A Denture Use Model Associated with Candida spp. in Immunocompetent Male and Female Rats
Abstract
1. Introduction
2. Materials and Methods
2.1. Animals
2.2. Custom-Fitted Intraoral Acrylic Device
2.3. Candida spp. Growth, Biofilm Formation on Devices, Oral Inoculations and Experimental Groups
2.4. CFU Analysis
2.5. Macroscopic Analysis
2.6. Euthanasia and Blood Cell Count Analysis
2.7. Histopathological Analysis
2.8. DNA Extraction and 16S rRNA Gene Sequencing
2.9. Sequencing Data Analysis
2.10. Statistical Analysis
3. Results
3.1. Animals’ Body Mass
3.2. Recovery of Micro-Organisms
3.3. Blood Cell Counts
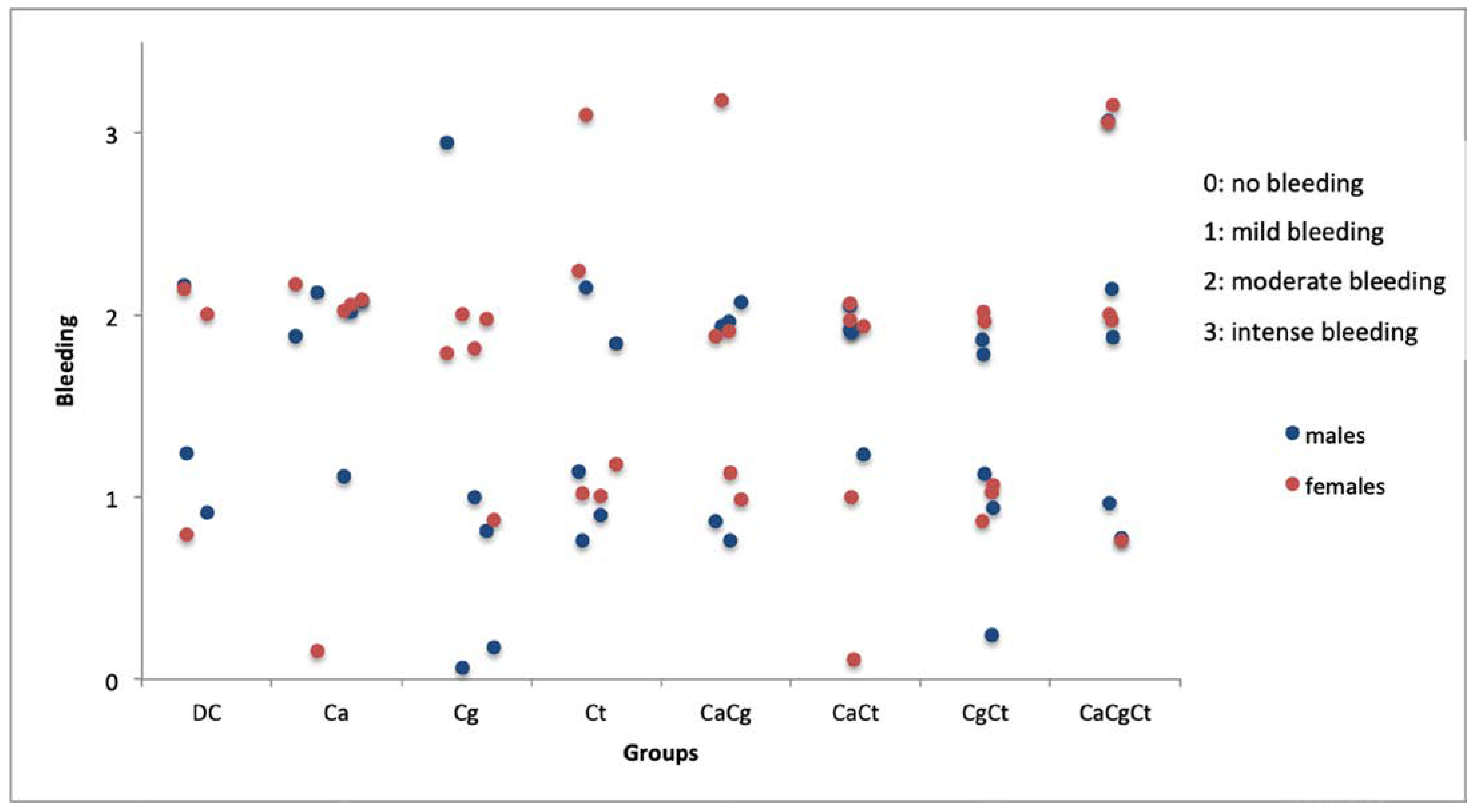
3.4. Macroscopic and Histopathological Analysis
3.5. Microbiome Analysis
4. Discussion
Supplementary Materials
Author Contributions
Funding
Institutional Review Board Statement
Informed Consent Statement
Data Availability Statement
Acknowledgments
Conflicts of Interest
References
- Telles, D.R.; Karki, N.; Marshall, M.W. Oral fungal infections: Diagnosis and management. Dent. Clin. N. Am. 2017, 61, 319–349. [Google Scholar] [CrossRef] [PubMed]
- Gendreau, L.; Loewy, Z.G. Epidemiology and etiology of denture stomatitis. J. Prosthodont. 2011, 20, 251–260. [Google Scholar] [CrossRef] [PubMed]
- Pina, G.D.M.S.; Lia, E.N.; Berretta, A.A.; Nascimento, A.P.; Torres, E.C.; Buszinski, A.F.M.; De Campos, T.A.; Coelho, E.B.; Martins, V. Efficacy of propolis on the denture stomatitis treatment in older adults: A multicentric randomized trial. Evid.-Based Complement. Altern. Med. 2017, 2017, 8971746. [Google Scholar] [CrossRef] [PubMed]
- Javed, F.; Al-Kheraif, A.A.; Kellesarian, S.V.; Vohra, F.; Romanos, G.E. Oral Candida carriage and species prevalence in denture stomatitis patients with and without diabetes. J. Boil. Regul. Homeost. Agents 2017, 31, 343–346. [Google Scholar]
- Aguayo, S.; Marshall, H.; Pratten, J.; Bradshaw, D.; Brown, J.; Porter, S.; Spratt, D.; Bozec, L. Adhesion of Candida albicans onto dental acrylic surfaces. J. Dent. Res. 2017, 96, 917–923. [Google Scholar] [CrossRef]
- Salerno, C.; Pascale, M.; Contaldo, M.; Esposito, V.; Busciolano, M.; Milillo, L.; Guida, A.; Petruzzi, M.; Serpico, R. Candida-associated denture stomatitis. Med. Oral Patol. Oral Cir. Bucal 2011, 16, e139–e143. [Google Scholar] [CrossRef]
- Vila, T.; Sultan, A.S.; Montelongo-Jauregui, D.; Jabra-Rizk, M.A. Oral Candidiasis: A disease of opportunity. J. Fungi 2020, 6, 15. [Google Scholar] [CrossRef]
- Villar, C.C.; Dongari-Bagtzoglou, A. Fungal diseases: Oral dysbiosis in susceptible hosts. Periodontology 2000 2021, 87, 166–180. [Google Scholar] [CrossRef]
- Coco, B.J.; Bagg, J.; Cross, L.J.; Jose, A.; Cross, J.; Ramage, G. Mixed Candida albicans and Candida glabrata populations associated with the pathogenesis of denture stomatitis. Oral Microbiol. Immunol. 2008, 23, 377–383. [Google Scholar] [CrossRef]
- Zomorodian, K.; Haghighi, N.N.; Rajaee, N.; Pakshir, K.; Tarazooie, B.; Vojdani, M.; Sedaghat, F.; Vossoughi, M. Assessment of Candida species colonization and denture-related stomatitis in complete denture wearers. Med. Mycol. 2011, 49, 208–211. [Google Scholar] [CrossRef]
- Mima, E.G.D.O.; Vergani, C.; Machado, A.L.; Massucato, E.M.S.; Colombo, A.L.; Bagnato, V.S.; Pavarina, A.C. Comparison of photodynamic therapy versus conventional antifungal therapy for the treatment of denture stomatitis: A randomized clinical trial. Clin. Microbiol. Infect. 2012, 18, E380–E388. [Google Scholar] [CrossRef] [PubMed]
- Sanitá, P.V.; Pavarina, A.C.; Giampaolo, E.T.; Silva, M.M.; De Oliveira Mima, E.G.; Ribeiro, D.G.; Vergani, C.E. Candida spp. prevalence in well controlled type 2 diabetic patients with denture stomatitis. Oral Surg. Oral Med. Oral Pathol. Oral Radiol. Endodontol. 2011, 111, 726–733. [Google Scholar] [CrossRef] [PubMed]
- Alves, F.; Carmello, J.C.; Alonso, G.C.; Mima, E.G.O.; Bagnato, V.S.; Pavarina, A.C. A randomized clinical trial evaluating photodithazine-mediated antimicrobial photodynamic therapy as a treatment for denture stomatitis. Photo Diagn. Photodyn. 2020, 32, 102041. [Google Scholar] [CrossRef] [PubMed]
- Wu, P.F.; Liu, W.L.; Hsieh, M.H.; Hii, I.M.; Lee, Y.L.; Lin, Y.T.; Ho, M.; Liu, C.; Chen, Y.; Wang, F. Epidemiology and antifungal susceptibility of candidemia isolates of non-albicans Candida species from cancer patients. Emerg. Microbes Infect. 2017, 6, e87. [Google Scholar] [CrossRef]
- Fathi, N.; Mohammadi, R.; Tabatabaiefar, M.A.; Ghahri, M.; Sadrossadati, S.Z. Sequence-identification of Candida species isolated from candidemia. Adv. Biomed. Res. 2016, 5, 150. [Google Scholar] [CrossRef]
- Doi, A.M.; Pignatari, A.C.C.; Edmond, M.; Marra, A.R.; Camargo, L.F.A.; Siqueira, R.A.; Da Mota, V.P.; Colombo, A.L. Epidemiology and microbiologic characterization of nosocomial candidemia from a Brazilian national surveillance program. PLoS ONE 2016, 11, e0146909. [Google Scholar] [CrossRef]
- Whaley, S.G.; Berkow, E.L.; Rybak, J.M.; Nishimoto, A.T.; Barker, K.S.; Rogers, P.D. Azole antifungal resistance in Candida albicans and emerging non-albicans Candida species. Front. Microbiol. 2017, 7, 2173. [Google Scholar] [CrossRef]
- Thein, Z.M.; Seneviratne, C.J.; Samaranayake, Y.H.; Samaranayake, L.P. Community lifestyle of Candida in mixed biofilms: A mini review. Mycoses 2009, 52, 467–475. [Google Scholar] [CrossRef]
- Vipulanandan, G.; Herrera, M.; Wiederhold, N.P.; Li, X.; Mintz, J.; Wickes, B.L.; Kadosh, D. Dynamics of mixed-Candida species biofilms in response to antifungals. J. Dent. Res. 2018, 97, 91–98. [Google Scholar] [CrossRef]
- Sugio, C.Y.C.; Garcia, A.A.M.N.; Albach, T.; Moraes, G.S.; Bonfante, E.A.; Urban, V.M.; Neppelenbroek, K.H. Candida-associated denture stomatitis and murine models: What is the importance and scientific evidence? J. Fungi 2020, 6, 70. [Google Scholar] [CrossRef]
- Samaranayake, Y.H.; Samaranayake, L.P. Experimental oral candidiasis in animal models. Clin. Microbiol. Rev. 2001, 14, 398–429. [Google Scholar] [CrossRef] [PubMed]
- Takakura, N.; Sato, Y.; Ishibashi, H.; Oshima, H.; Uchida, K.; Yamaguchi, H.; Abe, S. A novel murine model of oral candidiasis with local symptoms characteristic of oral thrush. Microbiol. Immunol. 2003, 47, 321–326. [Google Scholar] [CrossRef] [PubMed]
- Dongari-Bagtzoglou, A.; Kashleva, H.; Dwivedi, P.; Diaz, P.; Vasilakos, J. Characterization of mucosal Candida albicans biofilms. PLoS ONE 2009, 4, e7967. [Google Scholar] [CrossRef] [PubMed]
- Sakima, V.T.; Barbugli, P.A.; Cerri, P.S.; Chorilli, M.; Carmello, J.C.; Pavarina, A.C.; Mima, E.G.D.O. Antimicrobial photodynamic therapy mediated by curcumin-loaded polymeric nanoparticles in a murine model of oral candidiasis. Molecules 2018, 23, 2075. [Google Scholar] [CrossRef]
- Olsen, I.; Bondevik, O. Experimental Candida-induced denture stomatitis in the Wistar rat. Scand. J. Dent. Res. 1978, 86, 392–398. [Google Scholar] [CrossRef]
- Maruo, Y.; Sugimoto, T.; Oka, M.; Hara, T.; Sato, T. Accelerated DNA fragmentation of the denture-bearing mucosal epithelium in an animal model of diabetes. J. Oral Rehabil. 2001, 28, 393–399. [Google Scholar] [CrossRef]
- Shakir, B.S.; Smith, C.J.; Martin, M.V. Epithelial mitotic activity during the induction of palatal candidosis in the Wistar rat. J. Oral Pathol. 1986, 15, 375–380. [Google Scholar] [CrossRef]
- Nett, J.E.; Marchillo, K.; Spiegel, C.A.; Andes, D.R. Development and validation of an in vivo Candida albicans biofilm denture model. Infect. Immun. 2010, 78, 3650–3659. [Google Scholar] [CrossRef]
- Tobouti, P.L.; Casaroto, A.R.; De Almeida, R.S.C.; De Paula Ramos, S.; Dionisio, T.J.; Porto, V.C.; Dos Santos, C.F.; Lara, V.S. Expression of secreted aspartyl proteinases in an experimental model of Candida albicans-associated denture stomatitis. J. Prosthodont. 2016, 25, 127–134. [Google Scholar] [CrossRef]
- Lee, H.; Yu, A.; Johnson, C.C.; Lilly, E.A.; Noverr, M.C.; Fidel, P.L., Jr. Fabrication of a multi-applicable removable intraoral denture system for rodent research. J. Oral Rehabil. 2011, 38, 686–690. [Google Scholar] [CrossRef]
- Johnson, C.C.; Yu, A.; Lee, H.; Fidel, P.L., Jr.; Noverr, M.C. Development of a contemporary animal model of Candida albicans-associated denture stomatitis using a novel intraoral denture system. Infect. Immun. 2012, 80, 1736–1743. [Google Scholar] [CrossRef] [PubMed]
- Yano, J.; Yu, A.; Fidel, P.L., Jr.; Noverr, M.C. Transcription factors Efg1 and Bcr1 regulate biofilm formation and virulence during Candida albicans-associated denture stomatitis. PLoS ONE 2016, 11, e0159692. [Google Scholar] [CrossRef] [PubMed]
- Yano, J.; Yu, A.; Fidel, P.L., Jr.; Noverr, M.C. Candida glabrata has no enhancing role in the pathogenesis of Candida-associated denture stomatitis in a rat model. mSphere 2019, 4, e00191-19. [Google Scholar] [CrossRef]
- Shakir, B.S.; Martin, M.V.; Smith, C.J. Relative effectiveness of various yeasts, Candida spp. and Torulopsis glabrata, for inducing palatal infection in the Wistar rat. Arch. Oral Biol. 1983, 28, 1069–1071. [Google Scholar] [CrossRef]
- Tati, S.; Davidow, P.; McCall, A.; Hwang-Wong, E.; Rojas, I.G.; Cormack, B.; Edgerton, M. Candida glabrata binding to Candida albicans hyphae enables its development in oropharyngeal candidiasis. PLoS Pathog. 2016, 12, e1005522. [Google Scholar] [CrossRef]
- Dorko, E.; Pilipcinec, E.; Bracoková, I.; Jenca, A.; Svický, E.; Danko, J.; Tkáciková, L.; Dorko, F.; Kocisová, M.; Lovásová, K. Relative pathogenicity of Candida tropicalis in rat tongue mucosa. Folia Microbiol. 2000, 45, 561–565. [Google Scholar] [CrossRef] [PubMed]
- Zuza-Alves, D.L.; Silva-Rocha, W.P.; Chaves, G.M. An update on Candida tropicalis based on basic and clinical approaches. Front. Microbiol. 2017, 8, 1927. [Google Scholar] [CrossRef]
- Sultan, A.S.; Rizk, A.M.; Vila, T.; Ji, Y.; Masri, R.; Jabra-Rizk, M.A. Digital design of a universal rat intraoral device for therapeutic evaluation of a topical formulation against Candida-associated denture stomatitis. Infect. Immun. 2019, 87, e00617–e00619. [Google Scholar] [CrossRef]
- Mima, E.G.; Pavarina, A.C.; Neppelenbroek, K.H.; Vergani, C.E.; Spolidorio, D.M.; Machado, A.L. Effect of different exposure times on microwave irradiation on the disinfection of a hard chairside reline resin. J. Prosthodont. 2008, 17, 312–317. [Google Scholar] [CrossRef]
- Bolyen, E.; Rideout, J.R.; Dillon, M.R.; Bokulich, N.A.; Abnet, C.C.; Al-Ghalith, G.A.; Alexander, H.; Alm, E.J.; Arumugam, M.; Asnicar, F.; et al. Reproducible, interactive, scalable and extensible microbiome data science using QIIME 2. Nat. Biotechnol. 2019, 37, 852–857. [Google Scholar] [CrossRef]
- Callahan, B.J.; McMurdie, P.J.; Rosen, M.J.; Han, A.W.; Johnson, A.J.; Holmes, S.P. DADA2: High-resolution sample inference from Illumina amplicon data. Nat. Methods 2016, 13, 581–583. [Google Scholar] [CrossRef] [PubMed]
- Chen, T.; Yu, W.H.; Izard, J.; Baranova, O.V.; Lakshmanan, A.; Dewhirst, F.E. The human oral microbiome database: A web accessible resource for investigating oral microbe taxonomic and genomic information. Database 2010, 2010, baq013. [Google Scholar] [CrossRef] [PubMed]
- Fermanian, J. Mesure de l’accord entre deux juges: Cas quantitatif [Measuring agreement between 2 observers: A quantitative case]. Rev. Epidemiol. Sante Publique 1984, 32, 408–413. [Google Scholar]
- Budtz-jørgensen, E. Ecology of Candida-associated denture stomatitis. Microb. Ecol. Health Dis. 2000, 3, 170–185. [Google Scholar] [CrossRef][Green Version]
- Naglik, J.R.; Fidel, P.L., Jr.; Odds, F.C. Animal models of mucosal Candida infection. FEMS Microbiol. Lett. 2008, 283, 129–139. [Google Scholar] [CrossRef]
- Russell, C.; Jones, J.H. The effects of oral inoculation of the yeast and mycelial phases of Candida albicans in rats fed on normal and carbohydrate rich diets. Arch. Oral Biol. 1973, 18, 409–412. [Google Scholar] [CrossRef]
- Gladiator, A.; Wangler, N.; Trautwein-Weidner, K.; LeibundGut-Landmann, S. Cutting edge: IL-17-secreting innate lymphoid cells are essential for host defense against fungal infection. J. Immunol. 2013, 190, 521–525. [Google Scholar] [CrossRef]
- Schönherr, F.A.; Sparber, F.; Kirchner, F.R.; Guiducci, E.; Trautwein-Weidner, K.; Gladiator, A.; Sertour, N.; Hetzel, U.; Le, G.T.T.; Pavelka, N.; et al. The intraspecies diversity of C. albicans triggers qualitatively and temporally distinct host responses that determine the balance between commensalism and pathogenicity. Mucosal Immunol. 2017, 10, 1335–1350. [Google Scholar] [CrossRef]
- Sharon, K.V.; Deepika Rajendran, R.; Pradeep, K. Prevalence of denture stomatitis among denture wearers in patients reported to a private dental hospital. Eur. J. Mol. Clin. Med. 2020, 7, 1237–1246. [Google Scholar]
- Bertolini, M.; Munoz, R.V.; Archambault, L.; Shah, S.; Souza, J.G.S.; Costa, R.C.; Thompson, A.; Zhou, Y.; Sobue, T.; Dongari-Bagtzoglou, A. Mucosal bacteria modulate Candida albicans virulence in oropharyngeal candidiasis. mBio 2021, 12, e0193721. [Google Scholar] [CrossRef]
- Jang, S.J.; Lee, K.; Kwon, B.; You, H.J.; Ko, G. Vaginal lactobacilli inhibit growth and hyphae formation of Candida albicans. Sci. Rep. 2019, 9, 8121. [Google Scholar] [CrossRef] [PubMed]
- Elahi, S.; Pang, G.; Ashman, R.; Clancy, R. Enhanced clearance of Candida albicans from the oral cavities of mice following oral administration of Lactobacillus acidophilus. Clin. Exp. Immunol. 2005, 141, 29–36. [Google Scholar] [CrossRef] [PubMed]
- Wagner, R.D.; Pierson, C.; Warner, T.; Dohnalek, M.; Hilty, M.; Balish, E. Probiotic effects of feeding heat-killed Lactobacillus acidophilus and Lactobacillus casei to Candida albicans-colonized immunodeficient mice. J. Food Prot. 2000, 63, 638–644. [Google Scholar] [CrossRef] [PubMed]
- Perić, M.; Živković, R.; Milić Lemić, A.; Radunović, M.; Miličić, B.; Arsić Arsenijević, V. The severity of denture stomatitis as related to risk factors and different Candida spp. Oral Surg. Oral Med. Oral Pathol. Oral Radiol. 2018, 126, 41–47. [Google Scholar] [CrossRef]
- Chai, L.Y.; Denning, D.W.; Warn, P. Candida tropicalis in human disease. Crit. Rev. Microbiol. 2010, 36, 282–298. [Google Scholar] [CrossRef]
- Pathirana, R.U.; McCall, A.D.; Norris, H.L.; Edgerton, M. Filamentous non-albicans Candida species adhere to Candida albicans and benefit from dual biofilm growth. Front. Microbiol. 2019, 10, 1188. [Google Scholar] [CrossRef]










Publisher’s Note: MDPI stays neutral with regard to jurisdictional claims in published maps and institutional affiliations. |
© 2022 by the authors. Licensee MDPI, Basel, Switzerland. This article is an open access article distributed under the terms and conditions of the Creative Commons Attribution (CC BY) license (https://creativecommons.org/licenses/by/4.0/).
Share and Cite
Sakima, V.T.; Vega-Chacón, Y.; Cerri, P.S.; Shokeen, B.; Lux, R.; Mima, E.G.d.O. A Denture Use Model Associated with Candida spp. in Immunocompetent Male and Female Rats. J. Fungi 2022, 8, 466. https://doi.org/10.3390/jof8050466
Sakima VT, Vega-Chacón Y, Cerri PS, Shokeen B, Lux R, Mima EGdO. A Denture Use Model Associated with Candida spp. in Immunocompetent Male and Female Rats. Journal of Fungi. 2022; 8(5):466. https://doi.org/10.3390/jof8050466
Chicago/Turabian StyleSakima, Vinicius Tatsuyuji, Yuliana Vega-Chacón, Paulo Sergio Cerri, Bhumika Shokeen, Renate Lux, and Ewerton Garcia de Oliveira Mima. 2022. "A Denture Use Model Associated with Candida spp. in Immunocompetent Male and Female Rats" Journal of Fungi 8, no. 5: 466. https://doi.org/10.3390/jof8050466
APA StyleSakima, V. T., Vega-Chacón, Y., Cerri, P. S., Shokeen, B., Lux, R., & Mima, E. G. d. O. (2022). A Denture Use Model Associated with Candida spp. in Immunocompetent Male and Female Rats. Journal of Fungi, 8(5), 466. https://doi.org/10.3390/jof8050466

