Structure and Fungicidal Activity of Secondary Metabolites Isolated from Trichoderma hamatum b-3
Abstract
1. Introduction
2. Materials and Methods
2.1. General Experimental Procedures
2.2. Fungal Material and Fermentation
2.3. Extraction and Isolation
2.4. NMR and ECD Calculation Methods
2.5. Fungicidal Activity Assay of Compounds 1–10 In Vitro
2.6. Fungicidal Activity Assay of Compound 10 In Vivo
3. Results
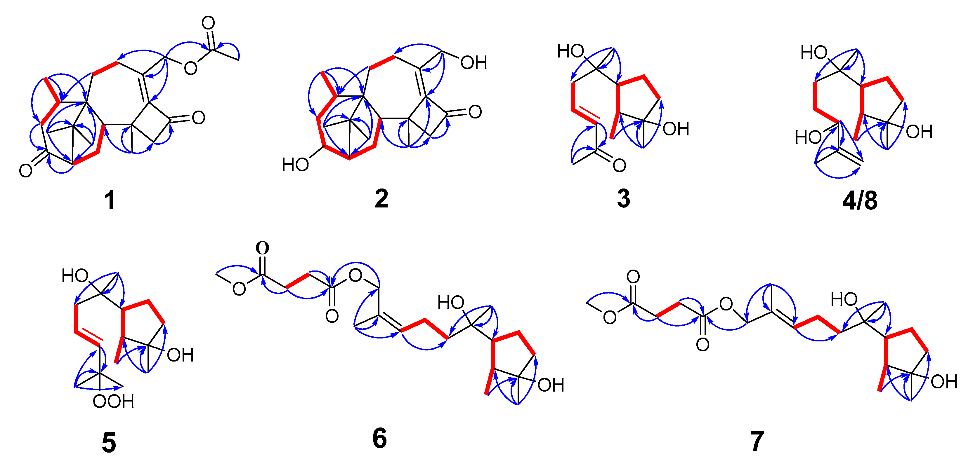
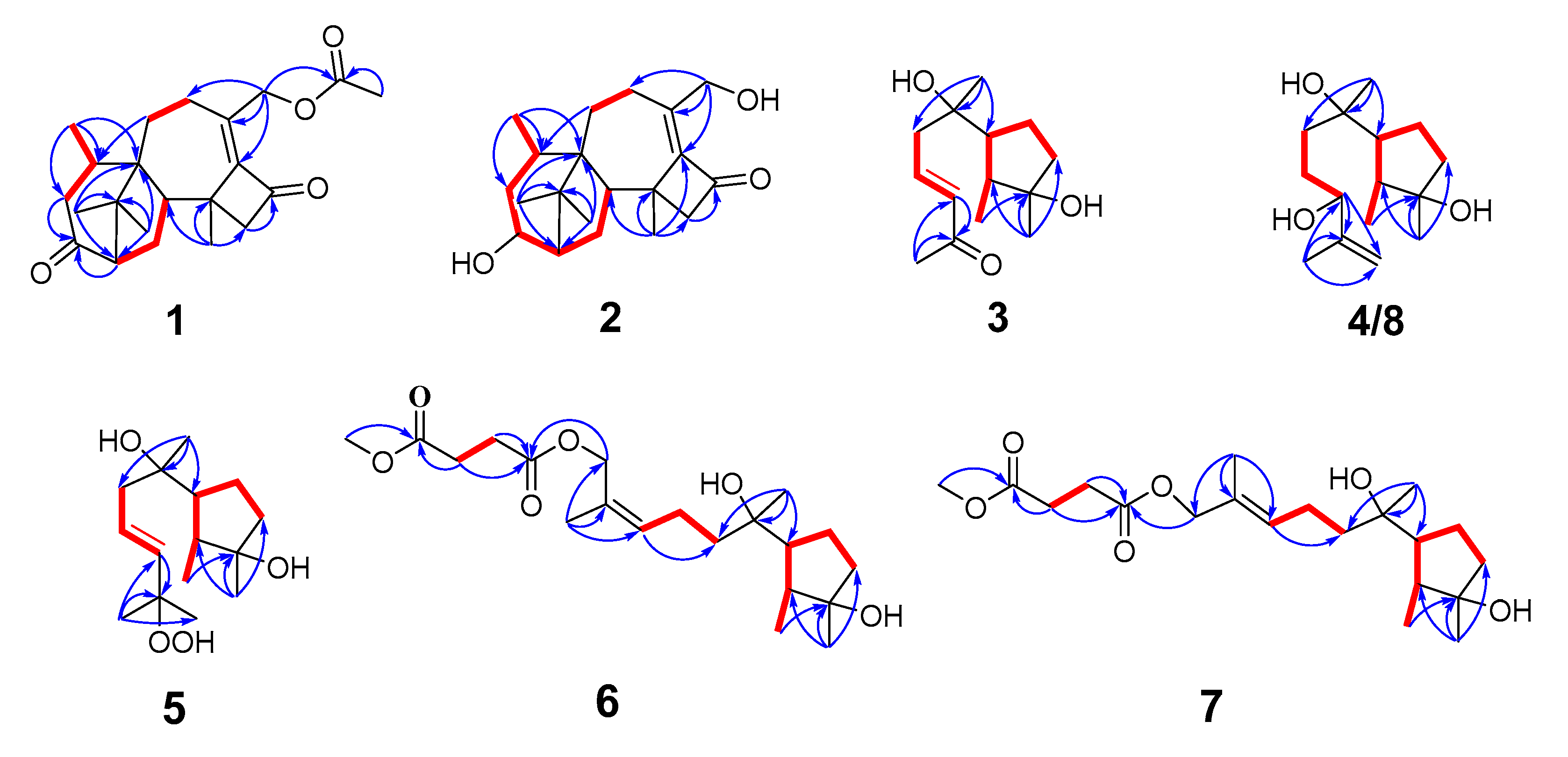
3.1. Structural Identification of Compounds
3.2. Fungicidal Activities of Compounds 1–10 In Vitro
3.3. Fungicidal Activities of Compound 10 In Vivo
4. Discussion
5. Patents
Supplementary Materials
Author Contributions
Funding
Institutional Review Board Statement
Informed Consent Statement
Data Availability Statement
Acknowledgments
Conflicts of Interest
References
- Salazar, B.; Ortiz, A.; Keswani, C.; Minkina, T.; Mandzhieva, S.; Pratap, S.S.; Rekadwad, B.; Borriss, R.; Jain, A.; Singh, H.B.; et al. Bacillus spp. as Bio-factories for Antifungal Secondary Metabolites: Innovation Beyond Whole Organism Formulations. Microb. Ecol. 2023, 86, 1–24. [Google Scholar] [CrossRef]
- Syed Ab Rahman, S.F.; Singh, E.; Pieterse, C.M.J.; Schenk, P.M. Emerging microbial biocontrol strategies for plant pathogens. Plant Sci. 2018, 267, 102–111. [Google Scholar] [CrossRef] [PubMed]
- Saldaña-Mendoza, S.A.; Pacios-Michelena, S.; Palacios-Ponce, A.S.; Chávez-González, M.L.; Aguilar, C.N. Trichoderma as a biological control agent: Mechanisms of action, benefits for crops and development of formulations. World J. Microbiol. Biotechnol. 2023, 39, 269. [Google Scholar] [CrossRef] [PubMed]
- Li, Z.; Jennings, A. Worldwide Regulations of Standard Values of Pesticides for Human Health Risk Control: A Review. Int. J. Environ. Res. Public. Health 2017, 14, 826. [Google Scholar] [CrossRef] [PubMed]
- European Commission. Green Deal: Pioneering Proposals to Restore Europe’s Nature by 2050 and Halve Pesticide Use by 2030. 2022. Available online: https://ec.europa.eu/commission/presscorner/detail/en/ip (accessed on 24 September 2024).
- Raymaekers, K.; Ponet, L.; Holtappels, D.; Berckmans, B.; Cammue, B. Screening for novel biocontrol agents applicable in plant disease management—A review. Biol. Control 2020, 144, 104240. [Google Scholar] [CrossRef]
- Thakur, N.; Kaur, S.; Tomar, P.; Thakur, S.; Yadav, A. Chapter 15—Microbial biopesticides: Current status and advancement for sustainable agriculture and environment. In New and Future Developments in Microbial Biotechnology and Bioengineering; Elsevier: Amsterdam, The Netherlands, 2020; pp. 243–282. [Google Scholar] [CrossRef]
- Zhao, D.; Shen, D.; Fan, H.; Zhu, X.; Wang, Y.; Duan, Y.; Chen, L. Virulent and attenuated strains of Trichoderma citrinoviride mediated resistance and biological control mechanism in tomato. Front. Plant Sci. 2023, 14, 1179605. [Google Scholar] [CrossRef]
- Martinez, Y.; Ribera, J.; Schwarze, F.W.M.R.; De France, K. Biotechnological development of Trichoderma-based formulations for biological control. Appl. Microbiol. Biotechnol. 2023, 107, 5595–5612. [Google Scholar] [CrossRef]
- Tyśkiewicz, R.; Nowak, A.; Ozimek, E.; Jaroszuk-Ściseł, J. Trichoderma: The Current Status of Its Application in Agriculture for the Biocontrol of Fungal Phytopathogens and Stimulation of Plant Growth. Int. J. Mol. Sci. 2022, 23, 2329. [Google Scholar] [CrossRef]
- Yao, X.; Guo, H.; Zhang, K.; Zhao, M.; Ruan, J.; Chen, J. Trichoderma and its role in biological control of plant fungal and nematode disease. Front. Microbiol. 2023, 14, 1160551. [Google Scholar] [CrossRef]
- Bolzonello, A.; Morbiato, L.; Tundo, S.; Sella, L.; Baccelli, I.; Echeverrigaray, S.; Musetti, R.; De Zotti, M.; Favaron, F. Peptide Analogs of a Trichoderma Peptaibol Effectively Control Downy Mildew in the Vineyard. Plant Dis. 2023, 107, 2643–2652. [Google Scholar] [CrossRef]
- El-Hasan, A.; Walker, F.; Klaiber, I.; Schöne, J.P.; Fannstiel, J.; Voegele, R.T. New Approaches to Manage Asian Soybean Rust (Phakopsora pachyrhizi) Using Trichoderma spp. or Their Antifungal Secondary Metabolites. Metabolites 2022, 12, 507. [Google Scholar] [CrossRef] [PubMed]
- Scharf, D.H.; Brakhage, A.A.; Mukherjee, P.K. Gliotoxin--bane or boon? Environ. Microbiol. 2016, 18, 1096–1109. [Google Scholar] [CrossRef] [PubMed]
- Lin, X.; Tang, Z.; Gan, Y.; Li, Z.; Luo, X.; Gao, C.; Zhao, L.; Chai, L.; Liu, Y. 18-Residue Peptaibols Produced by the Sponge-Derived Trichoderma sp. GXIMD 01001. J. Nat. Prod. 2023, 86, 994–1002. [Google Scholar] [CrossRef] [PubMed]
- Torres-Ortega, R.; Guillén-Alonso, H.; Alcalde-Vázquez, R.; Ramírez-Chávez, E.; Molina-Torres, J.; Winkler, R. In Vivo Low-Temperature Plasma Ionization Mass Spectrometry (LTP-MS) Reveals Regulation of 6-Pentyl-2H-Pyran-2-One (6-PP) as a Physiological Variable during Plant-Fungal Interaction. Metabolites 2022, 12, 1231. [Google Scholar] [CrossRef]
- Li, C.P.; Shi, Z.Z.; Fang, S.T.; Song, Y.P.; Ji, N.Y. Lipids and Terpenoids from the Deep-Sea Fungus Trichoderma lixii R22 and Their Antagonism against Two Wheat Pathogens. Molecules 2023, 28, 6220. [Google Scholar] [CrossRef]
- Hu, M.; Li, Q.L.; Yang, Y.B.; Liu, K.; Miao, C.P.; Zhao, L.X.; Ding, Z.T. Koninginins R-S from the endophytic fungus Trichoderma koningiopsis. Nat. Prod. Res. 2017, 31, 835–839. [Google Scholar] [CrossRef]
- Ahluwalia, V.; Kumar, J.; Rana, V.S.; Sati, O.P.; Walia, S. Comparative evaluation of two Trichoderma harzianum strains for major secondary metabolite production and antifungal activity. Nat. Prod. Res. 2015, 29, 914–920. [Google Scholar] [CrossRef]
- Khan, R.A.A.; Najeeb, S.; Hussain, S.; Xie, B.; Li, Y. Bioactive Secondary Metabolites from Trichoderma spp. against Phytopathogenic Fungi. Microorganisms 2020, 8, 817. [Google Scholar] [CrossRef]
- Shi, Z.Z.; Liu, X.H.; Li, X.N.; Ji, N.Y. Antifungal and Antimicroalgal Trichothecene Sesquiterpenes from the Marine Algicolous Fungus Trichoderma brevicompactum A-DL-9-2. J. Agric. Food Chem. 2020, 68, 15440–15448. [Google Scholar] [CrossRef]
- Guo, Q.; Shi, L.; Wang, X.; Li, D.; Yin, Z.; Zhang, J.; Ding, G.; Chen, L. Structures and Biological Activities of Secondary Metabolites from the Trichoderma genus (Covering 2018–2022). J. Agric. Food Chem. 2023, 71, 13612–13632. [Google Scholar] [CrossRef]
- Zeilinger, S.; Gruber, S.; Bansal, R.; Mukherjee, P.K. Secondary metabolism in Trichoderma—Chemistry meets genomics. Fungal Biol. Rev. 2016, 30, 74–90. [Google Scholar] [CrossRef]
- Ju, F.; Kuang, Q.X.; Li, Q.Z.; Huang, L.J.; Guo, W.X.; Gong, L.Q.; Dai, Y.F.; Wang, L.; Gu, Y.C.; Wang, D.; et al. Aureonitol Analogues and Orsellinic Acid Esters Isolated from Chaetomium elatum and Their Antineuroinflammatory Activity. J. Nat. Prod. 2021, 84, 3044–3054. [Google Scholar] [CrossRef] [PubMed]
- Kuang, Q.X.; Luo, Y.; Lei, L.R.; Guo, W.X.; Li, X.A.; Wang, Y.M.; Huo, X.Y.; Liu, M.D.; Zhang, Q.; Feng, D.; et al. Hydroanthraquinones from Nigrospora sphaerica and Their Anti-inflammatory Activity Uncovered by Transcriptome Analysis. J. Nat. Prod. 2022, 85, 1474–1485. [Google Scholar] [CrossRef] [PubMed]
- Hoye, T.R.; Jeffrey, C.S.; Shao, F. Mosher ester analysis for the determination of absolute configuration of stereogenic (chiral) carbinol carbons. Nat. Protoc. 2007, 2, 2451–2458. [Google Scholar] [CrossRef] [PubMed]
- Zou, G.; Yang, W.; Chen, T.; Liu, Z.; Chen, Y.; Li, T.; Said, G.; Sun, B.; Wang, B.; She, Z. Griseofulvin enantiomers and bromine-containing griseofulvin derivatives with antifungal activity produced by the mangrove endophytic fungus Nigrospora sp. QQYB1. Mar. Life Sci. Technol. 2023, 6, 102–114. [Google Scholar] [CrossRef]
- Goto, H.; Osawa, E. An efficient algorithm for searching low-energy conformers of cyclic and acyclic molecules. J. Chem. Soc. Perkin Trans. 1993, 2, 187–198. [Google Scholar] [CrossRef]
- Frisch, M.J.; Trucks, G.W.; Schlegel, H.B.; Scuseria, G.E.; Robb, M.A.; Cheeseman, J.R.; Scalmani, G.; Barone, V.; Petersson, G.A.; Nakatsuji, H.; et al. Gaussian 16, Revision B.01; Gaussian, Inc.: Wallingford, CT, USA, 2016. [Google Scholar]
- Li, Y.H.; Mándi, A.; Li, H.L.; Li, X.M.; Li, X.; Meng, L.H.; Yang, S.Q.; Shi, X.S.; Kurtán, T.; Wang, B.G. Isolation and characterization of three pairs of verrucosidin epimers from the marine sediment-derived fungus Penicillium cyclopium and configuration revision of penicyrone A and related analogues. Mar. Life Sci. Technol. 2023, 5, 223–231. [Google Scholar] [CrossRef] [PubMed]
- Grimblat, N.; Zanardi, M.M.; Sarotti, A.M. Beyond DP4: An Improved Probability for the Stereochemical Assignment of Isomeric Compounds using Quantum Chemical Calculations of NMR Shifts. J. Org. Chem. 2015, 80, 12526–12534. [Google Scholar] [CrossRef]
- Bian, Q.; Zhao, R.Q.; Peng, X.J.; Gao, L.J.; Zhou, G.N.; Yu, S.J.; Zhao, W.G. Design, Synthesis, and Fungicidal Activities of Novel Piperidyl Thiazole Derivatives Containing Oxime Ether or Oxime Ester Moieties. J. Agric. Food Chem. 2021, 69, 3848–3858. [Google Scholar] [CrossRef]
- Song, Y.P.; Liu, X.H.; Shi, Z.Z.; Miao, F.P.; Fang, S.T.; Ji, N.Y. Bisabolane, cyclonerane, and harziane derivatives from the marine-alga-endophytic fungus Trichoderma asperellum cf44-2. Phytochemistry 2018, 152, 45–52. [Google Scholar] [CrossRef]
- González-Menéndez, V.; Pérez-Bonilla, M.; Pérez-Victoria, I.; Martín, J.; Muñoz, F.; Reyes, F.; Tormo, J.R.; Genilloud, O. Multicomponent Analysis of the Differential Induction of Secondary Metabolite Profiles in Fungal Endophytes. Molecules 2016, 21, 234. [Google Scholar] [CrossRef] [PubMed]
- Guo, R.; Li, G.; Zhang, Z.; Peng, X. Structures and Biological Activities of Secondary Metabolites from Trichoderma harzianum. Mar. Drugs 2022, 20, 701. [Google Scholar] [CrossRef] [PubMed]
- Guzmán-Guzmán, P.; Kumar, A.; de los Santos-Villalobos, S.; Parra-Cota, F.I.; Orozco-Mosqueda, M.d.C.; Fadiji, A.E.; Hyder, S.; Babalola, O.O.; Santoyo, G. Trichoderma Species: Our Best Fungal Allies in the Biocontrol of Plant Diseases—A Review. Plants 2023, 12, 432. [Google Scholar] [CrossRef]
- Carrero-Carrón, I.; Trapero-Casas, J.L.; Olivares-García, C.; Monte, E.; Hermosa, R.; Jiménez-Díaz, R.M. Trichoderma asperellum is effective for biocontrol of Verticillium wilt in olive caused by the defoliating pathotype of Verticillium dahliae. Crop Prot. 2016, 88, 45–52. [Google Scholar] [CrossRef]
- Guo, R.; Ji, S.; Wang, Z.; Zhang, H.; Wang, Y.; Liu, Z. Trichoderma asperellum xylanases promote growth and induce resistance in poplar. Microbiol. Res. 2021, 248, 126767. [Google Scholar] [CrossRef]
- Bhardwaj, N.; Kumar, J. Characterization of volatile secondary metabolites from Trichoderma asperellum. J. Appl. Nat. Sci. 2017, 9, 954–959. [Google Scholar] [CrossRef]
- Alfiky, A.; Weisskopf, L. Deciphering Trichoderma-Plant-Pathogen Interactions for Better Development of Biocontrol Applications. J. Fungi 2021, 7, 61. [Google Scholar] [CrossRef]
- Du, F.Y.; Ju, G.L.; Xiao, L.; Zhou, Y.M.; Wu, X. Sesquiterpenes and Cyclodepsipeptides from Marine-Derived Fungus Trichoderma longibrachiatum and Their Antagonistic Activities against Soil-borne Pathogens. Mar. Drugs 2020, 18, 165. [Google Scholar] [CrossRef]
- Song, Y.P.; Fang, S.T.; Miao, F.P.; Yin, X.L.; Ji, N.Y. Diterpenes and Sesquiterpenes from the Marine Algicolous Fungus Trichoderma harzianum X-5. J. Nat. Prod. 2018, 81, 2553–2559. [Google Scholar] [CrossRef]
- Baazeem, A.; Almanea, A.; Manikandan, P.; Alorabi, M.; Vijayaraghavan, P.; Abdel-Hadi, A. In Vitro Antibacterial, Antifungal, Nematocidal and Growth Promoting Activities of Trichoderma hamatum FB10 and Its Secondary Metabolites. J. Fungi 2021, 7, 331. [Google Scholar] [CrossRef]
- Shi, Z.Z.; Fang, S.T.; Miao, F.P.; Yin, X.L.; Ji, N.Y. Trichocarotins A–H and trichocadinin A, nine sesquiterpenes from the marine-alga-epiphytic fungus Trichoderma virens. Bioorg. Chem. 2018, 81, 319–325. [Google Scholar] [CrossRef] [PubMed]
- Grover, A.; Kumar, A.; Tittal, R.K.; Lal, K. Dehydroacetic acid a privileged medicinal scaffold: A concise review. Arch. Pharm. 2023, 357, e2300512. [Google Scholar] [CrossRef] [PubMed]







| Pos. | 1 | 2 | 6 | 7 |
|---|---|---|---|---|
| δC, Type | δC, Type | δC, Type | δC, Type | |
| 1 | 49.7, C | 45.8, C | 14.7, CH3 | 14.7, CH3 |
| 2 | 59.4, CH | 49.6, CH | 44.4, CH | 44.4, CH |
| 3 | 214.2, C | 74.4, CH | 81.4, C | 81.5, C |
| 4 | 42.7, CH2 | 34.3, CH2 | 40.5, CH2 | 40.5, CH2 |
| 5 | 30.1, CH | 28.2, CH | 24.5, CH2 | 24.5, CH2 |
| 6 | 51.8, C | 50.4, C | 54.6, CH | 54.4, CH |
| 7 | 30.3, CH2 | 30.4, CH2 | 74.8, C | 74.9, C |
| 8 | 23.8, CH2 | 24.6, CH2 | 40.5, CH2 | 40.0, CH2 |
| 9 | 141.1, C | 154.0, C | 22.5, CH2 | 22.5, CH2 |
| 10 | 153.0, C | 148.9, C | 131.2, CH | 129.9, CH |
| 11 | 196.5, C | 200.2, C | 129.9, C | 130.2, C |
| 12 | 60.2, CH2 | 58.7, CH2 | 63.6, CH2 | 70.6, CH2 |
| 13 | 40.4, C | 40.4, C | 172.4, C | 172.3, C |
| 14 | 52.9, CH | 51.4, CH | 29.1, CH2 | 29.1, CH2 |
| 15 | 26.7, CH2 | 27.6, CH2 | 29.3, CH2 | 29.3, CH2 |
| 16 | 25.2, CH3 | 26.8, CH3 | 172.9, C | 172.9, C |
| 17 | 23.4, CH3 | 23.6, CH3 | 52.0, CH3 | 52.0, CH3 |
| 18 | 21.1, CH3 | 21.4, CH3 | 26.2, CH3 | 26.2, CH3 |
| 19 | 20.6, CH3 | 21.6, CH3 | 25.0, CH3 | 25.1, CH3 |
| 20 | 63.3, CH2 | 67.3, CH2 | 21.6, CH3 | 21.6, CH3 |
| 21 | 170.9, C | |||
| 22 | 21.0, CH3 |
| Pos. | 1 | 2 | 6 | 7 |
|---|---|---|---|---|
| δH (J in Hz) | δH (J in Hz) | δH (J in Hz) | δH (J in Hz) | |
| 1 | 1.04, d (6.8) | 1.05, d (6.8) | ||
| 2 | 2.29, m | 1.84, dd (8.2, 3.7) | 1.60, m | 1.61, m |
| 3 | 3.98, dd (3.6, 6.6) | |||
| 4a | 2.90, m | 2.42, d (16.9) | 1.68, m | 1.69, m, 1H |
| 4b | 2.09, m | 1.50, d (15.3) | 1.56, m | 1.57, m |
| 5a | 2.90, m | 2.45, m | 1.85, m | 1.86, m |
| 5b | 1.55, m | 1.55, m | ||
| 6 | 1.84, m | 1.85, m | ||
| 7a | 1.97, m | 1.97, m | ||
| 7b | 1.40, m | 1.25, m | ||
| 8a | 2.29, m | 2.40, m | 1.49, m | 1.51, t (8.4) |
| 8b | 2.00, m | |||
| 9a | 2.19, m | 2.12, m | ||
| 9b | 2.12, m | |||
| 10 | 5.41, t (6.7) | 5.47, td (7.2, 1.4) | ||
| 12a | 2.66, d (16.6) | 2.57, d (16.7) | 4.66, d (11.9) | 4.48, s |
| 12b | 2.51, d (16.4) | 2.46, d (16.9) | 4.60, d (11.9) | |
| 14 | 2.52, m | 2.14, dd (11.3, 8.9) | 2.64, m | 2.65, m |
| 15a | 2.05, m | 1.90, m | 2.64, m | 2.65, m |
| 15b | 1.54, m | 1.09, dd (14.0, 9.3) | ||
| 16 | 1.00, s | 0.87, s | ||
| 17 | 1.01, s | 1.33, s | 3.69, s | 3.69, s |
| 18 | 1.13, d (7.2) | 1.18, d (7.6) | 1.26, s | 1.26, s |
| 19 | 1.54, s | 1.51, s | 1.15, s | 1.17, s |
| 20a | 5.12, d (12.8) | 4.40, d (18) | 1.74, d (1.5) | 1.66, d (1.5) |
| 20b | 4.76, d (12.9) | 4.20, d (18.2) | ||
| 22 | 2.10, s |
| Pos. | 3 | 4 | 5 | 8 |
|---|---|---|---|---|
| δC, Type | δC, Type | δC, Type | δC, Type | |
| 1 | 14.6, CH3 | 14.7, CH3 | 14.5, CH3 | 14.6, CH3 |
| 2 | 44.6, CH | 44.5, CH | 44.6, CH | 44.5, CH |
| 3 | 81.4, C | 81.5, C | 81.6, C | 81.4, C |
| 4 | 40.4, CH2 | 40.5, CH2 | 40.4, CH2 | 40.5, CH2 |
| 5 | 24.6, CH2 | 24.5, CH2 | 24.5, CH2 | 24.5, CH2 |
| 6 | 54.9, CH | 54.8, CH | 54.4, CH | 54.8, CH |
| 7 | 75.0, C | 74.7, C | 74.8, C | 74.8, C |
| 8 | 43.8, CH2 | 36.6, CH2 | 43.6, CH2 | 35.8, CH2 |
| 9 | 144.1, CH | 29.4, CH2 | 126.7, CH2 | 29.1, CH2 |
| 10 | 134.2, CH | 76.7, CH | 138.1, CH | 76.0, CH |
| 11 | 198.5, C | 147.7, C | 82.0, C | 147.7, C |
| 12 | 27.2, CH3 | 111.2, CH2 | 24.6, CH3 | 111.0, CH2 |
| 13 | 26.2, CH3 | 26.2, CH3 | 26.1, CH3 | 26.2, CH3 |
| 14 | 25.9, CH3 | 25.2, CH3 | 25.2, CH3 | 25.2, CH3 |
| 15 | 17.8, CH3 | 24.2, CH3 | 18.2, CH3 |
| Pos. | 3 | 4 | 5 | 8 |
|---|---|---|---|---|
| δH (J in Hz) | δH (J in Hz) | δH (J in Hz) | δH (J in Hz) | |
| 1 | 1.06, d (6.8) | 1.05, d 6.7) | 1.04, d (6.7) | 1.04, d (6.9) |
| 2 | 1.62, m | 1.62, m | 1.60, m | 1.59, m |
| 4a | 1.72, m | 1.69, m | 1.68, m | 1.69, m |
| 4b | 1.58, m | 1.57, m | 1.56, m | 1.57, m |
| 5a | 1.91, m | 1.86, m | 1.86, m | 1.87, m |
| 5b | 1.58, m | 1.56, m | 1.57, m | 1.56, m |
| 6 | 1.86, m | 1.86, m | 1.86, m | 1.87, m |
| 8a | 2.45, dd (14.8, 7.6) | 1.60, m | 2.23, m | 1.57, m |
| 8b | 2.36, dd (13.9, 8.2) | 1.48, m | 1.50, m | |
| 9a | 6.88, m | 1.65, m | 5.74, dt (15.0, 7.4) | 1.71, m |
| 9b | 1.61, m | |||
| 10 | 6.13, d (16.0) | 4.05, dd (7.2, 5.3) | 5.63, d (15.8) | 4.09, dd (7.6, 4.6) |
| 12a | 2.27, s | 4.95, s | 1.32, s | 4.97, s |
| 12b | 4.84, s | 4.86, s | ||
| 13 | 1.27, s | 1.26, s | 1.25, s | 1.26, s |
| 14 | 1.19, s | 1.16, s | 1.14, s | 1.16, s |
| 15 | 1.74, s | 1.33, s | 1.72, s |
| Compound | Fungicidal Activities (%) at 50 μg/mL | |||||
|---|---|---|---|---|---|---|
| A.S. | F.G. | P.C. | S.S. | B.C. | R.S. | |
| 1 | 52.2 ± 2.3 | 56.5 ± 4.2 | 45.7 ± 1.5 | 85.9 ± 3.7 | 44.7 ± 5.1 | 19.3 ± 0.6 |
| 2 | 39.1 ± 3.4 | 17.4 ± 1.1 | 21.7 ± 2.6 | 73.1 ± 2.6 | 26.3 ± 2.5 | 46.5 ± 4.5 |
| 3 | 56.5 ± 4.2 | 34.8 ± 2.0 | 42.8 ± 2.5 | 64.1 ± 2.5 | 81.6 ± 3.4 | 28.1 ± 3.4 |
| 4 | 47.8 ± 1.7 | 23.9 ± 1.6 | 32.6 ± 2.4 | 73.1 ± 4.2 | 42.1 ± 2.6 | 15.1 ± 2.3 |
| 5 | 45.8 ± 2.4 | 26.1 ± 2.5 | 23.9 ± 2.2 | 67.9 ± 3.4 | 39.5 ± 4.3 | 19.3 ± 3,6 |
| 6 | 30.4 ± 3.5 | 84.8 ± 3.1 | 26.1 ± 1.1 | 75.6 ± 1.8 | 47.4 ± 2.1 | 17.4 ± 2.1 |
| 7 | 34.8 ± 1.9 | 15.2 ± 1.4 | 35.0 ± 3.1 | 51.3 ± 2.3 | 34.2 ± 1.4 | 14.0 ± 1.5 |
| 8 | 30.4 ± 2.4 | 28.3 ± 2.6 | 37.0 ± 2.2 | 53.8 ± 4.1 | 26.3 ± 2.6 | 51.2 ± 3.9 |
| 9 | 12.5 ± 1.2 | 23.1 ± 3.4 | 9.4 ± 0.6 | 76.1 ± 3.5 | 46.2 ± 3.6 | 59.4 ± 4.3 |
| 10 | 56.3 ± 3.6 | 38.5 ± 3.2 | 28.1 ± 1.8 | 100.0 ± 0.0 | 100.0 ± 0.0 | 82.8 ± 2.5 |
| Preventative Efficiency (%) a | ||
|---|---|---|
| Pathogenic Fungi | Botrytis Cinerea | Sclerotinia Sclerotiorum |
| 10 | 65.8 | 49.1 |
| PC b | 88.6 | 100 |
Disclaimer/Publisher’s Note: The statements, opinions and data contained in all publications are solely those of the individual author(s) and contributor(s) and not of MDPI and/or the editor(s). MDPI and/or the editor(s) disclaim responsibility for any injury to people or property resulting from any ideas, methods, instructions or products referred to in the content. |
© 2024 by the authors. Licensee MDPI, Basel, Switzerland. This article is an open access article distributed under the terms and conditions of the Creative Commons Attribution (CC BY) license (https://creativecommons.org/licenses/by/4.0/).
Share and Cite
Huang, L.; Bian, Q.; Liu, M.; Hu, Y.; Chen, L.; Gu, Y.; Zu, Q.; Wang, G.; Guo, D. Structure and Fungicidal Activity of Secondary Metabolites Isolated from Trichoderma hamatum b-3. J. Fungi 2024, 10, 755. https://doi.org/10.3390/jof10110755
Huang L, Bian Q, Liu M, Hu Y, Chen L, Gu Y, Zu Q, Wang G, Guo D. Structure and Fungicidal Activity of Secondary Metabolites Isolated from Trichoderma hamatum b-3. Journal of Fungi. 2024; 10(11):755. https://doi.org/10.3390/jof10110755
Chicago/Turabian StyleHuang, Li, Qiang Bian, Mengdan Liu, Yiwen Hu, Lijuan Chen, Yucheng Gu, Qiwei Zu, Guangzhi Wang, and Dale Guo. 2024. "Structure and Fungicidal Activity of Secondary Metabolites Isolated from Trichoderma hamatum b-3" Journal of Fungi 10, no. 11: 755. https://doi.org/10.3390/jof10110755
APA StyleHuang, L., Bian, Q., Liu, M., Hu, Y., Chen, L., Gu, Y., Zu, Q., Wang, G., & Guo, D. (2024). Structure and Fungicidal Activity of Secondary Metabolites Isolated from Trichoderma hamatum b-3. Journal of Fungi, 10(11), 755. https://doi.org/10.3390/jof10110755

