Effects of Powdered and Granular AMF on Maize Growth Under Low Fertilizer Conditions
Abstract
1. Introduction
2. Materials and Methods
2.1. Experimental Site and Design
2.2. Analytical Methods
2.2.1. Soil Physicochemical Properties Analysis
2.2.2. Maize Yield Analysis
2.2.3. Mycorrhizal Colonization Analysis
2.2.4. Microbial Community Analysis
2.2.5. Statistical Analysis
3. Results
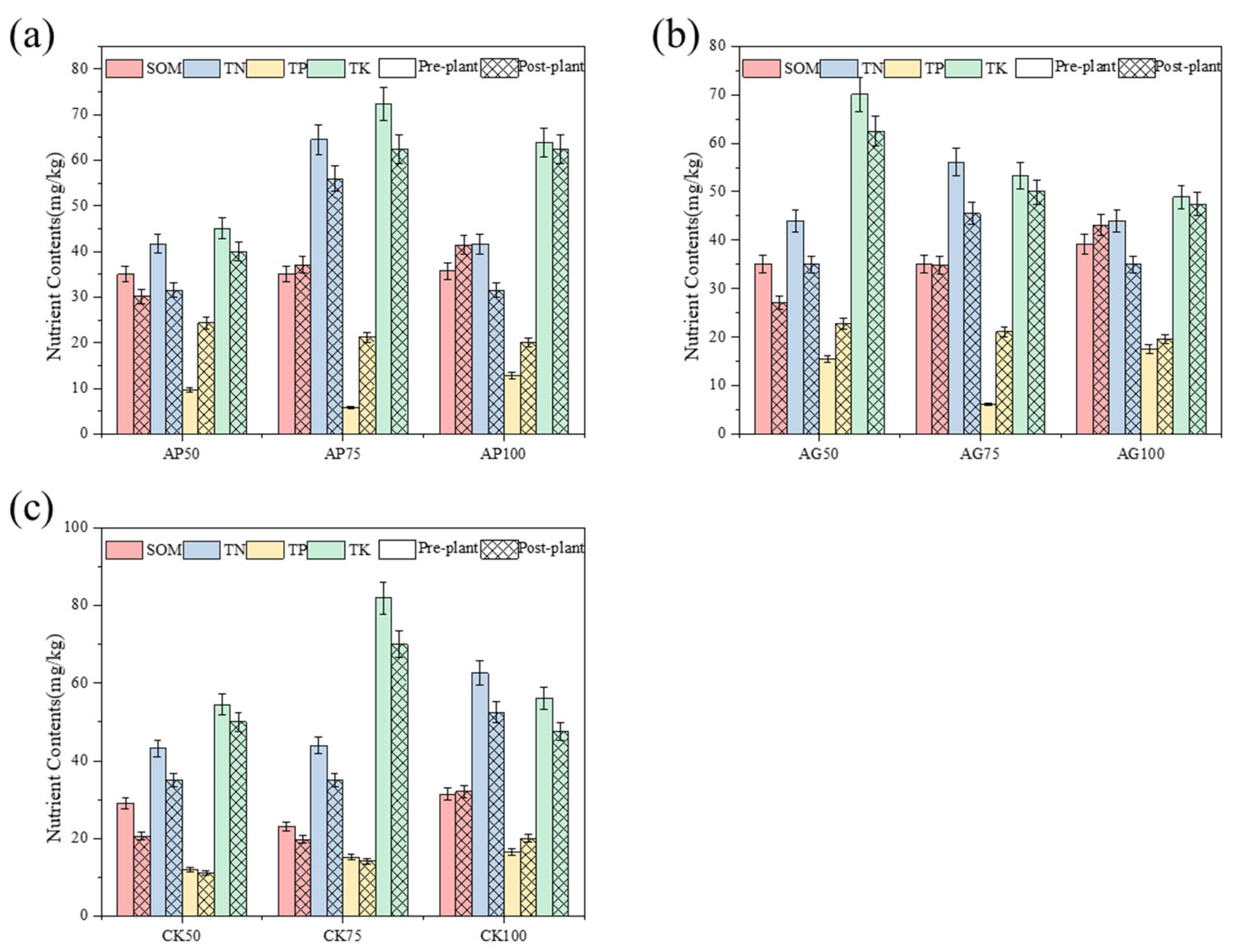
3.1. Effects of Fertilization Treatments on Soil Physicochemical Properties
3.2. Mycorrhizal Colonization and Maize Yield
3.3. α-Diversity of Soil Bacterial and Fungal Communities Under Fertilization Treatments
3.4. β-Diversity of Soil Bacterial and Fungal Communities Under Fertilization Treatments
3.5. Relative Abundance of Soil Bacterial and Fungal Communities Under Different Fertilization Treatments
3.6. Differences and Biomarker Analysis of Bacterial and Fungal Communities
3.7. Correlations Between Bacterial and Fungal Communities and Soil Properties
3.8. Economic Benefit Analysis

| Agronomic Approach | AMF Powder | AMF Granular | CK |
|---|---|---|---|
| 50 percent chemical fertilizer | AP50 | AG50 | CK50 |
| 75 percent chemical fertilizer | AP75 | AG75 | CK75 |
| 100 percent chemical fertilizer | AP100 | AG100 | CK100 |
4. Discussion
5. Conclusions
Author Contributions
Funding
Institutional Review Board Statement
Informed Consent Statement
Data Availability Statement
Acknowledgments
Conflicts of Interest
Abbreviations
| AMF | Arbuscular mycorrhizal fungi |
| AP50 | AMF powder combined with 50% chemical fertilizer treatment |
| AG50 | AMF granular combined with 50% chemical fertilizer treatment |
| CK50 | Treatment with 50% chemical fertilizer without AMF addition |
| AP75 | AMF powder combined with 75% chemical fertilizer treatment |
| AG75 | AMF granular combined with 75% chemical fertilizer treatment |
| CK75 | Treatment with 75% chemical fertilizer without AMF addition |
| AP100 | AMF powder combined with 100% chemical fertilizer treatment |
| AG100 | AMF granular combined with 100% chemical fertilizer treatment |
| CK100 | Treatment with 100% chemical fertilizer without AMF addition |
| EC | Electrical conductivity |
| SOM | Soil organic matter |
| TN | Total nitrogen |
| TP | Total phosphorus |
| TK | Total potassium |
Appendix A
| Process Group | pH | ECe | SOM | AN | AP | AK |
|---|---|---|---|---|---|---|
| CK_1 | 7.05 | 0.25 | 35.08168 | 41.72 | 9.671726 | 45.12 |
| CK_2 | 7.3 | 0.22 | 34.3938 | 41.27 | 11.49665 | 58.19 |
| CK_3 | 7.1 | 0.32 | 35.08168 | 64.57 | 5.788916 | 72.27 |
| AP100_1 | 7.25 | 0.3 | 35.08168 | 47.15 | 5.612425 | 74.13 |
| AP100_2 | 7.15 | 0.28 | 35.76955 | 41.63 | 12.84857 | 63.88 |
| AP100_3 | 7.2 | 0.35 | 37.1453 | 43.92 | 7.730321 | 60.75 |
| AP75_1 | 7.35 | 0.33 | 35.08168 | 43.98 | 15.49594 | 70.04 |
| AP75_2 | 7.12 | 0.34 | 37.1453 | 41.82 | 12.55559 | 67.95 |
| AP75_3 | 7.4 | 0.27 | 35.08168 | 56.08 | 6.141899 | 53.34 |
| AP50_1 | 7.5 | 0.31 | 26.13929 | 44.39 | 9.848217 | 82.21 |
| AP50_2 | 7.45 | 0.29 | 39.20893 | 43.95 | 17.61384 | 48.88 |
| AP50_3 | 7 | 0.23 | 33.01805 | 46.23 | 12.49559 | 39.73 |
| AG100_1 | 7.18 | 0.21 | 29.134 | 43.16 | 11.84822 | 54.45 |
| AG100_2 | 7.15 | 0.3 | 31.543 | 32.28 | 3.26509 | 68.02 |
| AG100_3 | 7.24 | 0.39 | 23.146 | 43.99 | 15.14296 | 81.88 |
| AG75_1 | 7.26 | 0.29 | 24.563 | 38.84 | 16.79139 | 65.34 |
| AG75_2 | 7.42 | 0.36 | 31.34 | 62.51 | 16.49559 | 56.12 |
| AG75_3 | 7.08 | 0.24 | 27.754 | 47.09 | 12.0826 | 66.09 |
| AG50_1 | 7.44 | 0.28 | 43.143 | 35 | 19.59381 | 47.5 |
| AG50_2 | 7.03 | 0.3 | 45.143 | 38.5 | 27.20979 | 42.5 |
| AG50_3 | 7.05 | 0.23 | 33.175 | 35 | 23.4018 | 72.5 |
| Group | Chemical Fertilizer Cost (CNY/ha) | Microbial Inoculant Cost (CNY/ha) | Total Production Cost (CNY/ha) | Yield (kg/ha) | Gross Return (CNY/ha) | Net Return (CNY/ha) |
|---|---|---|---|---|---|---|
| AP100 | 2100 | 1600 | 3700 | 9810 | 29,431 | 25,731 |
| AP75 | 1575 | 1600 | 3175 | 10,632 | 31,896 | 28,721 |
| AP50 | 1050 | 1600 | 2650 | 11,028 | 33,085 | 30,435 |
| AG100 | 2100 | 2500 | 4600 | 9758 | 29,276 | 24,676 |
| AG75 | 1575 | 2500 | 4075 | 10,343 | 31,029 | 26,954 |
| AG50 | 1050 | 2500 | 3550 | 9388 | 28,165 | 24,615 |
| CK100 | 2100 | 0 | 2100 | 9196 | 27,590 | 25,490 |
| CK75 | 1575 | 0 | 1575 | 8949 | 26,849 | 25,274 |
| CK50 | 1050 | 0 | 1050 | 7906 | 23,719 | 22,669 |
References
- Löw, F.; Biradar, C.; Fliemann, E.; Lamers, J.P.A.; Conrad, C. Assessing gaps in irrigated agricultural productivity through satellite earth observations—A case study of the Fergana Valley, Central Asia. Int. J. Appl. Earth Obs. Geoinf. 2017, 59, 118–134. [Google Scholar] [CrossRef]
- Liu, L.; Zheng, X.; Wei, X.; Kai, Z.; Xu, Y. Excessive application of chemical fertilizer and organophosphorus pesticides induced total phosphorus loss from planting causing surface water eutrophication. Sci. Rep. 2021, 11, 23015. [Google Scholar] [CrossRef] [PubMed]
- Zhang, Z.; Ding, J.; Zhu, C.; Chen, X.; Wang, J.; Han, L.; Ma, X.; Xu, D. Bivariate empirical mode decomposition of the spatial variation in the soil organic matter content: A case study from NW China. Catena 2021, 206, 105572. [Google Scholar] [CrossRef]
- Yang, G.; Peng, Y.; Liu, R.; Huang, M.; Xiao, Y.; Yang, Z.; Sun, Y.; Hu, Y.; Chen, H.; Ma, J. Effect of chemical fertilizer reduction on the quality of hybrid rice of different amylose contents. J. Food Biochem. 2022, 46, e14066. [Google Scholar] [CrossRef]
- Han, L.; Qin, H.; Wang, J.; Yao, D.; Zhang, L.; Guo, J.; Zhu, B. Immediate response of paddy soil microbial community and structure to moisture changes and nitrogen fertilizer application. Front. Microbiol. 2023, 14, 1130298. [Google Scholar] [CrossRef]
- Kerré, B.; Hernandez-Soriano, M.C.; Smolders, E. Partitioning of carbon sources among functional pools to investigate short-term priming effects of biochar in soil: A 13C study. Sci. Total Environ. 2016, 547, 30–38. [Google Scholar] [CrossRef]
- Ren, N.; Wang, Y.; Ye, Y.; Zhao, Y.; Huang, Y.; Fu, W.; Chu, X. Effects of Continuous Nitrogen Fertilizer Application on the Diversity and Composition of Rhizosphere Soil Bacteria. Front. Microbiol. 2020, 11, 1948. [Google Scholar] [CrossRef]
- Jia, X.; Weng, Q.; Wang, T.; Zhang, Q.; Gu, J.; Liao, Y.; Zhu, B.; Wang, H.; Ye, J. Fertilizer Application Drives the Restructuring of Microbial Communities and Functional Succession in the Rhizosphere Soil of Camellia sinensis. Horticulturae 2025, 11, 1497. [Google Scholar] [CrossRef]
- Qian, S.; Xu, Y.; Zhang, Y.; Wang, X.; Niu, X.; Wang, P. Effect of AMF Inoculation on Reducing Excessive Fertilizer Use. Microorganisms 2024, 12, 1550. [Google Scholar] [CrossRef]
- Yuan, Y.; Feng, Z.; Yan, S.; Zhang, J.; Song, H.; Zou, Y.; Jin, D. The Effect of the Application of Chemical Fertilizer and Arbuscular MyCorrhizal Fungi on Maize Yield and Soil Microbiota in Saline Agricultural Soil. J. Fungi 2025, 11, 319. [Google Scholar] [CrossRef]
- Tang, B.; Man, J.; Lehmann, A.; Rillig, M.C. Arbuscular mycorrhizal fungi attenuate negative impact of drought on soil functions. Glob. Change Biol. 2024, 30, e17409. [Google Scholar] [CrossRef] [PubMed]
- Wang, J.C.; Wang, J.; He, J.; Zhu, Y.; Qiao, N.; Ge, Y. Arbuscular mycorrhizal fungi and plant diversity drive restoration of nitrogen-cycling microbial communities. Mol. Ecol. 2021, 30, 4133–4146. [Google Scholar] [CrossRef] [PubMed]
- Ma, Y.; Zhang, H.; Wang, D.; Guo, X.; Yang, T.; Xiang, X.; Walder, F.; Chu, H. Differential Responses of Arbuscular Mycorrhizal Fungal Communities to Long-Term Fertilization in the Wheat Rhizosphere and Root Endosphere. Appl. Environ. Microbiol. 2021, 87, e00349-21. [Google Scholar] [CrossRef] [PubMed]
- Felföldi, Z.; Vidican, R.; Stoian, V.; Roman, I.A.; Sestras, A.F.; Rusu, T.; Sestras, R.E. Arbuscular Mycorrhizal Fungi and Fertilization Influence Yield, Growth and Root Colonization of Different Tomato Genotype. Plants 2022, 11, 1743. [Google Scholar] [CrossRef]
- Basiru, S.; Mwanza, H.P.; Hijri, M. Analysis of Arbuscular Mycorrhizal Fungal Inoculant Benchmarks. Microorganisms 2021, 9, 81. [Google Scholar] [CrossRef]
- Basiru, S.; Hijri, M. The Potential Applications of Commercial Arbuscular Mycorrhizal Fungal Inoculants and Their Ecological Consequences. Microorganisms 2022, 10, 1897. [Google Scholar] [CrossRef]
- Kumar, A.; Kumar, R.; Singh, P.; Kalaichelvan, S.; Santos-Villalobos, S.d.L.; Kumar, N.; Fernando, L.; Kumar, R.; Solanki, M.K.; Joshi, N.C.; et al. Emerging Role of Arbuscular Mycorrhizal Fungi in Sustainable Agriculture: From Biology to Field Application. J. Basic Microbiol. 2025, 14, e70082. [Google Scholar] [CrossRef]
- Carter, M.R.; Gregorich, E.G. (Eds.) Soil Sampling and Methods of Analysis, 2nd ed.; CRC Press: Boca Raton, FL, USA, 2007. [Google Scholar] [CrossRef]
- Palanivell, P.; Ahmed, O.H.; Omar, L.; Abdul Majid, N.M. Nitrogen, Phosphorus, and Potassium Adsorption and Desorption Improvement and Soil Buffering Capacity Using Clinoptilolite Zeolite. Agronomy 2021, 11, 379. [Google Scholar] [CrossRef]
- Giovannetti, M.; Mosse, B. An Evaluation of Techniques for Measuring Vesicular Arbuscular Mycorrhizal Infection in Roots. New Phytol. 2006, 84, 489–500. [Google Scholar] [CrossRef]
- Adekiya, A.O.; Ejue, W.S.; Olayanju, A.; Dunsin, O.; Aboyeji, C.M.; Aremu, C.; Adegbite, K.; Akinpelu, O. Different organic manure sources and NPK fertilizer on soil chemical properties, growth, yield and quality of okra. Sci. Rep. 2020, 10, 16083. [Google Scholar] [CrossRef]
- Du, Z.; Zhou, L.; Thakur, M.P.; Zhou, G.; Fu, Y.; Li, N.; Liu, R.; He, Y.; Chen, H.; Li, J.; et al. Mycorrhizal associations relate to stable convergence in plant–microbial competition for nitrogen absorption under high nitrogen conditions. Glob. Change Biol. 2024, 30, e17338. [Google Scholar] [CrossRef]
- Balestrini, R.; Brunetti, C.; Chitarra, W.; Nerva, L. Photosynthetic traits and nitrogen uptake in crops: Which is the role of arbuscular mycorrhizal fungi? Plants 2020, 9, 1105. [Google Scholar] [CrossRef]
- Sato, T.; Hachiya, S.; Inamura, N.; Ezawa, T.; Cheng, W.; Tawaraya, K. Secretion of acid phosphatase from extraradical hyphae of the arbuscular mycorrhizal fungus Rhizophagus clarus is regulated in response to phosphate availability. Mycorrhiza 2019, 29, 599–605. [Google Scholar] [CrossRef]
- Wang, G.; Jin, Z.; George, T.S.; Feng, G.; Zhang, L. Arbuscular mycorrhizal fungi enhance plant phosphorus uptake through stimulating hyphosphere soil microbiome functional profiles for phosphorus turnover. New Phytol. 2023, 238, 2578–2593. [Google Scholar] [CrossRef] [PubMed]
- Bao, X.; Wang, Y.; Olsson, P.A. Arbuscular mycorrhiza under water—Carbon–phosphorus exchange between 593 rice and arbuscular mycorrhizal fungi under different flooding regimes. Soil Biol. Biochem. 2019, 129, 169–177. [Google Scholar] [CrossRef]
- Thirkell, T.J.; Pastok, D.; Field, K.J. Carbon for nutrient exchange between arbuscular mycorrhizal fungi and wheat varies according to cultivar and changes in atmospheric carbon dioxide concentration. Glob. Change Biol. 2020, 26, 1725–1738. [Google Scholar] [CrossRef] [PubMed]
- Ghorui, M.; Chowdhury, S.; Burla, S. Recent advances in the commercial formulation of arbuscular mycorrhizal inoculants. Front. Ind. Microbiol. 2025, 3, 1353472. [Google Scholar] [CrossRef]
- Gou, X.; Kong, W.; Sadowsky, M.J.; Chang, X.; Qiu, L.; Liu, W.; Shao, M.; Wei, X. Global responses of soil bacteria and fungi to inoculation with arbuscular mycorrhizal fungi. Catena 2024, 236, 107738. [Google Scholar] [CrossRef]
- Jiang, Y.; Wang, W.; Xie, Q.; Liu, N.; Liu, L.; Wang, D.; Zhang, X.; Yang, C.; Chen, X.; Tang, D.; et al. Plants transfer lipids to sustain colonization by mutualistic mycorrhizal and parasitic fungi. Science 2017, 356, 1172–1175. [Google Scholar] [CrossRef]
- Liang, X.; Zhong, D.; Yan, S.; Feng, Y. Effects of continuous Bt maize cultivation on soil nutrient content and microbial communities. Plants 2025, 14, 1849. [Google Scholar] [CrossRef]
- Zhang, R.; Li, Y.; Zhao, X.; Allan Degen, A.; Lian, J.; Liu, X.; Li, Y.; Duan, Y. Fertilizers have a greater impact on the soil bacterial community than on the fungal community in a sandy farmland ecosystem, Inner Mongolia. Ecol. Indic. 2022, 140, 108972. [Google Scholar] [CrossRef]
- Wijayawardene, N.N.; Pawłowska, J.; Letcher, P.M.; Kirk, P.M.; Humber, R.A.; Schüßler, A.; Wrzosek, M.; Muszewska, A.; Okrasińska, A.; Istel, Ł.; et al. Notes for genera: Basal clades of Fungi (including Aphelidiomycota, Basidiobolomycota, Blastocladiomycota, Calcarisporiellomycota, Caulochytriomycota, Chytridiomycota, Entomophthoromycota, Glomeromycota, Kickxellomycota, Monoblepharomycota, Mortierellomycota, Mucoromycota, Neocallimastigomycota, Olpidiomycota, Rozellomycota and Zoopagomycota). Fungal Divers. 2018, 92, 43–129. [Google Scholar] [CrossRef]
- Wang, Y.; Wang, L.; Suo, M.; Qiu, Z.; Wu, H.; Zhao, M.; Yang, H. Regulating root fungal community using Mortierella alpina for Fusarium oxysporum resistance in Panax ginseng. Front. Microbiol. 2022, 13, 850917. [Google Scholar] [CrossRef]
- Chen, R.; Liu, Y.; Zhang, X.; Geng, G.; Yu, L.; Xu, Y.; Liu, J.; Wang, Y. Mechanisms of AMF-mediated correlation between nutrient uptake and soil micropatterns in sugar beet plants under rotational and continuous cropping soil. J. Clean. Prod. 2026, 434, 140359. [Google Scholar] [CrossRef]
- Zhong, S.Z.; Hou, P.X.; Yu, M.L.; Cao, W.; Tu, X.; Ma, X.; Miao, F.; Tao, Q.; Sun, J.; Jia, W. Arbuscular mycorrhizal fungi inoculation and different phosphorus fertilizer levels modulate phosphorus acquisition and utilization efficiency of alfalfa (Medicago sativa L.) in saline-alkali soil. Plants 2026, 15, 114. [Google Scholar] [CrossRef]







| Category | Parameter | Value/Range | Unit |
|---|---|---|---|
| Chemical Properties | pH | 8.34 ± 0.12 | |
| Electrical Conductivity (EC) | 0.25 ± 0.03 | dS/m | |
| Soil Organic Matter (SOM) | 15.76 ± 2.46 | g/kg | |
| Total Nitrogen (TN) | 1.87 ± 0.24 | g/kg | |
| Total Phosphorus (TP) | 0.94 ± 0.15 | g/kg | |
| Total Potassium (TK) | 46.43 ± 0.55 | g/kg | |
| Alkali-hydrolyzable Nitrogen (AN) | 187.4 ± 25.6 | mg/kg | |
| Available Phosphorus (AP) | 9.43 ± 1.47 | mg/kg | |
| Available Potassium (AK) | 145.2 ± 18.3 | mg/kg | |
| Exchangeable Al | 0.12 ± 0.05 | cmol+/kg | |
| Available Fe | 6.85 ± 1.22 | mg/kg | |
| Available Mn | 10.34 ± 2.15 | mg/kg | |
| Available Cu | 1.56 ± 0.33 | mg/kg | |
| Available Zn | 1.02 ± 0.28 | mg/kg | |
| Physical Properties | Bulk Density | 1.32 ± 0.08 | g/cm3 |
| Total Porosity | 50.2 ± 3.5 | % | |
| Field Capacity | 24.5 ± 2.1 | % | |
| Soil Texture | Sandy Loam | ||
| Sand (0.05–2 mm) | 62.5 | % | |
| Silt (0.002–0.05 mm) | 25.8 | % | |
| Clay (<0.002 mm) | 11.7 | % |
| Objectives | Preferred Mode | Economic Indicator | Conditions of Application |
|---|---|---|---|
| Increase in income for the year | AP50 | Net income of 30,435 CNY/ha | Medium- to low-fertility soils |
| soil improvement | AG75 | 0.8 g/kg annual increase in organic matter | Continuous cropping systems/high organic matter soils |
| risk avoidance | CK100 | Stable returns but high environmental costs | Traditional Conservative Cultivation |
Disclaimer/Publisher’s Note: The statements, opinions and data contained in all publications are solely those of the individual author(s) and contributor(s) and not of MDPI and/or the editor(s). MDPI and/or the editor(s) disclaim responsibility for any injury to people or property resulting from any ideas, methods, instructions or products referred to in the content. |
© 2026 by the authors. Licensee MDPI, Basel, Switzerland. This article is an open access article distributed under the terms and conditions of the Creative Commons Attribution (CC BY) license.
Share and Cite
Yuan, Y.; Feng, Z.; Song, H.; Yuan, A.; Chang, L.; Zou, Y.; Dashdorj, M.; Bian, Z. Effects of Powdered and Granular AMF on Maize Growth Under Low Fertilizer Conditions. J. Fungi 2026, 12, 123. https://doi.org/10.3390/jof12020123
Yuan Y, Feng Z, Song H, Yuan A, Chang L, Zou Y, Dashdorj M, Bian Z. Effects of Powdered and Granular AMF on Maize Growth Under Low Fertilizer Conditions. Journal of Fungi. 2026; 12(2):123. https://doi.org/10.3390/jof12020123
Chicago/Turabian StyleYuan, Ye, Zhengjun Feng, Huiping Song, Ao Yuan, Le Chang, Yan Zou, Munkhbat Dashdorj, and Zhiwei Bian. 2026. "Effects of Powdered and Granular AMF on Maize Growth Under Low Fertilizer Conditions" Journal of Fungi 12, no. 2: 123. https://doi.org/10.3390/jof12020123
APA StyleYuan, Y., Feng, Z., Song, H., Yuan, A., Chang, L., Zou, Y., Dashdorj, M., & Bian, Z. (2026). Effects of Powdered and Granular AMF on Maize Growth Under Low Fertilizer Conditions. Journal of Fungi, 12(2), 123. https://doi.org/10.3390/jof12020123

