Bioactive Alpha-Pyrone and Phenolic Glucosides from the Marine-Derived Metarhizium sp. P2100
Abstract
1. Introduction
2. Materials and Methods
2.1. General Experimental Procedures
2.2. Fungal Material
2.3. Fungal Fermentation and Metabolite Profile Analysis
2.4. ECD Calculation of Metabolites
2.5. Bioassay
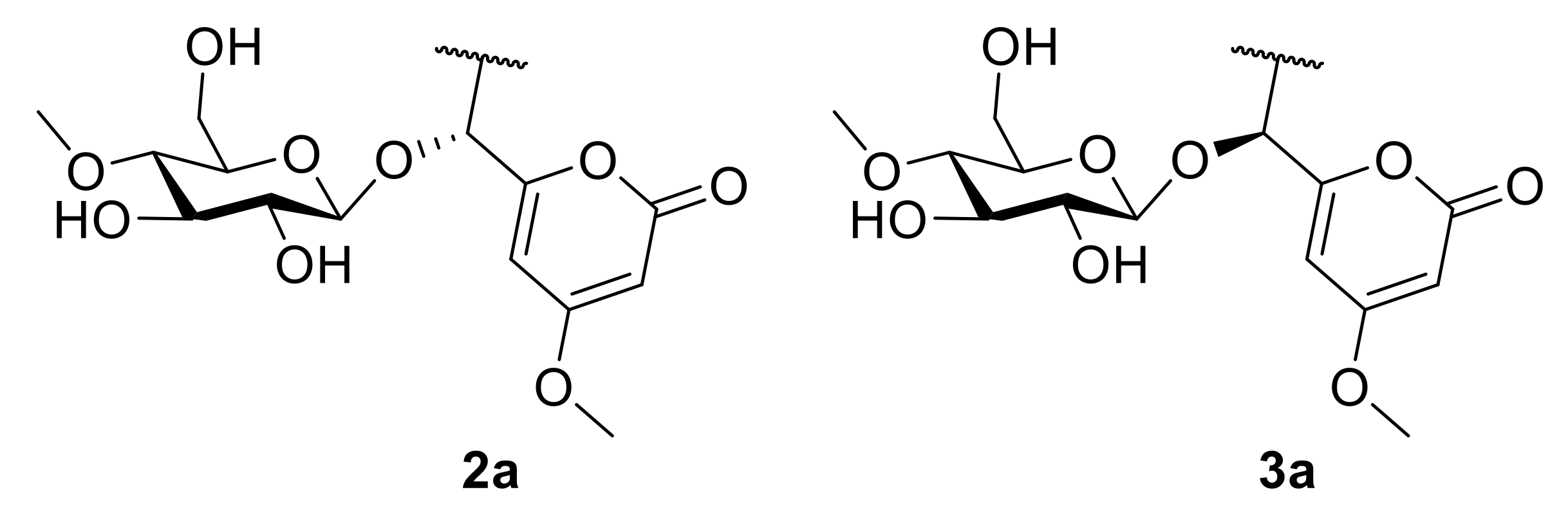
3. Results and Discussions
4. Conclusions
Supplementary Materials
Author Contributions
Funding
Institutional Review Board Statement
Informed Consent Statement
Data Availability Statement
Conflicts of Interest
References
- Thibodeaux, C.J.; Melançon, C.E.; Liu, H.W. Natural-product sugar biosynthesis and enzymatic glycodiversification. Angew. Chem. Int. Ed. Engl. 2008, 47, 9814–9859. [Google Scholar] [CrossRef] [PubMed]
- Kapoor, V.K.; Kaur, A. Drug-glycosidation and drug development. Mini Rev. Med. Chem. 2013, 13, 584–596. [Google Scholar] [CrossRef]
- Kren, V.; Martínková, L. Glycosides in medicine: “The role of glycosidic residue in biological activity”. Curr. Med. Chem. 2001, 8, 1303–1328. [Google Scholar] [CrossRef] [PubMed]
- Hamill, R.J. Amphotericin B formulations: A comparative review of efficacy and toxicity. Drugs 2013, 7, 919–934. [Google Scholar] [CrossRef] [PubMed]
- Lyu, X.; Zhao, C.; Yan, Z.M.; Hua, H. Efficacy of nystatin for the treatment of oral candidiasis: A systematic review and meta-analysis. Drug Des. Devel. Ther. 2016, 10, 1161–1171. [Google Scholar] [CrossRef] [PubMed]
- Martin, A.E.; Montgomery, P.A. Acarbose: An alpha-glucosidase inhibitor. Am. J. Health Syst. Pharm. 1996, 53, 2277–2290. [Google Scholar] [CrossRef] [PubMed]
- Botelho, A.F.M.; Pierezan, F.; Soto-Blanco, B.; Melo, M.M. A review of cardiac glycosides: Structure, toxicokinetics, clinical signs, diagnosis and antineoplastic potential. Toxicon 2019, 158, 63–68. [Google Scholar] [CrossRef]
- Jin, L.; Quan, C.; Hou, X.; Fan, S. Potential pharmacological resources: Natural bioactive compounds from marine-derived fungi. Mar. Drugs 2016, 14, 76. [Google Scholar] [CrossRef]
- Hou, X.M.; Wang, C.Y.; Gerwick, W.H.; Shao, C.L. Marine natural products as potential anti-tubercular agents. Eur. J. Med. Chem. 2019, 165, 273–292. [Google Scholar] [CrossRef] [PubMed]
- Liu, Z.; Frank, M.; Yu, X.; Yu, H.; Tran-Cong, N.M.; Gao, Y.; Proksch, P. Secondary Metabolites from Marine-Derived Fungi from China. Prog. Chem. Org. Nat. Prod. 2020, 111, 81–153. [Google Scholar] [PubMed]
- Ivanchina, N.V.; Kicha, A.A.; Stonik, V.A. Steroid glycosides from marine organisms. Steroids 2011, 76, 425–454. [Google Scholar] [CrossRef] [PubMed]
- Li, K.; Cai, J.; Su, Z.; Yang, B.; Liu, Y.; Zhou, X.; Huang, J.; Tao, H. Glycosylated natural products from marine microbes. Front Chem. 2020, 7, 879. [Google Scholar] [CrossRef] [PubMed]
- Huang, Z.J.; Yang, J.X.; Lei, F.H.; She, Z.G.; Lin, Y.C. A new xanthone O-glycoside from the mangrove endophytic fungus Phomopsis. Sp. Chem. Nat. Compd. 2019, 49, 27–30. [Google Scholar]
- Seo, C.; Sohn, J.H.; Oh, H.; Kim, B.Y.; Ahn, J.S. Isolation of the protein tyrosine phosphatase 1B inhibitory metabolite from the marine-derived fungus Cosmospora sp. SF-5060. Bioorg. Med. Chem. Lett. 2009, 19, 6095–6097. [Google Scholar] [CrossRef]
- Afiyatullov, S.S.; Kuznetsova, T.A.; Isakov, V.V.; Pivkin, M.V.; Prokof’eva, N.G.; Elyakov, G.B. New diterpenic altrosides of the fungus Acremonium striatisporum isolated from a sea cucumber. J. Nat. Prod. 2000, 63, 848–850. [Google Scholar] [CrossRef] [PubMed]
- Afiyatullov, S.S.; Kalinovsky, A.I.; Kuznetsova, T.A.; Pivkin, M.V.; Prokof’eva, N.G.; Dmitrenok, P.S.; Elyakov, G.B. New glycosides of the fungus Acremonium striatisporum isolated from a sea cucumber. J. Nat. Prod. 2004, 67, 1047–1051. [Google Scholar] [CrossRef]
- Gibson, D.M.; Donzelli, B.G.; Krasnoff, S.B.; Keyhani, N.O. Discovering the secondary metabolite potential encoded within entomopathogenic fungi. Nat. Prod. Rep. 2014, 31, 1287–1305. [Google Scholar] [CrossRef]
- Zhang, L.; Fasoyin, O.E.; Molnár, I.; Xu, Y. Secondary metabolites from hypocrealean entomopathogenic fungi: Novel bioactive compounds. Nat. Prod. Rep. 2020, 37, 1181–1206. [Google Scholar] [CrossRef]
- Donzelli, B.; Krasnoff, S.B. Molecular genetics of secondary chemistry in Metarhizium fungi. Adv. Genetics 2016, 94, 365–436. [Google Scholar]
- Hou, X.M.; Xu, R.F.; Gu, Y.C.; Wang, C.Y.; Shao, C.L. Biological and chemical diversity of coral-derived microorganisms. Curr. Med. Chem. 2022, 22, 3707–3762. [Google Scholar] [CrossRef]
- Peng, X.Y.; Wu, J.T.; Shao, C.L.; Li, Z.Y.; Chen, M.; Wang, C.Y. Co-culture: Stimulate the metabolic potential and explore the molecular diversity of natural products from microorganisms. Mar. Life Sci. Technol. 2021, 3, 363–374. [Google Scholar] [CrossRef]
- Hai, Y.; Cai, Z.M.; Li, P.J.; Wei, M.Y.; Wang, C.Y.; Gu, Y.C.; Shao, C.L. Trends of antimalarial marine natural products: Progresses, challenges and opportunities. Nat. Prod. Rep. 2022, 39, 969–990. [Google Scholar] [CrossRef] [PubMed]
- Liu, L.; Zheng, Y.Y.; Shao, C.L.; Wang, C.Y. Metabolites from marine invertebrates and their symbiotic microorganisms: Molecular diversity discovery, mining, and application. Mar. Life Sci. Technol. 2019, 1, 60–94. [Google Scholar] [CrossRef]
- Yao, G.S.; Ma, Z.L.; Zheng, Y.Y.; Lv, L.; Mao, J.Q.; Wang, C.Y. Bioactive alkaloids from the marine-derived fungus Metarhizium sp. P2100. J. Fungi 2022, 8, 1218. [Google Scholar]
- Yang, L.J.; Peng, X.Y.; Zhang, Y.H.; Liu, Z.Q.; Li, X.; Gu, Y.C.; Shao, C.L.; Han, Z.; Wang, C.Y. Antimicrobial and antioxidant polyketides from a deep-sea-derived fungus Aspergillus versicolor SH0105. Mar. Drugs 2020, 18, 636. [Google Scholar] [CrossRef]
- Aquino, R.; Morelli, S.; Lauro, M.R.; Abdo, S.; Saija, A.; Tomaino, A. Phenolic constituents and antioxidant activity of an extract of Anthurium versicolor leaves. J. Nat. Prod. 2001, 64, 1019–1023. [Google Scholar] [CrossRef]
- Aktumsek, A.; Zengin, G.; Guler, G.O.; Cakmak, Y.S.; Duran, A. Antioxidant potentials and anticholinesterase activities of methanolic and aqueous extracts of three endemic Centaurea, L. species. Food Chem. Toxicol. 2013, 55, 290–296. [Google Scholar] [CrossRef] [PubMed]
- Xia, W.J.; Luo, P.P.; Hua, P.; Peng, C.J.; Li, J.; Xu, H.H.; Zhou, Q. Discovery of a new pterocarpan-type antineuroinflammatory compound from Sophora tonkinensis through suppression of the TLR4/NF-κB/MAPK signaling pathway with PU. 1 as a potential target. ACS Chem. Neurosci. 2018, 10, 295–303. [Google Scholar] [CrossRef]
- Milella, L.; Milazzo, S.; De Leo, M.; Vera, S.M.B.; Faraone, I.; Tuccinardi, T.; Lapillo, M.; De Tommasi, N.; Braca, A. α-Glucosidase and α-Amylase inhibitors from Arcytophyllum thymifolium. J. Nat. Prod. 2016, 79, 2104–2112. [Google Scholar] [CrossRef] [PubMed]
- March, P.D.; Marcial, M.M.; Ripoll, I. Alkylation of position C-5 of triacetic acid lactone by sigmatropic rearrangement of sulphonium ylide. Chem. Ber. 1987, 120, 1313–1419. [Google Scholar] [CrossRef]
- Mándi, A.; Mudianta, I.W.; Kurtán, T.; Garson, M.J. Absolute configuration and conformational study of psammaplysins A and B from the balinese marine sponge Aplysinella strongylata. J. Nat. Prod. 2015, 78, 2051–2056. [Google Scholar] [CrossRef] [PubMed]
- Hou, X.F.; Yao, S.; Mándi, A.; Kurtán, T.; Tang, C.P.; Ke, C.Q.; Li, X.Q.; Ye, Y. Bicunningines A and B, two new dimeric diterpenes from Cunninghamia lanceolata. Org. Lett. 2012, 14, 460–463. [Google Scholar] [CrossRef] [PubMed]
- Dong, Q.; Yuan, Y.; Zhou, Y.; Zhang, Y.X.; Zhang, J.P.; Yu, H.B.; Jiao, B.H.; Liu, X.Y.; Lu, X.L. Biotransformation of total coumarins of Radix Glehniae by Lecanicillium attenuatum W-1–9. J. Asian Nat. Prod. Res. 2018, 20, 675–685. [Google Scholar] [CrossRef] [PubMed]
- Rivera-Chávez, J.; Figueroa, M.; González Mdel, C.; Glenn, A.E.; Mata, R. α-Glucosidase inhibitors from a Xylaria feejeensis associated with Hintonia latiflora. J. Nat. Prod. 2015, 78, 730–735. [Google Scholar] [CrossRef] [PubMed]





| No. | 1 | 2 | 3 | |||
|---|---|---|---|---|---|---|
| δH (J in Hz) | δC | δH (J in Hz) | δC | δH (J in Hz) | δC | |
| 2 | 167.5 | 167.1 | 167.0 | |||
| 3 | 5.68 (d, J = 2.2 Hz, 1H) | 91.7 | 5.57 (d, J = 2.3 Hz, 1H) | 89.0 | 5.57 (d, J = 2.3 Hz, 1H) | 89.1 |
| 4 | 171.4 | 173.7 | 173.5 | |||
| 5 | 6.11 (d, J = 2.2 Hz, 1H) | 101.1 | 6.30 (d, J = 2.2 Hz, 1H) | 101.8 | 6.51 (d, J = 2.2 Hz, 1H) | 101.8 |
| 6 | 168.2 | 165.9 | 165.5 | |||
| 7 | 2.52 (t, J = 7.5 Hz, 2H) | 34.4 | 4.44 (t, J = 6.3 Hz, 1H) | 79.1 | 4.62 (dd, J = 7.2, 5.2 Hz, 1H) | 76.4 |
| 8 | 1.66 (p, J = 7.4 Hz, 2H) | 27.6 | 1.84 (td, J = 6.3, 2.2 Hz, 2H) | 33.5 | 1.89–1.70 (m, 2H) | 34.7 |
| 9 | 1.34 (m, 2H) | 32.1 | 1.42–1.37 (m,2H) | 27.8 | 1.42–1.37 (m, 2H) | 28.0 |
| 10 | 1.36 (m, 2H) | 23.4 | 1.37–1.27 (m, 2H) | 23.6 | 1.37–1.26 (m, 2H) | 23.4 |
| 11 | 0.92 (t, J = 6.9 Hz, 3H) | 14.3 | 0.89 (m, 3H) | 14.3 | 0.90 (t, J = 7.1 Hz, 3H) | 14.3 |
| 4-OMe | 3.86 (s, 3H) | 57.0 | 3.87 (s, 3H) | 57.0 | ||
| 1′ | 5.03 (d, J = 7.8 Hz, 1H) | 100.7 | 4.36 (d, J = 7.8 Hz, 1H) | 104.2 | 4.24 (d, J = 7.8 Hz, 1H) | 102.1 |
| 2′ | 3.44 (dd, J = 9.4, 7.8 Hz) | 74.5 | 3.22 (dd, J = 9.3, 7.8 Hz, 1H) | 75.2 | 3.25 (dd, J = 9.2, 7.8 Hz, 1H) | 75.1 |
| 3′ | 3.56 (dd, J = 9.4, 8.9 Hz, 1H) | 77.7 | 3.44 (dd, J = 9.3, 8.8 Hz, 1H) | 78.1 | 3.43 (dd, J = 9.2, 9.0 Hz, 1H) | 78.0 |
| 4′ | 3.19 (dd, J = 9.8, 8.9 Hz, 1H) | 80.1 | 3.08 (dd, J = 9.8, 8.8 Hz, 1H) | 80.7 | 3.08 (dd, J = 9.6, 9.0 Hz, 1H) | 80.9 |
| 5′ | 3.48 (m, 1H) | 77.5 | 3.17 (m, 1H) | 77.0 | 3.21 (m, 1H), | 77.1 |
| 6′ | 3.83 (dd, J = 12.2, 2.2 Hz, 1H); 3.69 (dd, J = 12.2, 4.6 Hz, 1H) | 61.7 | 3.68 (dd, J = 11.9, 2.1 Hz, 1H); 3.59 (dd, J = 11.9, 4.5 Hz, 1H) | 62.2 | 3.67 (dd, J = 11.9, 5.2 Hz, 1H); 3.83 (dd, J = 11.9, 2.1 Hz, 1H) | 62.3 |
| 4′-OMe | 3.58 (s, 3H) | 60.9 | 3.54 (s, 3H) | 60.8 | 3.54 (s, 3H) | 60.8 |
| No. | 4 | |
|---|---|---|
| δH (J in Hz) | δC | |
| 1 | 2.57 (s, 3H) | 26.4 |
| 2 | 199.4 | |
| 3 | 132.9 | |
| 4 | 7.57 (d, J = 2.0 Hz, 1H) | 112.4 |
| 5 | 150.6 | |
| 6 | 152.4 | |
| 7 | 7.20 (d, J = 8.5 Hz, 1H) | 116.1 |
| 8 | 7.63 (dd, J = 8.5, 2.0 Hz, 1H) | 124.4 |
| 5-OMe | 3.90 (s, 3H) | 56.6 |
| 1′ | 5.02 (d, J = 7.5 Hz, 1H) | 101.7 |
| 2′ | 3.56 (dd, J = 9.4, 7.5 Hz, 1H) | 74.8 |
| 3′ | 3.61 (dd, J = 9.4, 9.1 Hz, 1H) | 77.9 |
| 4′ | 3.21 (dd, J = 9.2, 9.1 Hz, 1H) | 80.5 |
| 5′ | 3.46 (m, 1H) | 77.4 |
| 6′ | 3.83 (dd, J = 12.1, 2.6 Hz, 1H) 3.69 (dd, J = 12.1, 4.8 Hz 1H) | 62.0 |
| 4′-OMe | 3.59 (s, 3H) | 60.9 |
| No. | 1 | 2 | 3 | 4 | Dexamethasone |
|---|---|---|---|---|---|
| NO production inhibition ratio (%) | 53.85 ± 2.32 | 62.30 ± 1.46 | 68.44 ± 3.75 | 68.10 ± 2.07 | 63.88 ± 2.07 |
| Cell proliferation inhibition ratio (%) | 97.8 ± 10.25 | 117.23 ± 24.88 | 84.81 ± 4.9 | 77.45 ± 2.95 | 94.17 ± 4.82 |
Disclaimer/Publisher’s Note: The statements, opinions and data contained in all publications are solely those of the individual author(s) and contributor(s) and not of MDPI and/or the editor(s). MDPI and/or the editor(s) disclaim responsibility for any injury to people or property resulting from any ideas, methods, instructions or products referred to in the content. |
© 2022 by the authors. Licensee MDPI, Basel, Switzerland. This article is an open access article distributed under the terms and conditions of the Creative Commons Attribution (CC BY) license (https://creativecommons.org/licenses/by/4.0/).
Share and Cite
Ma, Z.-L.; Yu, Z.-P.; Zheng, Y.-Y.; Han, N.; Zhang, Y.-H.; Song, S.-Y.; Mao, J.-Q.; Li, J.-J.; Yao, G.-S.; Wang, C.-Y. Bioactive Alpha-Pyrone and Phenolic Glucosides from the Marine-Derived Metarhizium sp. P2100. J. Fungi 2023, 9, 28. https://doi.org/10.3390/jof9010028
Ma Z-L, Yu Z-P, Zheng Y-Y, Han N, Zhang Y-H, Song S-Y, Mao J-Q, Li J-J, Yao G-S, Wang C-Y. Bioactive Alpha-Pyrone and Phenolic Glucosides from the Marine-Derived Metarhizium sp. P2100. Journal of Fungi. 2023; 9(1):28. https://doi.org/10.3390/jof9010028
Chicago/Turabian StyleMa, Zhong-Lian, Zhi-Pu Yu, Yao-Yao Zheng, Na Han, Ya-Hui Zhang, Shu-Yue Song, Jun-Qiu Mao, Jiao-Jiao Li, Guang-Shan Yao, and Chang-Yun Wang. 2023. "Bioactive Alpha-Pyrone and Phenolic Glucosides from the Marine-Derived Metarhizium sp. P2100" Journal of Fungi 9, no. 1: 28. https://doi.org/10.3390/jof9010028
APA StyleMa, Z.-L., Yu, Z.-P., Zheng, Y.-Y., Han, N., Zhang, Y.-H., Song, S.-Y., Mao, J.-Q., Li, J.-J., Yao, G.-S., & Wang, C.-Y. (2023). Bioactive Alpha-Pyrone and Phenolic Glucosides from the Marine-Derived Metarhizium sp. P2100. Journal of Fungi, 9(1), 28. https://doi.org/10.3390/jof9010028
