; Takai, N. Adsorption behavior of heavy metals on biomaterials. J. Agric. Food Chem. 2004, 52, 5606–5611. [Google Scholar] [CrossRef]
- Raji, Z.; Karim, A.; Karam, A.; Khalloufi, S. Adsorption of Heavy Metals: Mechanisms, Kinetics, and Applications of Various Adsorbents in Wastewater Remediation—A Review. Waste 2023, 1, 775–805. [Google Scholar] [CrossRef]
- Song, S.; Liu, Z.; Zhang, J.; Jiao, C.; Ding, L.; Yang, S. Synthesis and Adsorption Properties of Novel Bacterial Cellulose/Graphene Oxide/Attapulgite. Materials 2020, 13, 3703. [Google Scholar] [CrossRef]
- Carvalho, J.; Araújo, J.; Castro, F. Alternative low-cost adsorbent for water and wastewater decontamination derived from eggshell waste: An overview. Waste Biomass Valorization 2011, 2, 157–167. [Google Scholar] [CrossRef]
- Nuryana, D.; Alim, M.F.R.; Yahayu, M.; Ahmad, M.A.; Sulong, R.S.R.; Abd Aziz, M.F.S.; Kusumaningtyas, R.D. Methylene blue removal using coconut shell biochar synthesized through microwave-assisted pyrolysis. J. Teknol. 2020, 82, 31–41. [Google Scholar] [CrossRef]
- Jahin, H.S.; Khedr, A.I.; Ghannam, H.E. Banana peels as a green bioadsorbent for removing metals ions from wastewater. Discov. Water 2024, 4, 36. [Google Scholar] [CrossRef]
- Daochalermwong, A.; Chanka, N.; Songsrirote, K.; Dittanet, P.; Niamnuy, C.; Seubsai, A. Removal of Heavy Metal Ions Using Modified Celluloses Prepared from Pineapple Leaf Fiber. ACS Omega 2020, 5, 5285–5296. [Google Scholar] [CrossRef]
- Memon, J.R.; Memon, S.Q.; Bhanger, M.I.; El-Turki, A.; Hallam, K.R.; Allen, G.C. Banana peel: A green and economical sorbent for the selective removal of Cr(VI) from industrial wastewater. Colloids Surf. B Biointerfaces 2009, 70, 232–237. [Google Scholar] [CrossRef]
- Low, K.S.; Lee, C.K.; Leo, A.C. Removal of metals from electroplating wastes using banana pith. Bioresour. Technol. 1995, 51, 227–231. [Google Scholar] [CrossRef]
- Noeline, B.F.; Manohar, D.M.; Anirudhan, T.S. Kinetic and equilibrium modelling of lead(II) sorption from water and wastewater by polymerized banana stem in a batch reactor. Sep. Purif. Technol. 2005, 45, 131–140. [Google Scholar] [CrossRef]
- Karim, A.; Kumar, M.; Mohapatra, S.; Panda, C.; Singh, A. Banana peduncle biochar: Characteristics and adsorption of hexavalent chromium from aqueous solution. Int. Res. J. Pure Appl. Chem. 2015, 7, 1–10. [Google Scholar] [CrossRef]
- Abdel-Raouf, M.S.; Abdul-Raheim, A.R.M. Removal of heavy metals from industrial waste water by biomass-based materials: A review. Mercury 2017, 8, 15–19. [Google Scholar] [CrossRef]
- Jiang, Z.; Ho, S.-H.; Wang, X.; Li, Y.; Wang, C. Application of biodegradable cellulose-based biomass materials in wastewater treatment. Environ. Pollut. 2021, 290, 118087. [Google Scholar] [CrossRef]
- Tshikovhi, A.; Mishra, S.B.; Mishra, A.K. Nanocellulose-Based Composites for the Removal of Contaminants from Wastewater. Int. J. Biol. Macromol. 2020, 152, 616–632. [Google Scholar] [CrossRef]
- Long, L.-Y.; Weng, Y.-X.; Wang, Y.-Z. Cellulose aerogels: Synthesis, applications, and prospects. Polymers 2018, 10, 623. [Google Scholar] [CrossRef] [PubMed]
- Meador, M.A.B.; Malow, E.J.; Silva, R.; Wright, S.; Quade, D.; Vivod, S.L.; Guo, H.; Guo, J.; Cakmak, M. Mechanically strong, flexible polyimide aerogels cross-linked with aromatic triamine. ACS Appl. Mater. Interfaces 2012, 4, 536–544. [Google Scholar] [CrossRef] [PubMed]
- Ghulam, A.N.; Dos Santos, O.A.L.; Hazeem, L.; Backx, B.P.; Bououdina, M.; Bellucci, S. Graphene Oxide (GO) Materials—Applications and Toxicity on Living Organisms and Environment. J. Funct. Biomater. 2022, 13, 77. [Google Scholar] [CrossRef]
- Farag, A.A.; Gafar Afif, A.; Salih, S.A.; Altalhi, A.A.; Mohamed, E.A.; Mohamed, G.G. Highly Efficient Elimination of Pb+2 and Al+3 Metal Ions from Wastewater Using Graphene Oxide/3,5-Diaminobenzoic Acid Composites: Selective Removal of Pb2+ from Real Industrial Wastewater. ACS Omega 2022, 7, 38347–38360. [Google Scholar] [CrossRef]
- Kong, D.; He, L.; Li, H.; Song, Z. Preparation and characterization of graphene oxide/chitosan composite aerogel with high adsorption performance for Cr(VI) by a new crosslinking route. Colloids Surf. A Physicochem. Eng. Asp. 2021, 625, 126832. [Google Scholar] [CrossRef]
- Wei, J.; Yang, Z.; Sun, Y.; Wang, C.; Fan, J.; Kang, G.; Zhang, R.; Dong, X.; Li, Y. Nanocellulose-based magnetic hybrid aerogel for adsorption of heavy metal ions from water. J. Mater. Sci. 2019, 54, 6709–6718. [Google Scholar] [CrossRef]
- Li, J.; Zuo, K.; Wu, W.; Xu, Z.; Yi, Y.; Jing, Y.; Dai, H.; Fang, G. Shape memory aerogels from nanocellulose and polyethyleneimine as a novel adsorbent for removal of Cu(II) and Pb(II). Carbohydr. Polym. 2018, 196, 376–384. [Google Scholar] [CrossRef]
- Nugraha, A.B.; Nuruddin, A.; Sunendar, B. Isolasi Nanoselulosa Terkarboksilasi dari Limbah Kulit Pisang Ambon Lumut dengan Metode Oksidasi. J. Sci. Appl. Technol. 2021, 5, 236–244. [Google Scholar] [CrossRef]
- Johar, N.; Ahmad, I.; Dufresne, A. Extraction, preparation and characterization of cellulose fibres and nanocrystals from rice husk. Ind. Crops Prod. 2012, 37, 93–99. [Google Scholar] [CrossRef]
- Zhao, H.-P.; Feng, X.-Q.; Gao, H. Ultrasonic technique for extracting nanofibers from nature materials. Appl. Phys. Lett. 2007, 90, 073113. [Google Scholar] [CrossRef]
- Mohd Jamil, N.A.; Jaffar, S.S.; Saallah, S.; Misson, M.; Siddiquee, S.; Roslan, J.; Lenggoro, W. Isolation of Cellulose Nanocrystals from Banana Peel Using One-Pot Microwave and Mild Oxidative Hydrolysis System. Nanomaterials 2022, 12, 3537. [Google Scholar] [CrossRef] [PubMed]
- Salunke, R.; Rawat, N.; Neelam, K.; Tiwari, V.K.; Randhawa, G.S.; Dhaliwal, H.S.; Roy, P. Effect of grain hardness on bioavailability of iron in wheat as determined using the coupled invitro digestion/Caco-2 model. LWT-Food Sci. Technol. 2014, 59, 433–438. [Google Scholar] [CrossRef]
- Tohamy, H.A.S.; El-Sakhawy, M.; Abdel-Halim, S.A.; El-Masry, H.M.; AbdelMohsen, M.M. Antimicrobial Plectranthus amboinicus emulsions prepared with amphiphilic cellulose stearate. Euro-Mediterr. J. Environ. Integr. 2024. [Google Scholar] [CrossRef]
- Sah, M.K.; Edbey, K.; EL-Hashani, A.; Almshety, S.; Mauro, L.; Alomar, T.S.; Bhattarai, A. Exploring the biosorption of methylene blue dye onto agricultural products: A critical review. Separations 2022, 9, 256. [Google Scholar]
- Zhuang, J.; Li, M.; Pu, Y.; Ragauskas, A.J.; Yoo, C.G. Observation of potential contaminants in processed biomass using fourier transform infrared spectroscopy. Appl. Sci. 2020, 10, 4345. [Google Scholar] [CrossRef]
- Mohamed, M.A.; Salleh, W.N.W.; Jaafar, J.; Ismail, A.F.; Abd Mutalib, M.; Mohamad, A.B.; Zain, M.F.M.; Awang, N.A.; Hir, Z.A.M. Physicochemical characterization of cellulose nanocrystal and nanoporous self-assembled CNC membrane derived from Ceiba pentandra. Carbohydr. Polym. 2017, 157, 1892–1902. [Google Scholar] [CrossRef]
- Leng, Y. Introduction to Microscopic and Spectroscopic Methods. Mater. Charact. Asia Wiley 2008, 1, 297. [Google Scholar]
- Goudarzi, A.; Lin, L.T.; Ko, F.K. X-ray diffraction analysis of kraft lignins and lignin-derived carbon nanofibers. J. Nanotechnol. Eng. Med. 2014, 5, 1–6. [Google Scholar] [CrossRef]
- Gong, J.; Li, J.; Xu, J.; Xiang, Z.; Mo, L. Research on cellulose nanocrystals produced from cellulose sources with various polymorphs. RSC Adv. 2017, 7, 33486–33493. [Google Scholar] [CrossRef]
- Sumari, S.; Roesyadi, A.; Sumarno, S. Effects of ultrasound on the morphology, particle size, crystallinity, and crystallite size of cellulose. Sci. Study Res. Chem. Chem. Eng. Biotechnol. Food Ind. 2013, 14, 229. [Google Scholar]
- Abbasi Moud, A. Advanced cellulose nanocrystals (CNC) and cellulose nanofibrils (CNF) aerogels: Bottom-up assembly perspective for production of adsorbents. Int. J. Biol. Macromol. 2022, 222, 1–29. [Google Scholar] [CrossRef]
- Low, Z.L.; Low, D.Y.S.; Tang, S.Y.; Manickam, S.; Tan, K.W.; Ban, Z.H. Ultrasonic cavitation: An effective cleaner and greener intensification technology in the extraction and surface modification of nanocellulose. Ultrason. Sonochem. 2022, 90, 106176. [Google Scholar]
- Gibril, M.; Tesfaye, T.; Sithole, B.; Lekha, P.; Ramjugernath, D. Optimisation and enhancement of crystalline nanocellulose production by ultrasonic pretreatment of dissolving wood pulp fibres. Cellul. Chem. Technol. 2018, 52, 9–10. [Google Scholar]
- Sekwele, K.G.; Tichapondwa, S.M.; Mhike, W. Cellulose, Graphene and Graphene-Cellulose Composite Aerogels and Their Application in Water Treatment: A Review; Springer International Publishing: Berlin/Heidelberg, Germany, 2024; Bd. 4; ISBN 0123456789. [Google Scholar]
- Nguyen, V.T.; Ha, L.Q.; Nguyen, T.D.L.; Ly, P.H.; Nguyen, D.M.; Hoang, D. Nanocellulose and Graphene Oxide Aerogels for Adsorption and Removal Methylene Blue from an Aqueous Environment. ACS Omega 2022, 7, 1003–1013. [Google Scholar] [CrossRef] [PubMed]
- Ni, Y.; Li, J.; Fan, L. Effects of ultrasonic conditions on the interfacial property and emulsifying property of cellulose nanoparticles from ginkgo seed shells. Ultrason. Sonochem. 2021, 70, 105335. [Google Scholar] [CrossRef]
- Yasim-Anuar, T.A.T.; Ariffin, H.; Hassan, M.A. Characterization of cellulose nanofiber from oil palm mesocarp fiber produced by ultrasonication. IOP Conf. Ser. Mater. Sci. Eng. 2018, 368, 012033. [Google Scholar] [CrossRef]
- Du Plessis, A.; Sperling, P.; Beerlink, A.; Tshabalala, L.; Hoosain, S.; Mathe, N.; Le Roux, S.G. Standard method for microCT-based additive manufacturing quality control 1: Porosity analysis. MethodsX 2018, 5, 1102–1110. [Google Scholar] [CrossRef]
- Franco, P.; Cardea, S.; Tabernero, A.; De Marco, I. Porous aerogels and adsorption of pollutants from water and air: A review. Molecules 2021, 26, 4440. [Google Scholar] [CrossRef]
- Zhou, B.; Chen, Z.; Cheng, Q.; Xiao, M.; Bae, G.; Liang, D.; Hasan, T. Controlling surface porosity of graphene-based printed aerogels. npj 2D Mater. Appl. 2022, 6, 1–8. [Google Scholar] [CrossRef]
- Bartoš, M.; Suchý, T.; Foltán, R. Note on the use of different approaches to determine the pore sizes of tissue engineering scaffolds: What do we measure? BioMedical Eng. Online 2018, 17, 1–15. [Google Scholar] [CrossRef]
- Bai, T.; Zhao, J.; Tian, L.; Zhang, L.; Jin, Z. The adsorption of Pb(II) from aqueous solution using KOH-modified banana peel hydrothermal carbon: Adsorption properties and mechanistic studies. Materials 2024, 17, 311. [Google Scholar] [CrossRef]
- Jayaram, K.; Murthy, I.Y.L.N.; Lalhruaitluanga, H.; Prasad, M.N.V. Biosorption of lead from aqueous solution by seed powder of Strychnos potatorum L. Colloids Surf. B Biointerfaces 2009, 71, 248–254. [Google Scholar] [CrossRef] [PubMed]
- Peng, W.; Li, H.; Liu, Y.; Song, S. A review on heavy metal ions adsorption from water by graphene oxide and its composites. J. Mol. Liq. 2017, 230, 496–504. [Google Scholar] [CrossRef]
- Liu, X.; Ma, R.; Wang, X.; Ma, Y.; Yang, Y.; Zhuang, L.; Zhang, S.; Jehan, R.; Chen, J.; Wang, X. Graphene oxide-based materials for removal of heavy metal ions from aqueous solution: A review. Environ. Pollut. 2019, 252, 62–73. [Google Scholar] [CrossRef] [PubMed]
- Shi, R.J.; Wang, T.; Lang, J.Q.; Zhou, N.; Ma, M.G. Multifunctional Cellulose and Cellulose-Based (Nano) Composite Adsorbents. Front. Bioeng. Biotechnol. 2022, 10, 1–14. [Google Scholar] [CrossRef]
- Gao, C.; Dong, Z.; Hao, X.; Yao, Y.; Guo, S. Preparation of Reduced Graphene Oxide Aerogel and Its Adsorption for Pb(II). ACS Omega 2020, 5, 9903–9911. [Google Scholar] [CrossRef]
- Zhang, Q.; Gao, Y.; Xu, Z.; Wang, S.; Kobayashi, H.; Wang, J. The effects of oxygen functional groups on graphene oxide on the efficient adsorption of radioactive iodine. Materials 2020, 13, 5770. [Google Scholar] [CrossRef]
- Ramos-Vargas, S.; Huirache-Acuña, R.; Rutiaga-Quiñones, J.G.; Cortés-Martínez, R. Effective lead removal from aqueous solutions using cellulose nanofibers obtained from water hyacinth. Water Sci. Technol. Water Supply 2020, 20, 2715–2736. [Google Scholar] [CrossRef]
- Babalola, J.O.; Omorogie, M.O.; Babarinde, A.A.; Unuabonah, E.I.; Oninla, V.O. Optimization of the biosorption of Cr3+, Cd2+ and Pb2+ using a new biowaste: Zea mays seed chaff. Environ. Eng. Manag. J. 2016, 15, 1571–1580. [Google Scholar] [CrossRef]
- Zhang, D.; Xu, W.; Cai, J.; Cheng, S.Y.; Ding, W.P. Citric acid-incorporated cellulose nanofibrous mats as food materials-based biosorbent for removal of hexavalent chromium from aqueous solutions. Int. J. Biol. Macromol. 2020, 149, 459–466. [Google Scholar] [CrossRef]
- Khawas, P.; Deka, S.C. Isolation and characterization of cellulose nanofibers from culinary banana peel using high-intensity ultrasonication combined with chemical treatment. Carbohydr. Polym. 2016, 137, 608–616. [Google Scholar] [CrossRef]
- Huang, Z.; Liu, C.; Feng, X.; Wu, M.; Tang, Y.; Li, B. Effect of regeneration solvent on the characteristics of regenerated cellulose from lithium bromide trihydrate molten salt. Cellulose 2020, 27, 9243–9256. [Google Scholar] [CrossRef]
- Rijal, M.S.; Nasir, M.; Purwasasmita, B.S.; Asri, L.A.T.W. Cellulose nanocrystals-microfibrils biocomposite with improved membrane performance. Carbohydr. Polym. Technol. Appl. 2023, 5, 100326. [Google Scholar] [CrossRef]
- Shi, C.; Zhu, J.; Shen, X.; Chen, F.; Ning, F.; Zhang, H.; Long, Y.-Z.; Ning, X.; Zhao, J. Flexible inorganic membranes used as a high thermal safety separator for the lithium-ion battery. Rsc Adv. 2018, 8, 4072–4077. [Google Scholar] [CrossRef]
- Largitte, L.; Pasquier, R. A review of the kinetics adsorption models and their application to the adsorption of lead by an activated carbon. Chem. Eng. Res. Des. 2016, 109, 495–504. [Google Scholar] [CrossRef]












| Sample | Interconnected Pore (%) | Total Porosity (%) |
|---|---|---|
| CNF 60 aerogel adsorbents | 92.4 | 92.4 |
| CNF 60 + 2 mL GO aerogel adsorbents | 91.4 | 91.41 |
Disclaimer/Publisher’s Note: The statements, opinions and data contained in all publications are solely those of the individual author(s) and contributor(s) and not of MDPI and/or the editor(s). MDPI and/or the editor(s) disclaim responsibility for any injury to people or property resulting from any ideas, methods, instructions or products referred to in the content. |
© 2025 by the authors. Licensee MDPI, Basel, Switzerland. This article is an open access article distributed under the terms and conditions of the Creative Commons Attribution (CC BY) license (https://creativecommons.org/licenses/by/4.0/).
Share and Cite
Priyatmojo, A.; Wirawan, R.; Ardy, H.; Puspitasari, D.; Asri, P.P.P.; Asri, L.A.T.W. Cellulose Nanofiber Aerogel from Banana Peduncle Modified with Graphene Oxide as Bio-Adsorbent for Lead and Chromium Ions. Gels 2025, 11, 95. https://doi.org/10.3390/gels11020095
Priyatmojo A, Wirawan R, Ardy H, Puspitasari D, Asri PPP, Asri LATW. Cellulose Nanofiber Aerogel from Banana Peduncle Modified with Graphene Oxide as Bio-Adsorbent for Lead and Chromium Ions. Gels. 2025; 11(2):95. https://doi.org/10.3390/gels11020095
Chicago/Turabian StylePriyatmojo, Anjar, Riza Wirawan, Husaini Ardy, Dita Puspitasari, Putri P. P. Asri, and Lia A. T. W. Asri. 2025. "Cellulose Nanofiber Aerogel from Banana Peduncle Modified with Graphene Oxide as Bio-Adsorbent for Lead and Chromium Ions" Gels 11, no. 2: 95. https://doi.org/10.3390/gels11020095
APA StylePriyatmojo, A., Wirawan, R., Ardy, H., Puspitasari, D., Asri, P. P. P., & Asri, L. A. T. W. (2025). Cellulose Nanofiber Aerogel from Banana Peduncle Modified with Graphene Oxide as Bio-Adsorbent for Lead and Chromium Ions. Gels, 11(2), 95. https://doi.org/10.3390/gels11020095

