Antifungal Biocontrol in Sustainable Crop Protection: Microbial Lipopeptides, Polyketides, and Plant-Derived Agents
Abstract
1. Introduction
2. Overview and Economic Assessment of the Biofungicide Market
2.1. Biofungicide Production Annual Growth Rate
2.2. Global Biofungicide Use
2.3. Global and Emerging Manufacturers of Biofungicides
3. Fungal Phytopathogens and Their Microbial Antagonists
3.1. Top Pathogenic Fungi Causing Significant Agricultural Losses
3.2. Microbial Strains Applicable in the Biological Control of Phytopathogenic Fungi
3.2.1. Bacteria
3.2.2. Yeast and Fungal Strains
3.3. Plant Secondary Metabolites
4. Microbial Antifungal Metabolites and Molecules—Classes and Targets
4.1. Cyclic Lipopeptides Produced by Bacillus spp.
4.1.1. Surfactins
4.1.2. Iturins
4.1.3. Fengycins
4.2. Cyclic Lipopeptides Produced by Brevibacillus spp.
4.3. Antifungal Secondary Metabolites Produced by Actinomycetes
4.4. Cyclic Lipopeptides Produced by Pseudomonas spp.
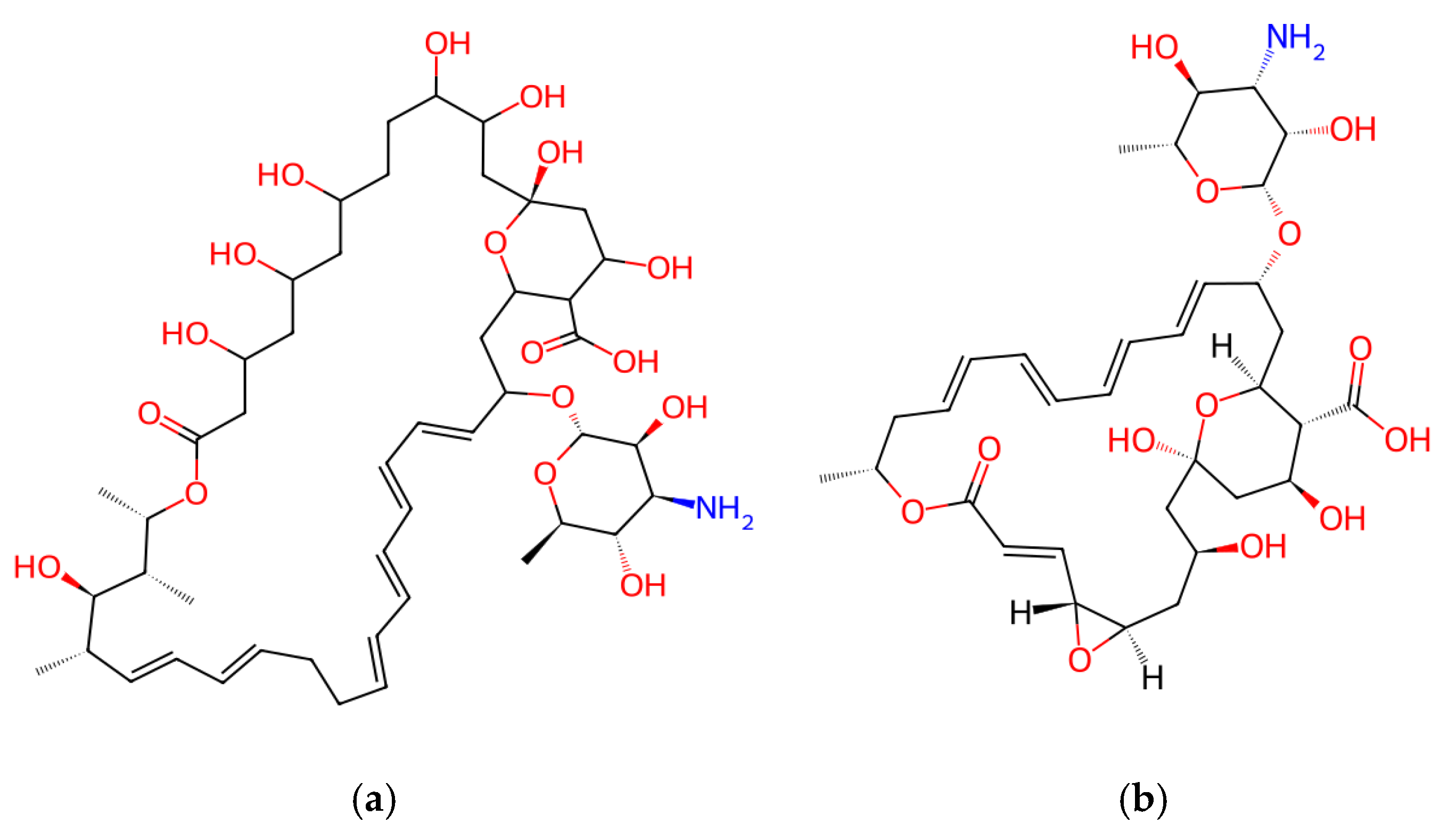
4.5. Polyketide-Derived Antifungal Metabolites Produced by Fungi
4.6. Volatile Organic Compounds (VOCs)
5. Engineering and Strain Improvement of Biofungicide Producers
5.1. Genetic Engineering
5.2. Metabolic Engineering and CRISPR-Based Strategies for Biofungicide Improvement
5.3. Protein Engineering
5.4. Ecological Engineering and Cross-Kingdom Modulation of Antifungal Metabolite Production
6. Conclusions
Author Contributions
Funding
Institutional Review Board Statement
Informed Consent Statement
Data Availability Statement
Conflicts of Interest
References
- Food and Agriculture Organization of the United Nations. Available online: https://www.fao.org/home/en (accessed on 24 November 2025).
- Singh, R.P.; Singh, A.; Srivastava, V. (Eds.) Environmental Issues Surrounding Human Overpopulation; Advances in Environmental Engineering and Green Technologies; IGI Global: New York, NY, USA, 2017; ISBN 978-1-5225-1683-5. [Google Scholar]
- Ediagbonya, T.F.; Areo, I.O.; Mupenzi, C.; Mind’je, R.; Kamuhanda, J.K.; Kabano, S. Reduced Pesticide Dependency through Crop Management. Discov. Appl. Sci. 2025, 7, 776. [Google Scholar] [CrossRef]
- LaPlante, G.; Andrekovic, S.; Young, R.G.; Kelly, J.M.; Bennett, N.; Currie, E.J.; Hanner, R.H. Canadian Greenhouse Operations and Their Potential to Enhance Domestic Food Security. Agronomy 2021, 11, 1229. [Google Scholar] [CrossRef]
- Laidig, F.; Feike, T.; Klocke, B.; Macholdt, J.; Miedaner, T.; Rentel, D.; Piepho, H.P. Yield Reduction Due to Diseases and Lodging and Impact of Input Intensity on Yield in Variety Trials in Five Cereal Crops. Euphytica 2022, 218, 150. [Google Scholar] [CrossRef]
- Khaskheli, M.A.; Nizamani, M.M.; Tarafder, E.; Das, D.; Nosheen, S.; Muhae-Ud-Din, G.; Khaskheli, R.A.; Ren, M.-J.; Wang, Y.; Yang, S.-W. Sustainable Management of Major Fungal Phytopathogens in Sorghum (Sorghum Bicolor L.) for Food Security: A Comprehensive Review. J. Fungi 2025, 11, 207. [Google Scholar] [CrossRef]
- Palmieri, D.; Ianiri, G.; Del Grosso, C.; Barone, G.; De Curtis, F.; Castoria, R.; Lima, G. Advances and Perspectives in the Use of Biocontrol Agents against Fungal Plant Diseases. Horticulturae 2022, 8, 577. [Google Scholar] [CrossRef]
- Leannec-Rialland, V.; Atanasova, V.; Chereau, S.; Tonk-Rügen, M.; Cabezas-Cruz, A.; Richard-Forget, F. Use of Defensins to Develop Eco-Friendly Alternatives to Synthetic Fungicides to Control Phytopathogenic Fungi and Their Mycotoxins. J. Fungi 2022, 8, 229. [Google Scholar] [CrossRef]
- Savary, S.; Willocquet, L.; Pethybridge, S.J.; Esker, P.; McRoberts, N.; Nelson, A. The Global Burden of Pathogens and Pests on Major Food Crops. Nat. Ecol. Evol. 2019, 3, 430–439. [Google Scholar] [CrossRef]
- Song, B.; Zhou, Y.; Zhan, R.; Zhu, L.; Chen, H.; Ma, Z.; Chen, X.; Lu, Y. Effects of Different Pesticides on the Brewing of Wine Investigated by GC-MS-Based Metabolomics. Metabolites 2022, 12, 485. [Google Scholar] [CrossRef]
- Armenova, N.; Tsigoriyna, L.; Arsov, A.; Petrov, K.; Petrova, P. Microbial Detoxification of Residual Pesticides in Fermented Foods: Current Status and Prospects. Foods 2023, 12, 1163. [Google Scholar] [CrossRef] [PubMed]
- Armenova, N.; Petrova, P.; Gerginova, M.; Krumova, E.; Kaynarov, D.; Velkova, L.; Dolashka, P.; Petrov, K. Bacillus velezensis R22 Inhibits the Growth of Multiple Fungal Phytopathogens by Producing Surfactin and Four Fengycin Homologues. Biotechnol. Biotechnol. Equip. 2024, 38, 2313072. [Google Scholar] [CrossRef]
- Arora, D.; Neha, G. Global Biofungicides Market Size and Share Outlook—Forecast Trends and Growth Analysis Report (2026–2035). Available online: https://www.expertmarketresearch.com/reports/biofungicides-market (accessed on 24 November 2025).
- Biofungicide Market Size, Share, Trend Report, 2034. Available online: https://www.industryresearch.biz/market-reports/biofungicide-market-106587 (accessed on 24 November 2025).
- Biofungicides Market Size, Industry Statistics, Forecast. Available online: https://www.globalmarketstatistics.com/market-reports/biofungicides-market-10568 (accessed on 24 November 2025).
- Biofungicides Market Size, Share, Forecast, 2033. Available online: https://www.marketgrowthreports.com/market-reports/biofungicides-market-105681 (accessed on 24 November 2025).
- Dean, R.; Van Kan, J.A.L.; Pretorius, Z.A.; Hammond-Kosack, K.E.; Di Pietro, A.; Spanu, P.D.; Rudd, J.J.; Dickman, M.; Kahmann, R.; Ellis, J.; et al. The Top 10 Fungal Pathogens in Molecular Plant Pathology. Mol. Plant Pathol. 2012, 13, 414–430. [Google Scholar] [CrossRef]
- Kostov, K.; Andonova-Lilova, B.; Smagghe, G. Inhibitory Activity of Carbon Quantum Dots against Phytophthora Infestans and Fungal Plant Pathogens and Their Effect on dsRNA-Induced Gene Silencing. Biotechnol. Biotechnol. Equip. 2022, 36, 949–959. [Google Scholar] [CrossRef]
- Petrasch, S.; Knapp, S.J.; Van Kan, J.A.L.; Blanco-Ulate, B. Grey Mould of Strawberry, a Devastating Disease Caused by the Ubiquitous Necrotrophic Fungal Pathogen Botrytis Cinerea. Mol. Plant Pathol. 2019, 20, 877–892. [Google Scholar] [CrossRef]
- Kokaeva, L.Y.; Yarmeeva, M.M.; Kokaeva, Z.G.; Chudinova, E.M.; Balabko, P.N.; Elansky, S.N. Phylogenetic Study of Alternaria Potato and Tomato Pathogens in Russia. Diversity 2022, 14, 685. [Google Scholar] [CrossRef]
- Sanzani, S.M.; Reverberi, M.; Geisen, R. Mycotoxins in Harvested Fruits and Vegetables: Insights in Producing Fungi, Biological Role, Conducive Conditions, and Tools to Manage Postharvest Contamination. Postharvest Biol. Technol. 2016, 122, 95–105. [Google Scholar] [CrossRef]
- Tan, J.; Zhao, H.; Li, J.; Gong, Y.; Li, X. The Devastating Rice Blast Airborne Pathogen Magnaporthe oryzae—A Review on Genes Studied with Mutant Analysis. Pathogens 2023, 12, 379. [Google Scholar] [CrossRef] [PubMed]
- Cheung, N.; Tian, L.; Liu, X.; Li, X. The Destructive Fungal Pathogen Botrytis cinerea—Insights from Genes Studied with Mutant Analysis. Pathogens 2020, 9, 923. [Google Scholar] [CrossRef]
- Leonard, K.J.; Szabo, L.J. Stem Rust of Small Grains and Grasses Caused by Puccinia graminis. Mol. Plant Pathol. 2005, 6, 99–111. [Google Scholar] [CrossRef]
- Pem, D. https://www.dothideomycetes.org: An Online Taxonomic Resource for the Classification, Identification, and Nomenclature of Dothideomycetes. Asian J. Mycol. 2019, 2, 287–297. [Google Scholar] [CrossRef]
- Sotiropoulos, A.G.; Arango-Isaza, E.; Ban, T.; Barbieri, C.; Bourras, S.; Cowger, C.; Czembor, P.C.; Ben-David, R.; Dinoor, A.; Ellwood, S.R.; et al. Global Genomic Analyses of Wheat Powdery Mildew Reveal Association of Pathogen Spread with Historical Human Migration and Trade. Nat. Commun. 2022, 13, 4315. [Google Scholar] [CrossRef]
- Fira, D.; Dimkić, I.; Berić, T.; Lozo, J.; Stanković, S. Biological Control of Plant Pathogens by Bacillus Species. J. Biotechnol. 2018, 285, 44–55. [Google Scholar] [CrossRef]
- Gomes, S.; Azevedo-Nogueira, F.; Martins-Lopes, P. Editorial Comments to the Special Issue: “Colletotrichum spp. on Fruit Crops—State of the Art, Perspectives and Drawbacks”. Pathogens 2021, 10, 478. [Google Scholar] [CrossRef]
- Kämper, J.; Kahmann, R.; Bölker, M.; Ma, L.-J.; Brefort, T.; Saville, B.J.; Banuett, F.; Kronstad, J.W.; Gold, S.E.; Müller, O.; et al. Insights from the Genome of the Biotrophic Fungal Plant Pathogen Ustilago maydis. Nature 2006, 444, 97–101. [Google Scholar] [CrossRef]
- Brescia, F.; Vlassi, A.; Bejarano, A.; Seidl, B.; Marchetti-Deschmann, M.; Schuhmacher, R.; Puopolo, G. Characterisation of the Antibiotic Profile of Lysobacter capsici AZ78, an Effective Biological Control Agent of Plant Pathogenic Microorganisms. Microorganisms 2021, 9, 1320. [Google Scholar] [CrossRef]
- Islam, S.; Akanda, A.M.; Prova, A.; Islam, M.T.; Hossain, M.M. Isolation and Identification of Plant Growth Promoting Rhizobacteria from Cucumber Rhizosphere and Their Effect on Plant Growth Promotion and Disease Suppression. Front. Microbiol. 2016, 6, 1360. [Google Scholar] [CrossRef]
- Kuzyakov, Y.; Razavi, B.S. Rhizosphere Size and Shape: Temporal Dynamics and Spatial Stationarity. Soil Biol. Biochem. 2019, 135, 343–360. [Google Scholar] [CrossRef]
- Punja, Z.K.; Rodriguez, G.; Tirajoh, A. Effects of Bacillus subtilis Strain QST 713 and Storage Temperatures on Post-Harvest Disease Development on Greenhouse Tomatoes. Crop Prot. 2016, 84, 98–104. [Google Scholar] [CrossRef]
- Gowtham, H.G.; Hariprasad, P.; Nayak, S.C.; Niranjana, S.R. Application of Rhizobacteria Antagonistic to Fusarium oxysporum f. Sp. Lycopersici for the Management of Fusarium Wilt in Tomato. Rhizosphere 2016, 2, 72–74. [Google Scholar] [CrossRef]
- Park, K.; Park, J.-W.; Lee, S.-W.; Balaraju, K. Induced Suppression of Soft Rot Disease in Tobacco by Combined Application of Bacillus subtilis Strain B4 and Chemical Elicitor BTH. Biocontrol Sci. Technol. 2013, 23, 968–979. [Google Scholar] [CrossRef]
- Hussain, S.; Tai, B.; Ali, M.; Jahan, I.; Sakina, S.; Wang, G.; Zhang, X.; Yin, Y.; Xing, F. Antifungal Potential of Lipopeptides Produced by the Bacillus siamensis Sh420 Strain against Fusarium graminearum. Microbiol. Spectr. 2024, 12, e04008-23. [Google Scholar] [CrossRef]
- Cesarini, M.; Petrucci, A.; Hotaj, E.; Venturini, G.; Liguori, R.; Sarrocco, S. Use in a Controlled Environment of Trichoderma asperellum ICC012 and Trichoderma gamsii ICC080 to Manage FHB on Common Wheat. Microbiol. Res. 2025, 290, 127941. [Google Scholar] [CrossRef]
- Chen, Y.; Wang, J.; Yang, N.; Wen, Z.; Sun, X.; Chai, Y.; Ma, Z. Wheat Microbiome Bacteria Can Reduce Virulence of a Plant Pathogenic Fungus by Altering Histone Acetylation. Nat. Commun. 2018, 9, 3429. [Google Scholar] [CrossRef]
- Shanavas, J.; Linu, M.S.; Sreekumar, J. Induction of Systemic Resistance in Chilli (Capsicum annuum L.) by Pseudomonas aeruginosa against Anthracnose Pathogen Colletotrichum capsici. J. Trop. Agric. 2018, 56, 153–166. [Google Scholar]
- Wesche, J.; Repp, J.E.; Hu, M.; Faust, J.E.; Schnabel, G. Cross-Resistance Between Pseudomonas chlororaphis Strain AFS009 Metabolites (Howler EVO) and Fludioxonil in Botrytis cinerea. Plant Dis. 2025, 109, 1366–1371. [Google Scholar] [CrossRef]
- Hu, L.; Sun, Y.; Jia, R.; Dong, X.; Shen, X.; Wang, Y. Enhancement of Mycelial Growth and Antifungal Activity by Combining Fermentation Optimization and Genetic Engineering in Streptomyces pratensis S10. Microorganisms 2025, 13, 1943. [Google Scholar] [CrossRef]
- Zhang, Z.; Li, S.; Sun, D.; Yang, Y.; Wei, Z.; Wang, C.; Lu, L. Cultivation of Rhodosporidium Paludigenum in Gluconic Acid Enhances Effectiveness against Penicillium digitatum in Citrus Fruit. Postharvest Biol. Technol. 2021, 172, 111374. [Google Scholar] [CrossRef]
- Rovetto, E.I.; La Spada, F.; El Boumlasy, S.; Conti Taguali, S.; Riolo, M.; Pane, A.; Cacciola, S.O. Biological Control of Green Mold in Simulated Post-Harvest Chain of Citrus Fruit: Efficacy of Candida oleophila Strain O and Molecular Insight into Elicitation of Host Immune System. Biol. Control 2024, 193, 105531. [Google Scholar] [CrossRef]
- Hammami, R.; Oueslati, M.; Smiri, M.; Nefzi, S.; Ruissi, M.; Comitini, F.; Romanazzi, G.; Cacciola, S.O.; Sadfi Zouaoui, N. Epiphytic Yeasts and Bacteria as Candidate Biocontrol Agents of Green and Blue Molds of Citrus Fruits. J. Fungi 2022, 8, 818. [Google Scholar] [CrossRef]
- Abbey, J.A.; Percival, D.; Abbey, L.; Asiedu, S.K.; Prithiviraj, B.; Schilder, A. Biofungicides as Alternative to Synthetic Fungicide Control of Grey Mould (Botrytis cinerea)—Prospects and Challenges. Biocontrol Sci. Technol. 2019, 29, 207–228. [Google Scholar] [CrossRef]
- Alfiky, A.; Weisskopf, L. Deciphering Trichoderma–Plant–Pathogen Interactions for Better Development of Biocontrol Applications. J. Fungi 2021, 7, 61. [Google Scholar] [CrossRef]
- Khan, R.A.A.; Najeeb, S.; Mao, Z.; Ling, J.; Yang, Y.; Li, Y.; Xie, B. Bioactive Secondary Metabolites from Trichoderma spp. against Phytopathogenic Bacteria and Root-Knot Nematode. Microorganisms 2020, 8, 401. [Google Scholar] [CrossRef] [PubMed]
- Wang, X.; Ding, T.; Li, Y.; Guo, Y.; Li, Y.; Duan, T. Dual Inoculation of Alfalfa (Medicago sativa L.) with Funnelliformis mosseae and Sinorhizobium medicae Can Reduce Fusarium Wilt. J. Appl. Microbiol. 2020, 129, 665–679. [Google Scholar] [CrossRef]
- Ferraz, P.; Cássio, F.; Lucas, C. Potential of Yeasts as Biocontrol Agents of the Phytopathogen Causing Cacao Witches’ Broom Disease: Is Microbial Warfare a Solution? Front. Microbiol. 2019, 10, 1766. [Google Scholar] [CrossRef]
- Ramakrishna, K.; Chakravarthi, G.; Rai, S.; Singh, P.; Mishra, S.; Mishra, D.; Mishra, V.; Vikram, A.; Tiwari, N. Biochemical Characterization of Plant Secondary Metabolites. In Secondary Metabolites and Biotherapeutics; Elsevier: Amsterdam, The Netherlands, 2024; pp. 39–61. ISBN 978-0-443-16158-2. [Google Scholar]
- Cenobio-Galindo, A.D.J.; Hernández-Fuentes, A.D.; González-Lemus, U.; Zaldívar-Ortega, A.K.; González-Montiel, L.; Madariaga-Navarrete, A.; Hernández-Soto, I. Biofungicides Based on Plant Extracts: On the Road to Organic Farming. Int. J. Mol. Sci. 2024, 25, 6879. [Google Scholar] [CrossRef]
- Subba, R.; Mathur, P. Functional Attributes of Microbial and Plant-Based Biofungicides for the Defense Priming of Crop Plants. Theor. Exp. Plant Physiol. 2022, 34, 301–333. [Google Scholar] [CrossRef]
- Latinovic, N.; Sabovljevic, M.; Vujicic, M.; Latinovic, J.; Sabovljevic, A. Bryophyte Extracts Suppress Growth of the Plant Pathogenic Fungus Botrytis cinerea. Bot. Serbica 2019, 43, 9–12. [Google Scholar] [CrossRef]
- Sabithira, G.; Udayakumar, R. Antibacterial and Antifungal Activities of Leaf and Stem of Marsilea minuta L. against Selected Microbial Pathogens. J. Appl. Biol. Biotechnol. 2018, 6, 71–78. [Google Scholar] [CrossRef]
- Saputri, D.D.; Utami, A.W.A. The Potency Purple Sweet Potato (Ipomoea batatas) Leaf Extract as Biofungicide for Controlling Fusarium Rot on Chili. J. Agric. Appl. Biol. 2020, 1, 1–8. [Google Scholar] [CrossRef]
- Cruz, A.; Sánchez-Hernández, E.; Teixeira, A.; Oliveira, R.; Cunha, A.; Martín-Ramos, P. Phytoconstituents and Ergosterol Biosynthesis-Targeting Antimicrobial Activity of Nutmeg (Myristica fragans Houtt.) against Phytopathogens. Molecules 2024, 29, 471. [Google Scholar] [CrossRef]
- Cruz, A.; Sánchez-Hernández, E.; Teixeira, A.; Martín-Ramos, P.; Cunha, A.; Oliveira, R. Antifungal and Antioomycete Activities of a Curcuma longa L. Hydroethanolic Extract Rich in Bisabolene Sesquiterpenoids. Horticulturae 2024, 10, 124. [Google Scholar] [CrossRef]
- Sobhy, S.; Al-Askar, A.A.; Bakhiet, E.K.; Elsharkawy, M.M.; Arishi, A.A.; Behiry, S.I.; Abdelkhalek, A. Phytochemical Characterization and Antifungal Efficacy of Camphor (Cinnamomum camphora L.) Extract against Phytopathogenic Fungi. Separations 2023, 10, 189. [Google Scholar] [CrossRef]
- Salas-Gómez, A.L.; Espinoza Ahumada, C.A.; Castillo Godina, R.G.; Ascacio-Valdés, J.A.; Rodríguez-Herrera, R.; Segura Martínez, M.T.D.J.; Neri Ramírez, E.; Estrada Drouaillet, B.; Osorio-Hernández, E. Antifungal In Vitro Activity of Phoradendron sp. Extracts on Fungal Isolates from Tomato Crop. Plants 2023, 12, 672. [Google Scholar] [CrossRef]
- Wei, H.; Wang, Y.; Jin, Z.; Yang, F.; Hu, J.; Gao, M.-T. Utilization of Straw-Based Phenolic Acids as a Biofugicide for a Green Agricultural Production. J. Biosci. Bioeng. 2021, 131, 53–60. [Google Scholar] [CrossRef]
- Al-Askar, A.A.; Bashir, S.; Mohamed, A.E.; Sharaf, O.A.; Nabil, R.; Su, Y.; Abdelkhalek, A.; Behiry, S.I. Antimicrobial Efficacy and HPLC Analysis of Polyphenolic Compounds in a Whole-Plant Extract of Eryngium campestre. Separations 2023, 10, 362. [Google Scholar] [CrossRef]
- García-Ramírez, E.; Contreras-Oliva, A.; Salinas-Ruiz, J.; Hernández-Ramírez, G.; Spinoso-Castillo, J.L.; Colmenares Cuevas, S.I. Plant Extracts Control In Vitro Growth of Disease-Causing Fungi in Chayote. Plants 2023, 12, 1800. [Google Scholar] [CrossRef] [PubMed]
- Ordóñez, Y.F.; Ruano, J.; Avila, P.; Berutti, L.; Guerrero, P.C.; Ordóñez, P.E. In Vitro Antimicrobial Activity of Plant Species against the Phytopathogens Ralstonia solanacearum, Phytophthora infestans, and Neopestalotiopsis javaensis. Agriculture 2023, 13, 2029. [Google Scholar] [CrossRef]
- Hernández-Álvarez, E.; Rodríguez-Sabina, S.; Labrador-García, N.; Pérez, J.H.; Reyes, C.P.; Llaría-López, M.Á.; Jiménez, I.A.; Bazzocchi, I.L. Eco-Friendly Crop Protection: Argyranthemum frutescens, a Source of Biofungicides. Plants 2025, 14, 985. [Google Scholar] [CrossRef]
- Théatre, A.; Cano-Prieto, C.; Bartolini, M.; Laurin, Y.; Deleu, M.; Niehren, J.; Fida, T.; Gerbinet, S.; Alanjary, M.; Medema, M.H.; et al. The Surfactin-like Lipopeptides From Bacillus spp.: Natural Biodiversity and Synthetic Biology for a Broader Application Range. Front. Bioeng. Biotechnol. 2021, 9, 623701. [Google Scholar] [CrossRef]
- Fei, D.; Zhou, G.; Yu, Z.; Gang, H.; Liu, J.; Yang, S.; Ye, R.; Mu, B. Low-Toxic and Nonirritant Biosurfactant Surfactin and Its Performances in Detergent Formulations. J. Surfactants Deterg. 2020, 23, 109–118. [Google Scholar] [CrossRef]
- Eivazihollagh, A.; Svanedal, I.; Edlund, H.; Norgren, M. On Chelating Surfactants: Molecular Perspectives and Application Prospects. J. Mol. Liq. 2019, 278, 688–705. [Google Scholar] [CrossRef]
- Zhen, C.; Ge, X.-F.; Lu, Y.-T.; Liu, W.-Z. Chemical Structure, Properties and Potential Applications of Surfactin, as Well as Advanced Strategies for Improving Its Microbial Production. AIMS Microbiol. 2023, 9, 195–217. [Google Scholar] [CrossRef] [PubMed]
- Wahab, Z.H.A.; Al-Sahlany, S.T.G. Bacterial Biosurfactants as Bioactive Ingredients: Surfactin’s Role in Food Preservation, Functional Foods, and Human Health. Bacteria 2025, 4, 49. [Google Scholar] [CrossRef]
- Dai, C.; Yan, P.; Yin, X.; Shu, Z.; Mintah, B.K.; He, R.; Ma, H. Surfactin and Its Antibacterial Mechanism on Staphylococcus aureus and Application in Pork Preservation. Food Bioprocess Technol. 2025, 18, 1311–1324. [Google Scholar] [CrossRef]
- Desmyttere, H.; Deweer, C.; Muchembled, J.; Sahmer, K.; Jacquin, J.; Coutte, F.; Jacques, P. Antifungal Activities of Bacillus subtilis Lipopeptides to Two Venturia inaequalis Strains Possessing Different Tebuconazole Sensitivity. Front. Microbiol. 2019, 10, 2327. [Google Scholar] [CrossRef] [PubMed]
- Liu, T.; Zheng, Y.; Wang, L.; Wang, X.; Wang, H.; Tian, Y. Optimizing Surfactin Yield in Bacillus velezensis BN to Enhance Biocontrol Efficacy and Rhizosphere Colonization. Front. Microbiol. 2025, 16, 1551436. [Google Scholar] [CrossRef] [PubMed]
- Xiao, P.; Tian, X.; Zhu, P.; Xu, Y.; Zhou, C. The Use of Surfactin in Inhibiting Botrytis cinerea and in Protecting Winter Jujube from the Gray Mold. AMB Express 2023, 13, 37. [Google Scholar] [CrossRef]
- Liu, L.; Jin, X.; Lu, X.; Guo, L.; Lu, P.; Yu, H.; Lv, B. Mechanisms of Surfactin from Bacillus subtilis SF1 against Fusarium foetens: A Novel Pathogen Inducing Potato Wilt. J. Fungi 2023, 9, 367. [Google Scholar] [CrossRef]
- Crouzet, J.; Arguelles-Arias, A.; Dhondt-Cordelier, S.; Cordelier, S.; Pršić, J.; Hoff, G.; Mazeyrat-Gourbeyre, F.; Baillieul, F.; Clément, C.; Ongena, M.; et al. Biosurfactants in Plant Protection Against Diseases: Rhamnolipids and Lipopeptides Case Study. Front. Bioeng. Biotechnol. 2020, 8, 1014. [Google Scholar] [CrossRef]
- Li, Y.; Héloir, M.; Zhang, X.; Geissler, M.; Trouvelot, S.; Jacquens, L.; Henkel, M.; Su, X.; Fang, X.; Wang, Q.; et al. Surfactin and Fengycin Contribute to the Protection of a Bacillus subtilis Strain against Grape Downy Mildew by Both Direct Effect and Defence Stimulation. Mol. Plant Pathol. 2019, 20, 1037–1050. [Google Scholar] [CrossRef]
- Khan, M.; Salman, M.; Ahmad Jan, S.; Khan Shinwari, Z. Biological Control of Fungal Phytopathogens: A Comprehensive Review Based on Bacillus Species. MOJ Biol. Med. 2021, 6, 90–92. [Google Scholar] [CrossRef]
- Zalila-Kolsi, I.; Ben Mahmoud, A.; Ali, H.; Sellami, S.; Nasfi, Z.; Tounsi, S.; Jamoussi, K. Antagonist Effects of Bacillus spp. Strains against Fusarium graminearum for Protection of Durum Wheat (Triticum turgidum L. Subsp. Durum). Microbiol. Res. 2016, 192, 148–158. [Google Scholar] [CrossRef]
- Kim, Y.T.; Kim, S.E.; Lee, W.J.; Fumei, Z.; Cho, M.S.; Moon, J.S.; Oh, H.-W.; Park, H.-Y.; Kim, S.U. Isolation and Characterization of a High Iturin Yielding Bacillus velezensis UV Mutant with Improved Antifungal Activity. PLoS ONE 2020, 15, e0234177. [Google Scholar] [CrossRef]
- Meena, K.; Saha, D.; Kumar, R. Original Research Article Isolation and Partial Characterization of Iturin like Lipopeptides (a Bio-Control Agent) from a Bacillus subtilis Strain. Internaional J. Curr. Microbiol. Appl. Sci. 2014, 3, 20. [Google Scholar]
- Yu, G.Y.; Sinclair, J.B.; Hartman, G.L.; Bertagnolli, B.L. Production of Iturin A by Bacillus amyloliquefaciens Suppressing Rhizoctonia solani. Soil Biol. Biochem. 2002, 34, 955–963. [Google Scholar] [CrossRef]
- Wang, Z.; Zhong, T.; Chen, K.; Du, M.; Chen, G.; Chen, X.; Wang, K.; Zalán, Z.; Takács, K.; Kan, J. Antifungal Activity of Volatile Organic Compounds Produced by Pseudomonas fluorescens ZX and Potential Biocontrol of Blue Mold Decay on Postharvest Citrus. Food Control 2021, 120, 107499. [Google Scholar] [CrossRef]
- Mendiara, I.; Calvo, H.; Blanco, D.; Oria, R.; Venturini, M.E. Role of Lipopeptides Produced by Bacillus amyloliquefaciens BUZ-14 against Botrytis cinerea and Monilinia Species. Acta Hortic. 2019, 413–418. [Google Scholar] [CrossRef]
- Vanittanakom, N.; Loeffler, W.; Koch, U.; Jung, G. Fengycin—A Novel Antifungal Lipopeptide Antibiotic Produced by Bacillus subtilis F-29-3. J. Antibiot. 1986, 39, 888–901. [Google Scholar] [CrossRef] [PubMed]
- Sang-Cheol, L.; Kim, S.-H.; Park, I.-H.; Chung, S.-Y.; Chandra, M.S.; Yong-Lark, C. Isolation, Purification, and Characterization of Novel Fengycin S from Bacillus amyloliquefaciens LSC04 Degrading-Crude Oil. Biotechnol. Bioprocess Eng. 2010, 15, 246–253. [Google Scholar] [CrossRef]
- Villegas-Escobar, V.; Ceballos, I.; Mira, J.J.; Argel, L.E.; Orduz Peralta, S.; Romero-Tabarez, M. Fengycin C Produced by Bacillus subtilis EA-CB0015. J. Nat. Prod. 2013, 76, 503–509. [Google Scholar] [CrossRef] [PubMed]
- Hussein, W. Fengycin or Plipastatin? A Confusing Question in Bacilli. BioTechnologia 2019, 100, 47–55. [Google Scholar] [CrossRef]
- Volpon, L.; Besson, F.; Lancelin, J.-M. NMR Structure of Antibiotics Plipastatins A and B from Bacillus subtilis Inhibitors of Phospholipase A2. FEBS Lett. 2000, 485, 76–80. [Google Scholar] [CrossRef]
- Umezawa, H.; Aoyagi, T.; Nishikiori, T.; Okuyama, A.; Yamagishi, Y.; Hamada, M.; Takeuchi, T. Plipastatins: New Inhibitors of Phospholipase A2, Produced by Bacillus cereus BMG302-fF67. I. Taxonomy, Production, Isolation and Preliminary Characterization. J. Antibiot. 1986, 39, 737–744. [Google Scholar] [CrossRef] [PubMed]
- Sur, S.; Romo, T.D.; Grossfield, A. Selectivity and Mechanism of Fengycin, an Antimicrobial Lipopeptide, from Molecular Dynamics. J. Phys. Chem. B 2018, 122, 2219–2226. [Google Scholar] [CrossRef] [PubMed]
- Deleu, M.; Paquot, M.; Nylander, T. Effect of Fengycin, a Lipopeptide Produced by Bacillus subtilis, on Model Biomembranes. Biophys. J. 2008, 94, 2667–2679. [Google Scholar] [CrossRef]
- Ongena, M.; Jourdan, E.; Adam, A.; Paquot, M.; Brans, A.; Joris, B.; Arpigny, J.; Thonart, P. Surfactin and Fengycin Lipopeptides of Bacillus subtilis as Elicitors of Induced Systemic Resistance in Plants. Environ. Microbiol. 2007, 9, 1084–1090. [Google Scholar] [CrossRef] [PubMed]
- Kim, P.I.; Ryu, J.; Kim, Y.H.; Chi, Y.-T. Production of Biosurfactant Lipopeptides Iturin A, Fengycin and Surfactin A from Bacillus subtilis CMB32 for Control of Colletotrichum gloeosporioides. J. Microbiol. Biotechnol. 2010, 20, 138–145. [Google Scholar] [CrossRef]
- Zhang, L.; Sun, C. Fengycins, Cyclic Lipopeptides from Marine Bacillus subtilis Strains, Kill the Plant-Pathogenic Fungus Magnaporthe grisea by Inducing Reactive Oxygen Species Production and Chromatin Condensation. Appl. Environ. Microbiol. 2018, 84, e00445-18. [Google Scholar] [CrossRef]
- Li, X.-Y.; Yang, J.-J.; Mao, Z.-C.; Ho, H.-H.; Wu, Y.-X.; He, Y.-Q. Enhancement of Biocontrol Activities and Cyclic Lipopeptides Production by Chemical Mutagenesis of Bacillus subtilis XF-1, a Biocontrol Agent of Plasmodiophora brassicae and Fusarium solani. Indian J. Microbiol. 2014, 54, 476–479. [Google Scholar] [CrossRef]
- Fan, H.; Ru, J.; Zhang, Y.; Wang, Q.; Li, Y. Fengycin Produced by Bacillus subtilis 9407 Plays a Major Role in the Biocontrol of Apple Ring Rot Disease. Microbiol. Res. 2017, 199, 89–97. [Google Scholar] [CrossRef]
- Hanif, A.; Zhang, F.; Li, P.; Li, C.; Xu, Y.; Zubair, M.; Zhang, M.; Jia, D.; Zhao, X.; Liang, J.; et al. Fengycin Produced by Bacillus amyloliquefaciens FZB42 Inhibits Fusarium graminearum Growth and Mycotoxins Biosynthesis. Toxins 2019, 11, 295. [Google Scholar] [CrossRef]
- Deng, Y.; Chen, Z.; Chen, Y.; Wang, J.; Xiao, R.; Wang, X.; Liu, B.; Chen, M.; He, J. Lipopeptide C17 Fengycin B Exhibits a Novel Antifungal Mechanism by Triggering Metacaspase-Dependent Apoptosis in Fusarium oxysporum. J. Agric. Food Chem. 2024, 72, 7943–7953. [Google Scholar] [CrossRef]
- Moreno-Velandia, C.A.; Ongena, M.; Cotes, A.M. Effects of Fengycins and Iturins on Fusarium oxysporum f. sp. Physali and Root Colonization by Bacillus velezensis Bs006 Protect Golden Berry Against Vascular Wilt. Phytopathology 2021, 111, 2227–2237. [Google Scholar] [CrossRef] [PubMed]
- Zayed, M.; El-Garawani, I.M.; El-Sabbagh, S.M.; Amr, B.; Alsharif, S.M.; Tayel, A.A.; AlAjmi, M.F.; Ibrahim, H.M.S.; Shou, Q.; Khalifa, S.A.M.; et al. Structural Diversity, LC-MS-MS Analysis and Potential Biological Activities of Brevibacillus laterosporus Extract. Metabolites 2022, 12, 1102. [Google Scholar] [CrossRef]
- Kim, B.; Kim, Y.S.; Han, J.W.; Yu, J.S.; Kim, T.H.; Shin, T.S.; Choi, G.J.; Kim, H. Biocontrol Potential of Bevibacillus brevis HK544 for Fungal Plant Diseases. Biol. Control 2024, 198, 105629. [Google Scholar] [CrossRef]
- Wang, F.; Qin, L.; Pace, C.J.; Wong, P.; Malonis, R.; Gao, J. Solubilized Gramicidin A as Potential Systemic Antibiotics. ChemBioChem 2012, 13, 51–55. [Google Scholar] [CrossRef]
- Jiang, H.; Wang, X.; Xiao, C.; Wang, W.; Zhao, X.; Sui, J.; Sa, R.; Guo, T.L.; Liu, X. Antifungal Activity of Brevibacillus laterosporus JX-5 and Characterization of Its Antifungal Components. World J. Microbiol. Biotechnol. 2015, 31, 1605–1618. [Google Scholar] [CrossRef]
- Takada, Y.; Itoh, H.; Paudel, A.; Panthee, S.; Hamamoto, H.; Sekimizu, K.; Inoue, M. Discovery of Gramicidin A Analogues with Altered Activities by Multidimensional Screening of a One-Bead-One-Compound Library. Nat. Commun. 2020, 11, 4935. [Google Scholar] [CrossRef] [PubMed]
- Meng, F.; Lu, Z. Brevibacillus Sp. and Brevibacillin: Biosynthesis, Classification, Bioactivity, and Potential Applications. In Bio-Based Antimicrobial Agents to Improve Agricultural and Food Safety; Lu, Z., Lu, Y., Eds.; Bentham Science Publishers: Singapore, 2024; pp. 120–188. ISBN 978-981-5256-23-9. [Google Scholar]
- Singh, S.S.; Sharma, D.; Singh, C.; Kumar, S.; Singh, P.; Sharma, A.; Das, D.K.; Pinnaka, A.K.; Thakur, K.G.; Ringe, R.P.; et al. Brevicillin, a Novel Lanthipeptide from the Genus Brevibacillus with Antimicrobial, Antifungal, and Antiviral Activity. J. Appl. Microbiol. 2023, 134, lxad054. [Google Scholar] [CrossRef] [PubMed]
- Liu, Y.; Chen, Z.; Liu, L.; Han, P.; Wang, X.; Li, S.; Ma, A.; Jia, Y. Broad-spectrum Antifungal Activity of Lipopeptide Brevilaterin B and Its Inhibition Effects against Fusarium oxysporum and Penicillium chrysogenum. J. Appl. Microbiol. 2022, 132, 1330–1342. [Google Scholar] [CrossRef]
- Carolus, H.; Pierson, S.; Lagrou, K.; Van Dijck, P. Amphotericin B and Other Polyenes—Discovery, Clinical Use, Mode of Action and Drug Resistance. J. Fungi 2020, 6, 321. [Google Scholar] [CrossRef]
- Aparicio, J.F.; Fouces, R.; Mendes, M.V.; Olivera, N.; Martín, J.F. A Complex Multienzyme System Encoded by Five Polyketide Synthase Genes Is Involved in the Biosynthesis of the 26-Membered Polyene Macrolide Pimaricin in Streptomyces natalensis. Chem. Biol. 2000, 7, 895–905. [Google Scholar] [CrossRef] [PubMed]
- Caffrey, P.; Hogan, M.; Song, Y. New Glycosylated Polyene Macrolides: Refining the Ore from Genome Mining. Antibiotics 2022, 11, 334. [Google Scholar] [CrossRef] [PubMed]
- Gallis, H.A.; Drew, R.H.; Pickard, W.W. Amphotericin B: 30 Years of Clinical Experience. Clin. Infect. Dis. 1990, 12, 308–329. [Google Scholar] [CrossRef]
- Wang, Y.; Tao, Z.; Zheng, H.; Zhang, F.; Long, Q.; Deng, Z.; Tao, M. Iteratively Improving Natamycin Production in Streptomyces gilvosporeus by a Large Operon-Reporter Based Strategy. Metab. Eng. 2016, 38, 418–426. [Google Scholar] [CrossRef] [PubMed]
- Jahan, T.; Rabbee, M.F.; Islam, M.M.; Habib, M.A.; Rana, M.S.; Basak, A.; Zaki, R.M.; Hasan, M.M.; Baek, K.-H. Biocontrol and beyond: The Versatile Roles of Streptomyces in Agriculture. Rev. Environ. Sci. Biotechnol. 2025, 24, 861–884. [Google Scholar] [CrossRef]
- Geudens, N.; Martins, J.C. Cyclic Lipodepsipeptides from Pseudomonas spp.—Biological Swiss-Army Knives. Front. Microbiol. 2018, 9, 1867. [Google Scholar] [CrossRef]
- Chauhan, V.; Mazumdar, S.; Pandey, A.; Kanwar, S.S. Pseudomonas Lipopeptide: An Excellent Biomedical Agent. MedComm Biomater. Appl. 2023, 2, e27. [Google Scholar] [CrossRef]
- Raaijmakers, J.M.; De Bruijn, I.; Nybroe, O.; Ongena, M. Natural Functions of Lipopeptides from Bacillus and Pseudomonas: More than Surfactants and Antibiotics. FEMS Microbiol. Rev. 2010, 34, 1037–1062. [Google Scholar] [CrossRef]
- Evidente, A. Bioactive Lipodepsipeptides Produced by Bacteria and Fungi. Int. J. Mol. Sci. 2022, 23, 12342. [Google Scholar] [CrossRef]
- Havshøi, N.W.; Fuglsang, A.T. A Critical Review on Natural Compounds Interacting with the Plant Plasma Membrane H+-ATPase and Their Potential as Biologicals in Agriculture. J. Integr. Plant Biol. 2022, 64, 268–286. [Google Scholar] [CrossRef]
- Harrison, L.; Teplow, D.B.; Rinaldi, M.; Strobel, G. Pseudomycins, a Family of Novel Peptides from Pseudomonas syringae Possessing Broad-Spectrum Antifungal Activity. J. Gen. Microbiol. 1991, 137, 2857–2865. [Google Scholar] [CrossRef] [PubMed]
- Menestrina, G.; Coraiola, M.; Fogliano, V.; Fiore, A.; Grgurina, I.; Carpaneto, A.; Gambale, F.; Dalla Serra, M. Antimicrobial Lipodepsipeptides from Pseudomonas spp.: A Comparison of Their Activity on Model Membranes. In Pseudomonas syringae and Related Pathogens; Iacobellis, N.S., Collmer, A., Hutcheson, S.W., Mansfield, J.W., Morris, C.E., Murillo, J., Schaad, N.W., Stead, D.E., Surico, G., Ullrich, M.S., Eds.; Springer: Dordrecht, The Netherlands, 2003; pp. 185–198. ISBN 978-90-481-6267-3. [Google Scholar]
- Scholz-Schroeder, B.K.; Soule, J.D.; Gross, D.C. The sypA, sypB, and sypC Synthetase Genes Encode Twenty-Two Modules Involved in the Nonribosomal Peptide Synthesis of Syringopeptin by Pseudomonas syringae Pv. Syringae B301D. Mol. Plant-Microbe Interactions 2003, 16, 271–280. [Google Scholar] [CrossRef] [PubMed]
- Agner, G.; Kaulin, Y.A.; Gurnev, P.A.; Szabo, Z.; Schagina, L.V.; Takemoto, J.Y.; Blasko, K. Membrane-Permeabilizing Activities of Cyclic Lipodepsipeptides, Syringopeptin 22A and Syringomycin E from Pseudomonas syringae Pv. Syringae in Human Red Blood Cells and in Bilayer Lipid Membranes. Bioelectrochemistry 2000, 52, 161–167. [Google Scholar] [CrossRef]
- Sorensen, K.N.; Kim, K.H.; Takemoto, J.Y. In Vitro Antifungal and Fungicidal Activities and Erythrocyte Toxicities of Cyclic Lipodepsinonapeptides Produced by Pseudomonas syringae Pv. Syringae. Antimicrob. Agents Chemother. 1996, 40, 2710–2713. [Google Scholar] [CrossRef]
- Ajesh, K.; Sreejith, K. Peptide Antibiotics: An Alternative and Effective Antimicrobial Strategy to Circumvent Fungal Infections. Peptides 2009, 30, 999–1006. [Google Scholar] [CrossRef] [PubMed]
- Bull, C.T.; Stack, J.P.; Smilanick, J.L. Pseudomonas syringae Strains ESC-10 and ESC-11 Survive in Wounds on Citrus and Control Green and Blue Molds of Citrus. Biol. Control 1997, 8, 81–88. [Google Scholar] [CrossRef]
- Kruijt, M.; Tran, H.; Raaijmakers, J.M. Functional, Genetic and Chemical Characterization of Biosurfactants Produced by Plant Growth-Promoting Pseudomonas putida 267. J. Appl. Microbiol. 2009, 107, 546–556. [Google Scholar] [CrossRef]
- Tsuge, K.; Matsui, K.; Itaya, M. Production of the Non-Ribosomal Peptide Plipastatin in Bacillus Subtilis Regulated by Three Relevant Gene Blocks Assembled in a Single Movable DNA Segment. J. Biotechnol. 2007, 129, 592–603. [Google Scholar] [CrossRef]
- Tang, Q.; Bie, X.; Lu, Z.; Lv, F.; Tao, Y.; Qu, X. Effects of Fengycin from Bacillus subtilis fmbJ on Apoptosis and Necrosis in Rhizopus Stolonifer. J. Microbiol. 2014, 52, 675–680. [Google Scholar] [CrossRef]
- Ahmad, T.; Xing, F.; Nie, C.; Cao, C.; Xiao, Y.; Yu, X.; Moosa, A.; Liu, Y. Biocontrol Potential of Lipopeptides Produced by the Novel Bacillus subtilis Strain Y17B against Postharvest Alternaria Fruit Rot of Cherry. Front. Microbiol. 2023, 14, 1150217. [Google Scholar] [CrossRef]
- Stein, T. Bacillus subtilis Antibiotics: Structures, Syntheses and Specific Functions. Mol. Microbiol. 2005, 56, 845–857. [Google Scholar] [CrossRef]
- Campelo, A.B.; Gil, J.A. The Candicidin Gene Cluster from Streptomyces griseus IMRU 3570 The GenBank Accession Numbers for the Sequences Reported in This Paper Are AJ300302 and AJ300303. Microbiology 2002, 148, 51–59. [Google Scholar] [CrossRef]
- Zhang, B.; Zhou, Y.-T.; Jiang, S.-X.; Zhang, Y.-H.; Huang, K.; Liu, Z.-Q.; Zheng, Y.-G. Amphotericin B Biosynthesis in Streptomyces nodosus: Quantitative Analysis of Metabolism via LC–MS/MS Based Metabolomics for Rational Design. Microb. Cell Factories 2020, 19, 18. [Google Scholar] [CrossRef]
- Fjærvik, E.; Zotchev, S.B. Biosynthesis of the Polyene Macrolide Antibiotic Nystatin in Streptomyces noursei. Appl. Microbiol. Biotechnol. 2005, 67, 436–443. [Google Scholar] [CrossRef]
- Wu, H.; Liu, W.; Shi, L.; Si, K.; Liu, T.; Dong, D.; Zhang, T.; Zhao, J.; Liu, D.; Tian, Z.; et al. Comparative Genomic and Regulatory Analyses of Natamycin Production of Streptomyces lydicus A02. Sci. Rep. 2017, 7, 9114. [Google Scholar] [CrossRef]
- Feil, H.; Feil, W.S.; Chain, P.; Larimer, F.; DiBartolo, G.; Copeland, A.; Lykidis, A.; Trong, S.; Nolan, M.; Goltsman, E.; et al. Comparison of the Complete Genome Sequences of Pseudomonas syringae Pv. Syringae B728a and Pv. Tomato DC3000. Proc. Natl. Acad. Sci. USA 2005, 102, 11064–11069. [Google Scholar] [CrossRef]
- De Lucca, A.J.; Jacks, T.J.; Takemoto, J.; Vinyard, B.; Peter, J.; Navarro, E.; Walsh, T.J. Fungal Lethality, Binding, and Cytotoxicity of Syringomycin-E. Antimicrob. Agents Chemother. 1999, 43, 371–373. [Google Scholar] [CrossRef] [PubMed]
- Wang, N.; Lu, S.-E.; Yang, Q.; Sze, S.-H.; Gross, D.C. Identification of the Syr-Syp Box in the Promoter Regions of Genes Dedicated to Syringomycin and Syringopeptin Production by Pseudomonas syringae Pv. Syringae B301D. J. Bacteriol. 2006, 188, 160–168. [Google Scholar] [CrossRef] [PubMed]
- Berti, A.D.; Greve, N.J.; Christensen, Q.H.; Thomas, M.G. Identification of a Biosynthetic Gene Cluster and the Six Associated Lipopeptides Involved in Swarming Motility of Pseudomonas syringae Pv. Tomato DC3000. J. Bacteriol. 2007, 189, 6312–6323. [Google Scholar] [CrossRef] [PubMed]
- De Bruijn, I.; De Kock, M.J.D.; Yang, M.; De Waard, P.; Van Beek, T.A.; Raaijmakers, J.M. Genome-based Discovery, Structure Prediction and Functional Analysis of Cyclic Lipopeptide Antibiotics in Pseudomonas Species. Mol. Microbiol. 2007, 63, 417–428. [Google Scholar] [CrossRef]
- Riera, N.; Davyt, D.; Durán, R.; Iraola, G.; Lemanceau, P.; Bajsa, N. An Antibiotic Produced by Pseudomonas fluorescens CFBP2392 with Antifungal Activity against Rhizoctonia solani. Front. Microbiol. 2023, 14, 1286926. [Google Scholar] [CrossRef]
- Dubern, J.-F.; Coppoolse, E.R.; Stiekema, W.J.; Bloemberg, G.V. Genetic and Functional Characterization of the Gene Cluster Directing the Biosynthesis of Putisolvin I and II in Pseudomonas putida Strain PCL1445. Microbiology 2008, 154, 2070–2083. [Google Scholar] [CrossRef]
- Paulsen, I.T.; Press, C.M.; Ravel, J.; Kobayashi, D.Y.; Myers, G.S.A.; Mavrodi, D.V.; DeBoy, R.T.; Seshadri, R.; Ren, Q.; Madupu, R.; et al. Complete Genome Sequence of the Plant Commensal Pseudomonas fluorescens Pf-5. Nat. Biotechnol. 2005, 23, 873–878. [Google Scholar] [CrossRef]
- Fabian, B.K.; Foster, C.; Asher, A.J.; Elbourne, L.D.H.; Cain, A.K.; Hassan, K.A.; Tetu, S.G.; Paulsen, I.T. Elucidating Essential Genes in Plant-Associated Pseudomonas protegens Pf-5 Using Transposon Insertion Sequencing. J. Bacteriol. 2021, 203, e00432-20. [Google Scholar] [CrossRef]
- Roongsawang, N.; Hase, K.; Haruki, M.; Imanaka, T.; Morikawa, M.; Kanaya, S. Cloning and Characterization of the Gene Cluster Encoding Arthrofactin Synthetase from Pseudomonas sp. MIS38. Chem. Biol. 2003, 10, 869–880. [Google Scholar] [CrossRef]
- Vallet-Gely, I.; Novikov, A.; Augusto, L.; Liehl, P.; Bolbach, G.; Péchy-Tarr, M.; Cosson, P.; Keel, C.; Caroff, M.; Lemaitre, B. Association of Hemolytic Activity of Pseudomonas Entomophila, a Versatile Soil Bacterium, with Cyclic Lipopeptide Production. Appl. Environ. Microbiol. 2010, 76, 910–921. [Google Scholar] [CrossRef] [PubMed]
- Feng, Y.; Huang, Y.; Zhan, H.; Bhatt, P.; Chen, S. An Overview of Strobilurin Fungicide Degradation:Current Status and Future Perspective. Front. Microbiol. 2020, 11, 389. [Google Scholar] [CrossRef]
- Rodrigues, E.T.; Lopes, I.; Pardal, M.Â. Occurrence, Fate and Effects of Azoxystrobin in Aquatic Ecosystems: A Review. Environ. Int. 2013, 53, 18–28. [Google Scholar] [CrossRef] [PubMed]
- Aris, P.; Wei, Y.; Mohamadzadeh, M.; Xia, X. Griseofulvin: An Updated Overview of Old and Current Knowledge. Molecules 2022, 27, 7034. [Google Scholar] [CrossRef]
- Li, Y.; Guo, Q.; Wei, X.; Xue, Q.; Lai, H. Biocontrol Effects of Penicillium griseofulvum against Monkshood ( Aconitum carmichaelii Debx.) Root Diseases Caused by Sclerotium rolfsii and Fusarium spp. J. Appl. Microbiol. 2019, 127, 1532–1545. [Google Scholar] [CrossRef] [PubMed]
- Yang, J.; Zang, W.; Chen, J.; Lu, D.; Li, R.; Li, C.; Chen, Y.; Liu, Q.; Niu, X. Genomic Analysis of Penicillium Griseofulvum CF3 Reveals Potential for Plant Growth Promotion and Disease Resistance. J. Fungi 2025, 11, 153. [Google Scholar] [CrossRef]
- Song, F.; Dai, H.; Tong, Y.; Ren, B.; Chen, C.; Sun, N.; Liu, X.; Bian, J.; Liu, M.; Gao, H.; et al. Trichodermaketones A−D and 7-O-Methylkoninginin D from the Marine Fungus Trichoderma koningii. J. Nat. Prod. 2010, 73, 806–810. [Google Scholar] [CrossRef]
- Jiang, M.; Wu, Z.; Guo, H.; Liu, L.; Chen, S. A Review of Terpenes from Marine-Derived Fungi: 2015–2019. Mar. Drugs 2020, 18, 321. [Google Scholar] [CrossRef] [PubMed]
- Yao, X.; Guo, H.; Zhang, K.; Zhao, M.; Ruan, J.; Chen, J. Trichoderma and Its Role in Biological Control of Plant Fungal and Nematode Disease. Front. Microbiol. 2023, 14, 1160551. [Google Scholar] [CrossRef] [PubMed]
- Alfaro-Vargas, P.; Bastos-Salas, A.; Muñoz-Arrieta, R.; Pereira-Reyes, R.; Redondo-Solano, M.; Fernández, J.; Mora-Villalobos, A.; López-Gómez, J.P. Peptaibol Production and Characterization from Trichoderma asperellum and Their Action as Biofungicide. J. Fungi 2022, 8, 1037. [Google Scholar] [CrossRef] [PubMed]
- Bushley, K.E.; Turgeon, B.G. Phylogenomics Reveals Subfamilies of Fungal Nonribosomal Peptide Synthetases and Their Evolutionary Relationships. BMC Evol. Biol. 2010, 10, 26. [Google Scholar] [CrossRef]
- Xiao-Yan, S.; Qing-Tao, S.; Shu-Tao, X.; Xiu-Lan, C.; Cai-Yun, S.; Yu-Zhong, Z. Broad-Spectrum Antimicrobial Activity and High Stability of Trichokonins from Trichoderma koningii SMF2 against Plant Pathogens. FEMS Microbiol. Lett. 2006, 260, 119–125. [Google Scholar] [CrossRef]
- Guo, R.; Li, G.; Zhang, Z.; Peng, X. Structures and Biological Activities of Secondary Metabolites from Trichoderma harzianum. Mar. Drugs 2022, 20, 701. [Google Scholar] [CrossRef]
- Wiest, A.; Grzegorski, D.; Xu, B.-W.; Goulard, C.; Rebuffat, S.; Ebbole, D.J.; Bodo, B.; Kenerley, C. Identification of Peptaibols from Trichoderma virens and Cloning of a Peptaibol Synthetase. J. Biol. Chem. 2002, 277, 20862–20868. [Google Scholar] [CrossRef]
- Mukherjee, P.K.; Wiest, A.; Ruiz, N.; Keightley, A.; Moran-Diez, M.E.; McCluskey, K.; Pouchus, Y.F.; Kenerley, C.M. Two Classes of New Peptaibols Are Synthesized by a Single Non-Ribosomal Peptide Synthetase of Trichoderma virens. J. Biol. Chem. 2011, 286, 4544–4554. [Google Scholar] [CrossRef]
- Yun, B.-S.; Yoo, I.-D.; Kim, Y.H.; Kim, Y.-S.; Lee, S.-J.; Kim, K.-S.; Yeo, W.-H. Peptaivirins A and B, Two New Antiviral Peptaibols against TMV Infection. Tetrahedron Lett. 2000, 41, 1429–1431. [Google Scholar] [CrossRef]
- Toniolo, C.; Crisma, M.; Formaggio, F.; Peggion, C.; Epand, R.F.; Epand, R.M. Lipopeptaibols, a Novel Family of Membrane Active, Antimicrobial Peptides. Cell. Mol. Life Sci. 2001, 58, 1179–1188. [Google Scholar] [CrossRef]
- Bortolus, M.; De Zotti, M.; Formaggio, F.; Maniero, A.L. Alamethicin in Bicelles: Orientation, Aggregation, and Bilayer Modification as a Function of Peptide Concentration. Biochim. Biophys. Acta BBA Biomembr. 2013, 1828, 2620–2627. [Google Scholar] [CrossRef] [PubMed]
- Röhrich, C.R.; Jaklitsch, W.M.; Voglmayr, H.; Iversen, A.; Vilcinskas, A.; Nielsen, K.F.; Thrane, U.; Von Döhren, H.; Brückner, H.; Degenkolb, T. Front Line Defenders of the Ecological Niche! Screening the Structural Diversity of Peptaibiotics from Saprotrophic and Fungicolous trichoderma/Hypocrea Species. Fungal Divers. 2014, 69, 117–146. [Google Scholar] [CrossRef] [PubMed]
- Auvin-Guette, C.; Rebuffat, S.; Prigent, Y.; Bodo, B. Trichogin A IV, an 11-Residue Lipopeptaibol from Trichoderma longibrachiatum. J. Am. Chem. Soc. 1992, 114, 2170–2174. [Google Scholar] [CrossRef]
- Anke, H. Peptaibiotics: Fungal Peptides Containing α-Dialkyl α-Amino Acids. Edited by Claudio Toniolo and Hans Brückner. ChemBioChem 2009, 10, 2266–2267. [Google Scholar] [CrossRef]
- Daniel, J.F.D.S.; Rodrigues Filho, E. Peptaibols of Trichoderma. Nat. Prod. Rep. 2007, 24, 1128. [Google Scholar] [CrossRef]
- Schirmböck, M.; Lorito, M.; Wang, Y.L.; Hayes, C.K.; Arisan-Atac, I.; Scala, F.; Harman, G.E.; Kubicek, C.P. Parallel Formation and Synergism of Hydrolytic Enzymes and Peptaibol Antibiotics, Molecular Mechanisms Involved in the Antagonistic Action of Trichoderma harzianum against Phytopathogenic Fungi. Appl. Environ. Microbiol. 1994, 60, 4364–4370. [Google Scholar] [CrossRef] [PubMed]
- Wang, X.-Y.; Xu, T.-T.; Sun, L.-J.; Cen, R.-H.; Su, S.; Yang, X.-Q.; Yang, Y.-B.; Ding, Z.-T. The Chemical Diversity, the Attractant, Anti-Acetylcholinesterase, and Antifungal Activities of Metabolites from Biocontrol Trichoderma harzianum Uncovered by OSMAC Strategy. Bioorganic Chem. 2021, 114, 105148. [Google Scholar] [CrossRef]
- Zhao, D.-L.; Zhang, X.-F.; Huang, R.-H.; Wang, D.; Wang, X.-Q.; Li, Y.-Q.; Zheng, C.-J.; Zhang, P.; Zhang, C.-S. Antifungal Nafuredin and Epithiodiketopiperazine Derivatives From the Mangrove-Derived Fungus Trichoderma harzianum D13. Front. Microbiol. 2020, 11, 1495. [Google Scholar] [CrossRef]
- Ngo, M.T.; Nguyen, M.V.; Han, J.W.; Park, M.S.; Kim, H.; Choi, G.J. In Vitro and In Vivo Antifungal Activity of Sorbicillinoids Produced by Trichoderma longibrachiatum. J. Fungi 2021, 7, 428. [Google Scholar] [CrossRef]
- Huang, Q.; Tezuka, Y.; Kikuchi, T.; Nishi, A.; Tubaki, K.; Tanaka, K. Studies on Metabolites of Mycoparasitic Fungi. II. Metabolites of Trichoderma koningii. Chem. Pharm. Bull. 1995, 43, 223–229. [Google Scholar] [CrossRef]
- Zhao, P.; Ren, A.; Dong, P.; Sheng, Y.; Chang, X.; Zhang, X. The Antimicrobial Peptaibol Trichokonin IV Promotes Plant Growth and Induces Systemic Resistance against Botrytis cinerea Infection in Moth Orchid. J. Phytopathol. 2018, 166, 346–354. [Google Scholar] [CrossRef]
- Song, X.; Zhang, Y.; Wang, Y. Antimicrobial peptides peptaibols from Trichoderma—A review. Wei Sheng Wu Xue Bao 2011, 51, 438–444. [Google Scholar]
- Shi, M.; Chen, L.; Wang, X.-W.; Zhang, T.; Zhao, P.-B.; Song, X.-Y.; Sun, C.-Y.; Chen, X.-L.; Zhou, B.-C.; Zhang, Y.-Z. Antimicrobial Peptaibols from Trichoderma pseudokoningii Induce Programmed Cell Death in Plant Fungal Pathogens. Microbiology 2012, 158, 166–175. [Google Scholar] [CrossRef]
- Gardiner, D.M.; Waring, P.; Howlett, B.J. The Epipolythiodioxopiperazine (ETP) Class of Fungal Toxins: Distribution, Mode of Action, Functions and Biosynthesis. Microbiology 2005, 151, 1021–1032. [Google Scholar] [CrossRef] [PubMed]
- Kappel, L.; Münsterkötter, M.; Sipos, G.; Escobar Rodriguez, C.; Gruber, S. Chitin and Chitosan Remodeling Defines Vegetative Development and Trichoderma Biocontrol. PLoS Pathog. 2020, 16, e1008320. [Google Scholar] [CrossRef] [PubMed]
- Brian, P.W.; Mcgowan, J.G. Viridin: A Highly Fungistatic Substance Produced by Trichoderma viride. Nature 1945, 156, 144–145. [Google Scholar] [CrossRef]
- Dubey, S.C.; Bhavani, R.; Singh, B. Integration of Soil Application and Seed Treatment Formulations of Trichoderma Species for Management of Wet Root Rot of Mungbean Caused by Rhizoctonia solani. Pest Manag. Sci. 2011, 67, 1163–1168. [Google Scholar] [CrossRef]
- Roberts, D.P.; Lohrke, S.M.; Meyer, S.L.F.; Buyer, J.S.; Bowers, J.H.; Jacyn Baker, C.; Li, W.; De Souza, J.T.; Lewis, J.A.; Chung, S. Biocontrol Agents Applied Individually and in Combination for Suppression of Soilborne Diseases of Cucumber. Crop Prot. 2005, 24, 141–155. [Google Scholar] [CrossRef]
- Khan, M.R.; Anwer, M.A.; Shahid, S. Management of Gray Mold of Chickpea, Botrytis cinerea with Bacterial and Fungal Biopesticides Using Different Modes of Inoculation and Application. Biol. Control 2011, 57, 13–23. [Google Scholar] [CrossRef]
- Bansal, R.; Sherkhane, P.D.; Oulkar, D.; Khan, Z.; Banerjee, K.; Mukherjee, P.K. The Viridin Biosynthesis Gene Cluster of Trichoderma virens and Its Conservancy in the Bat White-Nose Fungus Pseudogymnoascus destructans. ChemistrySelect 2018, 3, 1289–1293. [Google Scholar] [CrossRef]
- Wilhite, S.E.; Lumsden, R.D.; Straney, D.C. Peptide Synthetase Gene in Trichoderma virens. Appl. Environ. Microbiol. 2001, 67, 5055–5062. [Google Scholar] [CrossRef] [PubMed]
- Jiménez-Bremont, J.F.; González-Pérez, E.; Ortega-Amaro, M.A.; Madrigal-Ortiz, S.; Duque-Ortiz, A.; Mendoza-Mendoza, A. Volatile organic compounds emitted by Trichoderma: Small molecules with biotechnological potential. Scientia Horticulturae 2024, 325, 112656. [Google Scholar] [CrossRef]
- Guo, Q.; Shi, L.; Wang, X.; Li, D.; Yin, Z.; Zhang, J.; Ding, G.; Chen, L. Structures and Biological Activities of Secondary Metabolites from the Trichoderma genus (Covering 2018–2022). J. Agric. Food Chem. 2023, 71, 13612–13632. [Google Scholar] [CrossRef] [PubMed]
- Sun, W.; Shahrajabian, M.H.; Guan, L. The Biocontrol and Growth-Promoting Potential of Penicillium spp. and Trichoderma spp. in Sustainable Agriculture. Plants 2025, 14, 2007. [Google Scholar] [CrossRef]
- Gualtieri, L.; Monti, M.M.; Mele, F.; Russo, A.; Pedata, P.A.; Ruocco, M. Volatile Organic Compound (VOC) Profiles of Different Trichoderma Species and Their Potential Application. J. Fungi 2022, 8, 989. [Google Scholar] [CrossRef]
- Simon, A.; Dunlop, R.W.; Ghisalberti, E.L.; Sivasithamparam, K. Trichoderma koningii produces a pyrone compound with antibiotic properties. Soil Biol. Biochem. 1988, 20, 263–264. [Google Scholar] [CrossRef]
- Stracquadanio, C.; Quiles, J.M.; Meca, G.; Cacciola, S.O. Antifungal Activity of Bioactive Metabolites Produced by Trichoderma asperellum and Trichoderma atroviride in Liquid Medium. J. Fungi 2020, 6, 263. [Google Scholar] [CrossRef]
- Contreras-Cornejo, H.A.; Macías-Rodríguez, L.; Herrera-Estrella, A.; López-Bucio, J. The 4-phosphopantetheinyl transferase of Trichoderma virens plays a role in plant protection against Botrytis cinerea through volatile organic compound emission. Plant Soil 2014, 379, 261–274. [Google Scholar] [CrossRef]
- Basińska-Barczak, A.; Błaszczyk, L.; Szentner, K. Plant Cell Wall Changes in Common Wheat Roots as a Result of Their Interaction with Beneficial Fungi of Trichoderma. Cells 2020, 9, 2319. [Google Scholar] [CrossRef]
- Scarselletti, R.; Faull, J.L. In vitro activity of 6-pentyl-α-pyrone, a metabolite of Trichoderma harzianum, in the inhibition of Rhizoctonia solani and Fusarium oxysporum f. sp. lycopersici. Mycological Res. 1994, 98, 1207–1209. [Google Scholar] [CrossRef]
- Wang, G.; Yuan, Y.; Li, Z.; Zhu, J.; She, Z.; Chen, Y. Cytosporones with Anti-Inflammatory Activities from the Mangrove Endophytic Fungus Phomopsis sp. QYM-13. Mar. Drugs 2023, 21, 631. [Google Scholar] [CrossRef] [PubMed]
- Elsherbiny, E.A.; Amin, B.H.; Aleem, B.; Kingsley, K.L.; Bennett, J.W. Trichoderma Volatile Organic Compounds as a Biofumigation Tool against Late Blight Pathogen Phytophthora infestans in Postharvest Potato Tubers. J. Agric. Food Chem. 2020, 68, 8163–8171. [Google Scholar] [CrossRef] [PubMed]
- You, J.; Li, G.; Li, C.; Zhu, L.; Yang, H.; Song, R.; Gu, W. Biological Control and Plant Growth Promotion by Volatile Organic Compounds of Trichoderma koningiopsis T-51. J. Fungi 2022, 8, 131. [Google Scholar] [CrossRef]
- Zhong, T.; Wang, Z.; Zhang, M.; Wei, X.; Kan, J.; Zalán, Z.; Wang, K.; Du, M. Volatile organic compounds produced by Pseudomonas fluorescens ZX as potential biological fumigants against gray mold on postharvest grapes. Biol. Control 2021, 163, 104754. [Google Scholar] [CrossRef]
- Naz, R.; Khushhal, S.; Asif, T.; Mubeen, S.; Saranraj, P.; Sayyed, R.Z. Inhibition of Bacterial and Fungal Phytopathogens Through Volatile Organic Compounds Produced by Pseudomonas sp. In Secondary Metabolites and Volatiles of PGPR in Plant-Growth Promotion; Sayyed, R.Z., Uarrota, V.G., Eds.; Springer International Publishing: Berlin/Heidelberg, Germany, 2022; pp. 95–118. [Google Scholar] [CrossRef]
- Popova, A.A.; Koksharova, O.A.; Lipasova, V.A.; Zaitseva, J.V.; Katkova-Zhukotskaya, O.A.; Eremina, S.I.; Mironov, A.S.; Chernin, L.S.; Khmel, I.A. Inhibitory and toxic effects of volatiles emitted by strains of Pseudomonas and Serratia on growth and survival of selected microorganisms, Caenorhabditis elegans, and Drosophila melanogaster. BioMed Research Int. 2014, 125704. [Google Scholar] [CrossRef]
- Zhang, Y.; Li, T.; Liu, Y.; Li, X.; Zhang, C.; Feng, Z.; Peng, X.; Li, Z.; Qin, S.; Xing, K. Volatile Organic Compounds Produced by Pseudomonas chlororaphis subsp. aureofaciens SPS-41 as Biological Fumigants to Control Ceratocystis fimbriata in Postharvest Sweet Potatoes. J. Agric. Food Chem. 2019, 67, 3702–3710. [Google Scholar] [CrossRef]
- Wu, L.; Wu, H.; Chen, L.; Lin, L.; Borriss, R.; Gao, X. Bacilysin Overproduction in Bacillus amyloliquefaciens FZB42 Markerless Derivative Strains FZBREP and FZBSPA Enhances Antibacterial Activity. Appl. Microbiol. Biotechnol. 2015, 99, 4255–4263. [Google Scholar] [CrossRef]
- Wang, T.; Liu, X.; Wu, M.-B.; Ge, S. Molecular Insights into the Antifungal Mechanism of Bacilysin. J. Mol. Model 2018, 24, 118. [Google Scholar] [CrossRef]
- Leclère, V.; Béchet, M.; Adam, A.; Guez, J.-S.; Wathelet, B.; Ongena, M.; Thonart, P.; Gancel, F.; Chollet-Imbert, M.; Jacques, P. Mycosubtilin Overproduction by Bacillus subtilis BBG100 Enhances the Organism’s Antagonistic and Biocontrol Activities. Appl. Environ. Microbiol. 2005, 71, 4577–4584. [Google Scholar] [CrossRef]
- Yaseen, Y.; Gancel, F.; Drider, D.; Béchet, M.; Jacques, P. Influence of Promoters on the Production of Fengycin in Bacillus spp. Res. Microbiol. 2016, 167, 272–281. [Google Scholar] [CrossRef]
- Zhang, F.; Huo, K.; Song, X.; Quan, Y.; Wang, S.; Zhang, Z.; Gao, W.; Yang, C. Engineering of a Genome-Reduced Strain Bacillus amyloliquefaciens for Enhancing Surfactin Production. Microb. Cell Fact. 2020, 19, 223. [Google Scholar] [CrossRef]
- Sun, J.; Liu, Y.; Lin, F.; Lu, Z.; Lu, Y. CodY, ComA, DegU and Spo0A Controlling Lipopeptides Biosynthesis in Bacillus amyloliquefaciens fmbJ. J. Appl. Microbiol. 2021, 131, 1289–1304. [Google Scholar] [CrossRef]
- Klausmann, P.; Hennemann, K.; Hoffmann, M.; Treinen, C.; Aschern, M.; Lilge, L.; Morabbi Heravi, K.; Henkel, M.; Hausmann, R. Bacillus subtilis High Cell Density Fermentation Using a Sporulation-Deficient Strain for the Production of Surfactin. Appl. Microbiol. Biotechnol. 2021, 105, 4141–4151. [Google Scholar] [CrossRef]
- Wang, M.; Yu, H.; Li, X.; Shen, Z. Single-Gene Regulated Non-Spore-Forming Bacillus subtilis: Construction, Transcriptome Responses, and Applications for Producing Enzymes and Surfactin. Metabolic Eng. 2020, 62, 235–248. [Google Scholar] [CrossRef]
- Dhali, D.; Coutte, F.; Arias, A.A.; Auger, S.; Bidnenko, V.; Chataigné, G.; Lalk, M.; Niehren, J.; De Sousa, J.; Versari, C.; et al. Genetic Engineering of the Branched Fatty Acid Metabolic Pathway of Bacillus subtilis for the Overproduction of Surfactin C14 Isoform. Biotechnol. J. 2017, 12, 1600574. [Google Scholar] [CrossRef]
- Jin, J.; Yin, Y.; Wang, X.; Wen, J. Metabolic Engineering of Bacillus subtilis 168 for the Utilization of Arabinose to Synthesize the Antifungal Lipopeptide Fengycin. Biochem. Eng. J. 2022, 185, 108528. [Google Scholar] [CrossRef]
- Wang, S.; Wang, R.; Zhao, X.; Ma, G.; Liu, N.; Zheng, Y.; Tan, J.; Qi, G. Systemically Engineering Bacillus amyloliquefaciens for Increasing Its Antifungal Activity and Green Antifungal Lipopeptides Production. Front. Bioeng. Biotechnol. 2022, 10, 961535. [Google Scholar] [CrossRef]
- Song, Y.; He, S.; Abdallah, I.I.; Jopkiewicz, A.; Setroikromo, R.; Van Merkerk, R.; Tepper, P.G.; Quax, W.J. Engineering of Multiple Modules to Improve Amorphadiene Production in Bacillus subtilis Using CRISPR-Cas9. J. Agric. Food Chem. 2021, 69, 4785–4794. [Google Scholar] [CrossRef] [PubMed]
- Chen, R.; Bu, Y.; Ren, J.; Pelot, K.A.; Hu, X.; Diao, Y.; Chen, W.; Zerbe, P.; Zhang, L. Discovery and Modulation of Diterpenoid Metabolism Improves Glandular Trichome Formation, Artemisinin Production and Stress Resilience in Artemisia annua. New Phytologist 2021, 230, 2387–2403. [Google Scholar] [CrossRef] [PubMed]
- Kakule, T.B.; Lin, Z.; Schmidt, E.W. Combinatorialization of Fungal Polyketide Synthase–Peptide Synthetase Hybrid Proteins. J. Am. Chem. Soc. 2014, 136, 17882–17890. [Google Scholar] [CrossRef]
- Chamilos, G.; Lewis, R.E.; Kontoyiannis, D.P. Lovastatin Has Significant Activity against Zygomycetes and Interacts Synergistically with Voriconazole. Antimicrob. Agents Chemother. 2006, 50, 96–103. [Google Scholar] [CrossRef] [PubMed]
- Gyetvai, Ã.; Emri, T.; Takács, K.; Dergez, T.; Fekete, A.; Pesti, M.; PÃ3csi, I.; Lenkey, B. Lovastatin Possesses a Fungistatic Effect against Candida albicans, but Does Not Trigger Apoptosis in This Opportunistic Human Pathogen. FEMS Yeast Res. 2006, 6, 1140–1148. [Google Scholar] [CrossRef]
- Nielsen, M.L.; Isbrandt, T.; Petersen, L.M.; Mortensen, U.H.; Andersen, M.R.; Hoof, J.B.; Larsen, T.O. Linker Flexibility Facilitates Module Exchange in Fungal Hybrid PKS-NRPS Engineering. PLoS ONE 2016, 11, e0161199. [Google Scholar] [CrossRef] [PubMed]
- Tammam, M.A.; Pereira, F.; Skellam, E.; Bidula, S.; Ganesan, A.; El-Demerdash, A. The Cytochalasans: Potent Fungal Natural Products with Application from Bench to Bedside. Nat. Prod. Rep. 2025, 42, 788–841. [Google Scholar] [CrossRef] [PubMed]
- Lu, J.Y.; Zhou, K.; Huang, W.T.; Zhou, P.; Yang, S.; Zhao, X.; Xie, J.; Xia, L.; Ding, X. A Comprehensive Genomic and Growth Proteomic Analysis of Antitumor Lipopeptide Bacillomycin Lb Biosynthesis in Bacillus amyloliquefaciens X030. Appl. Microbiol. Biotechnol. 2019, 103, 7647–7662. [Google Scholar] [CrossRef]
- Akintayo, S.O.; Hosseini, B.; Vahidinasab, M.; Messmer, M.; Pfannstiel, J.; Bertsche, U.; Hubel, P.; Henkel, M.; Hausmann, R.; Voegele, R.T.; et al. Characterization Antifungal Properties of Lipopeptide-Producing Bacillus velezensis Strains and Their Proteome-Based Response to the Phytopathogens, Diaporthe spp. Front. Bioeng. Biotechnol. 2023, 11, 1228386. [Google Scholar] [CrossRef]
- Li, T.; Shi, X.; Wang, J.; Zhou, Y.; Wang, T.; Xu, Y.; Xu, Z.; Raza, W.; Liu, D.; Shen, Q. Turning Antagonists into Allies: Bacterial-Fungal Interactions Enhance the Efficacy of Controlling Fusarium Wilt Disease. Sci. Adv. 2025, 11, eads5089. [Google Scholar] [CrossRef]
- Guez, J.-S.; Vassaux, A.; Larroche, C.; Jacques, P.; Coutte, F. New Continuous Process for the Production of Lipopeptide Biosurfactants in Foam Overflowing Bioreactor. Front. Bioeng. Biotechnol. 2021, 9, 678469. [Google Scholar] [CrossRef]
- Saravanakumar, K.; Fan, L.; Fu, K.; Yu, C.; Wang, M.; Xia, H.; Sun, J.; Li, Y.; Chen, J. Cellulase from Trichoderma harzianum Interacts with Roots and Triggers Induced Systemic Resistance to Foliar Disease in Maize. Sci. Rep. 2016, 6, 35543. [Google Scholar] [CrossRef]
- Gao, G.-R.; Wei, S.-Y.; Ding, M.-Z.; Hou, Z.-J.; Wang, D.-J.; Xu, Q.-M.; Cheng, J.-S.; Yuan, Y.-J. Enhancing Fengycin Production in the Co-Culture of Bacillus subtilis and Corynebacterium glutamicum by Engineering Proline Transporter. Biores. Technol. 2023, 383, 129229. [Google Scholar] [CrossRef]
- Wang, C.; Cao, Y.; Wang, Y.; Sun, L.; Song, H. Enhancing Surfactin Production by Using Systematic CRISPRi Repression to Screen Amino Acid Biosynthesis Genes in Bacillus subtilis. Microb. Cell Fact. 2019, 18, 90. [Google Scholar] [CrossRef]
- Pang, G.; Sun, T.; Ding, M.; Li, J.; Zhao, Z.; Shen, Q.; Cai, F.M. Characterization of an Exceptional Fungal Mutant Enables the Discovery of the Specific Regulator of a Silent PKS–NRPS Hybrid Biosynthetic Pathway. J. Agric. Food Chem. 2022, 70, 11769–11781. [Google Scholar] [CrossRef] [PubMed]
- Delgado-Jarana, J.; Sousa, S.; González, F.; Rey, M.; Llobell, A. ThHog1 Controls the Hyperosmotic Stress Response in Trichoderma harzianum. Microbiology 2006, 152, 1687–1700. [Google Scholar] [CrossRef] [PubMed]
- Rubio, M.; Hermosa, R.; Reino, J.; Collado, I.; Monte, E. Thctf1 Transcription Factor of Trichoderma harzianum Is Involved in 6-Pentyl-2H-Pyran-2-One Production and Antifungal Activity. Fungal Gen. Biol. 2009, 46, 17–27. [Google Scholar] [CrossRef] [PubMed]
- Rubio, M.B.; Pardal, A.J.; Cardoza, R.E.; Gutiérrez, S.; Monte, E.; Hermosa, R. Involvement of the Transcriptional Coactivator ThMBF1 in the Biocontrol Activity of Trichoderma harzianum. Front. Microbiol. 2017, 8, 2273. [Google Scholar] [CrossRef]
- Wu, M.; Wei, H.; Ma, K.; Cui, P.; Zhu, S.; Lai, D.; Ren, J.; Wang, W.; Fan, A.; Lin, W.; et al. ThpacC Acts as a Positive Regulator of Homodimericin A Biosynthesis and Antifungal Activities of Trichoderma harzianum 3.9236. J. Agric. Food Chem. 2021, 69, 12695–12704. [Google Scholar] [CrossRef]









| Strain/Plant | Antifungal Agent/Producer | Effect on Fungal Pathogens/Mode of Action | Reference |
|---|---|---|---|
| Bacillus spp. (PGPR) | B. subtilis, B. amyloliquefaciens, B. licheniformis, B. cereus | Production of lipopeptides, polyketides, antimicrobial peptides, siderophores; suppression of Fusarium, R. solani, Macrophomina, Alternaria, Penicillium spp. | [30,31] |
| B. amyloliquefaciens | FZB42: Bacillomycin D | Inhibition of Fusarium graminearum growth | [35] |
| B. subtilis BS155 | Fengycin | Disruption of fungal cell membrane integrity, oxidative stress, and hyphal death (Magnaporthe grisea) | [35] |
| B. siamensis | Iturins, bacillomycin F; chitinase, β-1,3-glucanase | Cell wall degradation and enhanced suppression of Colletotrichum, R. solani, M. grisea, Fusarium wilt | [36] |
| B. velezensis SDTB038 | Bacillaene, bacilysin, difficidin, fengycin, macrolactin, surfactin | Combined metabolite action controlling Fusarium crown and root rot | [37] |
| Ps. piscium ZJU60 | Phenazine-1-carboxamide | Reduced virulence and mycotoxin production in F. graminearum | [38] |
| Ps. aeruginosa | Multiple metabolites + ISR induction | Suppression of Colletotrichum capsici and induction of plant systemic resistance | [39] |
| Streptomyces spp. | Diverse secondary metabolites | Inhibition of Fusarium, Rhizoctonia, Botrytis, Alternaria, Ganoderma, Phytophthora spp.; enhanced via fermentation optimization and genetic engineering | [41,42] |
| Yeasts | Candida oleophila, Hanseniaspora anomala | Competition, rapid colonization, suppression of P. digitatum, P. italicum, Geotrichum candidum (up to 100% disease control) | [43] |
| Yeasts + Bacillus spp. | C. oleophila, Debaryomyces hansenii, Bacillus spp. | Biofilm formation, lytic enzymes, lipopeptides, volatile compounds; control of green and blue mold during storage | [44] |
| Trichoderma spp. | T. harzianum, T. viride, T. atroviride, T. hamatum, T. asperellum ICC012, T. gamsii ICC080 | Cell wall degradation via chitinases, glucanases, and proteases; broad-spectrum pathogen inhibition. Endophytic colonization, upregulation of defense genes, and reduction in Fusarium head blight | [45,46] |
| Arbuscular mycorrhizal fungi | Funneliformis mosseae + Sinorhizobium medicae | Indirect biocontrol via nutrient uptake and induced systemic resistance; suppression of F. oxysporum | [48] |
| Plant secondary metabolites | Terpenoids, phenolics, alkaloids, flavonoids | Inhibition of spore germination, DNA/protein synthesis, hyphal damage, and mycotoxin reduction | [50,51] |
| Plant essential oils | Thymus, Origanum, Rosmarinus, Mentha, Ocimum, Reynoutria sachalinensis, citrus | Membrane disruption and growth inhibition of Botrytis, Fusarium, Alternaria, and Penicillium spp. | [52] |
| Bryophyte extracts | Porella, Cinclidotus, Anomodon | Inhibition of Botrytis cinerea mycelial growth | [53] |
| Angiosperm extracts | Ipomoea batatas, Myristica fragrans, Curcuma longa | Ergosterol biosynthesis disruption, membrane damage, antifungal and antioomycete effects | [55,56,57] |
| Phenolic-rich plant extracts | Rice straw, mistletoe, Cinnamomum camphora | Increased membrane permeability, cytoplasmic leakage, and induced resistance | [58,59,60,61,62] |
| Medicinal plant extracts | Eryngium campestre, Argyranthemum frutescens | Dose-dependent inhibition of fungal growth via polyphenols and polyacetylenes | [61,64] |
| Species | Antifungal Metabolite | Gene Clusters/ Domains | Cluster Regulation | Target Pathogens/Crops | Reference |
|---|---|---|---|---|---|
| B. subtilis | Iturin 1 | ituA–D NRPS modules with adenylation (A), condensation (C), thiolation (T) domains | Controlled by Spo0A and DegU, the nutrient limitation enhances expression | Fusarium spp., B. cinerea, R. spp./cereals, vegetables | [127] |
| B. subtilis | Fengycins 1 | fenA–E; multi-modular NRPS genes encoding β-hydroxy fatty acid linkage | Co-regulated with surfactin cluster; stress-responsive | Rhizopus stolonifer, Alternaria alternata | [128,129] |
| B. subtilis | Surfactin 1 | srfAA, srfAB, srfAC NRPS | Linked to competence/sporulation via ComA and Spo0A | Synergistic with iturins/fengycins; biofilm suppression | [130] |
| S. griseus | Candicidin 2 | canP1–canP6; modular type I PKS; tailoring genes for glycosyltransferase and oxidoreductase | Cluster-specific regulators (canR); silent under lab conditions unless activated | Candida spp., Fusarium spp. | [131] |
| S. nodosus | Amphotericin B 2 | amphA–C; modular type I PKS enzymes, tailoring genes for Cytochrome P450 monooxygenase, glucosyltransferase | regulated by the cluster-specific activator amphR, stress-responsive regulators (PhoP/PhoR, AdpA, ppGpp) | Aspergillus, Candida, Cryptococcus | [132] |
| S. noursei | Nystatin 2 | nysA–nysH; modular type I PKS enzymes; tailoring enzymes for glycosylation | Regulated by pathway-specific transcription factors (nysRI–RIV) | Broad antifungal activity; model for macrolide biosynthesis | [133] |
| S. natalensis | Natamycin 2 | pimS0–pimS4; type I PKS tailoring enzymes, transport, and regulation glycosylation | Regulated by pathway-specific regulators PimM, PimR, and PimT | Broad antifungal activity; food industry | [134] |
| P. syringae pv. syringae | Syringomycin 1 | syrB1, syrB2, syrC, syrE NRPS modules (A–T–C); halogenase SyrB2 | GacS/GacA, SalA, iron- responsive regulation | A. flavus, A. niger, A. fumigatus, F. moniliforme, F. oxysporum | [135,136] |
| P. syringae pv. syringae | Syringopeptin 1 | sypA, sypB, sypC (≈22 NRPS modules) | Co-regulated with syr cluster; syr/syp promoter box; GacS/GacA | R. solani, Fusarium spp., Pythium spp., Phytophthora spp., B. cinerea, Verticillium spp. | [121,137] |
| P. syringae | Syringofactins 1 | sfaA, sfaB, sfaC, syfA, syfB | GacS/GacA; plant surface induction | Promote leaf-surface (epiphytic) colonization | [138] |
| P. fluorescens SBW25/SS101 | Viscosin 1 | viscA, viscB, viscC; NRPS | GacS/GacA, quorum sensing | Rh. solani, Alternaria sp., F. oxysporum, Pythium debaryanum | [139,140] |
| P. putida PCL1445 | Putisolvins 1 | psoA, psoB, psoC | Quorum sensing (PsoR); surface-associated induction | F. oxysporum | [141] |
| P. fluorescens Pf-5/SS101 | Massetolides 1 | masA, masB, masC | GacS/GacA; RpoS; plant root–dependent cues | Alternaria sp., F. oxysporum | [142] |
| P. protegens Pf-5 | Orfamides 1 | ofaA, ofaB, ofaC | GacS/GacA; RsmA/RsmE post-transcriptional regulation | Magnaporthe oryzae | [143] |
| P. fluorescens | Arthrofactin 1 | arfA, arfB, arfC | QS-related control; surface-motility signals | Fusarium spp., Aspergillus spp., B. cinerea | [144] |
| Pseudomonas sp. | Entolysins 1 | etlA, etlB, etlC | GacS/GacA; environmental regulation | Rh. solani, Colletotrichum spp. | [145] |
| Species | Antifungal Metabolite | Gene Clusters/Domains | Cluster Regulation | Target Phytopathogens | Reference |
|---|---|---|---|---|---|
| T. koningii | Trichokonins VI; VII; VIII | NRPS cluster; multiple A-T-C modules | Environmental stress, nutrient limitation, and antagonistic interaction with pathogens | B. cinerea, R. solani; F. oxysporum, Sclerotinia sclerotiorum | [156] |
| T. harzianum | Peptaibols 1 | tex1 type NRPS with repeated A-T-C modules incorporating α-amino isobutyric acid | Induced by host hyphal contact; regulated by MAPK 2 pathways | F. oxysporum, Alternaria alternata | [157] |
| T. virens | Polyketides 3 | pks4, gliP-like genes, PKS, and hybrid NRPS–PKS clusters | Controlled by LaeA/Velvet complex, responsive to carbon limitation | Sclerotinia sclerotiorum, Botrytis spp. | [158] |
| T. virens | Peptaivirin A/B 4 | pivA/pivB NRPS gene with A-T-C-TE domain organization | Modulated by signaling pathways associated with biocontrol activity | R. solani, F. oxysporum B. cinerea, Ph. infestans | [159,160] |
| T. harzianum | Trichorzianine A1/B1 4 | trz NRPS gene; contains A, T, C, and TE domains | Expression correlated with conidiation and mycoparasitism | R. solani, F. graminearum B. cinerea | [47] |
| Strain | Target | Method | Effect | Highest Titer | Reference |
|---|---|---|---|---|---|
| B. amyloliquefaciens FZBSPA | Bacilysin | Promoter replacement | 3.16-fold higher production | 7.73 g/L (48 h) | [199] |
| B. subtilis BBG100 | Mycosubtilin | Promoter replacement | 15-fold higher production | 203 mg/L (72 h) | [201] |
| B. subtilis BBG203 | Fengycin | Promoter replacement | 8-fold higher expression | 11.5 mg/L (48 h) | [202] |
| B. amyloliquefaciens GR167 | Surfactin | Deletion of iturin and fengycin clusters; promoter replacement | 10.4-fold higher production | 311 mg/L (48 h) | [203] |
| B. amyloliquefaciens fmbJ | Bacillomycin D Fengycin | Overexpression of spo0A Overexpression of degU | 2.34-fold higher production 3.7-fold higher production | 649 mg/L (72 h) 279 mg/L (72 h) | [204] |
| B. subtilis BBG260 | Surfactin | Deletion of codY | 5.77-fold higher specific yield 10.36-fold higher production | 1483 mg/g DW (6 h) 2289 mg/L (10 h) | [207] |
| B. subtilis JABs32 | Surfactin | Inactivation of spo0A | 4-fold higher production | 23.7 g/L (31 h) | [205] |
| B. subtilis 168 | Surfactin | Knockout of spo0A or spoIVB | No production in Δspo0A, 15.7% increase in ΔspoIVB | 9.6 g/L (60 h) | [206] |
| B. subtilis 168 | Amorphadiene | CRISPR-Cas9 editing | >50% increased production | 116 mg/L (48 h) | [210] |
| B. subtilis H1 | Surfactin | CRISPRi silencing of yrpC and racE | 4.41-fold increase | 752 mg/L (24 h) | [223] |
| B. subtilis 168 | Surfactin | Overexpression of leuABCD and ilvK Leu supplementation | 74% higher production in the ΔspoIVB mutant | 16.7 g/L (48 h) | [206] |
| B. subtilis BBG261 | Surfactin | Knockout of lpdV | 1.6-fold higher production | 252 mg/L (10 h) | [207] |
| B. subtilis BSJ023 | Fengycin | Nitrogen source optimized, enhanced supply of fatty acyl-CoA | 2.13-fold higher production | 258.41 mg/L (48 h) | [208] |
| B. amyloliquefaciens WH1 B. amyloliquefaciens WH1 | Fengycin | Deletion of kinA, bdh, dhbF, rapA; overexpression of sfp | 2.3-fold increase (flask) 16-fold increase (bioreactor) | 175.3 mg/L (48 h) 1200.8 mg/L (48 h) | [209] |
| Iturin | 5.8-fold increase (flask) 23-fold increase (bioreactor) | 31.1 mg/L (48 h) 123.5 mg/L (48 h) | [209] | ||
| B. subtilis GGF26 | Fengycin | Overexpression of Ile, Ala, Pro, and Thr transporters; Co-culture with Corynebacterium glutamicum (0.2/0.4 ratio) | 47, 36, 16, and 8% higher production 2-fold increase (flask) 49% increase (bioreactor) | 872 mg/L (Pro) 942 mg/L (Thr) 1555 mg/L, 72 h 2310 mg/L, 96 h | [222] |
| B. velezensis T. guizhouense | Fusarium wilt disease | Deletion of tgmfs4 | Enhanced resistance to Fusarium wilt disease | - | [219] |
| B. subtilis BBG116 | Mycosubtilin | Overflowing continuous culture in a bioreactor | Continuous recovery >99% 2-fold higher production rate | - | [220] |
| T.harzianum | IRS in maize | Knockout of thph1 and thph2 | Increased susceptibility to Curvularia leaf disease | - | [221] |
| B. velezensis ES1-02 | Surfactin | Co-incubation with Diaporthe longicolla | 10-fold higher production | - | [218] |
Disclaimer/Publisher’s Note: The statements, opinions and data contained in all publications are solely those of the individual author(s) and contributor(s) and not of MDPI and/or the editor(s). MDPI and/or the editor(s) disclaim responsibility for any injury to people or property resulting from any ideas, methods, instructions or products referred to in the content. |
© 2025 by the authors. Licensee MDPI, Basel, Switzerland. This article is an open access article distributed under the terms and conditions of the Creative Commons Attribution (CC BY) license.
Share and Cite
Armenova, N.; Tsigoriyna, L.; Arsov, A.; Stefanov, S.; Petrov, K.; Mu, W.; Zhang, W.; Petrova, P. Antifungal Biocontrol in Sustainable Crop Protection: Microbial Lipopeptides, Polyketides, and Plant-Derived Agents. J. Fungi 2026, 12, 22. https://doi.org/10.3390/jof12010022
Armenova N, Tsigoriyna L, Arsov A, Stefanov S, Petrov K, Mu W, Zhang W, Petrova P. Antifungal Biocontrol in Sustainable Crop Protection: Microbial Lipopeptides, Polyketides, and Plant-Derived Agents. Journal of Fungi. 2026; 12(1):22. https://doi.org/10.3390/jof12010022
Chicago/Turabian StyleArmenova, Nadya, Lidia Tsigoriyna, Alexander Arsov, Stefan Stefanov, Kaloyan Petrov, Wanmeng Mu, Wenli Zhang, and Penka Petrova. 2026. "Antifungal Biocontrol in Sustainable Crop Protection: Microbial Lipopeptides, Polyketides, and Plant-Derived Agents" Journal of Fungi 12, no. 1: 22. https://doi.org/10.3390/jof12010022
APA StyleArmenova, N., Tsigoriyna, L., Arsov, A., Stefanov, S., Petrov, K., Mu, W., Zhang, W., & Petrova, P. (2026). Antifungal Biocontrol in Sustainable Crop Protection: Microbial Lipopeptides, Polyketides, and Plant-Derived Agents. Journal of Fungi, 12(1), 22. https://doi.org/10.3390/jof12010022

