Enhancing Load-Bearing Capacity of Calcareous Sands through Gel Stabilization: A Mechanical and Material Characterization Study
Abstract
1. Introduction
2. CU Tests Results and Discussion
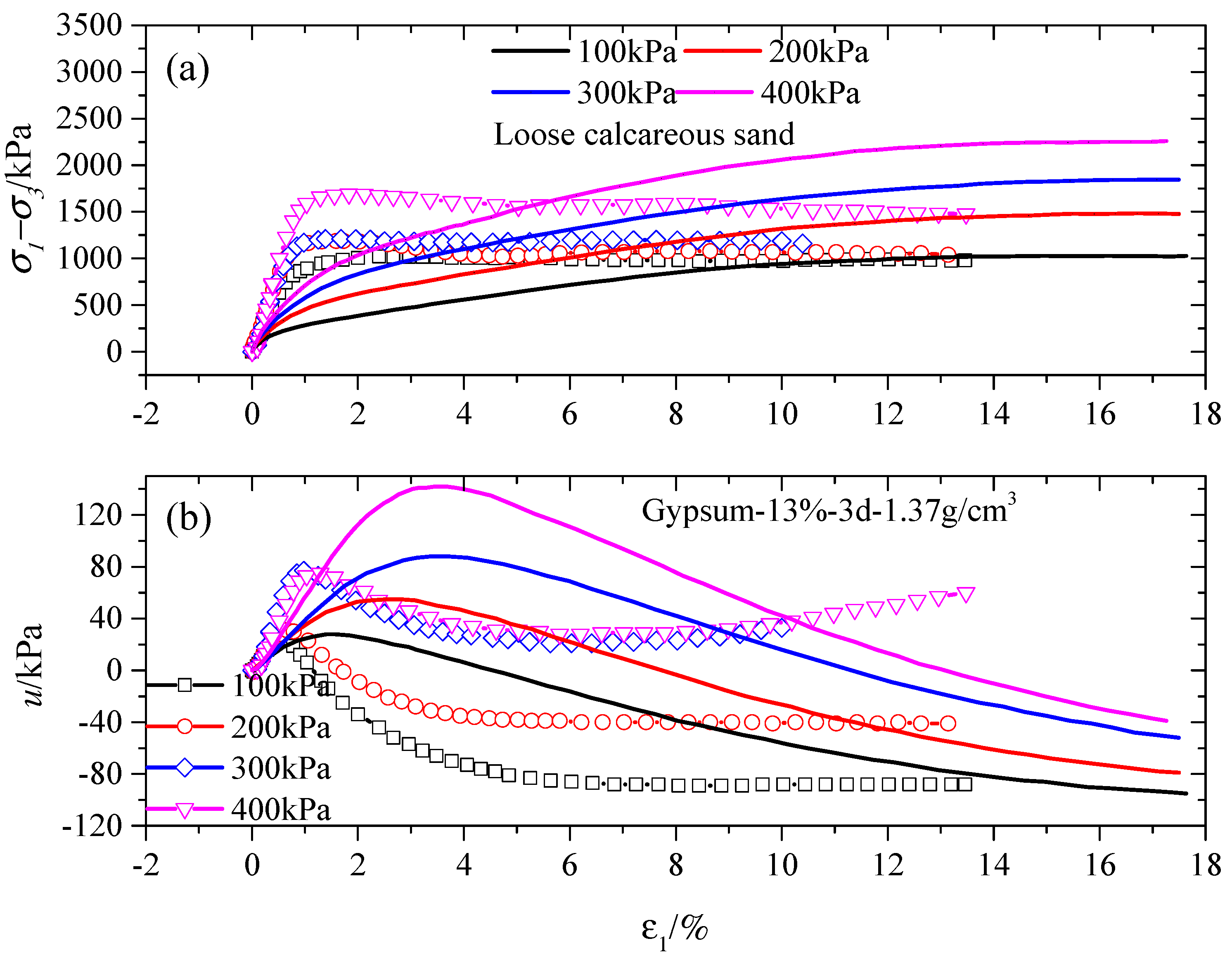
2.1. Impact of Confining Pressure on Mechanical Behavior Response
2.2. Impact of Gel Material Content on Mechanical Behavior Response
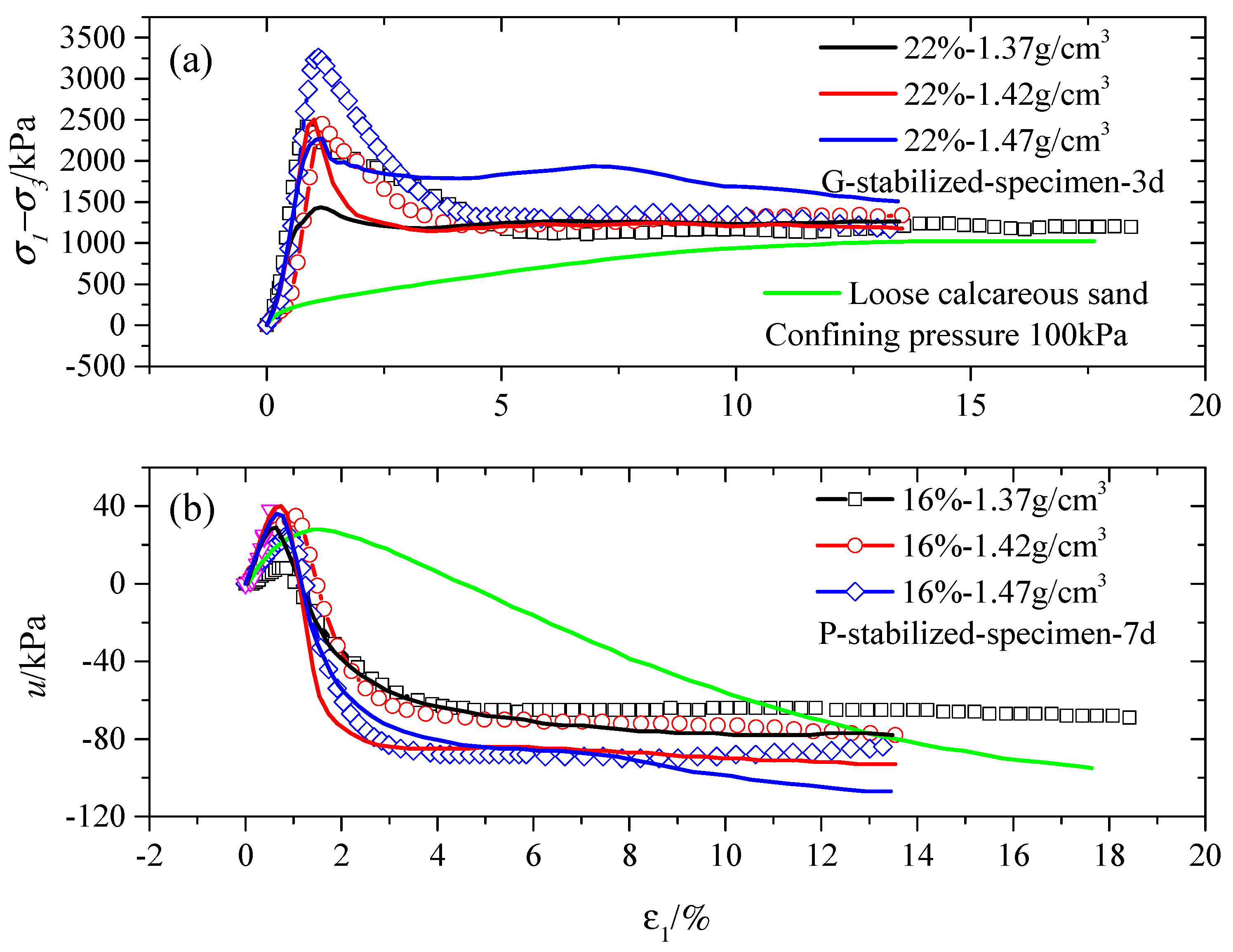
2.3. Impact of Gel Material Type on Mechanical Behavior Response
2.4. Impact of Curing Period on Mechanical Behavior Response
2.5. Impact of Density on Mechanical Behavior Response
2.6. Mechanical Properties of Stabilized Specimens
3. Conclusions
- The findings from the UCS test revealed a positive correlation between qucs and the increasing gel material content. Three cementation levels were chosen to explore the impact of gel material type, characterized by cement/sand ratios of 5%, 10%, and 16% for Portland cement and 13%, 16%, and 22% for gypsum.
- CU tests demonstrated a substantial strength increase with rising curing periods or confining pressure. With increased curing periods or confining pressure, noticeable strain hardening and dilation were observed after the post-yield point in the results. At high gel material contents, an excessive negative pore water pressure was generated in the stabilized specimens beyond the post-yield point, resulting in observed strain softening. This phenomenon suggests an increased propensity for dilation with rising gel material content, irrespective of the gel material type.
- The peak principal stress ratio, strength parameters, secant modulus, and cohesion increased with increasing curing period and gel material content. In addition, the relationship between the secant modulus E50 and confining pressure was qualitatively explained. The study illuminates the impact of key factors on cement-treated calcareous sand, providing insights into stabilized specimen behavior and contributing to the development of more efficient and cost-effective methods for calcareous sand improvement.
4. Materials and Methods
4.1. Materials
4.1.1. Calcareous Sand and Portland Cement
4.1.2. Gypsum
4.2. Sample Preparation
4.3. Comparative Experimental Design
4.4. UCS Test and Triaxial Test Design
Author Contributions
Funding
Institutional Review Board Statement
Informed Consent Statement
Data Availability Statement
Acknowledgments
Conflicts of Interest
References
- Ata, A.; Salem, T.; Hassan, R. Geotechnical characterization of the calcareous sand in northern coast of Egypt. Ain Shams Eng. J. 2018, 9, 3381–3390. [Google Scholar] [CrossRef]
- Wang, X.Z.; Wang, X.; Jin, Z.C.; Zhu, C.Q.; Wang, R.; Meng, Q.S. Investigation of engineering characteristics of calcareous soils from fringing reef. Ocean. Eng. 2017, 134, 77–86. [Google Scholar] [CrossRef]
- Coop, M.R.; Atkinson, J.H. The mechanics of cemented carbonate sands. Géotechnique 1993, 43, 53–67. [Google Scholar] [CrossRef]
- Xiao, Y.; Liu, H.; Xiao, P.; Xiang, J. Fractal crushing of carbonate sands underimpactloading. Géotechnique Lett. 2016, 6, 199–204. [Google Scholar] [CrossRef]
- Wang, X.Z.; Jiao, Y.Y.; Wang, R.; Hu, M.J.; Tan, F.Y. Engineering characteristics of the calcareous sand in Nansha Islands, South China Sea. Eng. Geol. 2011, 120, 40–47. [Google Scholar] [CrossRef]
- Wang, Y.S.; Ma, L.J.; Wang, M.; Lv, Y.R.; Dong, L.; Fan, P.X. A creep constitutive model incorporating deformation mechanisms for crushable calcareous sand. Arab. J. Geosci. 2018, 11, 623. [Google Scholar] [CrossRef]
- Grabiec, A.M.; Starzyk, J.; Stefaniak, K.; Wierzbicki, J.; Zawal, D. On possibility of improvement of compacted silty soils using biodeposition method. Constr. Build. Mater. 2017, 138, 134–140. [Google Scholar] [CrossRef]
- Lee, F.H.; Lee, Y.; Chew, S.H.; Yong, K.Y. Strength and modulus of marine clay-cement mixes. J. Geotech. Geoenvironmental Eng. 2005, 131, 178–185. [Google Scholar] [CrossRef]
- Saitoh, K.; Shirai; Okumura, R.; Kobayashi, Y. Laboratory Experiments on the Mixing Methods for Improvement of Sandy Soils. In Proceedings of the 25th Annual Meeting of Japanese Society of Soil Mechanics and Foundation Engineering, Japanese Society of Soil Mechanics and Foundation Engineering, Tokyo, Japan; 1990; pp. 1955–1958. [Google Scholar]
- Vichan, S.; Rachan, R. Chemical stabilization of soft Bangkok clay using the blend of calcium carbide residue and biomass ash. Soils Found 2013, 53, 272–281. [Google Scholar] [CrossRef]
- Gu, J.X.; Lyu, H.B.; Yang, Y.J.; Zeng, C. Effects of gel material content and curing period on geotechnical properties of cement-treated calcareous sands. Transp. Geotech. 2022, 33, 100732. [Google Scholar] [CrossRef]
- Yang, S.; Liu, W. Research on Unconstrained Compressive Strength and Microstructure of Calcareous Sand with Curing Agent. J. Mar. Sci. Eng. 2019, 7, 294. [Google Scholar] [CrossRef]
- Choobbasti, A.J.; Kutanaei, S.S. Microstructure characteristics of cement-stabilized sandy soil using nanosilica. J. Rock Mech. Geotech. Eng. 2017, 9, 981–988. [Google Scholar] [CrossRef]
- Horpibulsuk, S.; Rachan, R.; Suddeepong, A.; Chinkulkijniwat, A. Strength development in cement admixed Bangkok clay: Laboratory and field investigations. Soils Found 2011, 51, 239–251. [Google Scholar] [CrossRef]
- Ismail, M.A.; Joer, H.A.; Sim, W.H.; Randolph, M. Effect of gel material type on shear behaviour of cemented calcareous soil. J. Geotech. Geoenvironmental Eng. 2002, 128, 520–529. [Google Scholar] [CrossRef]
- Terashi, M. Theme lecture: Deep mixing method–Brief state of the art. In Proceedings of the 14th International Conference on Soil Mechanics and Foundation Engineering, Hamburg, Germany, 6–12 September 1997; Volume 4, pp. 2475–2478. [Google Scholar]
- Wu, J.; Liu, L.; Deng, Y.; Zhang, G.; Zhou, A.; Xiao, H. Use of recycled gypsum in the cement-based stabilization of very soft clays and its micro-mechanism. J. Rock Mech. Geotech. Eng. 2022, 14, 909–921. [Google Scholar] [CrossRef]
- Yoobanpot, N.; Jamsawang, P.; Poorahong, H.; Jongpradist, P.; Likitlersuang, S. Multiscale laboratory investigation of the mechanical and microstructural properties of dredged Sediments stabilized with cement and fly ash. Eng. Geol. 2020, 267, 105491. [Google Scholar] [CrossRef]
- Zeng, L.L.; Bian, X.; Zhao, L.; Wang, Y.J.; Hong, Z.S. Effect of phosphogypsum on physiochemical and mechanical behaviour of cement stabilized dredged soil from Fuzhou, China. Geomech. Energy Environ. 2021, 25, 100195. [Google Scholar] [CrossRef]
- Eyo, E.; Ng’ambi, S.; Abbey, S. Performance of clay stabilized by cementitious materials and inclusion of zeolite/alkaline metals-based additive. Transp. Geotech. 2020, 23, 100330. [Google Scholar] [CrossRef]
- Lee, W.; Lee, M.J.; Choi, S.K. Shear strength of artificially cemented sands. Mar. Georesources Geotechnol. 2009, 27, 201–216. [Google Scholar] [CrossRef]
- Liu, L.; Liu, H.; Stuedlein, A.W.; Evans, T.M.; Xiao, Y. Strength, Stiffness, and Microstructure Characteristics of Biocemented Calcareous Sand. Can. Geotech. J. 2018, 56, 1502–1513. [Google Scholar] [CrossRef]
- Lemaire, K.; Deneele, D.; Bonnet, S.; Legret, M. Effects of lime and cement treatment on the physicochemical, microstructural, and mechanical characteristics of a plastic silt. Eng. Geol. 2013, 166, 255–261. [Google Scholar] [CrossRef]
- Nafisi, A.; Safavizadeh, S.; Montoya, B.M. Influence of Microbe and Enzyme-Induced Treatments on Cemented Sand Shear Response. J. Geotech. Geoenvironmental Eng. 2019, 145, 06019008. [Google Scholar] [CrossRef]
- Skels, P.; Haritonovs, V.; Pavlovskis, E. Wood Fly Ash Stabilized Road Base Layers with High Recycled Asphalt Pavement Content. Balt. J. Road Bridge Eng. 2021, 16, 1–15. [Google Scholar] [CrossRef]
- Zhao, H.; Zhou, K.; Zhao, C.J.; Gong, B.W.; Liu, J. A long-term investigation on microstructure of cement-stabilized handan clay. Eur. J. Environ. Civ. Eng. 2015, 20, 199–214. [Google Scholar] [CrossRef]
- Wang, X.M.; Wang, C.; Yi, Z. Experimental Study on the Unconfined Compressive Strength of Artificially Cemented Sand. IOP Conf. Ser. Earth Environ. Sci. 2019, 283, 012002. [Google Scholar] [CrossRef]
- Lorenzo, G.A.; Bergado, D.T. Fundamental parameters of cement-admixed clay-new approach. J. Geotech. Geoenvironmental Eng. 2004, 130, 1042–1050. [Google Scholar] [CrossRef]
- Uddin, K.; Balasubramaniam, A.; Bergado, D. Engineering Behaviour of Cement-Treated Bangkok Soft Clay. Geotech. Eng. 1997, 28, 89–119. [Google Scholar]
- Azneb, A.S.; Banerjee, S.; Robinson, R.G. Shear Strength of Cement-Treated Marine Clay under Triaxial and Plane Strain Conditions. Proc. Inst. Civ. Eng. Ground Improv. 2021, 174, 143–156. [Google Scholar] [CrossRef]
- Pham, T.A.; Koseki, J.; Dias, D. Optimum Material Ratio for Improving the Performance of Cement-Mixed Soils. Transp. Geotech. 2021, 28, 100544. [Google Scholar] [CrossRef]
- Kasama, K.; Kouki, Z.; Iwataki, K. Undrained Shear Strength of Cement-Treated Soils. Soils Found 2006, 2, 221–232. [Google Scholar] [CrossRef]
- Suzuki, M.; Fujimoto, T.; Taguchi, T. Peak and Residual Strength Characteristics of Cement-Treated Soil Cured under Different Consolidation Conditions. Soils Found 2014, 54, 687–698. [Google Scholar] [CrossRef]
- Sariosseiri, F.; Muhunthan, B. Effect of cement treatment on geotechnical properties of some Washington State soils. Eng. Geol. 2009, 104, 119–125. [Google Scholar] [CrossRef]
- Eliaslankaran, Z.; Daud, N.N.N.; Yusoff, Z.M.; Rostami, V. Evaluation of the Effects of Cement and Lime with Rice Husk Ash as an Additive on Strength Behavior of Coastal Soil. Materials 2021, 14, 1140. [Google Scholar] [CrossRef]
- Mahawish, A.; Bouazza, A.; Gates, W.P. Unconfined Compressive Strength and Visualization of the Microstructure of Coarse Sand Subjected to Different Biocementation Levels. J. Geotech. Geoenvironmental Eng. 2019, 145, 04019033. [Google Scholar] [CrossRef]
- Sharaky, A.M.; Mohamed, N.S.; Elmashad, M.E.; Shredah, N.M. Application of microbial biocementation to improve the physico-mechanical properties of sandy soil. Constr. Build. Mater. 2018, 190, 861–869. [Google Scholar] [CrossRef]
- Lyu, H.B.; Gu, J.X.; Zhou, J.R.; Li, B. Mechanical behavior and particle breakage of calcareous sand in triaxial test. Mar. Geophys. Res. 2023, 44, 18. [Google Scholar] [CrossRef]
- Suebsuk, J.; Horpibulsuk, S.; Liu, M.D. Modified structured Cam clay: A generalised critical state model for destructured, naturally structured and artificially structured clays. Comput. Geotech. 2010, 37, 956–968. [Google Scholar] [CrossRef]
- Cheng, Q.Q.; Xiao, H.W.; Liu, Y.; Wang, W.; Jia, L. Primary yielding locus of cement-stabilized marine clay and its applications. Mar. Georesources Geotechnol. 2018, 37, 488–505. [Google Scholar] [CrossRef]
- Xiao, H.W.; Lee, F.H. Engineering properties of marine clay admixed with Portland cement and blended cement with siliceous fly ash. J. Mater. Civ. Eng. 2017, 29, 0401717. [Google Scholar] [CrossRef]
- Haeri, S.M.; Hamidi, A. Constitutive modelling of cemented gravelly sands. Geomech. Geoengin. 2009, 4, 123–139. [Google Scholar] [CrossRef]
- Ajorloo, A.M.; Mroueh, H.; Lancelot, L. Experimental Investigation of Cement Treated Sand Behavior Under Triaxial Test. Geotech. Geol. Eng. 2011, 30, 129–143. [Google Scholar] [CrossRef]
- Gu, J.X.; Zeng, C.; Lyu, H.B.; Yang, J.Y. Effects of gel material content and curing period on strength enhancement of cemented calcareous sand. Mar. Georesources Geotechnol. 2020, 39, 1083–1095. [Google Scholar] [CrossRef]
- Ismail, M.A.; Joer, H.A.; Randolph, M.F.; Meritt, A. Cementation of porous materials using calcite. Géotechnique 2002, 52, 313–324. [Google Scholar] [CrossRef]
- Wu, Y.; Li, N.; Wang, X.Z.; Cui, J.; Chen, Y.L.; Wu, Y.H.; Yamamoto, H. Experimental investigation on mechanical behavior and particle crushing of calcareous sand retrieved from South China Sea. Eng. Geol. 2021, 280, 105932. [Google Scholar] [CrossRef]
- Yan, C.P.; Long, Z.L.; Zhou, Y.C.; Kuang, D.M.; Chen, J.M. Investigation on the effects of confining pressure and particle size of shear characteristics of calcareous sand. Rock Soil Mech. China 2020, 41, 581–591+634. [Google Scholar] [CrossRef]
- Zhang, J.M. Study on the Basic Mechanical Properties of Calcareous Sand and the Effect of Particle Crushing; Wuhan Institute of Geotechnical Mechanics, Chinese Academy of Sciences: Wuhan, China, 2004. [Google Scholar]
- Shahnazari, H.; Rezvani, R. Effective parameters for the particle breakage of calcareous sands: An experimental study. Eng. Geol. 2013, 159, 98–105. [Google Scholar] [CrossRef]
- Ding, Z.; He, S.H.; Sun, Y.; Xia, T.D.; Zhang, Q.F. Comparative study on cyclic behavior of marine calcareous sand and terrigenous siliceous sand for transportation infrastructure applications. Constr. Build. Mater. 2021, 283, 122740. [Google Scholar] [CrossRef]
- Cui, M.J.; Zheng, J.J.; Chu, J.; Wu, C.C.; Lai, H.J. Bio-mediated calcium carbonate precipitation and its effect on the shear behaviour of calcareous sand. Acta Geotech. 2021, 16, 1377–1389. [Google Scholar] [CrossRef]
- Kang, X.; Kang, G.C.; Ge, L. Modified time of setting test for fly ash paste and fly ash–soil mixtures. J. Mater. Civ. Eng. 2013, 25, 296–301. [Google Scholar] [CrossRef]
- Consoli, N.C.; Winter, D.; Rilho, A.S.; Festugato, L.; Teixeira, B.S. A testing procedure for predicting strength in artificially cemented soft soils. Eng. Geol. 2015, 195, 327–334. [Google Scholar] [CrossRef]
- Szymkiewicz, F.; Guimond-Barrett, A.; Kouby, A.L.; Reiffsteck, P. Influence of grain size distribution and gel material content on the strength and aging of treated sandy soils. Eur. J. Environ. Civ. Eng. 2021, 16, 882–902. [Google Scholar] [CrossRef]
- Van Impe, P.O.; Van Impe, W.F.; Manzotti, A.; Menge, P.; Van den Broeck, M.; Vinck, K. Compaction control and related stress-strain behaviour of off-shore land reclamations with calcareous sands. Soils Found. 2015, 55, 1474. [Google Scholar] [CrossRef]
- Lagioia, R. Creep and apparent reconsolidation in carbonate soils. In Geotechnics of Hard Soils-Soft Rocks; Naples, A.A., Ed.; Balkema: Zutphen, The Netherlands, 1998; Volume 2, pp. 615–621. [Google Scholar]













| Type | 0% Cement Content | 5% Cement Content | 10% Cement Content | 16% Cement Content | 13% Cement Content | 16% Cement Content | 22% Cement Content | ||||||||
|---|---|---|---|---|---|---|---|---|---|---|---|---|---|---|---|
| P-Stabilized Specimen | G-Stabilized Specimen | ||||||||||||||
| Curing Period | 0 | 7 | 28 | 7 | 28 | 7 | 28 | 3 | 28 | 3 | 28 | 3 | 28 | ||
| Confining pressure (σ3 = MPa) | 0.1 | E50 (×10 MPa) | 1.51 | 12.95 | 17.22 | 11.73 | 24.37 | 28.32 | 30.18 | 12.50 | 16.05 | 10.69 | 20.22 | 18.86 | 21.78 |
| 0.2 | 2.39 | 13.85 | 16.79 | 12.06 | 20.78 | 23.32 | 27.60 | 16.57 | 17.97 | 9.80 | 24.84 | 32.22 | 20.45 | ||
| 0.3 | 3.39 | 13.11 | 18.12 | 14.51 | 19.39 | 26.49 | 26.46 | 16.20 | 21.21 | 9.74 | 25.22 | 28.29 | 23.76 | ||
| 0.4 | 4.56 | 15.76 | 22.38 | 17.69 | 22.12 | 28.19 | 32.04 | 18.63 | 22.55 | 9.98 | 22.62 | 23.23 | 25.30 | ||
| 0.1 | R (σ1/σ3)Max | 11.26 | 13.77 | 12.87 | 14.42 | 18.03 | 25.19 | 21.17 | 11.21 | 16.42 | 13.26 | 16.36 | 15.36 | 23.89 | |
| 0.2 | 8.41 | 8.72 | 8.4 | 9.92 | 11.01 | 14.33 | 13.41 | 6.93 | 9.89 | 6.48 | 10.6 | 12.04 | 13.29 | ||
| 0.3 | 7.15 | 6.89 | 7.04 | 7.98 | 8.55 | 10.99 | 9.65 | 5.03 | 8.21 | 5.45 | 8.38 | 8.67 | 9.71 | ||
| 0.4 | 6.65 | 6.28 | 6.16 | 6.3 | 7.67 | 8.84 | 8.07 | 5.22 | 6.68 | 4.81 | 7.50 | 7.60 | 8.49 | ||
| 0.1 | IB | 0 | 0.26 | 0.34 | 0.12 | 0.32 | 0.99 | 0.39 | 0.04 | 0.59 | 0.23 | 0.35 | 0.14 | 0.67 | |
| 0.2 | 0 | 0.07 | 0.11 | 0.04 | 0.21 | 0.65 | 0.35 | 0.14 | 0.27 | 0.03 | 0.46 | 0.52 | 0.59 | ||
| 0.3 | 0 | 0.06 | 0.12 | 0.17 | 0.17 | 0.49 | 0.31 | 0.35 | 0.58 | 0.18 | 0.25 | 0.43 | 0.28 | ||
| 0.4 | 0 | 0.12 | 0.12 | 0.04 | 0.17 | 0.28 | 0.12 | 0.14 | 0.24 | 0.06 | 0.47 | 0.40 | 0.32 | ||
| M | 1.88 | 1.96 | 1.9 | 2.08 | 2.2 | 2.35 | 2.32 | 1.99 | 2.22 | 1.97 | 2.25 | 2.27 | 2.39 | ||
| R2_M | 0.992 | 0.980 | 0.946 | 0.859 | 0.834 | 0.492 | 0.644 | 0.724 | 0.822 | 0.358 | 0.891 | 0.940 | 0.592 | ||
| C (kPa) | 221.1 (φ = 38.7°) | 191.12 | 179.91 | 231.89 | 318.43 | 474.64 | 398.62 | 111.91 | 273.45 | 114.01 | 304.82 | 322.67 | 430.88 | ||
| R2_c | 0.992 | 0.997 | 1 | 0.978 | 0.997 | 0.995 | 0.982 | 0.975 | 0.993 | 0.965 | 0.999 | 0.966 | 0.986 | ||
| Parameters | Value | |
|---|---|---|
| Calcareous sand | Gs | 2.73 |
| emax | 1.29 | |
| emin | 0.70 | |
| CaCO3/% | 91.75 | |
| Cc | 0.95 | |
| Cu | 2.07 | |
| d10/mm | 0.3 | |
| d60/mm | 0.62 | |
| d30/mm | 0.42 | |
| Portland cement components | CaO | 62.0–67.0% |
| SiO2 | 20.0–24% | |
| Al2O3 | 4.0–7.0% | |
| Fe2O3 | 2.5–6.0% | |
| Test Type | Specimen | Cement Content (%) | Curing Period (d) | Density (g/cm3) | Initial Water Content (%) | Total Specimens |
|---|---|---|---|---|---|---|
| UCS Test | P-stabilized specimen | 5, 7.5, 10, 16, 20, 24 | 7 | 1.37 (±0.01) | 10 (±0.4) | 3 × 6 |
| G-stabilized specimen | 10, 12, 16, 18, 20, 24 | 3 | 3 × 6 |
| Type | Test | Cement Content (%) | Curing Period (d) | Confining Pressure (kPa) | Density (g/cm3) | Initial Water Content (%) | Total Specimens |
|---|---|---|---|---|---|---|---|
| Calcareous sand | CU | 0 | 0 | 100, 200, 300, 400 | 1.37 (±0.01) | 10 (±0.4) | 4 |
| P-stabilized specimen | 16 | 7 | 1.42 (±0.01) | 4 | |||
| 1.47 (±0.01) | 4 | ||||||
| 5, 10, 16 | 7, 28 | 1.37 (±0.01) | 24 | ||||
| G-stabilized specimen | 22 | 3 | 1.42 (±0.01) | 4 | |||
| 1.47 (±0.01) | 4 | ||||||
| 13, 16, 22 | 3, 28 | 1.37 (±0.01) | 24 |
Disclaimer/Publisher’s Note: The statements, opinions and data contained in all publications are solely those of the individual author(s) and contributor(s) and not of MDPI and/or the editor(s). MDPI and/or the editor(s) disclaim responsibility for any injury to people or property resulting from any ideas, methods, instructions or products referred to in the content. |
© 2024 by the authors. Licensee MDPI, Basel, Switzerland. This article is an open access article distributed under the terms and conditions of the Creative Commons Attribution (CC BY) license (https://creativecommons.org/licenses/by/4.0/).
Share and Cite
Gu, J.; Lyu, H.; Li, B.; Wang, Y.; Chen, H.; Gao, X.; Xu, X. Enhancing Load-Bearing Capacity of Calcareous Sands through Gel Stabilization: A Mechanical and Material Characterization Study. Gels 2024, 10, 373. https://doi.org/10.3390/gels10060373
Gu J, Lyu H, Li B, Wang Y, Chen H, Gao X, Xu X. Enhancing Load-Bearing Capacity of Calcareous Sands through Gel Stabilization: A Mechanical and Material Characterization Study. Gels. 2024; 10(6):373. https://doi.org/10.3390/gels10060373
Chicago/Turabian StyleGu, Jianxiao, Haibo Lyu, Bo Li, Yong Wang, Hui Chen, Xinyi Gao, and Xiaojiang Xu. 2024. "Enhancing Load-Bearing Capacity of Calcareous Sands through Gel Stabilization: A Mechanical and Material Characterization Study" Gels 10, no. 6: 373. https://doi.org/10.3390/gels10060373
APA StyleGu, J., Lyu, H., Li, B., Wang, Y., Chen, H., Gao, X., & Xu, X. (2024). Enhancing Load-Bearing Capacity of Calcareous Sands through Gel Stabilization: A Mechanical and Material Characterization Study. Gels, 10(6), 373. https://doi.org/10.3390/gels10060373

