A Potential Role for Common Mycorrhizal Networks (CMNs) in Mediating Response Strategies and Signaling Between Different Plant Combinations Under Salt Stress
Abstract
1. Introduction
- (1)
- Phylogenetic relatedness enhances CMNs functionality—conspecific plant combinations exhibit greater CMNs stability, more efficient nitrogen transfer, and stronger stress signal synchronization than heterospecific combinations under salt stress;
- (2)
- Hormonal signaling pathways are combination-dependent—conspecific combinations predominantly rely on the JA-Pro pathway to coordinate osmotic adjustment and defense, whereas heterospecific combinations preferentially activate the ABA-SOD pathway to mitigate oxidative damage;
- (3)
- Signal–nutrient–physiology coupling determines salt adaptation—the divergence in hormonal signaling between conspecific and heterospecific combinations is functionally coupled with differences in nitrogen transfer efficiency and photosynthetic/antioxidant capacity, collectively shaping their distinct salt tolerance strategies.
2. Materials and Methods
2.1. Plants and Fungal Inocula
2.2. Experimental Device Design
2.3. Experimental Design, Biological Treatments, and Growth Conditions
2.4. Measurement of Physiological Indicators: SOD, POD, MDA, SS, Pro
2.4.1. Chlorophyll Content and Chlorophyll Fluorescence
2.4.2. Antioxidant Enzyme Activities, MDA, and Osmolytes
2.4.3. Plant Hormones
2.5. Biomass and Nitrogen Analysis
2.5.1. Biomass
2.5.2. 15N Labeling and Nitrogen Content
2.6. Determination of Mycorrhizal Colonization Rate
2.7. Plant Root Analysis
2.8. Analysis of Data
3. Results
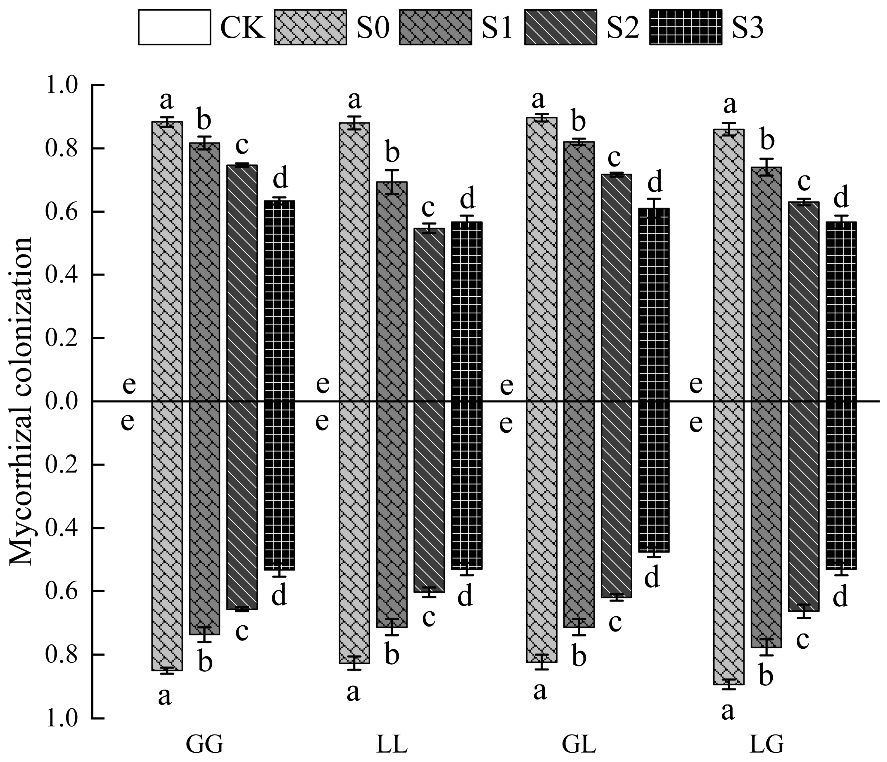
3.1. The Impact of Salt Stress on Mycorrhizal Colonization Rate
3.2. The Impact of Salt Stress on Plant Biomass
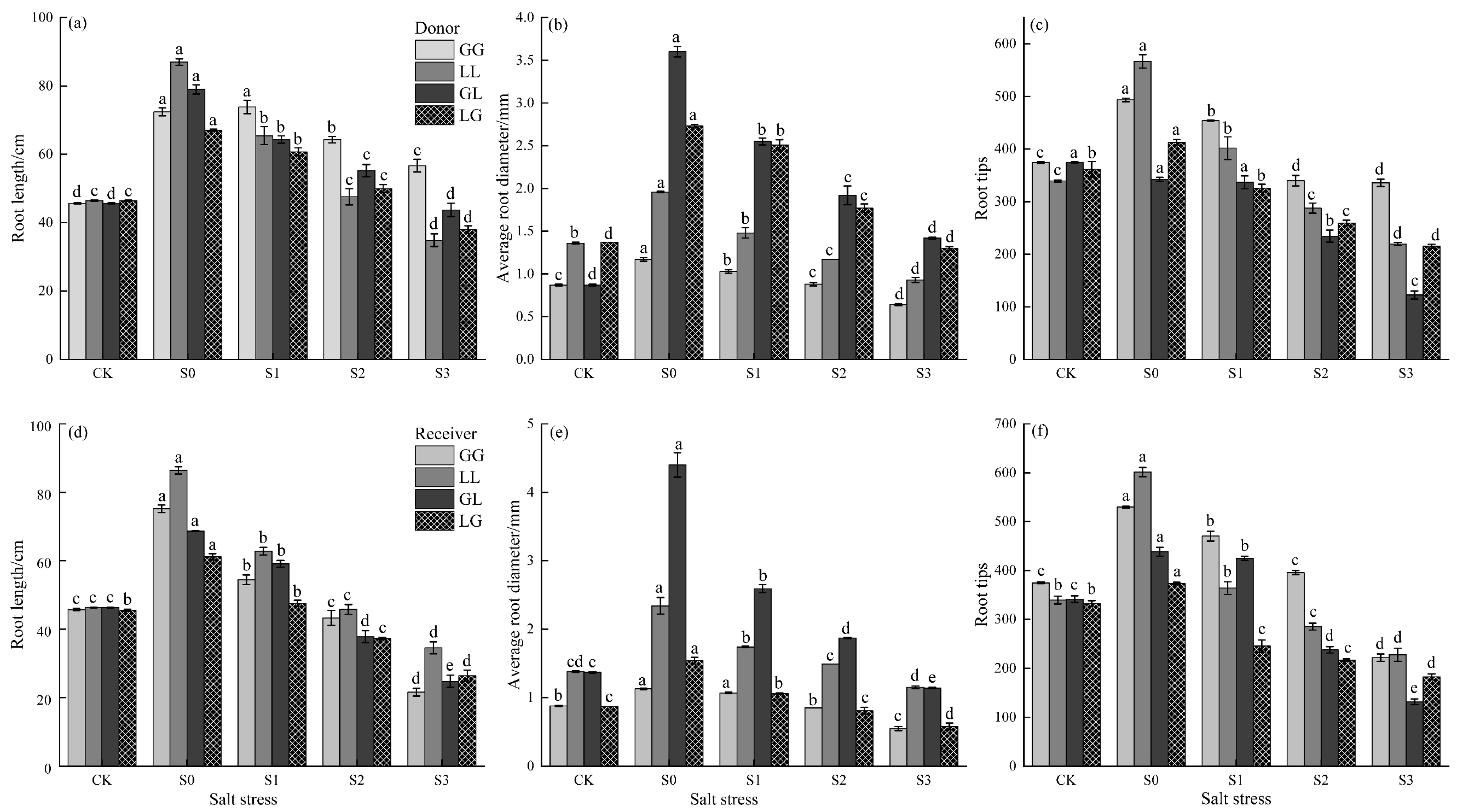
3.3. The Effects of Salt Stress on Plant Root Growth
3.4. Salt Stress Effects on Photosynthesis, Antioxidant Activity, and Osmotic Regulation in Different Plant Combinations
3.5. Effects on Plant Hormones Under Salt Stress
3.6. Effects of Salt Stress on 15N Transfer
3.7. The Effect of Salt Stress on Nitrogen Content in Plants
3.8. PCA of Physiological and Ecological Indicators Under Different Treatments
4. Discussion
4.1. CMNs Stability and Phylogenetic Selection
4.2. Functional Group Differences in Physiological Defense Strategies
4.3. Nitrogen Sharing and Implications for Community Assembly
4.4. PCA Reveals Differential Responses in Plant Physiological and Ecological Indicators Across Different Treatment Groups
4.5. Limitations and Future Perspectives
5. Conclusions
Supplementary Materials
Author Contributions
Funding
Institutional Review Board Statement
Informed Consent Statement
Data Availability Statement
Conflicts of Interest
Abbreviations
| AMF | Arbuscular Mycorrhizal Fungi |
| CMNs | Common Mycorrhizal Networks |
| G-G | Glycyrrhiza inflata-Glycyrrhiza inflata |
| G-L | Glycyrrhiza inflata-Lycium ruthenicum |
| L-L | Lycium ruthenicum-Lycium ruthenicum |
| L-G | Lycium ruthenicum-Glycyrrhiza inflata |
| ABA | Abscisic acid |
| JA | Jasmonic acid |
| SA | Salicylic acid |
| POD | Peroxidase |
| SOD | Superoxide dismutase |
| MDA | Malondialdehyde |
| LB | Leaf biomass |
| SB | Shoot biomass |
| RT | Root tips |
| TB | Total biomass |
| RB | Root biomass |
| NPQ | Non-photochemical quenching |
References
- de Oliveira Paula-Marinho, S.; de Souza Miranda, R.; dos Santos Araújo, G.; Pereira, I.M.C.; Mesquita, R.O.; de Paiva Pinheiro, S.K.; de Castro Miguel, E.; de Sousa Lopes, L.; de Carvalho, H.H.; Gomes-Filho, E. Insights into metabolic profile and redox adjustment during ammonium-induced salt acclimation in sorghum plants. Plant Physiol. Biochem. 2025, 229, 110502. [Google Scholar] [CrossRef] [PubMed]
- Muhammad, M.; Waheed, A.; Wahab, A.; Majeed, M.; Nazim, M.; Liu, Y.-H.; Li, L.; Li, W.-J. Soil salinity and drought tolerance: An evaluation of plant growth, productivity, microbial diversity, and amelioration strategies. Plant Stress 2024, 11, 100319. [Google Scholar] [CrossRef]
- Mukhopadhyay, R.; Sarkar, B.; Jat, H.S.; Sharma, P.C.; Bolan, S.N. Soil salinity under climate change: Challenges for sustainable agriculture and food security. J. Environ. Manag. 2021, 280, 111736. [Google Scholar] [CrossRef] [PubMed]
- Narjary, B.; Kumar, S.; Meena, M.D.; Kamra, K.S.; Sharma, D.K. Effects of shallow saline groundwater table depth and evaporative flux on soil salinity dynamics using Hydrus-1D. Agric. Res. 2021, 10, 105–115. [Google Scholar] [CrossRef]
- Xu, H.; Chen, C.; Chen, W.; Pang, Z.; Zhang, G.; Zhang, W.; Kan, H. Metagenomics reveals soil nitrogen cycling after vegetation restoration: Influence of different vegetation restoration strategies. Appl. Soil Ecol. 2024, 204, 105695. [Google Scholar] [CrossRef]
- Donovan, T.C.; Comas, L.H.; Schneekloth, J.; Schipanski, M. Nitrogen and water availability affect soil nitrogen mineralization and maize nitrogen uptake dynamics. Nutr. Cycl. Agroecosyst. 2025, 130, 387–405. [Google Scholar] [CrossRef]
- Govindasamy, P.; Muthusamy, S.; Bagavathiannan, M.; Mowrer, J.; Jagannadham, K.; Maity, A.; Halli, M.; Sujayananad, G.; Vadivel, R.; Das, T.; et al. Nitrogen use efficiency—A key to enhance crop productivity under a changing climate. Front. Plant Sci. 2023, 14, 1121073. [Google Scholar] [CrossRef]
- Pang, F.; Li, Q.; Solanki, M.K.; Wang, Z.; Xing, Y.; Dong, D. Soil phosphorus transformation and plant uptake driven by phosphate-solubilizing microorganisms. Front. Microbiol. 2024, 15, 1383813. [Google Scholar] [CrossRef]
- Zhang, Z.; Zhu, L.; Li, D.; Wang, N.; Sun, H.; Zhang, Y.; Zhang, K.; Li, A.; Bai, Z.; Li, C.; et al. In situ root phenotypes of cotton seedlings under phosphorus stress revealed through RhizoPot. Front. Plant Sci. 2021, 12, 716691. [Google Scholar] [CrossRef]
- Xing, Y.; Wang, F.; Yu, S.; Zhu, Y.; Ying, Y.; Shi, W. Enhancing Phyllostachys edulis seedling growth in phosphorus-deficient soil: Complementing the role of phosphate-solubilizing microorganisms with arbuscular mycorrhizal fungi. Plant Soil 2024, 497, 449–466. [Google Scholar] [CrossRef]
- Feng, Y.; Chen, Z.; Wang, J.; Yang, W.; Tan, F. Change in abuscular mycorrhizal fungi colonization rate and nutrient content in Bt corn. Chin. J. Eco-Agric. 2010, 18, 486–491. [Google Scholar] [CrossRef]
- Gholinezhad, E.; Darvishzadeh, R. Influence of arbuscular mycorrhiza fungi and drought stress on fatty acids profile of sesame (Sesamum indicum L.). Field Crops Res. 2021, 262, 108035. [Google Scholar] [CrossRef]
- Li, J.; Xiao, H.; Shen, Z.F.; Bai, J. Vegetation changes during the 2013–2018 period and its response to ecological water transport in the lower reaches of the Tarim River. Arid. Zone Res. 2020, 37, 985–992. [Google Scholar] [CrossRef]
- Cao, Y.; Wu, X.; Anastasiia, Z.; Tang, Z.H.; Weng, Y.; Li, Z.; Yang, Y. Arbuscular mycorrhizal fungi (AMF) species and abundance exhibit different effects on saline-alkaline tolerance in Leymus chinensis. Plant Interact. 2020, 15, 266–279. [Google Scholar] [CrossRef]
- Chebaane, A.; Symanczik, S.; Oehl, F.; Azri, R.; Gargouri, M.; Mäder, P.; Mliki, A.; Fki, L. Arbuscular mycorrhizal fungi associated with Phoenix dactylifera L. grown in Tunisian Sahara oases of different salinity levels. Symbiosis 2020, 81, 173–186. [Google Scholar] [CrossRef]
- Huang, G.; Zou, Y.; Wu, Q.; Xu, Y.; Kamil, K. Mycorrhizal roles in plant growth, gas exchange, root morphology, and nutrient uptake of walnuts. Plant Soil Environ. 2020, 66, 295–302. [Google Scholar]
- Orlovskis, Z.; Voroņins, Ē.; Kotova, A.; Pugačevskis, D.; Blūms, T.; Nakurte, I.; Silamiķelis, I.; Lee, S. Common mycelial network modulates neighbour-primed plant defences against foliar pathogens by co-opting distinct inter-plant metabolic and biotic stress responses. bioRxiv 2024. [Google Scholar] [CrossRef]
- Babikova, Z.; Johnson, D.; Bruce, T.; Pickett, J.; Gilbert, L. Underground allies: How and why do Mycorrhizal networks help plants defend themselves? What are the fitness, regulatory, and practical implications of defence-related signaling between plants via common Mycorrhizal networks? BioEssays 2014, 36, 21–26. [Google Scholar] [CrossRef] [PubMed]
- Babikova, Z.; Gilbert, L.; Bruce, T.; Birkett, M.; Caulfield, C.; Woodcock, C.; Pickett, A.; Johnson, D. Underground signals carried through common Mycorrhizal networks warn neighbouring plants of aphid attack. Ecol. Lett. 2013, 16, 835–843. [Google Scholar] [CrossRef]
- Weremijewicz, J.; Sternberg, L.; Janos, D. Common mycorrhizal networks amplify competition by preferential mineral nutrient allocation to large host plants. New Phytol. 2016, 212, 461–471. [Google Scholar] [CrossRef]
- Montesinos-Navarro, A.; Verdú, M.; Querejeta, J.; Sortibrán, L.; Valiente-Banuet, A. Soil fungi promote nitrogen transfer among plants involved in long-lasting facilitative interactions. Perspect. Plant Ecol. Evol. Syst. 2016, 18, 45–51. [Google Scholar] [CrossRef]
- Muneer, M.; Wang, P.; Zhang, J.; Li, Y.; Munir, Z.; Ji, B. Formation of common mycorrhizal networks significantly affects plant biomass and soil properties of the neighboring plants under various nitrogen levels. Microorganisms 2020, 8, 230. [Google Scholar] [CrossRef] [PubMed]
- Feng, Y.; Li, Z.; Kong, X.; Khan, A.; Ullah, N.; Zhang, X. Plant Coping with Cold Stress: Molecular and Physiological Adaptive Mechanisms with Future Perspectives. Cells 2025, 14, 110. [Google Scholar] [CrossRef] [PubMed]
- Yang, Y.; Chen, Y.; Cai, B.; Jie, W.; Lv, D. The arbuscular mycorrhizal symbiotic status of Populus euphratica, a drought resistant tree species from arid lands. Ecohydrology 2013, 6, 1001–1008. [Google Scholar] [CrossRef]
- Ullah, A.; Gao, D.; Wu, F. Common mycorrhizal network: The predominant socialist and capitalist responses of possible plant–plant and plant–microbe interactions for sustainable agriculture. Front. Microbiol. 2024, 15, 1183024. [Google Scholar] [CrossRef] [PubMed]
- Lambers, H.; Raven, J.A.; Shaver, G.; Smith, E. Plant nutrient-acquisition strategies change with soil age. Trends Ecol. Evol. 2008, 23, 95–103. [Google Scholar] [CrossRef]
- Lu, J.; Lü, X.; Liang, Y.; Lin, H. Salt tolerance of Glycyrrhiza inflata seedlings in Xinjiang and its ion response to salt stress. Chinese J. Plant Ecol. 2013, 37, 839–850. [Google Scholar] [CrossRef]
- Guo, Y.; Nie, H.; Yu, H.; Kong, D.; Wu, Y. Effect of salt stress on the growth and photosystem II photochemical characteristics of Lycium ruthenicum Murr. seedlings. Photosynthetica 2019, 57, 564–571. [Google Scholar] [CrossRef]
- Phillips, J.; Hayman, D. Improved procedures for clearing roots and staining parasitic and vesicular-arbuscular mycorrhizal fungi for rapid assessment of infection. Trans. Br. Mycol. Soc. 1970, 55, 158–161. [Google Scholar] [CrossRef]
- Gorzelak, M.; Asay, A.; Pickles, B.; Simard, W. Inter-plant communication through mycorrhizal networks mediates complex adaptive behaviour in plant communities. AoB plants 2015, 7, plv050. [Google Scholar] [CrossRef]
- Ruiz-Lozano, J.; Aroca, R.; Zamarreño, Á.; Molina, S.; Andreo-Jiménez, B.; Porcel, R.; García-Mina, M.; Ruyter-Spira, C.; López-Ráez, A. Arbuscular mycorrhizal symbiosis induces strigolactone biosynthesis under drought and improves drought tolerance in lettuce and tomato. Plant Cell Environ. 2016, 39, 441–452. [Google Scholar] [CrossRef] [PubMed]
- Pollastri, S.; Savvides, A.; Pesando, M.; Lumini, E.; Volpe, G.; Ozudogru, A.; Faccio, A.; Cunzo, D.; Michelozzi, M.; Lambardi, M.; et al. Impact of two arbuscular mycorrhizal fungi on Arundo donax L. response to salt stress. Planta 2018, 247, 573–585. [Google Scholar] [CrossRef]
- Das, D.; Tripathi, S.; Mutyala, P.; Srivastava, A.; Bücking, H. Development and Resource Exchange Processes in Root Symbioses of Legumes. In Symbiosis in Nature; IntechOpen: London, UK, 2023. [Google Scholar] [CrossRef]
- Gupta, A.; Singh, A.; Tiwari, R.; Sahu, K.; Yadav, J.; Srivastava, K.; Kumar, S. Salinity alleviation and reduction in oxidative stress by endophytic and rhizospheric microbes in two rice cultivars. Plants 2023, 12, 976. [Google Scholar] [CrossRef] [PubMed]
- Juniper, S.; Abbott, L.K. Soil salinity delays germination and limits growth of hyphae from propagules of arbuscular mycorrhizal fungi. Mycorrhiza 2006, 16, 371–379. [Google Scholar] [CrossRef] [PubMed]
- Kumar, N.; Haldar, S.; Saikia, R. Root exudation as a strategy for plants to deal with salt stress: An updated review. Environ. Exp. Bot. 2023, 216, 105518. [Google Scholar] [CrossRef]
- Evelin, H.; Kapoor, R.; Giri, B. Arbuscular mycorrhizal fungi in alleviation of salt stress: A review. Ann. Bot. 2009, 104, 1263–1280. [Google Scholar] [CrossRef]
- Porcel, R.; Aroca, R.; Azcon, R.; Ruiz-Lozano, M. Regulation of cation transporter genes by the arbuscular mycorrhizal symbiosis in rice plants subjected to salinity suggests improved salt tolerance due to reduced Na+ root-to-shoot distribution. Mycorrhiza 2016, 26, 673–684. [Google Scholar] [CrossRef]
- Zhang, H.; Liu, Z.; Chen, H.; Tang, M. Symbiosis of arbuscular mycorrhizal fungi and Robinia pseudoacacia L. improves root tensile strength and soil aggregate stability. PLoS ONE 2016, 11, e0153378. [Google Scholar] [CrossRef]
- Unger, S.; Friede, M.; Hundacker, J.; Volkmar, K.; Beyschlag, W. Allocation trade-off between root and mycorrhizal surface defines nitrogen and phosphorus relations in 13 grassland species. Plant Soil 2016, 407, 279–292. [Google Scholar] [CrossRef]
- Xie, W.; Hao, Z.; Zhang, X.; Chen, B. Research progress and prospect of signal transfer among plants mediated by arbuscular mycorrhizal networks. Chin. J. Plant Ecol. 2022, 46, 493. [Google Scholar] [CrossRef]
- Chen, L.; Zheng, Y.; Gao, C.; Mi, X.; Ma, K.; Wubet, T.; Guo, L. Phylogenetic relatedness explains highly interconnected and nested symbiotic networks of woody plants and arbuscular mycorrhizal fungi in a Chinese subtropical forest. Mol. Ecol. 2017, 26, 2563–2575. [Google Scholar] [CrossRef]
- Barajas González, J.; Carrillo-González, R.; Corona Sánchez, J.; Yersain Rosa, E.; González-Chávez, M. Ecophysiological traits and root fungal associations of six halophytes under two field saline soil conditions. Biologia 2025, 80, 3203–3218. [Google Scholar] [CrossRef]
- Murchie, E.; Lawson, T. Chlorophyll fluorescence analysis: A guide to good practice and understanding some new applications. J. Exp. Bot. 2013, 64, 3983–3998. [Google Scholar] [CrossRef]
- Zhang, D.J.; Tong, C.; Wang, Q.; Wang, Q.; Bie, S. Mycorrhizas affect physiological performance, antioxidant system, photosynthesis, endogenous hormones, and water content in cotton under salt stress. Plants 2024, 13, 805. [Google Scholar] [CrossRef]
- He, W.; Yan, K.; Zhang, Y.; Bian, L.; Mei, H.; Han, G. Contrasting photosynthesis, photoinhibition and oxidative damage in honeysuckle (Lonicera japonica Thunb.) under iso-osmotic salt and drought stresses. Environ. Exp. Bot. 2021, 182, 104313. [Google Scholar] [CrossRef]
- Balasubramaniam, T.; Shen, G.; Esmaeili, N.; Zhang, H. Plants’ response mechanisms to salinity stress. Plants 2023, 12, 2253. [Google Scholar] [CrossRef]
- Guo, S.; Ma, X.; Cai, W.; Wang, Y.; Gao, X.; Fu, B.; Li, S. Exogenous proline improves salt tolerance of alfalfa through modulation of antioxidant capacity, ion homeostasis, and proline metabolism. Plants 2022, 11, 2994. [Google Scholar] [CrossRef] [PubMed]
- Zong, J.; Zhang, Z.; Huang, P.; Yang, Y. Arbuscular mycorrhizal fungi alleviates salt stress in Xanthoceras sorbifolium through improved osmotic tolerance, antioxidant activity, and photosynthesis. Front. Microbiol. 2023, 14, 1138771. [Google Scholar] [CrossRef] [PubMed]
- Chen, X.; Aili, Y.; Ma, X.; Wang, H.; Dawuti, M. Mycorrhizal fungal colonization promotes apparent growth and physiology of Alhagi sparsifolia seedlings under salt or drought stress at vulnerable developmental stage. Plant Growth Regul. 2024, 102, 267–278. [Google Scholar] [CrossRef]
- Liang, S.M.; Zhang, F.; Zou, Y.N.; Kuča, K.; Wu, Q.-S. Metabolomics analysis reveals drought responses of trifoliate orange by arbuscular mycorrhizal fungi with a focus on terpenoid profile. Front. Plant Sci. 2021, 12, 740524. [Google Scholar] [CrossRef]
- Ma, S.; Zhu, L.; Wang, J.; Liu, X.; Jia, Z.; Li, C.; Liu, J.; Zeng, J.; Zhang, J. Arbuscular mycorrhizal fungi promote Gleditsia sinensis Lam. root growth under salt stress by regulating nutrient uptake and physiology. Forests 2022, 13, 688. [Google Scholar] [CrossRef]
- Lu, W.; Wei, G.; Zhou, B.; Liu, J.; Zhang, S.; Guo, J. A comparative analysis of photosynthetic function and reactive oxygen species metabolism responses in two hibiscus cultivars under saline conditions. Plant Physiol. Biochem. 2022, 184, 87–97. [Google Scholar] [CrossRef] [PubMed]
- Wang, Y.; Wang, J.; Yan, X.; Sun, S.; Lin, J. The effect of arbuscular mycorrhizal fungi on photosystem II of the host plant under salt stress: A meta-analysis. Agronomy 2019, 9, 806. [Google Scholar] [CrossRef]
- Calzadilla, P.; Signorelli, S.; Escaray, F.; Menénde, A.; Monza, J.; Ruiz, O.; Maiale, S. Photosynthetic responses mediate the adaptation of two Lotus japonicus ecotypes to low temperature. Plant Sci. 2016, 250, 59–68. [Google Scholar] [CrossRef] [PubMed]
- Wang, Z.; Zhang, W.; Huang, W.; Biao, A.; Lin, S.; Wang, Y.; Yan, S.; Zeng, S. Salt stress affects the fruit quality of Lycium ruthenicum Murr. Ind. Crops Prod. 2023, 193, 116240. [Google Scholar] [CrossRef]
- Zhang, R.; Tielbörger, K. Facilitation from an intraspecific perspective–stress tolerance determines facilitative effect and response in plants. New Phytol. 2019, 221, 2203–2212. [Google Scholar] [CrossRef]
- Alguacil, M.; Díaz, G.; Torres, P.; Rodríguez-Caballero, G.; Roldán, A. Host identity and functional traits determine the community composition of the arbuscular mycorrhizal fungi in facultative epiphytic plant species. Fungal Ecol. 2019, 39, 307–315. [Google Scholar] [CrossRef]
- Fang, S.; Hou, X.; Liang, X. Response mechanisms of plants under saline-alkali stress. Front. Plant Sci. 2021, 12, 667458. [Google Scholar] [CrossRef] [PubMed]
- Xia, M.; Suseela, V.; McCormack, M.; Kennedy, G.; Tharayil, N. Common and lifestyle-specific traits of mycorrhizal root metabolome reflect ecological strategies of plant–mycorrhizal interactions. J. Ecol. 2023, 111, 601–616. [Google Scholar] [CrossRef]
- Sabagh, E.; Islam, M.; Hossain, A.; Iqbal, A.; Mubeen, M.; Waleed, M.; Reginato, M.; Battaglia, M.; Ahmed, S.; Rehman, A.; et al. Phytohormones as growth regulators during abiotic stress tolerance in plants. Front. Agron. 2022, 4, 765068. [Google Scholar] [CrossRef]
- Gutjahr, C.; Paszkowski, U. Weights in the balance: Jasmonic acid and salicylic acid signaling in root-biotroph interactions. Mol. Plant-Microbe Interact. 2009, 22, 763–772. [Google Scholar] [CrossRef] [PubMed]
- Charpentier, M.; Sun, J.; Wen, J.; Mysore, S.; Oldroyd, D. Abscisic acid promotion of arbuscular mycorrhizal colonization requires a component of the PROTEIN PHOSPHATASE 2A complex. Plant Physiol. 2014, 166, 2077–2090. [Google Scholar] [CrossRef] [PubMed]
- Costarelli, A.; Bianchet, C.; Ederli, L.; Salerno, G.; Piersanti, S.; Rebora, M.; Pasqualini, S. Salicylic acid induced by herbivore feeding antagonizes jasmonic acid mediated plant defenses against insect attack. Plant Signal. Behav. 2020, 15, 1704517. [Google Scholar] [CrossRef]
- Cheng, X.F.; Wu, H.H.; Zou, Y.N.; Wu, Q.S.; Kuča, K. Mycorrhizal response strategies of trifoliate orange under well-watered, salt stress, and waterlogging stress by regulating leaf aquaporin expression. Plant Physiol. Biochem. 2021, 162, 27–35. [Google Scholar] [CrossRef] [PubMed]
- Ito, K.; Ohsaki, H.; Novoplansky, A.; Hirota, S.; Yamawo, A. Integrated above-and below-ground interplant cueing of salt stress. Plant Signal. Behav. 2025, 20, 2542560. [Google Scholar] [CrossRef]
- Karban, R.; Shiojiri, K.; Ishizaki, S.; Wetzel, C.; Evans, Y. Kin recognition affects plant communication and defence. Proc. R. Soc. B Biol. Sci. 2013, 280, 20123062. [Google Scholar] [CrossRef]
- Pickles, B.; Wilhelm, R.; Asay, A.; Hahn, S.; Simard, W.; Mohn, W. Transfer of 13C between paired Douglas-fir seedlings reveals plant kinship effects and uptake of exudates by ectomycorrhizas. New Phytol. 2017, 214, 400–411. [Google Scholar] [CrossRef]
- Ashraf, M.; Shahzad, S.M.; Imtiaz, M.; Rizwan, S. Salinity effects on nitrogen metabolism in plants–focusing on the activities of nitrogen metabolizing enzymes: A review. J. Plant Nutr. 2018, 41, 1065–1081. [Google Scholar] [CrossRef]
- Miranda, S.; Gomes-Filho, E.; Prisco, J.; Alvarez-Pizarro, C. Ammonium improves tolerance to salinity stress in Sorghum bicolor plants. Plant Growth Regul. 2016, 78, 121–131. [Google Scholar] [CrossRef]
- Chen, X.; Li, Q.; Wang, L.; Meng, Y.; Jiao, S.; Yin, J.; Xu, H.; Zhang, F. Nitrogen uptake, not transfer of carbon and nitrogen by CMN, explains the effect of AMF on the competitive interactions between Flaveria bidentis and native species. Front. Ecol. Evol. 2021, 9, 625519. [Google Scholar] [CrossRef]
- He, Y.; Cornelissen, J.; Wang, P.; Dong, M.; Ou, J. Nitrogen transfer from one plant to another depends on plant biomass production between conspecific and heterospecific species via a common arbuscular mycorrhizal network. Environ. Sci. Pollut. Res. 2019, 26, 8828–8837. [Google Scholar] [CrossRef]
- Weremijewicz, J.; Sternberg, O.; Janos, D. Arbuscular common mycorrhizal networks mediate intra- and interspecific interactions of two prairie grasses. Mycorrhiza 2018, 28, 71–83. [Google Scholar] [CrossRef]
- Zhang, X.; Jin, X.; Li, J.; Dini-Andreote, F.; Li, H.; Rahman, K.; Du, M.; Wu, F.; Wei, Z.; Zhou, X.; et al. Common mycorrhizal networks facilitate plant disease resistance by altering rhizosphere microbiome assembly. Cell Host Microbe 2025, 33, 1765–1778.e7. [Google Scholar] [CrossRef]
- Fellbaum, C.; Mensah, J.; Cloos, A.; Strahan, E.; Pfeffer, E.; Kiers, T.; Bücking, H. Fungal nutrient allocation in common mycorrhizal networks is regulated by the carbon source strength of individual host plants. New Phytol. 2014, 203, 646–656. [Google Scholar] [CrossRef]
- Liu, P.; Li, X.; Zhao, L.; Zhou, J.; Wang, Y.; Li, Z.; Dong, C.; Liu, H.; Gao, R. Integrated transcriptome and metabolome analysis of salinity tolerance in chrysanthemum polyploids. Ind. Crops Prod. 2025, 236, 121951. [Google Scholar] [CrossRef]
- Koziol, L.; Bever, J.D. The missing link in grassland restoration: Arbuscular mycorrhizal fungi inoculation increases plant diversity and accelerates succession. J. Appl. Ecol. 2017, 54, 1301–1309. [Google Scholar] [CrossRef]
- Koziol, L.; Schultz, P.; House, G.; Bauer, J.; Middleton, E.; Bever, J. The plant microbiome and native plant restoration: The example of native mycorrhizal fungi. BioScience 2018, 68, 996–1006. [Google Scholar] [CrossRef]
- Guigard, L.; Jobert, L.; Busset, N.; Moulin, L.; Czernic, P. Symbiotic compatibility between rice cultivars and arbuscular mycorrhizal fungi genotypes affects rice growth and mycorrhiza-induced resistance. Front. Plant Sci. 2023, 14, 1278990. [Google Scholar] [CrossRef] [PubMed]
- Gu, L.; Li, S.; Zhou, L.; Yuan, F.; Zhang, T.; Wang, Y.; Liu, T.; Li, M.; Zhang, Z.; Guo, X. Ecophysiological and transcriptional landscapes of arbuscular mycorrhiza fungi enhancing yield, quality, and stalk rot resistance in Anoectochilus roxburghii. Plant Physiol. Biochem. 2025, 223, 109885. [Google Scholar] [CrossRef]








| Combination | Treatment | AMF | Salt Stress |
|---|---|---|---|
| G-G | CK | - | - |
| S0 | + | - | |
| S1 | + | 150 mmol·L−1 | |
| S2 | + | 250 mmol·L−1 | |
| S3 | + | 350 mmol·L−1 | |
| L-L | CK | - | - |
| S0 | + | - | |
| S1 | + | 150 mmol·L−1 | |
| S2 | + | 250 mmol·L−1 | |
| S3 | + | 350 mmol·L−1 | |
| L-G | CK | - | - |
| S0 | + | - | |
| S1 | + | 150 mmol·L−1 | |
| S2 | + | 250 mmol·L−1 | |
| S3 | + | 350 mmol·L−1 | |
| G-L | CK | - | - |
| S0 | + | - | |
| S1 | + | 150 mmol·L−1 | |
| S2 | + | 250 mmol·L−1 | |
| S3 | + | 350 mmol·L−1 |
| Indicators | Salt Stress | Combination | Salt Stress × Combination |
|---|---|---|---|
| Mycorrhizal colonization rate | 1727.786 *** | 13.709 ns | 2.165 * |
| Leaf biomass | 312.247 *** | 20.602 ns | 6.364 *** |
| Shoot biomass | 44.700 *** | 110.766 ns | 1.649 ns |
| Root biomass | 39.548 *** | 24.283 ns | 1.743 ns |
| Total biomass | 249.477 *** | 14.596 ns | 4.445 *** |
| Root length | 102.047 *** | 6.962 ns | 1.993 * |
| Average root diameter | 73.000 *** | 78.036 ns | 11.102 *** |
| Root tips | 256.446 *** | 86.504 ns | 14.453 *** |
| SPAD | 25.916 *** | 22.605 ns | 3.206 *** |
| NPQ | 55.574 *** | 29.262 ns | 8.252 *** |
| FV/FM | 153.282 *** | 174.341 ns | 7.780 *** |
| SOD | 227.281 *** | 16.079 ns | 6.085 *** |
| POD | 947.143 *** | 35.626 ns | 5.047 *** |
| MDA | 551.704 *** | 3.072 ns | 2.804 ** |
| SS | 198.933 *** | 7.384 ns | 10.766 *** |
| Pro | 3334.342 *** | 15.588 ns | 5.304 *** |
| ABA | 1079.789 *** | 63.298 ns | 14.675 *** |
| SA | 104.473 *** | 36.728 ns | 28.111 *** |
| JA | 180.562 *** | 78.292 ns | 39.050 *** |
| N content | 16.081 *** | 25.959 ns | 5.211 *** |
| P-P | Salt Stress | Donor (mg/g) | Receiver (mg/g) |
|---|---|---|---|
| L-L | CK | 3.67 ± 0.10 c | 3.49 ± 0.19 bc |
| S0 | 4.28 ± 0.10 ab | 4.32 ± 0.19 a | |
| S1 | 4.49 ± 0.28 a | 3.80 ± 0.21 abc | |
| S2 | 4.44 ± 0.24 a | 4.0 ± 0.13 ab | |
| S3 | 3.75 ± 0.11 bc | 3.20 ± 0.28 c | |
| G-G | CK | 3.55 ± 0.20 b | 3.46 ± 0.13 bc |
| S0 | 4.33 ± 0.26 a | 4.31 ± 0.29 a | |
| S1 | 3.92 ± 0.10 ab | 3.94 ± 0.21 ab | |
| S2 | 3.70 ± 0.22 ab | 3.51 ± 0.09 bc | |
| S3 | 3.42 ± 0.11 b | 3.21 ± 0.13 c | |
| L-G | CK | 3.67 ± 0.10 a | 3.46 ± 0.13 ab |
| S0 | 3.22 ± 0.12 b | 3.86 ± 0.25 a | |
| S1 | 3.74 ± 0.09 a | 3.21 ± 0.16 b | |
| S2 | 3.66 ± 0.07 a | 2.96 ± 0.12 b | |
| S3 | 3.41 ± 0.14 ab | 3.13 ± 0.05 b | |
| G-L | CK | 3.55 ± 0.20 ab | 3.49 ± 0.19 a |
| S0 | 3.35 ± 0.10 b | 3.36 ± 0.11 ab | |
| S1 | 4.00 ± 0.22 a | 3.57 ± 0.22 a | |
| S2 | 3.27 ± 0.23 b | 3.08 ± 0.11 b | |
| S3 | 3.39 ± 0.05 b | 3.32 ± 0.00 ab |
| Combination | Salt Stress | ABA D-R | SA D-R | JA D-R |
|---|---|---|---|---|
| LL | CK | 0.02 ns | 0.45 ns | −4.18 * |
| S0 | −0.47 ns | −0.78 ns | 0.21 ns | |
| S1 | 1.41 * | 0.09 ns | 3.46 ** | |
| S2 | 0.85 * | −0.87 ns | 1.36 * | |
| S3 | 0.82 * | −1.44 ns | 1.41 ** | |
| LG | CK | −0.87 ns | 2.15 ns | 1.21 ns |
| S0 | −0.72 ns | −1.00 * | −1.43 ** | |
| S1 | −0.88 ** | −0.05 ns | −1.58 ** | |
| S2 | −0.13 ns | −1.13 ** | −6.20 *** | |
| S3 | 0.23 ns | −0.09 ns | −2.94 ** | |
| GL | CK | 1.34 ** | 0.67 ns | −0.74 ns |
| S0 | −0.47 ** | −5.03 *** | −1.66 *** | |
| S1 | −0.85 * | −3.11 *** | 0.47 ns | |
| S2 | 3.13 ** | −2.97 *** | 0.01 ns | |
| S3 | −0.80 ns | −3.76 * | 3.96 ** | |
| GG | CK | 0.29 ns | −0.42 ns | −5.24 * |
| S0 | 0.15 ns | 0.07 ns | 2.68 ** | |
| S1 | 0.92 ** | −0.08 ns | 1.48 ** | |
| S2 | 1.33 *** | −0.12 ns | 1.60 ** | |
| S3 | 1.83 * | 0.37 ns | −0.49 * |
Disclaimer/Publisher’s Note: The statements, opinions and data contained in all publications are solely those of the individual author(s) and contributor(s) and not of MDPI and/or the editor(s). MDPI and/or the editor(s) disclaim responsibility for any injury to people or property resulting from any ideas, methods, instructions or products referred to in the content. |
© 2026 by the authors. Licensee MDPI, Basel, Switzerland. This article is an open access article distributed under the terms and conditions of the Creative Commons Attribution (CC BY) license.
Share and Cite
Zheng, J.; Liu, Q.; Yang, X.; Xie, Y.; Gao, Z.; Ma, X. A Potential Role for Common Mycorrhizal Networks (CMNs) in Mediating Response Strategies and Signaling Between Different Plant Combinations Under Salt Stress. J. Fungi 2026, 12, 242. https://doi.org/10.3390/jof12040242
Zheng J, Liu Q, Yang X, Xie Y, Gao Z, Ma X. A Potential Role for Common Mycorrhizal Networks (CMNs) in Mediating Response Strategies and Signaling Between Different Plant Combinations Under Salt Stress. Journal of Fungi. 2026; 12(4):242. https://doi.org/10.3390/jof12040242
Chicago/Turabian StyleZheng, Jingwen, Qingyun Liu, Xueying Yang, Yongxue Xie, Zetong Gao, and Xiaodong Ma. 2026. "A Potential Role for Common Mycorrhizal Networks (CMNs) in Mediating Response Strategies and Signaling Between Different Plant Combinations Under Salt Stress" Journal of Fungi 12, no. 4: 242. https://doi.org/10.3390/jof12040242
APA StyleZheng, J., Liu, Q., Yang, X., Xie, Y., Gao, Z., & Ma, X. (2026). A Potential Role for Common Mycorrhizal Networks (CMNs) in Mediating Response Strategies and Signaling Between Different Plant Combinations Under Salt Stress. Journal of Fungi, 12(4), 242. https://doi.org/10.3390/jof12040242

