Determination of Density of Starch Hydrogel Microspheres from Sedimentation Experiments Using Non-Stokes Drag Coefficient
Abstract
1. Introduction
2. Materials and Methods
2.1. Materials
2.2. Optical Microscopy
2.3. Swelling of Starch Microparticles
2.4. Sedimentation Experiments
3. Results and Discussion
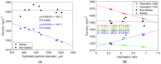
3.1. Particles Hydration and Swelling in Milli-Q Water
3.2. Sedimentation Experiments in Milli-Q Water
3.3. Particle Density—Milli-Q Water
3.4. Hydration and Swelling of Starch Particles in Salt Solutions
3.5. Starch Particles Hydration, Sedimentation Experiments, and Particle Densities at Controlled pH
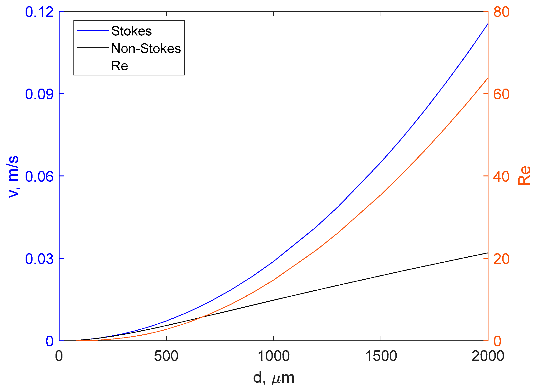
3.6. The Effect of Nonlaminar Flow in Sedimentation of Starch Particles
3.7. Effects of Salt and pH on Swelling of Cross-Linked Starch Microparticles
4. Conclusions
Supplementary Materials
Author Contributions
Funding
Data Availability Statement
Acknowledgments
Conflicts of Interest
Appendix A. An Estimate of the Method’s Accuracy


References
- Taylor, K.; Aulton, M.E. Aulton’s Pharmaceutics: The Design and Manufacture of Medicines, 6th ed.; Elsevier: Amsterdam, The Netherlands, 2022; p. 968. [Google Scholar]
- McClements, D.J. Recent progress in hydrogel delivery systems for improving nutraceutical bioavailability. Food Hydrocoll. 2017, 68, 238–245. [Google Scholar] [CrossRef]
- McClements, D.J. Designing biopolymer microgels to encapsulate, protect and deliver bioactive components: Physicochemical aspects. Adv. Colloid Interface Sci. 2017, 240, 31–59. [Google Scholar] [CrossRef] [PubMed]
- Matalanis, A.; McClements, D.J. Hydrogel microspheres for encapsulation of lipophilic components: Optimization of fabrication & performance. Food Hydrocoll. 2013, 31, 15–25. [Google Scholar] [CrossRef]
- Carstensen, J.T.; Su, K.S. Sedimentation kinetics of flocculated suspensions I: Initial sedimentation region. J. Pharm. Sci. 1970, 59, 666–670. [Google Scholar] [CrossRef] [PubMed]
- Mann, H.; Mueller, P.; Hagemeier, T.; Roloff, C.; Thévenin, D.; Tomas, J. Analytical description of the unsteady settling of spherical particles in Stokes and Newton regimes. Granul. Matter 2015, 17, 629–644. [Google Scholar] [CrossRef]
- Wojtasz, J.; Carlstedt, J.; Fyhr, P.; Kocherbitov, V. Hydration and swelling of amorphous cross-linked starch microspheres. Carbohydr. Polym. 2016, 135, 225–233. [Google Scholar] [CrossRef] [PubMed]
- Digaitis, R.; Falkman, P.; Oltner, V.; Briggner, L.-E.; Kocherbitov, V. Hydration and dehydration induced changes in porosity of starch microspheres. Carbohydr. Polym. 2022, 291, 119542. [Google Scholar] [CrossRef] [PubMed]
- Lee, G.Y.; Kenny, P.A.; Lee, E.H.; Bissell, M.J. Three-dimensional culture models of normal and malignant breast epithelial cells. Nat. Methods 2007, 4, 359–365. [Google Scholar] [CrossRef] [PubMed]
- Achilli, T.-M.; Meyer, J.; Morgan, J.R. Advances in the formation, use and understanding of multi-cellular spheroids. Expert Opin. Biol. Ther. 2012, 12, 1347–1360. [Google Scholar] [CrossRef]
- Prüsse, U.; Bilancetti, L.; Bučko, M.; Bugarski, B.; Bukowski, J.; Gemeiner, P.; Lewińska, D.; Manojlovic, V.; Massart, B.; Nastruzzi, C. Comparison of different technologies for alginate beads production. Chem. Pap. 2008, 62, 364–374. [Google Scholar] [CrossRef]
- Chan, E.-S. Preparation of Ca-alginate beads containing high oil content: Influence of process variables on encapsulation efficiency and bead properties. Carbohydr. Polym. 2011, 84, 1267–1275. [Google Scholar] [CrossRef]
- Stribiţcaia, E.; Krop, E.M.; Lewin, R.; Holmes, M.; Sarkar, A. Tribology and rheology of bead-layered hydrogels: Influence of bead size on sensory perception. Food Hydrocoll. 2020, 104, 105692. [Google Scholar] [CrossRef]
- Argatov, I.; Krcic, N.; Kocherbitov, V. Sedimentation of a starch microsphere: What is usually missed and why? Heliyon 2023, 9, e20257. [Google Scholar] [CrossRef] [PubMed]
- Dey, S.; Ali, S.Z.; Padhi, E. Terminal fall velocity: The legacy of Stokes from the perspective of fluvial hydraulics. Proc. R. Soc. A 2019, 475, 20190277. [Google Scholar] [CrossRef] [PubMed]
- Majumder, A. Settling velocities of particulate systems—A critical review of some useful models. Min. Metall. Explor. 2007, 24, 237–242. [Google Scholar] [CrossRef]
- Merkus, H.G. Sedimentation Techniques. In Particle Size Measurements: Fundamentals, Practice, Quality; Springer: Dordrecht, The Netherlands, 2009; pp. 319–348. [Google Scholar] [CrossRef]
- Aleksandrov, A.A.; Dzhuraeva, E.; Utenkov, V. Viscosity of aqueous solutions of sodium chloride. High Temp. 2012, 50, 354–358. [Google Scholar] [CrossRef]
- Chen, C.-T.A.; Chen, J.H.; Millero, F.J. Densities of sodium chloride, magnesium chloride, sodium sulfate, and magnesium sulfate aqueous solutions at 1 atm from 0 to 50. degree. C and from 0.001 to 1.5 m. J. Chem. Eng. Data 1980, 25, 307–310. [Google Scholar] [CrossRef]
- Ostroha, J.; Pong, M.; Lowman, A.; Dan, N. Controlling the collapse/swelling transition in charged hydrogels. Biomaterials 2004, 25, 4345–4353. [Google Scholar] [CrossRef] [PubMed]
- Liu, X.; Tong, Z.; Hu, O. Swelling equilibria of hydrogels with sulfonate groups in water and in aqueous salt solutions. Macromolecules 1995, 28, 3813–3817. [Google Scholar] [CrossRef]
- Clift, R.; Grace, J.R.; Weber, M.E. Bubbles, Drops, and Particles; Dover Publications: Mineola, NY, USA, 2005. [Google Scholar]
- Brown, P.P.; Lawler, D.F. Sphere drag and settling velocity revisited. J. Environ. Eng. 2003, 129, 222–231. [Google Scholar] [CrossRef]
- Rhodes, M.J. Introduction to Particle Technology; John Wiley & Sons: Chichester, UK, 2008. [Google Scholar]
- Rezazadeh, M.; Seidi, S.; Lid, M.; Pedersen-Bjergaard, S.; Yamini, Y. The modern role of smartphones in analytical chemistry. TrAC Trends Anal. Chem. 2019, 118, 548–555. [Google Scholar] [CrossRef]
- Sansone, E.B.; Civic, T.M. Liquid sedimentation analysis: Media conductivity and particle size effects. Powder Technol. 1975, 12, 11–18. [Google Scholar] [CrossRef]






| Particle | Dry Particle Diameter (µm) | Hydrated Particle Diameter (µm) | Volumetric Swelling Ratio (µm3/µm3) |
|---|---|---|---|
| P1 | 282.3 | 538.3 | 6.94 |
| P2 | 323.0 | 614.0 | 6.87 |
| P3 | 357.9 | 680.9 | 6.88 |
| P4 | 462.7 | 846.8 | 6.13 |
| P5 | 410.3 | 753.7 | 6.20 |
| P6 | 480.1 | 875.9 | 6.07 |
| P7 | 634.4 | 1126.1 | 5.60 |
| P8 | 648.9 | 1149.4 | 5.56 |
| P9 | 683.8 | 1216.3 | 5.63 |
| Particle Density (kg/m3) | Reynolds Number, Re | Drag Coefficient, CD | |
|---|---|---|---|
| P1 | 1045.2 | 3.76 | 8.76 |
| P2 | 1051.8 | 5.79 | 6.22 |
| P3 | 1051.9 | 7.45 | 5.14 |
| P4 | 1055.7 | 13.04 | 3.45 |
| P5 | 1057.4 | 10.19 | 4.09 |
| P6 | 1051.5 | 13.30 | 3.4 |
| P7 | 1049.1 | 22.46 | 2.43 |
| P8 | 1052.2 | 22.47 | 2.3 |
| P9 | 1049.1 | 26.52 | 2.19 |
| Average Particle Density (kg/m3) | Fluid Density (kg/m3) | Density Difference ∆ρ (kg/m3) | |
|---|---|---|---|
| Milli-Q water | 1051.5 | 997.0 | 54.5 |
| Acid Solution HCl pH = 4 | 1053.4 | 997.0 | 56.4 |
| Basic Solution NaOH pH = 10 | 1049.9 | 997.0 | 52.9 |
| NaCl 1% | 1065.2 | 1004.0 | 61.2 |
| NaCl 6% | 1094.8 | 1037.2 | 57.6 |
| Dry Particle Diameter (µm) | Hydrated Particle Diameter (µm) | Volumetric Swelling Ratio (µm3/µm3) | ||
|---|---|---|---|---|
| Acid Solution HCl pH = 4 | PAS a | 503.4 | 910.8 | 5.92 |
| Basic Solution NaOH pH = 10 | PBS | 538.3 | 969.0 | 5.83 |
| Particle Density (kg/m3) | Reynolds Number, Re | Drag Coefficient, CD | ||
|---|---|---|---|---|
| Acid Solution HCl, pH = 4 | PAS | 1053.4 | 14.9 | 3.15 |
| Basic Solution NaOH, pH = 10 | PBS | 1049.9 | 16.3 | 2.97 |
Disclaimer/Publisher’s Note: The statements, opinions and data contained in all publications are solely those of the individual author(s) and contributor(s) and not of MDPI and/or the editor(s). MDPI and/or the editor(s) disclaim responsibility for any injury to people or property resulting from any ideas, methods, instructions or products referred to in the content. |
© 2024 by the authors. Licensee MDPI, Basel, Switzerland. This article is an open access article distributed under the terms and conditions of the Creative Commons Attribution (CC BY) license (https://creativecommons.org/licenses/by/4.0/).
Share and Cite
Cretella, M.; Fazilati, M.; Krcic, N.; Argatov, I.; Kocherbitov, V. Determination of Density of Starch Hydrogel Microspheres from Sedimentation Experiments Using Non-Stokes Drag Coefficient. Gels 2024, 10, 277. https://doi.org/10.3390/gels10040277
Cretella M, Fazilati M, Krcic N, Argatov I, Kocherbitov V. Determination of Density of Starch Hydrogel Microspheres from Sedimentation Experiments Using Non-Stokes Drag Coefficient. Gels. 2024; 10(4):277. https://doi.org/10.3390/gels10040277
Chicago/Turabian StyleCretella, Margherita, Mina Fazilati, Nedim Krcic, Ivan Argatov, and Vitaly Kocherbitov. 2024. "Determination of Density of Starch Hydrogel Microspheres from Sedimentation Experiments Using Non-Stokes Drag Coefficient" Gels 10, no. 4: 277. https://doi.org/10.3390/gels10040277
APA StyleCretella, M., Fazilati, M., Krcic, N., Argatov, I., & Kocherbitov, V. (2024). Determination of Density of Starch Hydrogel Microspheres from Sedimentation Experiments Using Non-Stokes Drag Coefficient. Gels, 10(4), 277. https://doi.org/10.3390/gels10040277

