Establishing Aspergillus-Specific IgG Cut-Off Level for Chronic Pulmonary Aspergillosis Diagnosis: Multicenter Prospective Cohort Study
Abstract
1. Introduction
2. Materials and Methods
2.1. Ethics Statement
2.2. Study Participants and Setting
2.3. Derivation and Validation Dataset
2.4. Measurement of Serum Asp-IgG Level
2.5. Definition and Data Collection
2.6. Statistical Analysis
3. Results
3.1. Patients Recruitment
3.2. Clinical Characteristics of Participants in the Derivation Cohort
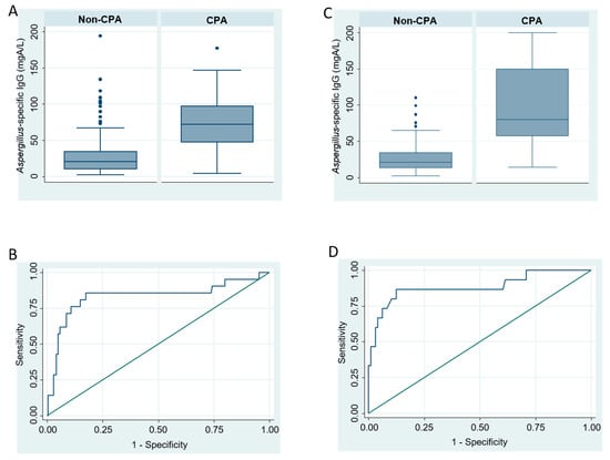
3.3. Optimal Cut-Off Level and Diagnostic Performance of Asp-IgG in the Derivation Cohort
3.4. Clinical Characteristics of Participants in the Validation Cohort
3.5. Supplementary and Detailed Information of the Entire Cohort
3.6. Validation of Derived Asp-IgG Cut-Off Level in the Validation Cohort
3.7. Asp-IgG Cut-Off Level Performance in the Entire Cohort
3.8. Subgroup Analysis of Proposed Asp-IgG Cut-Off Level in CPA
3.9. Optimal Cut-Off Level of Asp-IgG for CCPA and CFPA (Excluding Aspergilloma, Aspergillus Nodule and SAIA)
3.10. Aspergillus IgG Level in Patients with Different CPA Types
3.11. Comparison of Asp-IgG Level Between Hospitals
3.12. Reasons for Exclusion of CPA among Those with Asp-IgG above 40.5 mgA/L in the Non-CPA Group
4. Discussion
Author Contributions
Funding
Institutional Review Board Statement
Informed Consent Statement
Data Availability Statement
Acknowledgments
Conflicts of Interest
References
- Denning, D.W.; Cadranel, J.; Beigelman-Aubry, C.; Ader, F.; Chakrabarti, A.; Blot, S.; Ullmann, A.J.; Dimopoulos, G.; Lange, C. Chronic pulmonary aspergillosis: Rationale and clinical guidelines for diagnosis and management. Eur. Respir. J. 2015, 47, 45–68. [Google Scholar] [CrossRef] [PubMed]
- Lee, M.-R.; Huang, H.-L.; Chen, L.-C.; Yang, H.-C.; Ko, J.-C.; Cheng, M.-H.; Chong, I.-W.; Lee, L.-N.; Wang, J.-Y.; Dimopoulos, G. Seroprevalence of Aspergillus IgG and disease prevalence of chronic pulmonary aspergillosis in a country with intermediate burden of tuberculosis: A prospective observational study. Clin. Microbiol. Infect. 2020, 26, 1091.e1–1091.e7. [Google Scholar] [CrossRef] [PubMed]
- Hayes, G.E.; Novak-Frazer, L. Chronic Pulmonary Aspergillosis—Where Are We? and Where Are We Going? J. Fungi 2016, 2, 18. [Google Scholar] [CrossRef] [PubMed]
- Bongomin, F.; Gago, S.; Oladele, R.O.; Denning, D.W. Global and Multi-National Prevalence of Fungal Diseases—Estimate Precision. J. Fungi 2017, 3, 57. [Google Scholar] [CrossRef]
- Huang, Y.-S.; Denning, D.W.; Shih, S.-M.; Hsiung, C.A.; Wu, U.-I.; Sun, H.-Y.; Chen, P.-Y.; Chang, S.-C. Fungal Diseases in Taiwan—National Insurance Data and Estimation. J. Fungi 2019, 5, 78. [Google Scholar] [CrossRef] [PubMed]
- Bongomin, F.; Asio, L.G.; Baluku, J.B.; Kwizera, R.; Denning, D.W. Chronic Pulmonary Aspergillosis: Notes for a Clinician in a Resource-Limited Setting Where There Is No Mycologist. J. Fungi 2020, 6, 75. [Google Scholar] [CrossRef] [PubMed]
- Lee, M.-R.; Chang, C.-H.; Chang, L.-Y.; Chuang, Y.-C.; Sun, H.-Y.; Wang, J.-Y. CD8 response measured by QuantiFERON-TB Gold Plus and tuberculosis disease status. J. Infect. 2019, 78, 299–304. [Google Scholar] [CrossRef] [PubMed]
- Denning, D.W.; Page, I.D.; Chakaya, J.; Jabeen, K.; Jude, C.M.; Cornet, M.; Alastruey-Izquierdo, A.; Bongomin, F.; Bowyer, P.; Chakrabarti, A.; et al. Case Definition of Chronic Pulmonary Aspergillosis in Resource-Constrained Settings. Emerg. Infect. Dis. 2018, 24, 24. [Google Scholar] [CrossRef] [PubMed]
- Patterson, T.F.; Thompson, G.R.; Denning, D.W.; Fishman, J.A.; Hadley, S.; Herbrecht, R.; Kontoyiannis, D.P.; Marr, K.A.; Morrison, V.A.; Nguyen, M.H.; et al. Practice Guidelines for the Diagnosis and Management of Aspergillosis: 2016 Update by the Infectious Diseases Society of America. Clin. Infect. Dis. 2016, 63, e1–e60. [Google Scholar] [CrossRef] [PubMed]
- Lass-Flörl, C.; Samardzic, E.; Knoll, M. Serology anno 2021—fungal infections: From invasive to chronic. Clin. Microbiol. Infect. 2021. [Google Scholar] [CrossRef] [PubMed]
- Richardson, M.D.; Page, I.D. Aspergillusserology: Have we arrived yet? Med. Mycol. 2016, 55, 48–55. [Google Scholar] [CrossRef]
- Takazono, T.; Izumikawa, K. Recent Advances in Diagnosing Chronic Pulmonary Aspergillosis. Front. Microbiol. 2018, 9, 1810. [Google Scholar] [CrossRef] [PubMed]
- Page, I.D.; Baxter, C.; Hennequin, C.; Richardson, M.D.; Van Hoeyveld, E.; Van Toorenenbergen, A.W.; Denning, D.W. Receiver operating characteristic curve analysis of four Aspergillus -specific IgG assays for the diagnosis of chronic pulmonary aspergillosis. Diagn. Microbiol. Infect. Dis. 2018, 91, 47–51. [Google Scholar] [CrossRef] [PubMed]
- Page, I.D.; Richardson, M.D.; Denning, D.W. Comparison of six Aspergillus-specific IgG assays for the diagnosis of chronic pulmonary aspergillosis (CPA). J. Infect. 2016, 72, 240–249. [Google Scholar] [CrossRef]
- Huang, S.; Li, S.; Chan, Y.; Huang, Y.; Yang, Y.; Wang, F. Diagnostic cut-off value for Aspergillus fumigatus - and flavus -specific IgG with clinical relevance in chronic pulmonary Aspergillus infection: A pilot study in Taiwan. Mycoses 2020, 63, 1083–1093. [Google Scholar] [CrossRef] [PubMed]
- Sehgal, I.S.; Dhooria, S.; Choudhary, H.; Aggarwal, A.N.; Garg, M.; Chakrabarti, A.; Agarwal, R. Efficiency of A fumigatus -specific IgG and galactomannan testing in the diagnosis of simple aspergilloma. Mycoses 2019, 62, 1108–1115. [Google Scholar] [CrossRef]
- Ma, X.; Wang, K.; Zhao, X.; Liu, Y.; Li, Y.; Yu, X.; Li, C.; Denning, D.W.; Xie, L. Prospective study of the serum Aspergillus-specific IgG, IgA and IgM assays for chronic pulmonary aspergillosis diagnosis. BMC Infect. Dis. 2019, 19, 694. [Google Scholar] [CrossRef] [PubMed]
- Sehgal, I.S.; Choudhary, H.; Dhooria, S.; Aggarwal, A.N.; Garg, M.; Chakrabarti, A.; Agarwal, R. Diagnostic cut-off of Aspergillus fumigatus -specific IgG in the diagnosis of chronic pulmonary aspergillosis. Mycoses 2018, 61, 770–776. [Google Scholar] [CrossRef] [PubMed]
- Page, I.D.; Richardson, M.D.; Denning, D.W. Siemens Immulite Aspergillus-specific IgG assay for chronic pulmonary aspergillosis diagnosis. Med. Mycol. 2019, 57, 300–307. [Google Scholar] [CrossRef] [PubMed]
- Kosmidis, C.; Denning, D. The clinical spectrum of pulmonary aspergillosis. Thorax 2014, 70, 270–277. [Google Scholar] [CrossRef]
- Anan, K.; Kataoka, Y.; Okabayashi, S.; Yamamoto, R.; Namkoong, H.; Yamamoto, Y. Diagnostic accuracy of Aspergillus -specific antibodies for chronic pulmonary aspergillosis: A systematic review and meta-analysis. Mycoses 2021, 64, 701–715. [Google Scholar] [CrossRef] [PubMed]




| Derivation Cohort | Validation Cohort | ||||||||
|---|---|---|---|---|---|---|---|---|---|
| All (n = 262) | CPA (n = 21) | Non-CPA (n = 241) | P * Value | All (n = 111) | CPA (n = 15) | Non-CPA (n = 96) | P ** Value | P *** Value | |
| Age | 62.1 ± 14.5 | 62.4 ± 11.6 | 62.0 ± 14.7 | 0.908 | 63.9 ± 14.8 | 66.3 ± 11.1 | 63.5 ± 15.4 | 0.501 | 0.266 |
| <45 | 31 (11.8) | 1 (4.8) | 30 (12.5) | 0.525 | 13 (11.7) | 1 (6.7) | 12 (12.5) | 0.731 | 0.141 |
| 45–65 | 105 (40.1) | 10 (47.6) | 95 (39.4) | 33 (29.7) | 4 (26.7) | 29 (30.2) | |||
| >65 | 126 (48.1) | 10 (47.6) | 116 (48.1) | 65 (58.6) | 10 (66.7) | 55 (57.3) | |||
| Body mass index | 22.2 ± 8.62 | 19.1 ± 2.9 | 22.5 ± 8.9 | <0.001 | 22.2 ± 4.8 | 20.4 ± 3.4 | 22.5 ± 4.9 | 0.118 | 0.981 |
| <18 | 43 (16.4) | 9 (42.9) | 34 (14.1) | <0.001 | 18 (16.2) | 4 (26.7) | 14 (14.6) | 0.494 | 0.508 |
| 18–25 | 169 (64.5) | 12 (57.1) | 157 (65.2) | 66 (59.5) | 8 (53.3) | 58 (60.4) | |||
| >25 | 50 (19.1) | 0 | 50 (20.8) | 27 (24.3) | 3 (20.0) | 24 (25.0) | |||
| Male | 157 (59.9) | 12 (57.1) | 145 (60.2) | 0.786 | 25 (22.5) | 4 (26.7) | 21 (21.9) | 0.741 | 0.030 |
| Underlying conditions | |||||||||
| DM | 53 (20.3) | 2 (9.5) | 51 (21.2) | 0.266 | 25 (22.5) | 4 (26.7) | 21 (21.9) | 0.680 | 0.619 |
| ESRD | 1 (0.4) | 0 | 1 (0.4) | 0.767 | 1 (0.1) | 0 | 1 (1.0) | 1.000 | 0.507 |
| Malignancy | 35 (13.4) | 2 (9.5) | 33 (13.7) | 0.590 | 18 (16.2) | 2 (13.3) | 16 (16.7) | 0.745 | 0.470 |
| Autoimmune disease | 11 (4.2) | 0 | 11 (4.6) | 0.317 | 6 (5.4) | 0 | 6 (6.3) | 0.320 | 0.609 |
| Immunosuppressant | 2 (1.0) | 2 (1.1) | 0 | 0.702 | 12 (1.1) | 2 (13.3) | 10 (10.4) | 0.735 | <0.001 |
| Old TB | 107 (40.8) | 12 (57.1) | 95 (39.4) | 0.113 | 36 (32.4) | 10 (66.7) | 26 (27.1) | 0.002 | 0.127 |
| Smoking | 48 (18.3) | 5 (23.8) | 43 (17.8) | 0.498 | 36 (32.4) | 5 (33.3) | 31 (32.3) | 0.936 | 0.003 |
| Aspergillus culture positivity | 7 (2.7) | 3 (14.3) | 4 (1.7) | 0.013 | 3 (2.7) | 3 (20.0) | 0 | 0.002 | 1.000 |
| Serum GM (Index) | 0.18 ± 0.37 | 0.41 ± 0.89 | 0.14 ± 0.14 | 0.280 | 0.17 ± 0.53 | 0.52 ± 1.46 | 0.12 ± 0.10 | 0.355 | 0.890 |
| BAL GM (Index) | 0.93 ± 1.81 | 2.81 ± 2.84 | 0.47 ± 1.10 | 0.394 | 0.19 ± 0.30 | 0.54 ± 0.70 | 0.15 ± 0.17 | 0.274 | 0.010 |
| Chest image findings | |||||||||
| Cavitation | 69 (23.4) | 18 (85.7) | 51 (21.2) | <0.001 | 28 (25.2) | 14 (93.3) | 14 (14.6) | <0.001 | 0.823 |
| Nodule/Mass | 149 (56.9) | 11 (52.4) | 138 (57.3) | 0.665 | 69 (62.2) | 12 (80.0) | 57 (59.4) | 0.126 | 0.486 |
| Consolidation | 141 (53.8) | 14 (66.7) | 127 (52.7) | 0.218 | 42 (37.8) | 8 (53.3) | 34 (35.4) | 0.183 | 0.005 |
| Bronchiectasis | 102 (38.9) | 7 (33.3) | 95 (39.4) | 0.583 | 60 (54.1) | 12 (80.0) | 48 (50.0) | 0.031 | 0.007 |
| Pleural thickening | 46 (17.6) | 7 (33.3) | 39 (16.4) | 0.048 | 15 (13.5) | 3 (20.0) | 12 (12.5) | 0.429 | 0.334 |
| Ground-glass opacity | 30 (11.5) | 3 (14.3) | 27 (11.2) | 0.671 | 22 (19.8) | 1 (6.7) | 21 (21.9) | 0.169 | 0.033 |
| Pleural effusion | 24 (9.2) | 4 (19.1) | 20 (8.3) | 0.102 | 16 (14.4) | 2 (13.3) | 14 (14.6) | 0.898 | 0.134 |
| Fibrosis/Fibro-calcified lesion | 65 (23.9) | 3 (14.3) | 62 (25.8) | 0.241 | 31 (27.9) | 5 (33.3) | 26 (27.1) | 0.616 | 0.542 |
| Aspergillus IgG Titer (mgA/L) | 30.4 ± 29.2 | 73.2 ± 24.3 | 26.7 ± 24.3 | <0.001 | 35.9 ± 37.8 | 97.7 ± 59.2 | 26.2 ± 21.0 | <0.001 | 0.173 |
| Studies | Case No. | Characteristics of Control | Cut-Off Level | Performance in Original Study | Country | Performance in Current Study | |||
|---|---|---|---|---|---|---|---|---|---|
| AUC | Sen (%) | Spe (%) | Sen (%) | Spe (%) | |||||
| Page et al. 2016 [14] | CPA: 241 Control: 100 | Healthy blood donors | 20.0 | 0.996 | 96 | 98 | CPA: British Control: Uganda | 86 (71–95) | 48 (42–53) |
| Huang et al. 2020 [15] | CPA: 35 Control: 50 | Non-fungal respiratory diseases | 21.7 | 0.934 | 86 | 92 | Taiwan | 86 (71– 95) | 52 (46–57) |
| Sehgal et al. 2018 [18] | CPA (CCPA): 130 Control: 50 | Treated pulmonary TB | 27.3 | 0.976 | 95.6 | 100 | India | 86 (71–95) | 64 (58–69) |
| Sehgal et al. 2019 [16] | Aspergilloma: 46 Control: 81 | Treated pulmonary TB and non-CPA respiratory diseases | 27.3 | 0.839 | 64 | 98 | India | 86 (71–95) | 64 (58–69) |
| Page et al. 2018 [13] | CPA: 241 Control: 114 | Healthy laboratory technicians | 50.0 | 0.956 | 84 | 96 | CPA: British Control: Belgium | 75 (58–88) | 90 (86– 93) |
| Current Study | CPA: 36 Control: 337 | Non-CPA respiratory diseases | 40.5 | 0.832 | 87 (validation cohort) | 80 (validation cohort) | Taiwan | 83 (67–94) | 82 (77–86) |
Publisher’s Note: MDPI stays neutral with regard to jurisdictional claims in published maps and institutional affiliations. |
© 2021 by the authors. Licensee MDPI, Basel, Switzerland. This article is an open access article distributed under the terms and conditions of the Creative Commons Attribution (CC BY) license (https://creativecommons.org/licenses/by/4.0/).
Share and Cite
Lee, M.-R.; Huang, H.-L.; Keng, L.-T.; Chang, H.-L.; Sheu, C.-C.; Fu, P.-K.; Wang, J.-Y.; Chong, I.-W.; Shih, J.-Y.; Yu, C.-J. Establishing Aspergillus-Specific IgG Cut-Off Level for Chronic Pulmonary Aspergillosis Diagnosis: Multicenter Prospective Cohort Study. J. Fungi 2021, 7, 480. https://doi.org/10.3390/jof7060480
Lee M-R, Huang H-L, Keng L-T, Chang H-L, Sheu C-C, Fu P-K, Wang J-Y, Chong I-W, Shih J-Y, Yu C-J. Establishing Aspergillus-Specific IgG Cut-Off Level for Chronic Pulmonary Aspergillosis Diagnosis: Multicenter Prospective Cohort Study. Journal of Fungi. 2021; 7(6):480. https://doi.org/10.3390/jof7060480
Chicago/Turabian StyleLee, Meng-Rui, Hung-Ling Huang, Li-Ta Keng, Hsu-Liang Chang, Chau-Chyun Sheu, Pin-Kuei Fu, Jann-Yuan Wang, Inn-Wen Chong, Jin-Yuan Shih, and Chong-Jen Yu. 2021. "Establishing Aspergillus-Specific IgG Cut-Off Level for Chronic Pulmonary Aspergillosis Diagnosis: Multicenter Prospective Cohort Study" Journal of Fungi 7, no. 6: 480. https://doi.org/10.3390/jof7060480
APA StyleLee, M.-R., Huang, H.-L., Keng, L.-T., Chang, H.-L., Sheu, C.-C., Fu, P.-K., Wang, J.-Y., Chong, I.-W., Shih, J.-Y., & Yu, C.-J. (2021). Establishing Aspergillus-Specific IgG Cut-Off Level for Chronic Pulmonary Aspergillosis Diagnosis: Multicenter Prospective Cohort Study. Journal of Fungi, 7(6), 480. https://doi.org/10.3390/jof7060480

