The Influence of Reinforced Fibers and Opacifiers on the Effective Thermal Conductivity of Silica Aerogels
Abstract
1. Introduction
2. Results and Discussion
2.1. Validation of Model
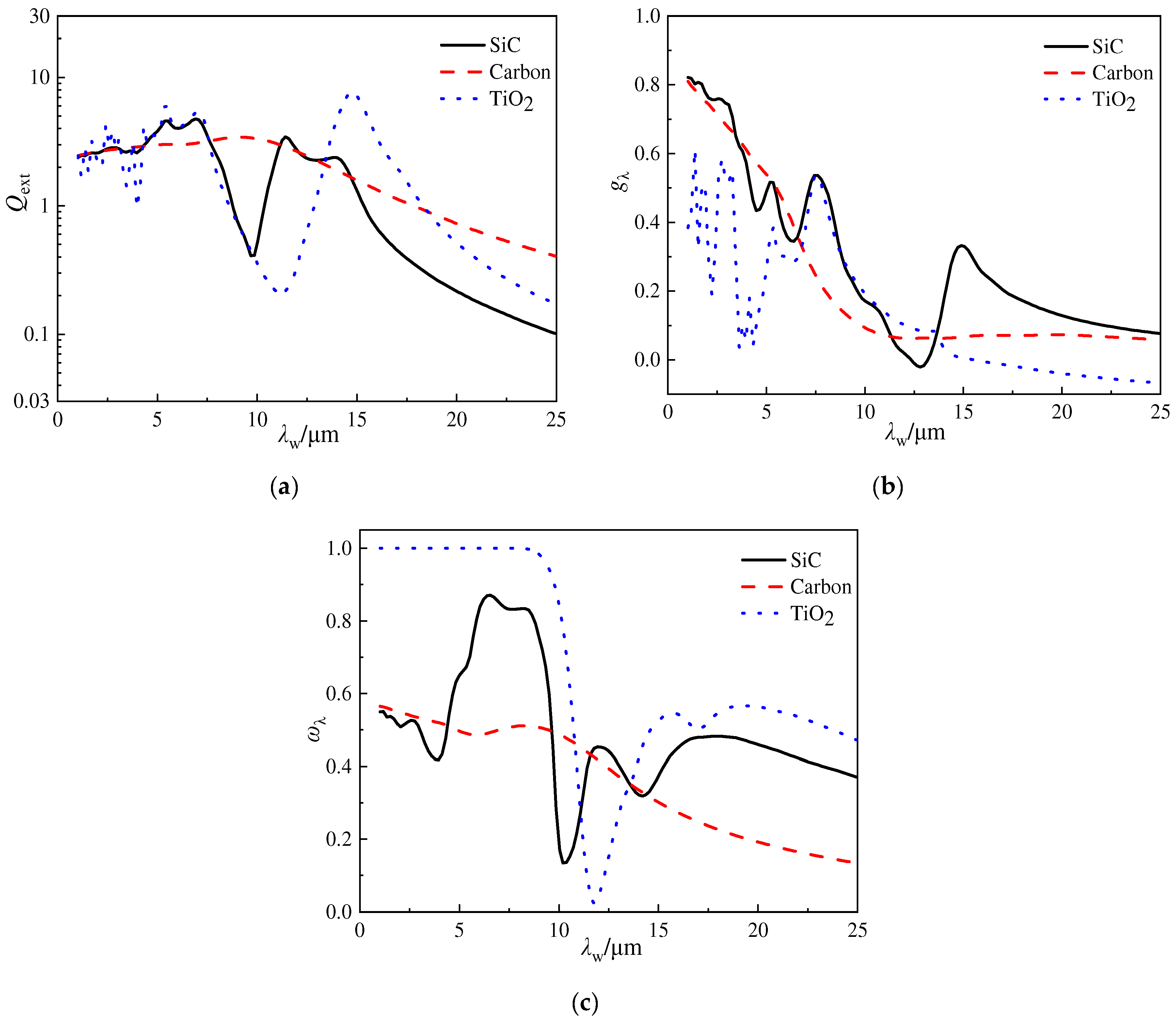
2.2. Effect of Different Opacifier Particles
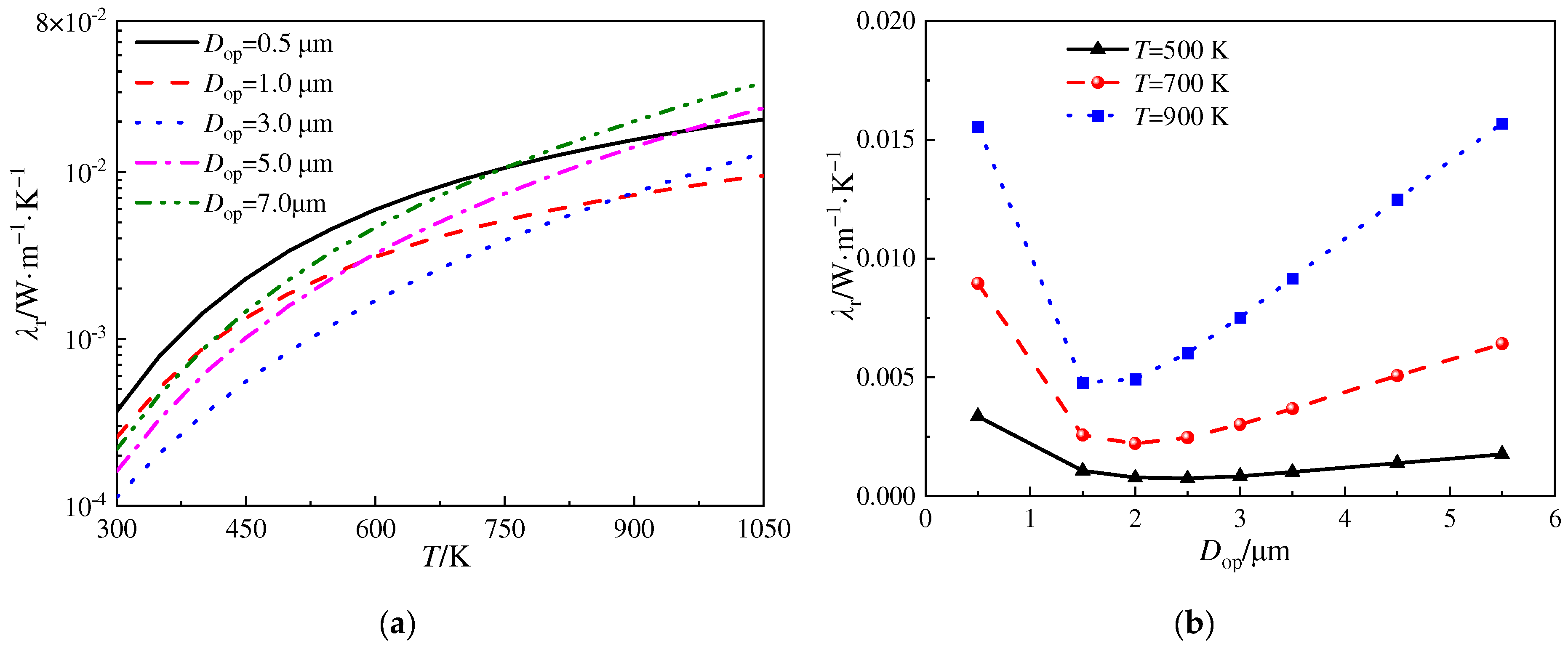
2.3. Effect of Different Diameters for Opacifier Particles
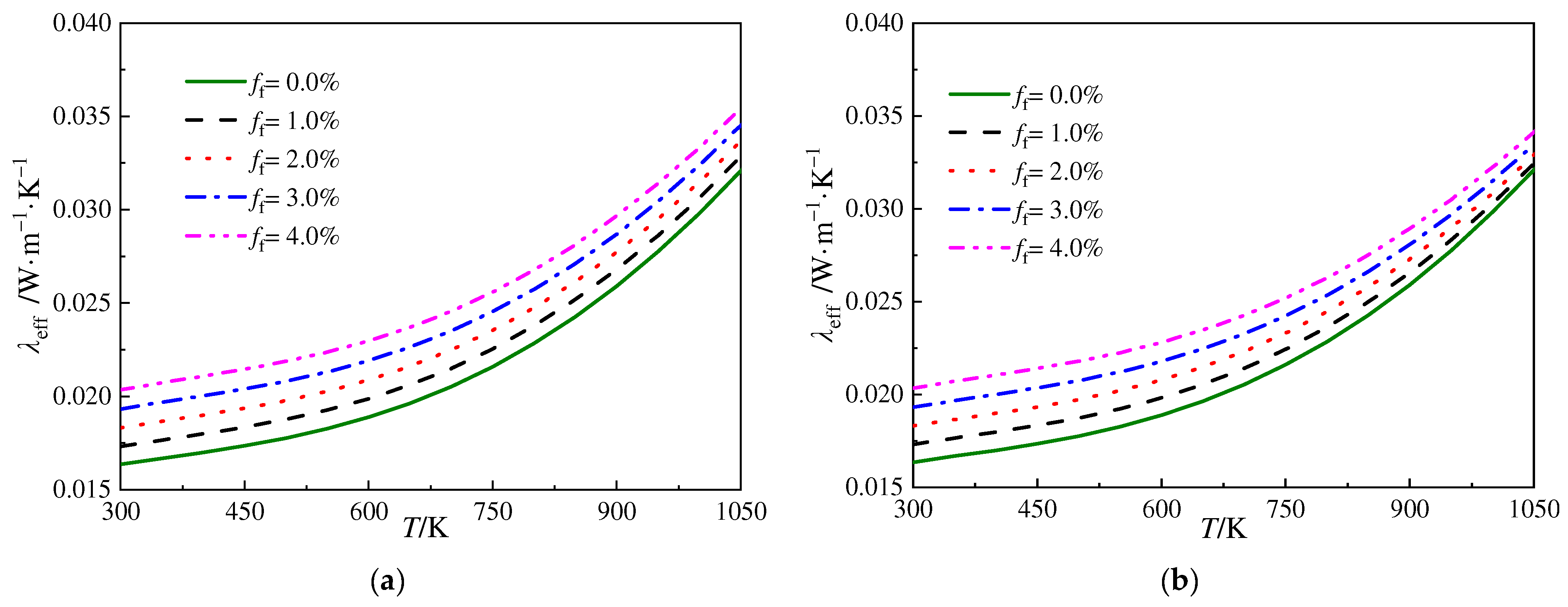
2.4. Effect of Different Volume Fractions for Opacifier Particles
2.5. Effect of Reinforced Fibers
3. Conclusions
- (1)
- For a specific type and volume fraction of opacifier particles, an optimal particle diameter exists that maximizes the extinction performance and minimizes the radiative thermal conductivity, and this optimal size is temperature-dependent. Within the temperatures investigated, opacifier particles with smaller diameters demonstrate superior extinction capabilities.
- (2)
- The mechanisms of opacifiers for blocking radiative heat transfer performed by diverse opacifiers differ distinctly: carbon principally relies on absorptive properties, whereas TiO2 predominantly utilizes scattering mechanisms, and for SiC, the dominant mechanism depends on the wavelength. Furthermore, all three particles demonstrate significant anisotropic scattering properties.
- (3)
- For the conditions and opacifier particles investigated in this paper, as the volume fraction increases to 1%, the radiative heat transfer of silica aerogel can be significantly restrained at high temperatures, which apparently improves the thermal insulation performance of the material. However, as the volume fraction further increases, the decrease in the radiative thermal radiation conductivity becomes less, while the thermal conductivity due to conduction (λg-c + λs) gradually increases. Thus, for opacifier particles, there exists an optimal volume fraction that would minimize the ETC of silica aerogels.
- (4)
- Besides opacifier particles, SiO2 fibers can also restrain radiative heat transfer to reduce the ETC of silica aerogels at high temperatures. However, increasing the volume fraction of SiO2 fibers will significantly raise the ETC of silica aerogels at low temperatures due to their higher conductive thermal conductivity compared with that of the solid backbone. Thus, it is advantageous for insulation performance to minimize the volume fraction of reinforced fibers if the demands of the mechanical properties are satisfied.
4. Materials and Methods
4.1. The Scattering Characteristics of Opacifier Particles
4.2. The Scattering Characteristics of Reinforced Fibers
4.3. The Radiative Thermal Conductivity for Fiber–Particle-Reinforced Silica Aerogels
4.4. The ETC for Fiber–Particle-Reinforced Silica Aerogels
Author Contributions
Funding
Institutional Review Board Statement
Informed Consent Statement
Data Availability Statement
Conflicts of Interest
Nomenclature
| Df | Diameter of reinforced fibers (m) | 
| Dop | Diameter of opacifier particles (m) | 
| nref | Refractive index | 
| P | Gas pressure (Pa) | 
| Qabs | Absorption efficiency | 
| Qext | Extinction efficiency | 
| Qsca | Scattering efficiency | 
| T | Temperature (K) | 
| f | Volume fraction | 
| q | Heat flux (W·m−2) | 
| x | Size parameter of particles and fibers | 
| Greek symbols | |
| β | Spectral extinction coefficient (m−1) | 
| γ | Specific heat ratio; length ratio | 
| σ | Stefan-Boltzmann constant (W·m−2 ·K−4) | 
| λ | Thermal conductivity (W·m−1·K−1); Wave length (m) | 
| ω | Scattering albedo | 
| ϕ | Incident angle of infrared light | 
| Subscript | |
| a | Pure silica aerogel | 
| a-o | Silica aerogel and opacifier particle | 
| b | Solid skeleton | 
| cd | Conductive heat transfer | 
| eff | Effective | 
| ext | Extinction | 
| f | Reinforced fiber | 
| g | Gas | 
| g-c | Gas contributed | 
| op | Opacifier particles | 
| r | Radiation | 
| ref | Refraction | 
| sca | Scattering | 
References
- Moretti, E.; Belloni, E.; Merli, F.; Zinzi, M.; Buratti, C. Laboratory and pilot scale characterization of granular aerogel glazing systems. Energ. Build. 2019, 202, 109349. [Google Scholar] [CrossRef]
- Lv, Q.-T.; Zhu, X.-Y.; Zhou, T.-Y.; Tian, L.-J.; Liu, Y.-W.; Wang, Y.-D.; Zhang, C.-H. Multifunctional and recyclable aerogel/fiber building insulation composites with sandwich structure. Constr. Build. Mater. 2024, 423, 135902. [Google Scholar] [CrossRef]
- Zhu, C.-Y.; Li, Z.-Y.; Pang, H.-Q.; Pan, N. Design and optimization of core/shell structures as highly efficient opacifiers for silica aerogels as high-temperature thermal insulation. Int. J. Therm. Sci. 2018, 133, 206–215. [Google Scholar] [CrossRef]
- Fang, W.-Z.; Zhang, H.; Chen, L.; Tao, W.-Q. Numerical predictions of thermal conductivities for the silica aerogel and its composites. Appl. Therm. Eng. 2017, 115, 1277–1286. [Google Scholar] [CrossRef]
- He, Y.-L.; Xie, T. Advances of thermal conductivity models of nanoscale silica aerogel insulation material. Appl. Therm. Eng. 2015, 81, 28–50. [Google Scholar] [CrossRef]
- Gonzo, E.E. Estimating correlations for the effective thermal conductivity of granular materials. Chem. Eng. J. 2002, 90, 299–302. [Google Scholar] [CrossRef]
- Marcos-G’omez, D.; Ching-Lloyd, J.; Elizalde, M.; Clegg, W.; Molina-Aldareguia, J. Predicting the thermal conductivity of composite materials with imperfect interfaces. Compos. Sci. Technol. 2010, 70, 2276–2283. [Google Scholar] [CrossRef]
- Yan, P.; Chen, F.; Jiang, C.; Song, F. An eigenfunction expansion–variational method in prediction of the transverse thermal conductivity of fiber reinforced composites considering interfacial characteristics. Compos. Sci. Technol. 2010, 70, 1726–1732. [Google Scholar] [CrossRef][Green Version]
- Yuan, C.; Xie, B.; Huang, M.; Wu, R.; Luo, X. Thermal conductivity enhancement of platelets aligned composites with volume fraction from 10% to 20. Int. J. Heat Mass Tran. 2016, 94, 20–28. [Google Scholar] [CrossRef]
- Zhao, Y.-H.; Zhang, Y.-F.; Bai, S.-L.; Yuan, X.-W. Carbon fibre/graphene foam/polymer composites with enhanced mechanical and thermal properties. Compos. B Eng. 2016, 94, 102–108. [Google Scholar] [CrossRef]
- Maxwell, J.C. A Treatise on Electricity and Magnetism Volume 1; Clarendon Press: Oxford, UK, 1873. [Google Scholar]
- Chiew, Y.; Glandt, E. The effect of structure on the conductivity of a dispersion. J. Colloid Interface Sci. 1983, 94, 90–104. [Google Scholar] [CrossRef]
- Bi, C.; Tang, G.; Hu, Z. Heat conduction modeling in 3-D ordered structures for prediction of aerogel thermal conductivity. Int. J. Heat Mass Transf. 2014, 73, 103–109. [Google Scholar] [CrossRef]
- Qu, Z.; Fu, Y.; Liu, Y.; Zhou, L. Approach for predicting effective thermal conductivity of aerogel materials through a modified lattice Boltzmann method. Appl. Therm. Eng. 2018, 132, 730–739. [Google Scholar] [CrossRef]
- Xie, T.; He, Y.-L.; Hu, Z.-J. Theoretical study on thermal conductivities of silica aerogel composite insulating material. Int. J. Heat Mass Transf. 2013, 58, 540–552. [Google Scholar] [CrossRef]
- Spagnol, S.; Lartigue, B.; Trombe, A.; Gibiat, V. Thermal modeling of two-dimensional periodic fractal patterns, an application to nanoporous media. EPL (Europhys. Lett.) 2007, 78, 46005. [Google Scholar] [CrossRef]
- Zeng, S.-O.; Hunt, A.; Greif, R. Geometric structure and thermal conductivity of porous medium silica aerogel. J. Heat Transfer 1995, 117, 1055–1058. [Google Scholar] [CrossRef]
- Chen, Y.; Li, D.; Xie, X.-Q.; Gao, Y.; He, Y.-L. Theoretical modeling and experimental validation for the effective thermal conductivity of moist silica aerogel. Int. J. Heat Mass Tran. 2020, 147, 118842. [Google Scholar] [CrossRef]
- Zeng, S.; Hunt, A.; Greif, R. Theoretical modeling of carbon content to minimize heat transfer in silica aerogel. J. Non Cryst. Solids 1995, 186, 271–277. [Google Scholar] [CrossRef]
- Bi, C.; Tang, G.-H.; Hu, Z.-J.; Yang, H.-L.; Li, J.-N. Coupling model for heat transfer between solid and gas phases in aerogel and experimental investigation. Int. J. Heat Mass Transf. 2014, 79, 126–136. [Google Scholar] [CrossRef]
- Liu, H.; Xia, X.-L.; Ai, Q.; Xie, X.-Q.; Sun, C. Experimental investigations on temperature-dependent effective thermal conductivity of nanoporous silica aerogel composite. Exp. Therm. Fluid. Sci. 2017, 84, 67–77. [Google Scholar] [CrossRef]
- Dombrovsky, L.A.; Baillis, D. Thermal Radiation in Disperse Systems: An Engineering Approach; Begell House: New York, NY, USA, 2010. [Google Scholar]
- Zhang, H.; Fang, W.-Z.; Wang, X.; Li, Y.-M.; Tao, W.-Q. Thermal conductivity of fiber and opacifier loaded silica aerogel composite. Int. J. Heat Mass Transf. 2017, 115, 21–31. [Google Scholar] [CrossRef]
- Wei, G.; Liu, Y.; Zhang, X.; Yu, F.; Du, X.-Z. Thermal conductivities study on silica aerogel and its composite insulation materials. Int. J. Heat Mass Transf. 2011, 54, 2355–2366. [Google Scholar] [CrossRef]
- Brown, R.G.W. Absorption and Scattering of Light by Small Particles; Wiley: Hoboken, NJ, USA, 1983. [Google Scholar]
- Wang, X.-D.; Sun, D.; Duan, Y.-Y.; Hu, Z.-J. Radiative characteristics of opacifier-loaded silica aerogel composites. J. Non. Cryst. Solids. 2013, 375, 31–39. [Google Scholar] [CrossRef]
- Zhao, Y.; Tang, G.-H.; Du, M. Numerical study of radiative properties of nanoporous silica aerogel. Int. J. Therm. Sci. 2015, 89, 110–120. [Google Scholar] [CrossRef]
- Wang, M.; Pan, N. Predictions of effective physical properties of complex multiphase materials. Mater. Sci. Eng. R Rep. 2008, 63, 1–30. [Google Scholar] [CrossRef]








| Density (kg/m3) | Porosity (%) | Mean Pore Size (nm) | Particle Size (nm) | 
|---|---|---|---|
| 120 | 95.54 | 81.9 | 7.1 | 
| 218 | 90.09 | 43.0 | 7.1 | 
| 288 | 86.91 | 32.1 | 7.3 | 
| 307 | 86.05 | 29.5 | 7.2 | 
| 395 | 82.05 | 21.0 | 6.9 | 
| 470 | 78.64 | 19.2 | 7.8 | 
| Material | Density (kg/m3) | Thermal Conductivity under Ambient Conditions (W/(m·K)) | 
|---|---|---|
| Silica aerogel | 110 | 0.011 | 
| SiC | 3100 | 83.6 | 
| Carbon | 1450 | 4.18 | 
| TiO2 | 4260 | 4.26 | 
| SiO2 fiber | 2200 | 1.34 | 
| Strategy | Strengths and Weaknesses | 
|---|---|
| I. SiO2 fibers (Df = 6.0 μm) only | Increasing the volume fraction of fibers could reduce the ETC of the silica aerogels, and the ETC is the highest among these three strategies | 
| II. SiO2 fibers (Df = 6.0 μm) and SiC particles | Increasing the volume fraction of fibers would increase the ETC of the silica aerogels, the ETC is lower than Strategy I | 
| III. SiO2 fibers (Df = 3.0 μm) and SiC particles | Increasing the volume fraction of fibers would increase the ETC of the silica aerogels, the ETC is lower than Strategy I, and for higher temperatures, the ETC is lower than Strategy II | 
| Disclaimer/Publisher’s Note: The statements, opinions and data contained in all publications are solely those of the individual author(s) and contributor(s) and not of MDPI and/or the editor(s). MDPI and/or the editor(s) disclaim responsibility for any injury to people or property resulting from any ideas, methods, instructions or products referred to in the content. | 
© 2024 by the authors. Licensee MDPI, Basel, Switzerland. This article is an open access article distributed under the terms and conditions of the Creative Commons Attribution (CC BY) license (https://creativecommons.org/licenses/by/4.0/).
Share and Cite
Huang, B.; Li, J.; Gong, L.; Dai, P.; Zhu, C. The Influence of Reinforced Fibers and Opacifiers on the Effective Thermal Conductivity of Silica Aerogels. Gels 2024, 10, 300. https://doi.org/10.3390/gels10050300
Huang B, Li J, Gong L, Dai P, Zhu C. The Influence of Reinforced Fibers and Opacifiers on the Effective Thermal Conductivity of Silica Aerogels. Gels. 2024; 10(5):300. https://doi.org/10.3390/gels10050300
Chicago/Turabian StyleHuang, Binghuan, Jingbei Li, Liang Gong, Pengcheng Dai, and Chuanyong Zhu. 2024. "The Influence of Reinforced Fibers and Opacifiers on the Effective Thermal Conductivity of Silica Aerogels" Gels 10, no. 5: 300. https://doi.org/10.3390/gels10050300
APA StyleHuang, B., Li, J., Gong, L., Dai, P., & Zhu, C. (2024). The Influence of Reinforced Fibers and Opacifiers on the Effective Thermal Conductivity of Silica Aerogels. Gels, 10(5), 300. https://doi.org/10.3390/gels10050300
 
        




 
       