Assessing the Impact of a Novel Trichoderma sp. Strain STP8 on Lettuce Yield and Mineral Content
Abstract
1. Introduction
2. Materials and Methods
2.1. Isolation and Identification of the Trichoderma sp. Strain
2.2. Field Trial
2.3. Mineral Content Determination
2.4. Assessment of Antagonism on Agar Culture Plates
2.5. Statistical Analysis
3. Results
3.1. The Trichoderma sp. Strain Identification
3.2. Lettuce Phenotypic Characteristics
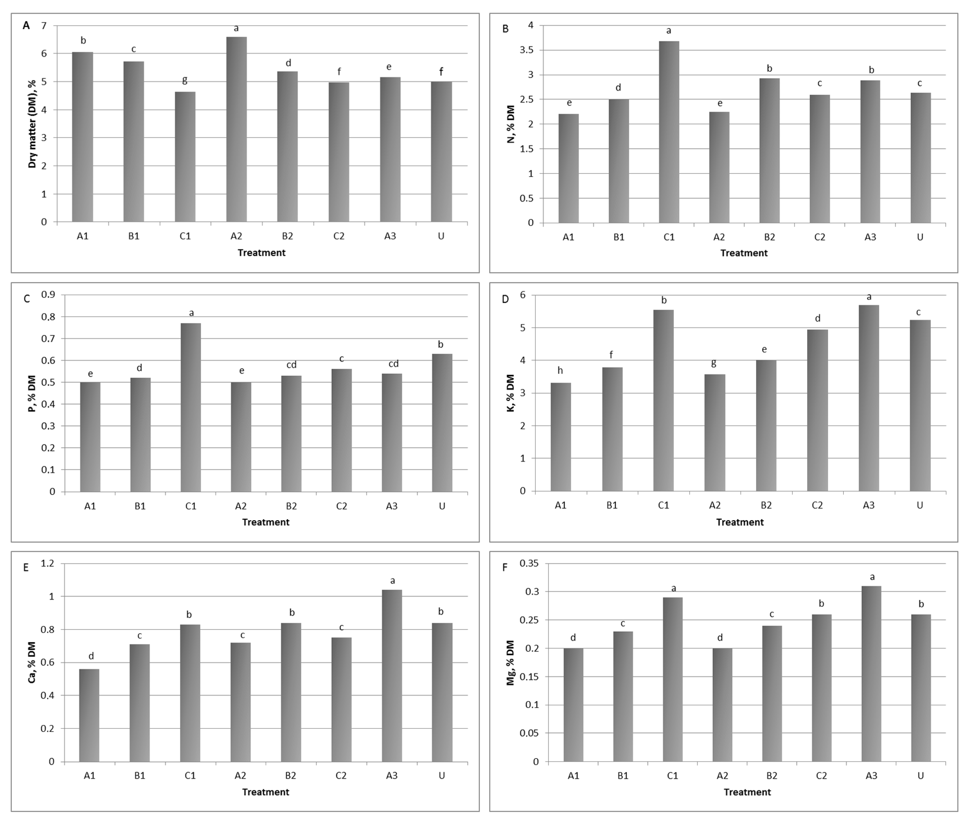
3.3. Lettuce Mineral Content
3.4. Antagonism on Agar Culture Plates
3.5. Limitation Subsection
4. Discussion
5. Conclusions
Author Contributions
Funding
Institutional Review Board Statement
Informed Consent Statement
Data Availability Statement
Acknowledgments
Conflicts of Interest
References
- FAOSTAT Statistics Database. Available online: https://www.fao.org/faostat/en/#home (accessed on 12 May 2025).
- Croatian Bureau of Statistics. PC-Axis Databases: Agriculture, Hunting, Forestry and Fishing. Available online: https://web.dzs.hr/PxWeb/pxweb/en/Poljoprivreda,%20lov,%20%C5%A1umarstvo%20i%20ribarstvo/Poljoprivreda,%20lov,%20%C5%A1umarstvo%20i%20ribarstvo__Biljna%20proizvodnja/BP3_NUTS2021.px/ (accessed on 12 May 2025).
- Kim, M.J.; Moon, Y.; Tou, J.C.; Mou, B.; Waterland, N.L. Nutritional value, bioactive compounds and health benefits of lettuce (Lactuca sativa L.). J. Food Compos. Anal. 2016, 49, 19–34. [Google Scholar] [CrossRef]
- Medina-Lozano, I.; Bertolín, J.R.; Díaz, A. Nutritional value of commercial and traditional lettuce (Lactuca sativa L.) and wild relatives: Vitamin C and anthocyanin content. Food Chem. 2021, 359, 129864. [Google Scholar] [CrossRef] [PubMed]
- Welbaum, G.E. Family Asteraceae. In Vegetable Production and Practices, 1st ed.; Stubbs, R., Davies, L., Hayden, R., Eds.; CABI Publishing: Wallingfort, UK, 2015; pp. 222–239. [Google Scholar]
- Shi, M.; Gu, J.; Wu, H.; Rauf, A.; Emran, T.B.; Khan, Z.; Mitra, S.; Aljohani, A.S.M.; Alhumaydhi, F.A.; Al-Awthan, Y.S.; et al. Phytochemicals, Nutrition, Metabolism, Bioavailability, and Health Benefits in Lettuce—A Comprehensive Review. Antioxidants 2022, 11, 1158. [Google Scholar] [CrossRef] [PubMed]
- Contreras-Cornejo, H.M.; Schmoll, M.; Esquivel-Ayala, B.A.; González-Esquivel, C.E.; Rocha-Ramírez, V.; Larsen, J. Mechanisms for plant growth promotion activated by Trichoderma in natural and managed terrestrial ecosystems. Microbiol. Res. 2024, 281, 127621. [Google Scholar] [CrossRef] [PubMed]
- Topolovec-Pintarić, S. Trichoderma: Invisible partner for visible impact in agriculture. In Trichoderma: The Most Widely Used Fungicide, 1st ed.; Shah, M.M., Sharif, U., Buhari, T.R., Eds.; Intechopen: London, UK, 2019; pp. 15–30. [Google Scholar]
- Tyśkiewicz, R.; Nowak, A.; Ozimek, E.; Jaroszuk-Sciseł, J. Trichoderma: The Current Status of Its Application in Agriculture for the Biocontrol of Fungal Phytopathogens and Stimulation of Plant Growth. Int. J. Mol. Sci. 2022, 23, 2329. [Google Scholar] [CrossRef]
- Kubiak, A.; Wolna-Maruwka, A.; Pilarska, A.A.; Niewiadomska, A.; Piotrowska-Cyplik, A. Fungi of the Trichoderma Genus: Future Perspectives of Benefits in Sustainable Agriculture. Appl. Sci. 2023, 13, 6434. [Google Scholar] [CrossRef]
- Druzhinina, I.S.; Seidl-Seiboth, V.; Herrera-Estrella, A.; Horwitz, B.A.; Kenerley, C.M.; Monte, E.; Mukherjee, P.K.; Zeilinger, S.; Gigoriev, I.V.; Kubicek, C.P. Trichoderma: The genomics of opportunistic success. Nat. Rev. Microbiol. 2011, 9, 749–759. [Google Scholar] [CrossRef]
- Pozo, M.J.; Zabalgogeazcoa, I.; Vazquez de Aldana, B.R.; Martinez-Medina, A. Untapping the potential of plant mycobiomes for applications in agriculture. Curr. Opin. Plant Biol. 2021, 60, 102034. [Google Scholar] [CrossRef]
- Medeiros, H.; Araújo Filho, J.; Freitas, L.; Castillo, P.; Rubio, M.B.; Hermosa, R. Tomato progeny inherit resistance to the nematode Meloidogyne javanica linked to plant growth induced by the biocontrol fungus Trichoderma atroviride. Sci. Rep. 2017, 7, 216. [Google Scholar] [CrossRef]
- Morán-Diez, M.E.; Martínez de Alba, Á.E.; Rubio, M.B.; Hermosa, R.; Monte, E. Trichoderma and the Plant Heritable Priming Responses. J. Fungi 2021, 7, 318. [Google Scholar] [CrossRef]
- Woo, S.L.; Hermosa, R.; Lorito, M.; Monte, E. Trichoderma: A multipurpose, plant- beneficial microorganism for eco-sustainable agriculture. Nat. Rev. Microbiol. 2022, 21, 312–326. [Google Scholar] [CrossRef] [PubMed]
- Sood, M.; Kapoor, D.; Kumar, V.; Sheteiwy, M.S.; Ramakrishnan, M.; Landi, M.; Araniti, F.; Sharma, A. Trichoderma: The “Secrets” of a Multitalented Biocontrol Agent. Plants 2020, 9, 762. [Google Scholar] [CrossRef]
- Harman, G.E. Trichoderma—Not just for biocontrol anymore. Phytoparasitica 2011, 39, 103–108. [Google Scholar] [CrossRef]
- Zin, N.A.; Badaluddin, N.A. Biological functions of Trichoderma spp. for agriculture applications. Ann. Agric. Sci. 2020, 65, 168–178. [Google Scholar] [CrossRef]
- Moreira, V.D.A.; Oliveira, C.E.D.S.; Jalal, A.; Gato, I.M.B.; Oliveira, T.J.S.S.; Boleta, G.H.M.; Giolo, V.M.; Vitoria, L.S.; Tamburi, K.V.; Filho, M.C.M.T. Inoculation with Trichoderma harzianum and Azospirillum brasilense increases nutrition and yield of hydroponic lettuce. Arch. Microbiol. 2022, 204, 440. [Google Scholar] [CrossRef]
- Shabani, E.; Alemzadeh Ansari, N.; Fayezizadeh, M.R.; Caser, M. Can Trichoderma harzianum be used to enhance the yield and nutrient uptake of Lactuca sativa cv “Lollo Rosso” in floating systems? Food Sci. Nut. 2024, 12, 4800–4809. [Google Scholar] [CrossRef]
- Gutiérrez-Chávez, A.; Robles-Hernández, L.; Guerrero, B.I.; González-Franco, A.C.; Medina-Pérez, G.; Acevedo-Barrera, A.A.; Hernández-Huerta, J. Potential of Trichoderma asperellum as a Growth Promoter in Hydroponic Lettuce Cultivated in a Floating-Root System. Plants 2025, 14, 382. [Google Scholar] [CrossRef]
- Patloková, K.; Pokluda, R. Optimization of Plant Nutrition in Aquaponics: The Impact of Trichoderma harzianum and Bacillus mojavensis on Lettuce and Basil Yield and Mineral Status. Plants 2024, 13, 291. [Google Scholar] [CrossRef] [PubMed]
- Martinez, Y.; Ribera, J.; Schwarze, F.W.M.R.; De France, K. Biotechnological development of Trichoderma-based formulations for biological control. App. Microbiol. Biotech. 2023, 107, 5595–5612. [Google Scholar] [CrossRef]
- Yao, X.; Guo, H.; Zhang, K.; Zhao, M.; Ruan, J.; Chen, J. Trichoderma and its role in biological control of plant fungal and nematode disease. Front. Microbiol. 2023, 14, 1160551. [Google Scholar] [CrossRef]
- Kubicek, C.P.; Bissett, J.; Druzhinina, I.; Kullnig-Gradinger, C.; Szakacs, G. Genetic and metabolic diversity of Trichoderma: A case study on Southeast Asian isolates. Fungal Genet. Biol. 2003, 38, 310–319. [Google Scholar] [CrossRef] [PubMed]
- Migheli, Q.; Balmas, V.; Komoñ-Zelazowska, M.; Scherm, B.; Fiori, S.; Kopchinskiy, A.G.; Kubicek, C.P.; Druzhinina, I.S. Soils of a Mediterranean hot spot of biodiversity and endemism (Sardinia, Tyrrhenian Islands) are inhabited by pan-European, invasive species of Hypocrea/Trichoderma. Environ. Microbiol. 2009, 1, 35–46. [Google Scholar] [CrossRef] [PubMed]
- Zachow, C.; Berg, C.; Müller, H.; Meincke, R.; Komon-Zelazowska, M.; Druzhinina, I.S.; Kubicek, C.P.; Berg, G. Fungal diversity in the rhizosphere of endemic plant species of Tenerife (Canary Islands): Relationship to vegetation zones and environmental factors. ISME J. 2009, 3, 79–92. [Google Scholar] [CrossRef] [PubMed]
- Saia, S.; Colla, G.; Raimondi, G.; Di Stasio, E.; Cardarelli, M.; Bonini, P.; De Pascale, S.; Rouphael, Y. An endophytic fungi-based biostimulant modulated lettuce yield, physiological and functional quality responses to both moderate and severe water limitation. Sci. Hort. 2019, 256, 108595. [Google Scholar] [CrossRef]
- Visconti, D.; Fiorentino, N.; Cozzolino, E.; Woo, S.L.; Fagnano, M.; Rouphael, Y. Can Trichoderma-Based Biostimulants Optimize N Use Efficiency and Stimulate Growth of Leafy Vegetables in Greenhouse Intensive Cropping Systems? Agronomy 2020, 10, 121. [Google Scholar] [CrossRef]
- Lima, R.B.; Cabral, C.S.; da Silva, L.R.; de Melo, L.A.M.P.; Muniz, P.H.P.C.; de Mello, S.C.M. Response of Lettuce Cultivars to Inoculation with Trichoderma spp. J. Sci. Res. Rep. 2022, 28, 7–14. Available online: https://www.researchgate.net/publication/359534054 (accessed on 14 December 2023). [CrossRef]
- Senger, M.; Moresco, E.; Henrique Briega, A.; Harakava, R.; Mantovanello Lucon, C.M. The Agronomic efficiency of the inoculant FT10 (Trichoderma asperelloides) on four lettuce varieties. Comun. Sci. 2022, 13, e3750. [Google Scholar] [CrossRef]
- Atero-Calvo, S.; Izquierdo Ramos, M.J.; García-Huertas, C.; Rodríguez-Alcántara, M.; Navarro Morillo, I.; Navarro-León, E. An Evaluation of the Effectivity of the Green Leaves Biostimulant on Lettuce Growth, Nutritional Quality, and Mineral Element Efficiencies under Optimal Growth Conditions. Plants 2024, 13, 917. [Google Scholar] [CrossRef]
- Topolovec-Pintarić, S.; Kovaček, A.M.; Malev, O.; Kušan, I.; Matočec, N.; Pošta, A.; Pole, L.; Mešić, A. Biological Control of Sclerotinia sclerotiorum on Greenhouse Lettuce Using Trichoderma koningiopsis. Agg. Microbiol. Res. 2025, 16, 35. [Google Scholar] [CrossRef]
- Katoh, K.; Misawa, K.; Kuma, K.; Miyata, T. MAFFT: A novel method for rapid multiple sequence alignment based on fast Fourier transform. Nucleic Acids Res. 2002, 30, 3059–3066. [Google Scholar] [CrossRef]
- Katoh, K.; Standley, D.M. MAFFT Multiple Sequence Alignment Software Version 7: Improvements in Performance and Usability. Mol. Biol. Evol. 2013, 30, 772–780. [Google Scholar] [CrossRef] [PubMed]
- Cai, F.; Druzhinina, I.S. In honor of John Bissett: Authoritative guidelines on molecular identification of Trichoderma. Fungal Divers. 2021, 107, 1–69. [Google Scholar] [CrossRef]
- Lefort, V.; Longueville, J.E.; Gascuel, O. SMS: Smart Model Selection in PhyML. Mol. Biol. Evol. 2017, 34, 2422–2424. [Google Scholar] [CrossRef]
- Jaklitsch, W.M.; Põldmaa, K.; Samuels, G.J. Reconsideration of Protocrea (Hypocreales, Hypocreaceae). Mycologia 2008, 10, 962–984. [Google Scholar] [CrossRef]
- Guindon, S.; Dufayard, J.-F.; Lefort, V.; Anisimova, M.; Hordijk, W.; Gascuel, O. New Algorithms and Methods to Estimate Maximum-Likelihood Phylogenies: Assessing the Performance of PhyML 3.0. Syst. Biol. 2010, 59, 307–321. [Google Scholar] [CrossRef]
- Huelsenbeck, J.P.; Ronquist, F. MRBAYES: Bayesian inference of phylogeny. Bioinformatics 2001, 17, 754–755. [Google Scholar] [CrossRef]
- Dodd, S.L.; Lieckfeldt, E.; Samuels, G.J. Hypocrea atroviridis sp. nov., the teleomorph of Trichoderma atroviride. Mycologia 2003, 95, 27–40. [Google Scholar] [CrossRef]
- Jaklitsch, W.M. European species of Hypocrea Part I. The green-spored species. Stud. Mycol. 2009, 63, 1–91. [Google Scholar] [CrossRef] [PubMed]
- Jaklitsch, W.M.; Samuels, G.J.; Ismaiel, A.; Voglmayr, H. Disentangling the Trichoderma viridescens complex. Persoonia-Mol. Phylogeny Evol. Fungi 2013, 31, 112–146. [Google Scholar] [CrossRef]
- Zheng, H.; Qiao, M.; Lv, Y.; Du, X.; Zhang, K.-Q.; Yu, Z. New Species of Trichoderma Isolated as Endophytes and Saprobes from Southwest China. J. Fungi 2021, 7, 467. [Google Scholar] [CrossRef]
- Ding, M.Y.; Chen, W.; Ma, X.C.; Lv, B.W.; Jiang, S.Q.; Yu, Y.N.; Rahimi, M.J.; Gao, R.W.; Zhao, Z.; Cai, F.; et al. Emerging salt marshes as a source of Trichoderma arenarium sp. nov. and other fungal bioeffectors for biosaline agriculture. J. Appl. Microbiol. 2021, 130, 179–195. [Google Scholar] [CrossRef]
- Jaklitsch, W.M.; Voglmayr, H. Biodiversity of Trichoderma (Hypocreaceae) in Southern Europe and Macaronesia. Stud. Mycol. 2015, 80, 1–87. [Google Scholar] [CrossRef]
- Samuels, G.J.; Dodd, S.L.; Lu, B.-S.; Petrini, O.; Schroers, H.-J.; Druzhinina, I.S. The Trichoderma koningii aggregate species. Stud. Mycol. 2006, 56, 67–133. [Google Scholar] [CrossRef] [PubMed]
- Tomah, A.A.; Abd Alamera, I.S.; Li, B.; Zhanga, J.Z. A new species of Trichoderma and gliotoxin role: A new observation in enhancing biocontrol potential of Trichoderma virens against Phytophthora capsici on chili pepper. Biol. Control 2020, 145, 104261. [Google Scholar] [CrossRef]
- Zhao, R.; Chen, K.Y.; Mao, L.J.; Zhang, C.L. Eleven new species of Trichoderma (Hypocreaceae, Hypocreales) from China. Mycology 2024, 16, 180–209. [Google Scholar] [CrossRef]
- Holmes, K.A.; Schroers, H.J.; Thomas, S.E.; Evans, H.C.; Samuels, G.J. Taxonomy and biocontrol potential of a new species of Trichoderma from the Amazon basin of South America. Mycol. Progress. 2004, 3, 199–210. [Google Scholar] [CrossRef]
- Montoya, Q.V.; Meirelles, L.A.; Chaverri, P.; Rodrigues, A. Unraveling Trichoderma species in the attine ant environment: Description of three new taxa. Antonie Leeuwenhoek 2016, 109, 633–651. [Google Scholar] [CrossRef]
- Tyurin, I.V. A new modification of the volumetric method for determining humus using chromic acid. Eurasian Soil. Sci. 1931, 6, 36–47. [Google Scholar]
- Oreshkin, N.G. Extraction of available phosphorus by the Egner-Riehm-Domingo method. Agrokhimiya 1980, 8, 135–138. [Google Scholar]
- Croatian Meteorological and Hydrological Service. Available online: https://meteo.hr/klima_e.php?section=klima_podaci¶m=k1&Grad=zagreb_maksimir (accessed on 10 April 2025).
- AOAC. Official Methods of Analysis of AOAC International, 22nd ed.; Oxford University Press: New York, NY, USA, 2023. [Google Scholar] [CrossRef]
- Shivanand, P.; Taha, H.; Yakop, F.H. Isolation of Fungi from Various Habitats and their Possible Bioremediation. Curr. Sci. 2019, 116, 733–740. [Google Scholar] [CrossRef]
- Porras, M.; Barrau, C.; Santos, B.; Arroyo, F.T.; Blanco, C.; Romero, F. Effects of temperature on in vitro response of Trichoderma strains against strawberry pathogen Rhizoctonia solani Kühn. Plant Prot. Sci. 2002, 38, 620–622. [Google Scholar] [CrossRef]
- Royse, D.J.; Ries, S.M. The influence of fungi isolated from peach twigs on the pathogenicity of Cytospora cincta. Phytopathology 1978, 68, 603–607. [Google Scholar] [CrossRef]
- SAS®/STAT, version 9.4; SAS Institute Inc.: Cary, NC, USA, 2013. Available online: http://documentation.sas.com/doc/en/pgmsascdc/9.4_3.3/statug/titlepage.htm (accessed on 28 March 2025).
- Jambhulkar, P.P.; Singh, B.; Raja, M.; Ismaiel, A.; Lakshman, D.K.; Tomar, M.; Sharma, P. Genetic diversity and antagonistic properties of Trichoderma strains from the crop rhizospheres in southern Rajasthan, India. Sci. Rep. 2024, 14, 8610. [Google Scholar] [CrossRef] [PubMed]
- Cao, Z.J.; Zhao, J.; Liu, Y.; Wang, S.X.; Zheng, S.Y.; Qin, W.T. Diversity of Trichoderma species contaminating substrates of Lentinula edodes in China and their interaction evaluation. Front. Microbiol. 2024, 14, 1288585. [Google Scholar] [CrossRef] [PubMed]
- El Sobky, M.A.; Eissa, R.A.; Abdel Lateif, K.S.; Fahmi, A.I.; El Zanaty, A.M.; Hassan, M.M.; Elsharkawy, M.M. Genetic diversity assessment of Trichoderma spp. isolated from various Egyptian locations using its gene sequencing marker, rep PCR, and their cellulolytic activity. Egypt. J. Biol. Pest Control 2024, 34, 24. [Google Scholar] [CrossRef]
- Vinale, F.; Sivasithamparam, K. Beneficial effects of Trichoderma secondary metabolites on crops. Phytother. Res. 2020, 34, 2835–2842. [Google Scholar] [CrossRef]
- Poštić, D.; Štrbanović, R.; Tabaković, M.; Popović, T.; Ćirić, A.; Banjac, N.; Trkulja, N.; Stanisavljević, R. Germination and the Initial Seedling Growth of Lettuce, Celeriac and Wheat Cultivars after Micronutrient and a Biological Application Pre-Sowing Seed Treatment. Plants 2021, 10, 1913. [Google Scholar] [CrossRef]
- Banjac, N.; Stanisavljević, R.; Dimkić, I.; Velijević, N.; Soković, M.; Cirić, A. Trichoderma harzianum IS005–12 promotes germination, seedling growth and seedborne fungi suppression in Italian ryegrass forage. Plant Soil. Environ. 2021, 67, 130–136. [Google Scholar] [CrossRef]
- Rouphael, Y.; Carillo, P.; Colla, G.; Fiorentino, N.; Sabatino, L.; El-Nakhel, C.; Giordano, M.; Pannico, A.; Cirillo, V.; Shabani, E.; et al. Appraisal of Combined Applications of Trichoderma virens and a Biopolymer-Based Biostimulant on Lettuce Agronomical, Physiological, and Qualitative Properties under Variable N Regimes. Agronomy 2020, 10, 196. [Google Scholar] [CrossRef]
- Fiorentino, N.; Ventorino, V.; Woo, S.L.; Pepe, O.; De Rosa, A.; Gioia, L.; Romano, I.; Lombardi, N.; Napolitano, M.; Colla, G.; et al. Trichoderma-Based Biostimulants Modulate Rhizosphere Microbial Populations and Improve N Uptake Efficiency, Yield, and Nutritional Quality of Leafy Vegetables. Front. Plant Sci. 2018, 9, 743. [Google Scholar] [CrossRef]
- Harman, G.E.; Howell, C.R.; Viterbo, A.; Chet, I.; Lorito, M. Trichoderma species—Opportunistic, avirulent plant symbionts. Nat. Rev. Microbiol. 2004, 2, 43–56. Available online: https://www.nature.com/articles/nrmicro797 (accessed on 14 December 2023). [CrossRef] [PubMed]
- Hoque, M.M.; Ajwa, H.; Othman, M.; Smith, R.; Cahn, M. Yield and postharvest quality of lettuce in response to nitrogen, phosphorus, and potassium fertilizers. HortScience 2010, 45, 1539–1544. Available online: https://journals.ashs.org/view/journals/hortsci/45/10/article-p1539.xml (accessed on 14 December 2023). [CrossRef]
- Simko, L. Genetic variation in response to N, P, or K deprivation in baby leaf lettuce. Horticulturae 2020, 6, 15. [Google Scholar] [CrossRef]
- Inkham, C.; Panjama, K.; Seehanam, P.; Ruamrungsri, S. Effect of nitrogen, potassium and calcium concentrations on growth, yield and nutritional quality of green oak lettuce. Acta Hortic. 2021, 1312, 409–416. Available online: https://stri.cmu.ac.th/rpm2/files/publication/227.pdf (accessed on 14 December 2023). [CrossRef]
- de Lima, D.P.; Pinto Júnior, E.S.; de Menezes, A.V.; de Souza, D.A.; de São José, V.P.B.; da Silva, B.P.; de Almeida, A.Q.; de Carvalho, I.M.M. Chemical composition, minerals concentration, total phenolic compounds, flavonoids content and antioxidant capacity in organic and conventional vegetables. Food Res. Int. 2024, 175, 113684. [Google Scholar] [CrossRef] [PubMed]
- Howell, C.R. Mechanisms Employed by Trichoderma Species in the Biological Control of Plant Diseases: The History and Evolution of Current Concepts. Plant Dis. 2003, 87, 4–10. [Google Scholar] [CrossRef]
- Poveda, J.; Eugui, D. Combined use of Trichoderma and beneficial bacteria (mainly Bacillus and Pseudomonas): Development of microbial synergistic bio-inoculants in sustainable agriculture. Biol. Control 2022, 176, 105100. Available online: https://www.sciencedirect.com/science/article/pii/S1049964422002651 (accessed on 14 December 2023). [CrossRef]
- Sharma, P.; Jambhulkar, P.P.; Raja, M.; Sain, S.K.; Javeria, S. Trichoderma spp. in consortium and their rhizospheric interactions. In Trichoderma: Host Pathogen Interactions and Applications, 1st ed.; Sharma, A.K., Sharma, P., Eds.; Springer: Singapore, 2020; pp. 267–292. [Google Scholar] [CrossRef]


| Species | Reference Culture/Strain/Voucher | rpb2 | tef1 | Reference |
|---|---|---|---|---|
| Protocrea farinosa | TFC 97-168 | EU703941 | EU703896 | [38] |
| Trichoderma koningii | CBS 457.96 T | - | AF456909 | [41] |
| T. koningii | CBS 119500; Hypo 51 | FJ860541 | KC285594 | [42,43] |
| T. amoenum | YMF 1.06209 T | MT052192 | MT070146 | [44] |
| T. arenarium | TUCIM 10301 T | MT242310 | MT242303 | [45] |
| T. caribbaeum | CBS 119093 T; strain G.J.S. 97-3 T | KJ665246 | KJ665443 | [46] |
| T. dingleyae | CBS 119056 T; strain G.J.S. 02-50 T | KJ665257 | KJ665467 | [46,47] |
| T. dorothopsis | HZA5 T | MH647795 | MK850827 | [48] |
| T. hongkuii | T32026 T | OR779477 | OR779504 | [49] |
| T. istrianum | CBS 130539 T; strain S310 T | KJ665281 | KJ665523 | [46] |
| T. koningiopsis | G.J.S. 93-20 T | EU241506 | DQ284966 | [47] |
| T. neohongkuii | YNE00787 T | OR779481 | OR779508 | [49] |
| T. ochroleucum | CBS 119502 T | FJ860556 | FJ860659 | [42] |
| T. ovalisporum | DIS 70a T = CBS 113299 T | FJ442742 | AY376037 | [50] |
| T. parahongkuii | T31356 T | OR779476 | OR779503 | [49] |
| T. sp. STP8 | STP8 | PQ867587 | PQ867588 | [33] |
| T. texanum | LESF 551 T | KT278920 | KT278988 | [51] |
| T. tibetica | YMF 1.05583 T | MK779178 | MK779179 | [44] |
| pH H2O | pH nKCl | Humus, % | Nitrogen, % | mg P2O5·100 g−1 | mg K2O·100 g−1 |
|---|---|---|---|---|---|
| 7.50 | 6.86 | 2.22 | 0.20 | 41.1 | 25.5 |
| Number of Applications | Variant Mark | Application Time |
|---|---|---|
| Trichoderma sp. STP8 applied once | A1 | at seed sowing |
| B1 | at planting of seedlings from untreated seeds | |
| C1 | 26 days after planting (DAP) seedlings from untreated seeds | |
| Trichoderma sp. STP8 applied twice | A2 | at seed sowing and at planting of seedlings |
| B2 | at planting of seedlings (from untreated seeds) and 26 DAP | |
| C2 | at seed sowing and 26 DAP | |
| Trichoderma sp. STP8 applied three times | A3 | at seed sowing, at planting of seedlings, and 26 DAP |
| Trichoderma sp. STP8 application omitted Control | U | untreated plants from natural/untreated seeds |
| Trichoderma parahongkuiiT (OR779476) | Trichoderma hongkuii T (OR779477) | Trichoderma sp. STP8 (PQ867587) | Trichoderma neohongkuii T (OR779481) | |
|---|---|---|---|---|
| Trichoderma parahongkuii T (OR779476) | 99.15 | 99.15 | 99.02 | |
| Trichoderma hongkuii T (OR779477) | 99.15 | 100 | 99.63 | |
| Trichoderma sp. STP8 (PQ867587) | 99.15 | 100 | 99.63 | |
| Trichoderma neohongkuii T (OR779481) | 99.02 | 99.63 | 99.63 |
| Trichoderma parahongkuii T (OR779503) | Trichoderma hongkuii T (OR779504) | Trichoderma neohongkuii T (OR779508) | Trichoderma sp. STP8 (PQ867588) | |
|---|---|---|---|---|
| Trichoderma parahongkuii T (OR779503) | 96.65 | 96.28 | 96.76 | |
| Trichoderma hongkuii T (OR779504) | 96.65 | 95.87 | 96.35 | |
| Trichoderma neohongkuii T (OR779508) | 96.28 | 95.87 | 96.73 | |
| Trichoderma sp. STP8 (PQ867588) | 96.76 | 96.35 | 96.73 |
| Treatment | Head Weight (g) | Head Diameter (cm) | Leaf Length (cm) | Leaf Width (cm) |
|---|---|---|---|---|
| A1 | 530. 6 ab 1 | 30. 3 bc | 21. 4 | 19.5 a |
| B1 | 472. 9 ab | 29. 1 cd | 19. 9 | 17. 9 ab |
| C1 | 378. 2 c | 26. 2 e | 19. 0 | 15. 9 c |
| A2 | 535. 1 ab | 33 a | 21.9 a | 19. 3 a |
| B2 | 567.2 a | 32. 1 ab | 21. 1 | 18. 2 ab |
| C2 | 544. 1 a | 32. 5 a | 21. 2 | 18. 5 ab |
| A3 | 562. 7 a | 34 a | 20. 5 | 19. 1 a |
| U | 394. 3 c | 28. 4 d | 19. 2 | 17. 8 b |
| sD | 24.7 | 0.6 | 0 | 0.6 |
| LSD 5% | 50.58 | 1.30 | n.s. | 1.3 |
| LSD 1% | 68.10 | 1.75 | n.s. | 1.75 |
| No. | Fungus | Average Colony Radius (mm) | ||
|---|---|---|---|---|
| Control 1 | Test 2 | I (%) 3 | ||
| 1. | Alternaria solani | 78 | 16 | 79 |
| 2. | Fusarium culmorum | 22 | 12 | 44 |
| 3. | Fusarium solani | 75 | 19 | 75 |
| 4. | Sclerotinia sclerotiorum | 90 | 21 | 77 |
Disclaimer/Publisher’s Note: The statements, opinions and data contained in all publications are solely those of the individual author(s) and contributor(s) and not of MDPI and/or the editor(s). MDPI and/or the editor(s) disclaim responsibility for any injury to people or property resulting from any ideas, methods, instructions or products referred to in the content. |
© 2025 by the authors. Licensee MDPI, Basel, Switzerland. This article is an open access article distributed under the terms and conditions of the Creative Commons Attribution (CC BY) license (https://creativecommons.org/licenses/by/4.0/).
Share and Cite
Topolovec-Pintarić, S.; Stvorić, M.; Benko, B.; Slunjski, S.; Matočec, N.; Kušan, I. Assessing the Impact of a Novel Trichoderma sp. Strain STP8 on Lettuce Yield and Mineral Content. J. Fungi 2025, 11, 743. https://doi.org/10.3390/jof11100743
Topolovec-Pintarić S, Stvorić M, Benko B, Slunjski S, Matočec N, Kušan I. Assessing the Impact of a Novel Trichoderma sp. Strain STP8 on Lettuce Yield and Mineral Content. Journal of Fungi. 2025; 11(10):743. https://doi.org/10.3390/jof11100743
Chicago/Turabian StyleTopolovec-Pintarić, Snježana, Martina Stvorić, Božidar Benko, Sanja Slunjski, Neven Matočec, and Ivana Kušan. 2025. "Assessing the Impact of a Novel Trichoderma sp. Strain STP8 on Lettuce Yield and Mineral Content" Journal of Fungi 11, no. 10: 743. https://doi.org/10.3390/jof11100743
APA StyleTopolovec-Pintarić, S., Stvorić, M., Benko, B., Slunjski, S., Matočec, N., & Kušan, I. (2025). Assessing the Impact of a Novel Trichoderma sp. Strain STP8 on Lettuce Yield and Mineral Content. Journal of Fungi, 11(10), 743. https://doi.org/10.3390/jof11100743

