Analysis of Causative Factors and Potential Predictors of Onychomycosis: A Retrospective Single-Center Study in Poland
Abstract
1. Introduction
2. Materials and Methods
Statistical Analysis
3. Results
3.1. General Results
3.2. Distribution of Different Fungal Species Depending on the Sex and Age of the Subjects
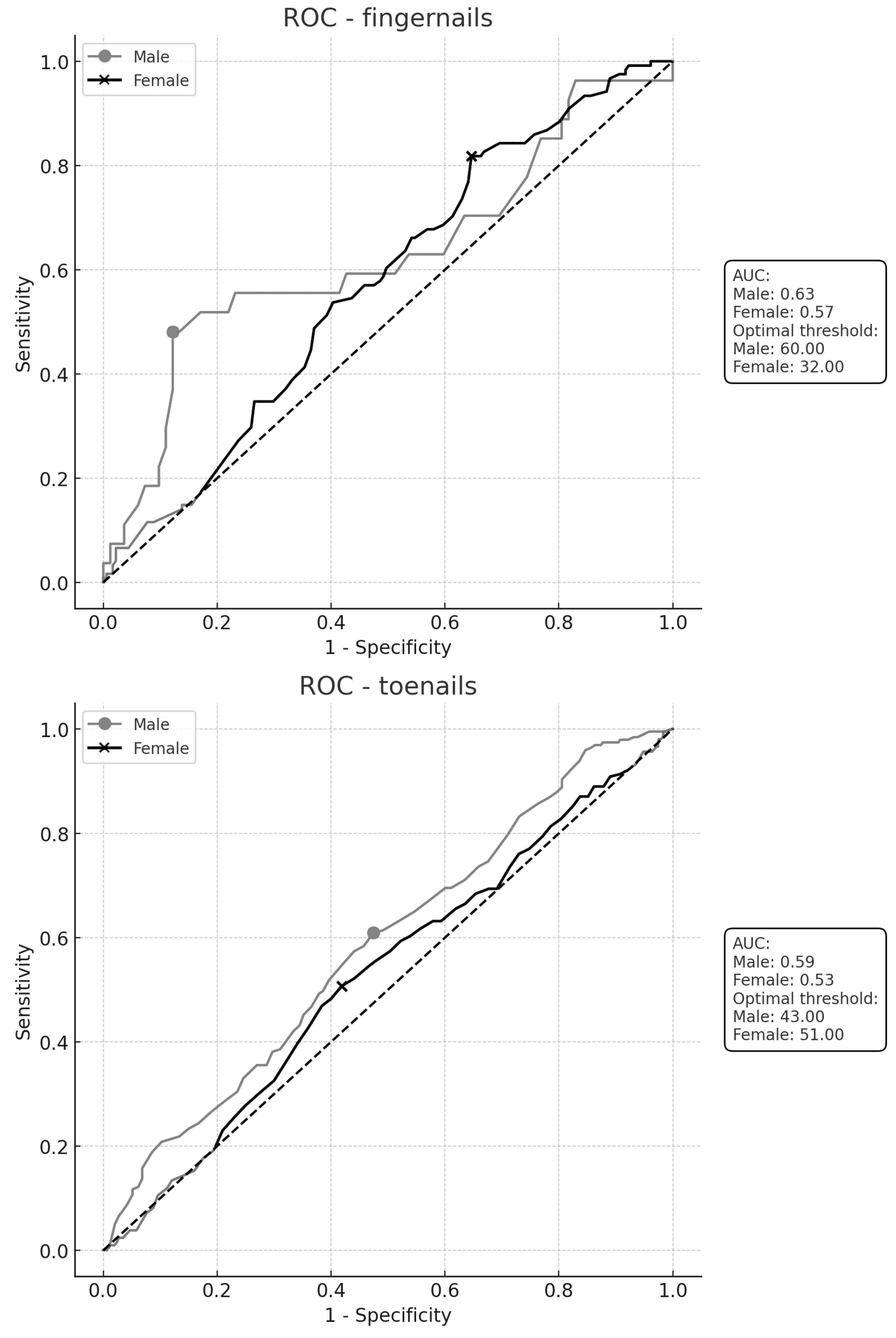
3.3. Predictive Tools for Positive Mycological Culture Results
4. Discussion
4.1. Relationships Between Site of Infection, Demographics, and Identified Species
4.2. Prediction of Positive Mycological Culture Based on Subjects’ Demographics
4.3. Study Limitations
5. Conclusions
Author Contributions
Funding
Institutional Review Board Statement
Informed Consent Statement
Data Availability Statement
Conflicts of Interest
Abbreviations
| AI | Artificial intelligence |
| AUC | Area under the curve |
| CI | Confidence interval |
| DMSO | Dimethyl sulfoxide |
| GMS | Grocott’s methenamine silver |
| KNN | K-nearest neighbors |
| MALDI-TOF | Matrix-assisted laser desorption ionization time of flight |
| OR | Odds ratio |
| PAS | Periodic acid–Schiff |
| PCR | Polymerase chain reaction |
| QoL | Quality of life |
| ROC | Receiver operating characteristic |
| TNR | True negative rate |
| TPR | True positive rate |
References
- Lipner, S.R.; Scher, R.K. Onychomycosis: Treatment and prevention of recurrence. J. Am. Acad. Dermatol. 2019, 80, 853–867. [Google Scholar] [CrossRef] [PubMed]
- Shah, A.A.; Mirza, R.; Sattar, A.; Khan, Y.; Khan, S.A. Unveiling onychomycosis: Pathogenesis, diagnosis, and innovative treatment strategies. Microb. Pathog. 2025, 198, 107111. [Google Scholar] [CrossRef] [PubMed]
- Gupta, A.K.; Stec, N.; Summerbell, R.C.; Shear, N.H.; Piguet, V.; Tosti, A.; Piraccini, B.M. Onychomycosis: A review. J. Eur. Acad. Dermatol. Venereol. 2020, 34, 1972–1990. [Google Scholar] [CrossRef] [PubMed]
- Bermudez, N.; Rodríguez-Tamez, G.; Perez, S.; Tosti, A. Onychomycosis: Old and New. J. Fungi 2023, 9, 559. [Google Scholar] [CrossRef] [PubMed]
- Chanyachailert, P.; Leeyaphan, C.; Bunyaratavej, S. Cutaneous Fungal Infections Caused by Dermatophytes and Non-Dermatophytes: An Updated Comprehensive Review of Epidemiology, Clinical Presentations, and Diagnostic Testing. J. Fungi 2023, 9, 669. [Google Scholar] [CrossRef]
- Gupta, A.K.; Summerbell, R.C.; Venkataraman, M.; Quinlan, E.M. Nondermatophyte mould onychomycosis. J. Eur. Acad. Dermatol. Venereol. 2021, 35, 1628–1641. [Google Scholar] [CrossRef]
- Reinel, D. Non-dermatophyte fungi in onychomycosis—Epidemiology and consequences for clinical practice. Mycoses 2021, 64, 694–700. [Google Scholar] [CrossRef]
- Sigurgeirsson, B.; Baran, R. The prevalence of onychomycosis in the global population: A literature study. J. Eur. Acad. Dermatol. Venereol. 2014, 28, 1480–1491. [Google Scholar] [CrossRef]
- Westerberg, D.P.; Voyack, M.J. Onychomycosis: Current trends in diagnosis and treatment. Am. Fam. Phys. 2013, 88, 762–770. [Google Scholar]
- Elewski, B.E.; Tosti, A. Risk Factors and Comorbidities for Onychomycosis: Implications for Treatment with Topical Therapy. J. Clin. Aesthet. Dermatol. 2015, 8, 38–42. [Google Scholar]
- Jazdarehee, A.; Malekafzali, L.; Lee, J.; Lewis, R.; Mukovozov, I. Transmission of Onychomycosis and Dermatophytosis between Household Members: A Scoping Review. J. Fungi 2022, 8, 60. [Google Scholar] [CrossRef] [PubMed]
- Gupta, A.K.; Venkataraman, M.; Renaud, H.J.; Summerbell, R.; Shear, N.H.; Piguet, V. A Paradigm Shift in the Treatment and Management of Onychomycosis. Ski. Appendage Disord. 2021, 7, 351–358. [Google Scholar] [CrossRef] [PubMed]
- Stewart, C.R.; Algu, L.; Kamran, R.; Leveille, C.F.; Abid, K.; Rae, C.; Lipner, S.R. Effect of onychomycosis and treatment on patient-reported quality-of-life outcomes: A systematic review. J. Am. Acad. Dermatol. 2021, 85, 1227–1239. [Google Scholar] [CrossRef]
- Zaraa, I.; Dehavay, F.; Richert, B. Onychomycosis. Hand Surg. Rehabil. 2024, 43S, 101638. [Google Scholar] [CrossRef]
- Falotico, J.M.; Lipner, S.R. Updated Perspectives on the Diagnosis and Management of Onychomycosis. Clin. Cosmet. Investig. Dermatol. 2022, 15, 1933–1957. [Google Scholar] [CrossRef]
- Gupta, A.K.; Hall, D.C.; Cooper, E.A.; Ghannoum, M.A. Diagnosing Onychomycosis: What’s New? J. Fungi 2022, 8, 464. [Google Scholar] [CrossRef]
- Jung, M.Y.; Shim, J.H.; Lee, J.H.; Lee, J.H.; Yang, J.M.; Lee, D.Y.; Jang, K.T.; Lee, N.Y.; Lee, J.H.; Park, J.H.; et al. Comparison of diagnostic methods for onychomycosis, and proposal of a diagnostic algorithm. Clin. Exp. Dermatol. 2015, 40, 479–484. [Google Scholar] [CrossRef]
- Lecerf, P.; Abdy, S.; Vollono, L.; Pastushenko, I.; Richert, B.; André, J. Direct examination, histopathology and fungal culture for the diagnosis of onychomycosis: A retrospective, comparative study on 2245 specimens. Mycoses. 2021, 64, 187–193. [Google Scholar] [CrossRef]
- Mikailov, A.; Cohen, J.; Joyce, C.; Mostaghimi, A. Cost-effectiveness of Confirmatory Testing Before Treatment of Onychomycosis. JAMA Dermatol. 2016, 152, 276–281. [Google Scholar] [CrossRef]
- Leung, A.K.C.; Lam, J.M.; Leong, K.F.; Hon, K.L.; Barankin, B.; Leung, A.A.M.; Wong, A.H.C. Onychomycosis: An Updated Review. Recent Pat. Inflamm. Allergy. Drug Discov. 2020, 14, 32–45. [Google Scholar] [CrossRef]
- Yousefian, F.; Smythe, C.; Han, H.; Elewski, B.E.; Nestor, M. Treatment Options for Onychomycosis: Efficacy, Side Effects, Adherence, Financial Considerations, and Ethics. J. Clin. Aesthet. Dermatol. 2024, 17, 24–33. [Google Scholar] [PubMed]
- Maleszka, R.; Adamski, Z.; Szepietowski, J.; Baran, E. Treatment of superficial fungal infections—Recommendations of experts of Mycological Section of Polish Dermatological Society. Dermatol. Rev. 2015, 102, 305–315. [Google Scholar] [CrossRef]
- Arafa, S.H.; Elbanna, K.; Osman, G.E.H.; Abulreesh, H.H. Candida diagnostic techniques: A review. J. Umm Al-Qura Univ. Appll. Sci. 2023, 9, 360–377. [Google Scholar] [CrossRef]
- Gold, J.A.W.; Wu, K.; Jackson, B.R.; Benedict, K. Opportunities to improve guideline adherence for the diagnosis and treatment of onychomycosis: Analysis of commercial insurance claims data, United States. J. Am. Acad. Dermatol. 2023, 88, 683–686. [Google Scholar] [CrossRef]
- Lipner, S.R.; Falotico, J.M.; Konda, A. On the Basis of Sex: Impact and Treatment of Toenail Onychomycosis in Female Patients. J. Clin. Aesthet. Dermatol. 2023, 16, 52–57. [Google Scholar]
- Albucker, S.J.; Falotico, J.M.; Choo, Z.N.; Matushansky, J.T.; Lipner, S.R. Risk Factors and Treatment Trends for Onychomycosis: A Case-Control Study of Onychomycosis Patients in the All of Us Research Program. J. Fungi 2023, 9, 712. [Google Scholar] [CrossRef]
- Powell, J.; Porter, E.; Field, S.; O’Connel, N.H.; Carty, K.; Dunne, C.P. Epidemiology of dermatomycoses and onychomycoses in Ireland (2001–2020): A single-institution review. Mycoses 2022, 65, 770–779. [Google Scholar] [CrossRef]
- Thomas, J.; Jacobson, G.A.; Narkowicz, C.K.; Peterson, G.M.; Burnet, H.; Sharpe, C. Toenail onychomycosis: An important global disease burden. J. Clin. Pharm. Ther. 2010, 35, 497–519. [Google Scholar] [CrossRef]
- Gelotar, P.; Vachhani, S.; Patel, B.; Makwana, N. The prevalence of fungi in fingernail onychomycosis. J. Clin. Diagn. Res. 2013, 7, 250–252. [Google Scholar] [CrossRef]
- Jaworek, A.; Wojas-Pelc, A.; Piotrowicz-Wójcik, K.; Iwulska, K.; Sitko, D. Grzybice powierzchowne—Analiza wyników badań Pracowni Mikrobiologicznej Poradni Przyklinicznej Kliniki Dermatologii w Krakowie w latach 2001–2005. Prob. Hig. Epidemiol. 2006, 87, 182–186. [Google Scholar]
- Andres, M.; Jaworek, A.; Stec-Polak, M.; Radzimowska, J.; Wojas-Pelc, A. Infekcje grzybicze skóry i jej przydatków—Analiza wyników badań mykologicznych Pracowni Mykologicznej w latach 2010–2014. Przegl. Lek. 2015, 72, 253–256. [Google Scholar] [PubMed]
- Gawdzik, A.; Nowogrodzka, K.; Hryncewicz-Gwóźdź, A.; Maj, J.; Szepietowski, J.; Jankowska-Konsur, A. Epidemiology of dermatomycoses in southwest Poland, years 2011–2016. Postepy Dermatol. Alergol. 2019, 36, 604–608. [Google Scholar] [CrossRef] [PubMed]
- Sacheli, R.; Cuypers, L.; Seidel, L.; Darfouf, R.; Adjetey, C.; Lagrou, K.; Hayette, M.-P. Epidemiology of dermatophytes in Belgium: A 5-Year Survey. Mycopathologia 2021, 186, 399–409. [Google Scholar] [CrossRef]
- Kromer, C.; Celis, D.; Hipler, U.-C.; Zampeli, V.A.; Mößner, R.; Lippert, U. Dermatophyte infections in children compared to adults in Germany: A retrospective multicenter study in Germany. J. Dtsch. Dermatol. Ges. 2021, 19, 993–1001. [Google Scholar] [CrossRef]
- Bontems, O.; Fratti, M.; Salamin, K.; Guenova, E.; Monod, M. Epidemiology of dermatophytoses in Switzerland according to a survey of dermatophytes isolated in Lausanne between 2001 and 2018. J. Fungi 2020, 6, 95. [Google Scholar] [CrossRef]
- Baranová, Z.; Kampe, T.; Dorko, E.; Rimárová, K. Epidemiological and clinical aspects of dermatophytoses in Eastern Slovakia: A retrospective three-year study. Cent. Eur. J. Public Health 2018, 26, S72–S75. [Google Scholar] [CrossRef]
- Zamani, S.; Sadeghi, G.; Yazdinia, F.; Moosa, H.; Pazooki, A.; Ghafarinia, Z.; Abbasi, M.; Shams-Ghahfarokhi, M.; Razzaghi-Abyaneh, M. Epidemiological trends of dermatophytosis in Tehran, Iran: A five-year retrospective study. J. Mycol. Med. 2016, 26, 351–358. [Google Scholar] [CrossRef]
- Youssef, A.B.; Kallel, A.; Azaiz, Z.; Jemel, S.; Bada, N.; Chouchen, A.; Belhadj-Salah, N.; Fakhfakh, N.; Belhadj, S.; Kallel, K. Onychomycosis: Which fungal species are involved? Experience of the Laboratory of Parasitology-Mycology of the Rabta Hospital of Tunis. J. Mycol. Med. 2018, 28, 651–654. [Google Scholar] [CrossRef]
- Song, G.; Zhang, M.; Liu, W.; Liang, G. Epidemiology of Onychomycosis in Chinese Mainland: A 30-Year Retrospective Study. Mycopathologia 2022, 187, 323–331. [Google Scholar] [CrossRef]
- Jha, B.; Sharma, M.; Gc, S.; Sapkota, J. Onychomycosis among Clinically Suspected Cases Attending the Dermatology Outpatient Department of a Tertiary Care Centre: A Descriptive Cross-sectional Study. JNMA J. Nepal Med. Assoc. 2021, 59, 450–453. [Google Scholar] [CrossRef]
- Jankowska-Konsur, A.; Dyląg, M.; Hryncewicz-Gwóźdź, A.; Plomer-Niezgoda, E.; Szepietowski, J.C. A 5-year survey of dermatomycoses in southwest Poland, years 2003–2007. Mycoses 2011, 54, 162–167. [Google Scholar] [CrossRef]
- Lee, M.H.; Hwang, S.M.; Suh, M.K.; Ha, G.Y.; Kim, H.; Park, J.Y. Onychomycosis caused by Scopulariopsis brevicaulis: Report of two cases. Ann. Dermatol. 2012, 24, 209–213. [Google Scholar] [CrossRef] [PubMed]
- Nenoff, P.; Reinel, D.; Mayser, P.; Abeck, D.; Bezold, G.; Bosshard, P.P.; Brasch, J.; Daeschlein, G.; Effendy, I.; Ginter-Hanselmayer, G.; et al. S1 Guideline onychomycosis. J. Dtsch. Dermatol. Ges. 2023, 21, 678–692. [Google Scholar] [CrossRef] [PubMed]
- Gupta, A.K.; Venkataraman, M.; Talukder, M. Onychomycosis in Older Adults: Prevalence, Diagnosis, and Management. Drugs Aging 2022, 39, 191–198. [Google Scholar] [CrossRef]
- U.S. Food and Drug Administration. Statistical Guidance on Reporting Results from Studies Evaluating Diagnostic Tests-Guidance for Industry and FDA Staff; U.S. Food and Drug Administration: Silver Spring, MD, USA, 2007; Available online: https://www.fda.gov/regulatory-information/search-fda-guidance-documents/statistical-guidance-reporting-results-studies-evaluating-diagnostic-tests-guidance-industry-and-fda (accessed on 16 January 2025).
- Gupta, A.K.; Hall, D.C. Diagnosing onychomycosis: A step forward? J. Cosmet. Dermatol. 2022, 21, 530–535. [Google Scholar] [CrossRef] [PubMed]
- Lipner, S.R. Onychomycosis: New Developments in Diagnosis, Treatment, and Antifungal Medication Safety. Cutis 2021, 107, 113–114. [Google Scholar] [CrossRef] [PubMed]
- Velasquez-Agudelo, V.; Cardona-Arias, J.A. Meta-analysis of the utility of culture, biopsy, and direct KOH examination for the diagnosis of onychomycosis. BMC Infect. Dis. 2017, 17, 166. [Google Scholar] [CrossRef]
- Petinataud, D.; Berger, S.; Contet-Audonneau, N.; Machouart, M. Molecular diagnosis of onychomycosis. J. Mycol. Med. 2014, 24, 287–295. [Google Scholar] [CrossRef]
- Shimoyama, H.; Satoh, K.; Makimura, K.; Sei, Y. Epidemiological survey of onychomycosis pathogens in Japan by real-time PCR. Med. Mycol. 2019, 57, 675–680. [Google Scholar] [CrossRef]
- Gustafson, E.; Bakotic, W.; Bennett, L.; Page, L.; McCarthy, L. DNA-based detection for onychomycosis correlates better to histopathology than does fungal culture. Dermatol. Online J. 2019, 25, 13030/qt5bc2z46g. [Google Scholar] [CrossRef]
- Trovato, L.; Domina, M.; Calvo, M.; De Pasquale, R.; Scalia, G.; Oliveri, S. Use of real time multiplex PCR for the diagnosis of dermatophytes onychomycosis in patients with empirical antifungal treatments. J. Infect. Public. Health. 2022, 15, 539–544. [Google Scholar] [CrossRef]
- Gupta, A.K.; Cooper, E.A.; Summerbell, R.C.; Nakrieko, K.A. Utility of polymerase chain reaction for assessment of onychomycosis during topical therapy. Int. J. Dermatol. 2022, 61, 1385–1389. [Google Scholar] [CrossRef] [PubMed]
- Evrard, S.; Minon, C.; Lamtiri Laarif, M.; De Backer, B.; Paridaens, H.; Hayette, M.P.; Frère, J.; Senterre, J.M.; Minon, J.M. New Diagnostic Strategy for Onychomycosis: First-Line Utilization of DermaGenius® PCR and Calcofluor Microscopy Combined with Selective Culturing. J. Fungi 2024, 10, 515. [Google Scholar] [CrossRef]
- Gupta, A.K.; Wang, T.; Cooper, E.A.; Lincoln, S.A.; Foreman, H.C.; Scherer, W.P.; Bakotic, W.L. Clinical Diagnosis and Laboratory Testing of Abnormal Appearing Toenails: A Retrospective Assessment of Confirmatory Testing for Onychomycosis in the United States, 2022-2023. J. Fungi 2024, 10, 149. [Google Scholar] [CrossRef] [PubMed]
- Gupta, A.K.; Cooper, E.A.; Wang, T.; Lincoln, S.A.; Bakotic, W.L. Single-Point Nail Sampling to Diagnose Onychomycosis Caused by Non-Dermatophyte Molds: Utility of Polymerase Chain Reaction (PCR) and Histopathology. J. Fungi 2023, 9, 671. [Google Scholar] [CrossRef]
- Peck, G.M.; Fleischer, A.B.; Lipner, S.R. Onychomycosis Treatment Prescribed at Only Twenty Percent of Visits: A Cross-Sectional Analysis of the National Ambulatory Medical Care Survey 2007–2016. J. Drugs Dermatol. 2023, 22, 1040–1045. [Google Scholar] [CrossRef]
- Gupta, A.K.; Elewski, B.; Joseph, W.S.; Lipner, S.R.; Daniel, C.R.; Tosti, A.; Guenin, E.; Ghannoum, M. Treatment of onychomycosis in an era of antifungal resistance: Role for antifungal stewardship and topical antifungal agents. Mycoses 2024, 67, e13683. [Google Scholar] [CrossRef]
- Gupta, A.K.; Simkovich, A.J.; Hall, D.C. The March Against Onychomycosis: A Systematic Review of the Sanitization Methods for Shoes, Socks, and Textiles. J. Am. Podiatr. Med. Assoc. 2022, 112, 221–223. [Google Scholar] [CrossRef]




| Characteristic | Overall (N = 2722) | |
|---|---|---|
| Age (years; median [Q1–Q3]) | 46 (32–59) | |
| Sex (N, %) | male | 859 (32%) |
| female | 1863 (68%) | |
| Location (N, %) | fingernails | 624 (23%) |
| toenails | 2098 (77%) | |
| Mycological culture (N, %) | negative | 1951 (72%) |
| positive | 771 (28%) | |
| Species identified in positive mycological culture (N, %) | T. rubrum | 487 (63%) |
| C. albicans | 202 (26%) | |
| C. non-albicans | 26 (3%) | |
| Rhodotorula | 21 (3%) | |
| S. brevicaulis | 19 (2%) | |
| T. mentagrophytes | 12 (2%) | |
| A. niger | 2 (<1%) | |
| Malassezia | 1 (<1%) | |
| M. canis | 1 (<1%) | |
| Characteristic | Negative in Fingernails (N = 406) | Positive in Fingernails (N = 218) | p Value | Negative in Toenails (N = 1545) | Positive in Toenails (N = 553) | p Value | |
|---|---|---|---|---|---|---|---|
| Age (years; mean [Q1–Q3]) | 40 (27–55) | 50 (32–60) | 0.006 | 45 (32–58) | 49 (34–61) | 0.001 | |
| Sex | female | 283 | 173 | 0.01 | 1113 | 294 | <0.001 |
| male | 123 | 45 | 432 | 259 | |||
| Fingernails—Model 1 | |||
|---|---|---|---|
| Characteristic | OR (95%CI) | p Value | |
| sex | female male | reference 0.52 (0.32–0.86) | 0.01 |
| age (per 1 year) | 1.02 (1.01–1.03) | 0.001 | |
| Fingernails—model 2 | |||
| Characteristic | OR (95%CI) | p Value | |
| sex | female male | reference 0.73 (0.42–1.27) | 0.3 |
| age (dichotomous) | below threshold above threshold | reference 2.21 (1.38–3.54) | <0.001 |
| Toenails—model 1 | |||
| Characteristic | OR (95%CI) | p Value | |
| sex | female male | reference 2.55 (2.01–3.24) | <0.001 |
| age (per 1 year) | 1.01 (1.00–1.02) | 0.001 | |
| Toenails—model 2 | |||
| Characteristic | OR (95%CI) | p Value | |
| sex | female male | reference 2.42 (1.91–3.07) | <0.001 |
| age (dichotomous) | below threshold above threshold | Reference 1.50 (1.19–1.90) | <0.001 |
Disclaimer/Publisher’s Note: The statements, opinions and data contained in all publications are solely those of the individual author(s) and contributor(s) and not of MDPI and/or the editor(s). MDPI and/or the editor(s) disclaim responsibility for any injury to people or property resulting from any ideas, methods, instructions or products referred to in the content. |
© 2025 by the authors. Licensee MDPI, Basel, Switzerland. This article is an open access article distributed under the terms and conditions of the Creative Commons Attribution (CC BY) license (https://creativecommons.org/licenses/by/4.0/).
Share and Cite
Jaworek, A.K.; Hałubiec, P.; Wojas-Pelc, A.; Szepietowski, J.C. Analysis of Causative Factors and Potential Predictors of Onychomycosis: A Retrospective Single-Center Study in Poland. J. Fungi 2025, 11, 131. https://doi.org/10.3390/jof11020131
Jaworek AK, Hałubiec P, Wojas-Pelc A, Szepietowski JC. Analysis of Causative Factors and Potential Predictors of Onychomycosis: A Retrospective Single-Center Study in Poland. Journal of Fungi. 2025; 11(2):131. https://doi.org/10.3390/jof11020131
Chicago/Turabian StyleJaworek, Andrzej K., Przemysław Hałubiec, Anna Wojas-Pelc, and Jacek C. Szepietowski. 2025. "Analysis of Causative Factors and Potential Predictors of Onychomycosis: A Retrospective Single-Center Study in Poland" Journal of Fungi 11, no. 2: 131. https://doi.org/10.3390/jof11020131
APA StyleJaworek, A. K., Hałubiec, P., Wojas-Pelc, A., & Szepietowski, J. C. (2025). Analysis of Causative Factors and Potential Predictors of Onychomycosis: A Retrospective Single-Center Study in Poland. Journal of Fungi, 11(2), 131. https://doi.org/10.3390/jof11020131

