Next Article in Journal
The Effects of Bacterial Lipopolysaccharide (LPS) on Turkey Poults: Assessment of Biochemical Parameters and Histopathological Changes
Next Article in Special Issue
Antimicrobial Resistance of Clinical and Commensal Escherichia coli Canine Isolates: Profile Characterization and Comparison of Antimicrobial Susceptibility Results According to Different Guidelines
Previous Article in Journal
Dextran Sulphate Sodium Acute Colitis Rat Model: A Suitable Tool for Advancing Our Understanding of Immune and Microbial Mechanisms in the Pathogenesis of Inflammatory Bowel Disease
Previous Article in Special Issue
Antimicrobial Susceptibility Profiles of Bacteria Commonly Isolated from Farmed Salmonids in Atlantic Canada (2000–2021)
 
 
Font Type:
Arial Georgia Verdana
Font Size:
Aa Aa Aa
Line Spacing:
Column Width:
Background:
Article

Genetic Diversity, Biofilm Formation, and Antibiotic Resistance of Pseudomonas aeruginosa Isolated from Cow, Camel, and Mare with Clinical Endometritis

1
Department of Biotechnology, College of Science, Taif University, Taif 21944, Saudi Arabia
2
Al-Ahsa Veterinary Diagnostic Laboratory, Ministry of Environment, Water and Agriculture, Al-Ahsa 31982, Saudi Arabia
3
Department of Bacteriology, Veterinary Serum and Vaccine Research Institute, Ministry of Agriculture, Cairo 12618, Egypt
4
Department of Theriogenology, Faculty of Veterinary Medicine, Zagazig University, Zagazig 44511, Egypt
5
Department of Biology, College of Science, Taif University, Taif 21944, Saudi Arabia
6
Department of Microbiology, Faculty of Veterinary Medicine, Assiut University, Assiut 71515, Egypt
*
Author to whom correspondence should be addressed.
These authors contributed equally to this work.
Vet. Sci. 2022, 9(5), 239; https://doi.org/10.3390/vetsci9050239
Submission received: 21 March 2022 / Revised: 7 May 2022 / Accepted: 13 May 2022 / Published: 16 May 2022
(This article belongs to the Special Issue Antimicrobial Use and Resistance in Animals)

Abstract

Pseudomonas aeruginosa is a ubiquitous opportunistic bacterium that causes diseases in animals and humans. This study aimed to investigate the genetic diversity, antimicrobial resistance, biofilm formation, and virulence and antibiotic resistance genes of P. aeruginosa isolated from the uterus of cow, camel, and mare with clinical endometritis and their drinking water. Among the 180 uterine swabs and 90 drinking water samples analysed, 54 (20%) P. aeruginosa isolates were recovered. Isolates were identified biochemically to the genus level by the automated Vitek 2 system and genetically by the amplification of the gyrB gene and the sequencing of the 16S rRNA gene. Multilocus sequence typing identified ten different sequence types for the P. aeruginosa isolates. The identification of ST2012 was significantly (p ≤ 0.05) higher than that of ST296, ST308, ST111, and ST241. The isolates exhibited significantly (p ≤ 0.05) increased resistance to piperacillin (77.8%), ciprofloxacin (59.3%), gentamicin (50%), and ceftazidime (38.9%). Eight (14.8%) isolates showed resistance to imipenem; however, none of the isolates showed resistance to colistin. Multidrug resistance (MDR) was observed in 24 isolates (44.4%) with a multiple antibiotic resistance index ranging from 0.44 to 0.77. MDR was identified in 30 (33.3%) isolates. Furthermore, 38.8% and 9.2% of the isolates exhibited a positive extended-spectrum-β-lactamase (ESBL) and metallo-β-lactamase (MBL) phenotype, respectively. The most prevalent β-lactamase encoding genes were blaTEM and blaCTX-M, however, the blaIPM gene was not detected in any of the isolates. Biofilm formation was observed in 49 (90.7%) isolates classified as: 11.1% weak biofilm producers; 38.9% moderate biofilm producers; 40.7% strong biofilm producers. A positive correlation was observed between the MAR index and biofilm formation. In conclusion, the results highlighted that farm animals with clinical endometritis could act as a reservoir for MDR and virulent P. aeruginosa. The emergence of ESBLs and MBLs producing P. aeruginosa in different farm animals is a public health concern. Therefore, surveillance programs to monitor and control MDR P. aeruginosa in animals are required.

1. Introduction

Pseudomonas aeruginosa is an opportunistic Gram-negative motile bacterium. Because of its remarkable metabolic plasticity, P. aeruginosa is ubiquitously distributed in many ecological niches including soil, water, hospital environments, and animal ecosystems [1,2,3,4]. P. aeruginosa has been linked to a wide range of life-threatening infections, particularly in immunocompromised people. It has been of significant relevance since it is the primary cause of morbidity and death in people with cystic fibrosis and is one of the most common nosocomial bacteria infecting hospitalised people [5,6]. The impact of P. aeruginosa is not only restricted on human health but also extends to animal production [7].
Animal production is influenced by reproductive diseases that reduce fertility [8,9]. Endometritis and metritis are the most prevalent reproductive disease of cattle [10], camel [11], and mare [12], causing a reduction in total milk yield [11,13,14]. Bacterial infection is the common cause of uterine inflammation, which can occur during or shortly after parturition, coitus, or artificial insemination. Various pathogenic bacteria have been associated with animal reproductive tract infection including Streptococcus spp., Staphylococcus spp., Escherichia coli, Clostridium spp., Fusobacterium necrophorum, P. aeruginosa, Bacillus spp., and Corynebacterium spp. [15,16,17]. P. aeruginosa causes reproductive tract infection in cattle, equine, and camel [12,15,18], in addition to mastitis [19] and cystitis [20] in livestock. In companion animals, P. aeruginosa causes urinary tract infection [21], otitis [22], and pyoderma [23].
Animal reproductive tract infection is commonly treated with an intrauterine infusion or the systemic administration of antibiotics. However, the improper use of antimicrobials leads to antibiotic resistance, which endangers both human and animal health [9]. P. aeruginosa currently displays resistance to various antibiotics including β-lactams, quinolones, and aminoglycosides [24]. The World Health Organisation has listed P. aeruginosa as a critical pathogen in the research and development of new antibiotics [25].
Antimicrobial resistance in P. aeruginosa is attributed to three major types of mechanisms: intrinsic, acquired, and adaptive resistance. The intrinsic antimicrobial resistance of P. aeruginosa is due to the expression of efflux pumps, low outer membrane permeability, and the production of antibiotic-inactivating enzymes [26]. The acquired resistance can be established by the horizontal transfer of variable resistance genes including β-lactamases, metallo-β-lactamases, and aminoglycoside resistance genes [27,28,29,30]. However, the adaptive resistance of P. aeruginosa involves the formation of biofilm [31].
Biofilms are dense bacterial populations adhered to a solid surface and encased in an exopolysaccharide matrix. Bacterial cells grown in biofilms are more resistant to antimicrobial agents and phagocytosis than planktonic bacteria [32]. Biofilm formation in P. aeruginosa is mainly regulated by the quorum-sensing system (QS), a cell-to-cell signalling that regulates gene expression in response to changes in cell population density [33]. Three QS systems, LasI-LasR, RhlI-RhlR, and PQS-MvfR, were identified in P. aeruginosa to all generate autoinducers, which diffuse into bacterial and host cells, leading to transcriptional regulation that promotes bacterial survival and reduces the immune response to infection [34,35,36,37,38].
Drinking water quality and the drinking water system significantly impact the livestock’s general health and performance [39]. Waterborne pathogens can cause a potential risk for human and animal health [40]. The number of microorganisms in water can be increased when conditions are favourable or when they possess the ability to form biofilm. E. coli, Enterococcus spp., Pseudomonas spp., and Salmonella spp. are the most frequent biofilm-producing bacteria isolated from animal drinking water [41,42,43].
Several molecular typing methods have been used to type P. aeruginosa strains such as PCR-based fingerprinting [44,45], pulsed-field gel electrophoresis [46], and the multilocus sequence typing (MLST) scheme, which are based on differences in the sequences of seven housekeeping genes [37].
In the last few decades, the resistance of P. aeruginosa to antimicrobial agents has grown in Saudi Arabia with an increasing prevalence of extended-spectrum β-lactamase and metallo-β-lactamase producers in both the nosocomial and community [47,48,49,50,51,52]. However, the published literature describing the prevalence of P. aeruginosa in animals remains scarce.
The One Health approach has gained worldwide recognition as a valuable way to address critical public health issues including the problem of antimicrobial drug resistance at the human–animal–environment interface. Therefore, the main goals of this study were: (1) To investigate the prevalence of P. aeruginosa in different animal species with endometritis and their environment in the eastern province, Saudi Arabia; (2) To analyse the genetic heterogeneity of the isolates by MLST; (3) To determine the phenotypic antibiotic susceptibility, biofilm formation profiles, the molecular identification of virulence, and the antibiotic resistance genes in the isolates.

2. Materials and Methods

2.1. Animals

The study was conducted from May 2020 to February 2021 in the Eastern Province, Saudi Arabia. A total of 180 pluriparus animals (cow, n = 70, aged 3–7 years; camel, n = 60, aged 7–13 years; mares, n = 50, aged 5–9 years) that belonged to 90 small farms (30 farms/animal species) that had suffered from repeat breeder syndrome were selected. All animals exhibited clinical endometritis based on the clinical investigation criteria described by Refaat et al. and LeBlanc et al. [53,54]. The production system is seminomadic for camels and intensive for cow and mare. None of the animals received antibiotic treatment before sampling.

2.2. Samples

Before sampling, the external genitalia were cleaned with warm water and soap, disinfected with 0.1% iodopovidone, and dried with a clean towel. The uterine swabs were collected by passing a sterile double-guarded uterine culture swab (Minitüb, Tiefenbach, Germany) through the cervix, guided by a gloved arm, rotated to the right and left over the uterine wall. Afterward, the swab was retracted into the protecting tube and removed from the animal. Swabs were then broken into sterile 2 mL microfuge tubes containing 1% peptone water (Oxoid, Basingstoke, UK).
A total of 90 drinking water samples were collected in sterile plastic bottles from cattle farms (n = 30), camel herds (n = 30), and equine stables (n = 30). All samples were labelled and transported to the lab in the icebox for bacteriological examination.

2.3. Bacterial Isolation

The microfuge tubes and water samples were gently vortexed and an aliquot of 10 μL was streaked onto pseudomonas cetrimide agar (PCA) and brain heart infusion (BHI) agar (Oxoid, Basingstoke, UK) and incubated aerobically at 37 °C for 24 h. Growths were examined for colony morphology, Gram staining, and the oxidase test. Gram-negative isolates that were oxidase-positive were subjected to further biochemical identification by the Vitek 2 compact system using GN identification cards (BioMérieux, Marcy L’Etoile, France).

2.4. Molecular Conformation of the Isolates

For the isolation and purification of the total genomic DNA, the QIAamp DNA Mini-kit (Qiagen SA, Courtaboeuf, Les Ulis, France) was used according to the manufacturer’s instructions. Purified DNA was amplified by real-time PCR for the detection of gyrB genes, according to Hosu et al. [55]. For the amplification of the 16S rRNA gene, the primers 27F (5′-AGAGTTTGATCCTGGCTCAG-3′) and 1492R (5′-TACGGYTACCTTGTTACGACTT-3′) were used according to Weisburg et al. [56]. The PCR products were purified (QIAquick PCR Purification Kit, Qiagen, Les Ulis, France) and sequenced using an ABI 3500 Genetic analyser (Applied Biosystems, Bedford, MA, USA). Sequences were subjected to analysis through the National Centre for Biological Information (NCBI) Basic Local Alignment Search Tool (https://blast.ncbi.nlm.nih.gov/Blast.cgi, accessed on 10 January 2022).

2.5. Molecular Typing

To determine the sequence types (STs) among the isolates, seven house-keeping genes (acsA, aroE, guaA, mutL, nuoD, ppsA, and trpE) were amplified and sequenced according to the methods of Curran et al. [37]. STs were obtained by comparing the sequence with the reference P. aeruginosa MLST database (https://pubmlst.org/organisms/pseudomonas-aeruginosa) (accessed on 10 January 2022). Alignment and phylogenetic reconstructions for the concatenated sequences of the seven housekeeping genes were performed using MEGA (version 11) software.

2.6. Antimicrobial Susceptibility Testing

Nine antimicrobials that are commonly used to treat P. aeruginosa were selected for P. aeruginosa antimicrobial sensitivity testing including piperacillin (PIP), piperacillin-tazobactam (TZP), amikacin (AMK), ceftazidime (CAZ), aztreonam (ATM), imipenem (IPM), colistin (CST), gentamicin (GEN), and ciprofloxacin (CIP). The minimum inhibitory concentration (MIC) for each antimicrobial was determined by the double-fold dilution of antimicrobials (0.25–512 μg/mL) in cation-adjusted Mueller–Hinton broth (CAMHB) (Becton, Dickinson and Company (BD), Baltimore, MD, USA) according to the standards and guidelines of CLSI 2021 [57]. The dilution was performed in sterile 96-well flat microplates (50 µL of 2X antimicrobial/well). Then, 50 µL from fresh cultures (equivalent to 0.5 McFarland turbidity) were transferred to the individual wells of microplates. MIC was calculated as the lowest antimicrobial concentration that inhibits bacterial growth after aerobic incubation at 35 °C for 20 h. MDR was considered when isolates were resistant to three or more different antimicrobial classes [58]. The multiple antibiotic resistance (MAR) index was calculated for all isolates using the methodology of Krumperman et al. [59]. MIC50 and MIC90 were calculated according to Schwarz et al. [60].

2.7. Phenotypic Detection of ESBLs and MBLs

The double-disk synergy test (DDST) previously described by Jarlier et al. [61] was used for the phenotypic detection of ESBLs. A 0.5 McFarland standard suspension was prepared from the fresh inoculum of ceftazidime resistance (MIC > 8 mg/L) P. aeruginosa isolates then spread over the surface of Mueller–Hinton agar (Oxoid, Basingstoke, UK) plate. Discs of cefepime, cefotaxime, and aztreonam (30 μg each) were placed on Mueller–Hinton agar plates at a distance of 20 mm (centre to centre) from a disc containing amoxicillin/clavulanate (20/10 μg). The plates were then incubated at 37 °C for 18 h. ESBL production was considered if the zone diameter of the β-lactams was enlarged in the presence of clavulanate. The isolates that showed resistance to imipenem (MIC > 8 mg/L) were screened for MBL activity according to the methods of Giakkoupi et al. [62].

2.8. Detection of Selected Resistance Genes

The QIAGEN Plasmid Kits (Qiagen SA, Courtaboeuf, France) was used for the isolation and purification of the plasmid DNA according to the manufacturer’s instructions. The plasmid DNA was amplified for the detection of the blaTEM, blaSHV, blaCTX-M, blaIPM, and blaVIM genes according to Hosu et al. [55] in the LightCycler 2.0 instrument (Roche Applied Science, Penzberg, Germany). A total volume of 20 µL, containing 10 µL oasis PLUS 2X qPCR Master Mix (Primerdesign Ltd. Camberley, UK), two μL of primers (0.5 mM for each forward and reverse), two μL of the probe, and 50 ng of the DNA template was subjected to 95 °C for 10 min as an initial denaturation, followed by 40 cycles of denaturation at 95 °C for 15 s, and an annealing step at 60 °C for 30 s. Primers and protocols previously described were used for the sequencing of blaCTX-M [63,64]. All primer sequences are presented in Supplementary Materials Table S1.

2.9. Biofilm Formation

Bacterial biofilm production was determined by the microtiter plate method previously described by Stepanovic et al. [65]. Bacterial isolates were inoculated in BHI broth supplemented with sucrose (50 g/L) and then incubated overnight at 37 °C. The culture density from each isolate was adjusted to be approximately equivalent to 0.5 McFarland standard; 200 µL of the bacterial suspensions was transferred sterile 96-well polystyrene microtiter plates (Sigma-Aldrich, Saint Louis, MO, USA). A sterile BHI broth without bacteria and P. aeruginosa strain PA01 were used as the test controls. After incubation at 37 °C for 48 h, the plates were washed with sterile phosphate-buffered solution, left to air-dry, then stained with 2% crystal violet for 30 min. The plates were washed with sterile deionised water and air-dried, then 150 µL of absolute ethanol was added to each well. The optical density (OD) was measured at 570 nm in a plate reader (BioTek-800 ST, Shoreline, WA, USA). The experiment was performed in triplicate on three different days. Isolates were categorised into four groups (negative, weak, moderate, and strong biofilm producers) according to Stepanovic et al. [65].

2.10. Molecular Detection of Selected Virulence Factors and Quorum-Sensing (QS) Genes

Real-time PCR was performed to detect the following virulence genes: lasB, toxA, lasR, and rhlR according to the methods of Golpayegani et al. [66]. PCR was performed in a total volume of 20 µL, containing 10 µL oasig PLUS 2X qPCR Master Mix (Primerdesign Ltd. UK),1 µL (0.1 µM) of each primer and probe, and 50 ng of the DNA template. The thermal cycling was carried out in a LightCycler 2.0 instrument (Roche Applied Science, Penzberg, Germany) at 95 °C for 10 min as an initial denaturation, followed by 40 cycles of denaturation at 95 °C for 15 s, and an annealing step at 60 °C for 30 s.

2.11. Statistical Analysis

The Spearman’s rank correlation test and Fisher’s exact test or Chi-square test were used for the statistical analyses of the data (Prism 8 GraphPad Software, San Diego, CA, USA).

3. Results

3.1. Bacterial Isolation and Identification

A total of 180 uterine swabs and 90 water samples were processed for the presence of P. aeruginosa. Among the total samples, 54 P. aeruginosa isolates were recovered, with 17 isolates (31.5%) from camel, 15 isolates (27.8%) from cows, 12 isolates (22.2%) from mares, and 10 isolates (18.5%) from animal drinking water (Table 1).
All isolates were identified biochemically to the genus level by the automated Vitek 2 system with probability numbers >90%. Genetically, the gyrB gene was detected in all isolates and the sequences of the 16S rRNA gene showed >98% similarity to the existing P. aeruginosa database in GenBank. All sequences were deposited in the NCBI sequences database with GenBank accession numbers (OM943021–OM943074). There was no significant variation in the isolation frequencies across animal species or water samples (p > 0.05).

3.2. Molecular Typing

A total of ten different STs were assigned to the 54 P. aeruginosa isolates. The allelic profiles and STs are shown in Table 2 regarding the isolation source. The identification of ST2012 was significantly (p ≤ 0.05) higher than that of ST296, ST308, ST111, and ST241. The most commonly identified sequence type was ST2012 (10 isolates), followed by ST258, ST316 (eight isolates), ST357 (seven isolates), and ST274 (six isolates). ST296 and ST446 were not identified among the cow and camel isolates, respectively. On the other hand, three sequence types (ST111, ST308, and ST357) were not identified among the mare isolates. ST111, ST258, and ST2012 were identified in isolates recovered from camels and their drinking water while ST274 and ST357 were identified among the isolates recovered from cows and their drinking water. Three sequence types (ST316, ST446, and ST2012) were identified in isolates recovered from mares and their drinking water. ST2012 was identified in the drinking water of both camels and mares. To clarify the phylogenetic relationship between the isolates, the concatenated sequences of the seven housekeeping genes were used to construct a phylogenetic tree. The neighbour-joining (NJ) method was used to construct the tree with the distance calculated by the Kimura 2-parameter model. Fifty-six sequences were used including all isolates and two reference strains (P. aeruginosa NC 011660 and PNZ LKAE 0100023), as shown in Figure 1. eBURST analysis (https://pubmlst.org/organisms/pseudomonas-aeruginosa) (accessed on 10 January 2022) revealed that all sequence types were singletons. The goeBURST distance for the 10 ST constructed by PHYLOViZ version 2.0 is illustrated in Figure 2.

3.3. Antimicrobial Susceptibility

The results presented in Table 3 show the antimicrobial resistance of the 54 P. aeruginosa from different animal species and water. Overall, the highest resistance was against piperacillin (77.8%), ciprofloxacin (59.3%), gentamicin (50.0%), and ceftazidime (38.9%). Eight (14.8%) isolates showed resistance to imipenem, however, none of the isolates showed resistance to colistin. The number of resistant P. aeruginosa isolates from cow, camel, mare, and their drinking water are presented in Table 3. The MIC range, MIC50 and MIC90 for each antimicrobial are shown in Supplementary Materials Table S2.
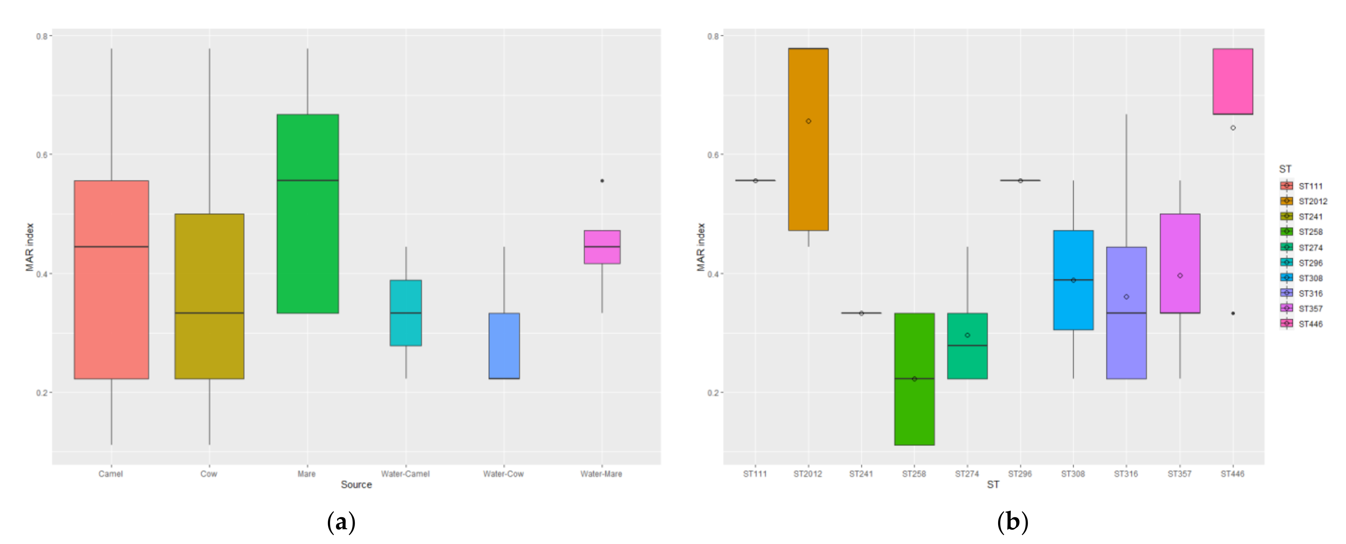
All P. aeruginosa isolates exhibited resistance to at least one of the tested antimicrobials. Table 4 shows the resistance profiles of the 54 P. aeruginosa isolates from different animal species. Three isolates (5.5%) were resistant to four antimicrobials, 10 (18.51%) showed resistance to five antimicrobials, three (5.5%) were resistant to six antimicrobials, and eight (14.81%) to seven antimicrobials. The MDR was observed in 24 isolates (44.44%) with a MAR index ranging from 0.44 to 0.77. No significant pairwise correlation (p = 0.33) was detected for STs versus the MAR index. Figure 3 shows the mean MAR index values for the P. aeruginosa isolates regarding the source of isolation and sequence types.

3.4. Phenotypic and Genotypic Detection of ESBLs and MBLs

ESBL-type enzyme production was detected in 21 out of 54 isolates (38.9%) in the DDST phenotypic assays. All ESBL producers were MDR with a MAR index ranging from 0.44 to 0.7. MBL production was found in five (62.5%) out of eight imipenem-resistant isolates. Of the 54 P. aeruginosa isolates, 21 were screened by real-time PCR for the detection of ESBL and MBL encoding genes. The results revealed that ESBL-genotypic resistant strains were positive for blaTEM (90.47%), blaCTX-M (66.6%), and blaSHV (42.8%). MBL-genotypic resistance, blaIPM, was not detected in all tested isolates while only the blaVIM was detected in seven isolates. Eight isolates showed the co-existence of ESBL and MBL genes. The different ESBL genotype combinations among the P. aeruginosa are presented in Table 5. Sequence analysis of the 12 blaCTX-M identified the CTX-M group1 β-lactamase; eight and six of them showed >98% similarity to the existing CTX-M15 and CTX-M1 database in GenBank, respectively. Sequences were deposited in the NCBI sequences database with GenBank accession numbers (ON185569–ON185574).

3.5. Biofilm Formation

Biofilm phenotypes accounted for 90.7% (49/54) and were classified as follows: 11.1% (6/54) weak biofilm producers; 38.9% (21/54) moderate biofilm producers; 40.7% (22/54) strong biofilm producers. Figure 4 shows the distribution of the P. aeruginosa biofilm categories regarding the source of isolation and the sequence types. A significant pairwise correlation (p < 0.001) was determined for the MAR index versus biofilm formation (r = 0.731). No significant differences were found in the biofilm-forming OD in relation to the source of samples or the sequence types of the isolates (Figure 5).

3.6. Molecular Detection of Selected Virulence Factors and Quorum-Sensing (QS) Genes

The results of the real-time PCR revealed the amplification of virulence genes; the elastase (lasB) gene, exotoxin A (toxA) gene, and the QS genes (lasR and rhlR genes) in all P. aeruginosa isolates.

4. Discussion

In a global context, the “One Health” concept integrates molecular epidemiological aspects that add to the understanding of the evolution or genetic-relatedness of antimicrobial resistance in pathogens, the host (human/animal), and the associated ecosystem on a global scale.
In this work, P. aeruginosa isolates were detected in 44 of the 180 uterine swab samples (24.4%) from animals with endometritis, which is consistent with the results of several other previous studies [12,15,18,67]. P. aeruginosa is commonly recognised as a cause of endometritis in animals and is regarded as a venereal-transmitted pathogen [68,69].
Ten P. aeruginosa isolates were recovered from the drinking water of the animals. The drinking water of livestock could be contaminated with various bacteria including P. aeruginosa, which could infect large numbers of animals during a relatively brief period [41,70,71,72].
MLST represents an outstanding tool for global and long-term epidemiological studies. In this work, the ten STs were classified as singleton STs and no clonal complex (CC) could be obtained after eBURST analysis. This may suggest a high genetic diversity of P. aeruginosa isolated from the uterine infection of animals. Seven STs were identified from both animals and their drinking water, which may indicate that animals with clinical uterine infection are the source of water contamination at the farm.
Among the 10 STs reported in this work, five STs (ST111, ST274, ST308, ST357, and ST446) were reported as P. aeruginosa high risk clones [73]. These STs are founders for the clonal complexes CC111, CC274, CC308, CC357, and CC446 [73].
The most common STs in the current work (ST2012, ST258, ST357, and ST274) have previously been identified in Saudi Arabia and the Gulf region [74,75]. The identified STs in this study are internationally widespread clones associated with human outbreaks and sometimes with multidrug resistance phenotypes [76,77,78,79]. However, studies on the MLST of P. aeruginosa from animals are scarce.
For the treatment of metritis, antibiotics are given by the intrauterine route, systemically, or both [80,81]. Each use of an antimicrobial drug is inherently associated with the selective pressure on the resistant bacterial population, which stresses the importance of their prudent use [82,83].
In this work, a variable resistance to β-lactams was observed among the P. aeruginosa isolates. A high proportion of resistance to piperacillin (77.8%), and piperacillin/tazobactam (59%) was observed among the P. aeruginosa isolates, which is consistent with previous studies [84,85,86]. P. aeruginosa possesses a naturally-occurring AmpC β-lactamase that is not inhibited by the currently available lactam inhibitors, clavulanic acid, sulbactam, and tazobactam, and therefore confers resistance to antibiotic combinations [87,88]. Several earlier studies have reported high proportions of P. aeruginosa resistance to ceftazidime and aztreonam [84,89,90,91]. This is consistent with the 39% resistance observed in this study.
Carbapenems are critically-important antibiotics, restricted to human use [92]. In this work, 14.8% (8/54) of the isolates showed a resistance to imipenem; this is inconsistent with the results of previous studies [93,94,95]. The occurrence of carbapenem-resistant bacteria was reported in veterinary medicine [84,90,96,97,98]. Moreover, the circulation of carbapenem-resistant bacteria between humans, animals, and the environment was also reported [99,100,101,102].
Acquired β-lactamases in P. aeruginosa have recently been reported including the ESBL enzymes that are able to hydrolyse a wider range of β-lactams [103]. In this study, the most prevalent β-lactamase encoding genes were blaTEM, blaSHV, blaCTX-M; this is inconsistent with previous reports [55,104,105]. The blaCTX-M genes were classified as CTX-M group I with a 98% similarity with the CTX-M-15 and CTX-M-1 genes. The CTX-M group 1 variants (CTX-M-1 and CTX-M-15) have previously been identified in Saudi Arabia [106,107]. CTX-M group I is responsible for hydrolysing the broad-spectrum cephalosporins and aztreonam, and also confers resistance to penicillins [103,108]. The blaIPM gene was not detected by PCR in this study, whereas the blaVIM gene was identified in seven isolates, inconsistent with previous studies [49,109,110,111,112] and in contrast to Ejikeugwu et al. [113], who identified only blaIPM among their isolates. These discrepancies may be due to the variations in the geographic locations, antibiotic use, and antibiotic stewardship practices.
MDR was frequently detected among the isolated P. aeruginosa in this study. The emergence of MDR P. aeruginosa has also been reported worldwide [114,115,116].
In the absence of new anti-pseudomonal drugs, clinicians have had to resort to older antimicrobials such as colistin for the treatment of MDR resistant isolates [117,118]. In this work, none of the isolates showed a resistance to colistin. Colistin-resistant P. aeruginosa is uncommon and is rarely MDR [119]. However, nephrotoxicity and neurotoxicity are the most-common potential toxicities with the parenteral administration of colistin and is mainly used as salvage therapy in the treatment of often life-threatening infections due to the MDR of P. aeruginosa [117,119].
One of the most important features of microbial biofilms is that the bacteria are able to survive antibiotic treatments administered at high doses [120]. In this study, biofilm formation was observed in 90.7% of the isolates; this is concordant with previous studies [121,122]. A significant positive correlation was observed between biofilm production and both the MAR index and MDR. Biofilm production has been linked to antibiotic resistance in P. aeruginosa [123].
P. aeruginosa uses several pathogenicity factors to interfere with the host’s defences [5,124]. In the current work, the lasB, toxA, lasR, and rhlR genes were detected in all P. aeruginosa isolates, which is inconsistent with [125,126]. In contrast, a lower detection rate of the virulence genes was reported by Osman et al. [127]. Variations in the virulence genes were observed in the clinical P. aeruginosa isolates from different geographic areas [128,129,130].
A limitation of this study was the lack of complete information on the antimicrobial use on farms due to the absence of records at these small farms. However, the antimicrobials used at these farms are not used in a judicious way, the farmer can obtain antimicrobials without a veterinary prescription, and oxytetracycline was the most widely used antimicrobial on these farms. Further investigation of the risk factors associated with the spread of MDR of P. aeruginosa in animals and the environment is highly recommended.

5. Conclusions

This study concluded that P. aeruginosa is one of the most common bacteria associated with endometritis in cows, camels, and mares in the Eastern Region, Saudi Arabia. Moreover, our results provide further evidence on the emergence of MDR and carbapenem-resistant P. aeruginosa. This is the first study to investigate the sequence types of P. aeruginosa from animals in Saudi Arabia. The results revealed the emergence of the P. aeruginosa high-risk clones ST111, ST274, ST308, ST357, and ST446 in animals with clinical uterine inflammation and their drinking water. Molecular identification of blaTEM, blaSHV, blaCTX-M, and blaVIM genes in the plasmid DNA emphasises the horizontal transmission of antimicrobial-resistance genes. Furthermore, proactive antimicrobial agent control measures should be developed to limit the spread of multidrug-resistant strains. Further studies are needed for the investigation of the molecular mechanism.

Supplementary Materials

The following supporting information can be downloaded at: https://www.mdpi.com/article/10.3390/vetsci9050239/s1, Table S1: Antimicrobial resistance, MIC50, MIC90, MIC range for 54 P. aeruginosa isolates recovered from cow, camel, mare, and their drinking water; Table S2: Primer and probes used for amplification of different genes in P. aeruginosa isolates.

Author Contributions

Conceptualisation, M.F., S.F.M., M.A. and S.Y.; Methodology, M.F., S.Y., A.A., S.J.A., A.S.A. and O.M.A.; Software, A.S.A., A.A. and S.Y.; Validation, M.F., S.Y. and M.A.; Formal analysis, M.F., S.F.M., M.A. and O.M.A.; Investigation, O.M.A., A.A., A.S.A. and S.F.M.; Resources, S.J.A., S.F.M., A.A., O.M.A. and A.S.A.; Data curation, M.F., A.S.A., M.A., O.M.A. and S.Y.; Writing—original draft preparation, M.F., A.A.S., S.Y. and S.J.A.; Writing—review and editing, M.F., S.Y., A.A.S. and M.A.; Visualisation, S.Y., A.S.A.A., A.A. and O.M.A.; Supervision, M.F.; Project administration, S.F.M.; Funding acquisition, S.F.M. All authors have read and agreed to the published version of the manuscript.

Funding

Taif University Researchers Supporting Project number (TURSP-2020/138), Taif University, P.O. Box 11099, Taif 21944, Saudi Arabia.

Institutional Review Board Statement

The Taif University Ethics Committee approved the study protocol (TURSP-2020-138).

Informed Consent Statement

Not applicable.

Data Availability Statement

The data presented in this study are available on request from the corresponding author.

Acknowledgments

The authors would also like to thank the Taif University Researchers Supporting Program (Project number: TURSP-2020/138), Taif University, Saudi Arabia, for their support.

Conflicts of Interest

The authors declare no conflict of interest.

References

  1. Cabot, G.; Zamorano, L.; Moya, B.; Juan, C.; Navas, A.; Blazquez, J.; Oliver, A. Evolution of Pseudomonas aeruginosa Antimicrobial Resistance and Fitness under Low and High Mutation Rates. Antimicrob. Agents Chemother. 2016, 60, 1767–1778. [Google Scholar] [CrossRef] [PubMed]
  2. Chatterjee, P.; Davis, E.; Yu, F.; James, S.; Wildschutte, J.H.; Wiegmann, D.D.; Sherman, D.H.; McKay, R.M.; LiPuma, J.J.; Wildschutte, H. Environmental Pseudomonads Inhibit Cystic Fibrosis Patient-Derived Pseudomonas aeruginosa. Appl. Environ. Microbiol. 2017, 83, e02701–e02716. [Google Scholar] [CrossRef] [PubMed]
  3. Arai, H. Regulation and Function of Versatile Aerobic and Anaerobic Respiratory Metabolism in Pseudomonas aeruginosa. Front. Microbiol. 2011, 2, 103. [Google Scholar] [CrossRef] [PubMed]
  4. Ferguson, M.W.; Maxwell, J.A.; Vincent, T.S.; da Silva, J.; Olson, J.C. Comparison of the exoS gene and protein expression in soil and clinical isolates of Pseudomonas aeruginosa. Infect. Immun. 2001, 69, 2198–2210. [Google Scholar] [CrossRef]
  5. Moradali, M.F.; Ghods, S.; Rehm, B.H. Pseudomonas aeruginosa Lifestyle: A Paradigm for Adaptation, Survival, and Persistence. Front. Cell Infect. Microbiol. 2017, 7, 39. [Google Scholar] [CrossRef]
  6. Davies, J.C. Pseudomonas aeruginosa in cystic fibrosis: Pathogenesis and persistence. Paediatr. Respir. Rev. 2002, 3, 128–134. [Google Scholar] [CrossRef]
  7. Fernandes, M.R.; Sellera, F.P.; Moura, Q.; Carvalho, M.P.N.; Rosato, P.N.; Cerdeira, L.; Lincopan, N. Zooanthroponotic Transmission of Drug-Resistant Pseudomonas aeruginosa, Brazil. Emerg. Infect. Dis. 2018, 24, 1160–1162. [Google Scholar] [CrossRef]
  8. Getahun, A.M.; Hunderra, G.C.; Gebrezihar, T.G.; Boru, B.G.; Desta, N.T.; Ayana, T.D. Comparative study on lesions of reproductive disorders of cows and female dromedary camels slaughtered at Addis Ababa, Adama and Akaki abattoirs with bacterial isolation and characterization. BMC Vet. Res. 2021, 17, 134. [Google Scholar] [CrossRef]
  9. De Lima, F.S. Recent advances and future directions for uterine diseases diagnosis, pathogenesis, and management in dairy cows. Anim. Reprod. 2020, 17, e20200063. [Google Scholar] [CrossRef]
  10. Mahnani, A.; Sadeghi-Sefidmazgi, A.; Cabrera, V.E. Consequences and economics of metritis in Iranian Holstein dairy farms. J. Dairy Sci. 2015, 98, 6048–6057. [Google Scholar] [CrossRef]
  11. Benaissa, M.H.; Faye, B.; Kaidi, R. Reproductive abnormalities in female camel (Camelus dromedarius) in Algeria: Relationship with age, season, breed and body condition score. J. Camel Pract. Res. 2015, 22, 67–73. [Google Scholar] [CrossRef]
  12. Canisso, I.F.; Segabinazzi, L.; Fedorka, C.E. Persistent Breeding-Induced Endometritis in Mares—A Multifaceted Challenge: From Clinical Aspects to Immunopathogenesis and Pathobiology. Int. J. Mol. Sci. 2020, 21, 1432. [Google Scholar] [CrossRef] [PubMed]
  13. Rajala, P.; Gröhn, Y.J. Effects of dystocia, retained placenta, and metritis on milk yield in dairy cows. J. Dairy Sci. 1998, 81, 3172–3181. [Google Scholar] [CrossRef]
  14. Gröhn, Y.; Rajala-Schultz, P.; Allore, H.; De Lorenzo, M.; Hertl, J.; Galligan, D.J. Optimizing replacement of dairy cows: Modeling the effects of diseases. Prev. Vet. Med. 2003, 61, 27–43. [Google Scholar] [CrossRef]
  15. Paisley, L.G.; Mickelsen, W.D.; Anderson, P.B. Mechanisms and therapy for retained fetal membranes and uterine infections of cows: A review. Theriogenology 1986, 25, 353–381. [Google Scholar] [CrossRef]
  16. Morris, L.H.; McCue, P.M.; Aurich, C.J.R. Equine endometritis: A review of challenges and new approaches. Reproduction 2020, 160, R95–R110. [Google Scholar] [CrossRef]
  17. Mshelia, G.; Abba, Y.; Voltaire, Y.; Akpojie, G.; Mohammed, H.; Aondona, D. Comparative uterine bacteriology and pathology of camels (Camelus dromedarius) and cows in north-eastern Nigeria. Comp. Clin. Pathol. 2013, 22, 1195–1200. [Google Scholar] [CrossRef]
  18. Tibary, A.; Abdelhaq, A.; Abdelmalek, S. Factors affecting reproductive performance of camels at the herd and individual level. In Proceedings of the Desertification Combat and Food Safety: The Added Value of Camel Producers, Ashkabad, Turkmenistan, 19–21 April 2005; pp. 97–114. [Google Scholar]
  19. Schauer, B.; Wald, R.; Urbantke, V.; Loncaric, I.; Baumgartner, M.J. Tracing Mastitis Pathogens—Epidemiological Investigations of a Pseudomonas aeruginosa Mastitis Outbreak in an Austrian Dairy Herd. Animals 2021, 11, 279. [Google Scholar] [CrossRef]
  20. Yeruham, I.; Elad, D.; Avidar, Y.; Goshen, T. A herd level analysis of urinary tract infection in dairy cattle. Vet. J. 2006, 171, 172–176. [Google Scholar] [CrossRef]
  21. Hall, J.L.; Holmes, M.A.; Baines, S.J. Prevalence and antimicrobial resistance of canine urinary tract pathogens. Vet. Rec. 2013, 173, 549. [Google Scholar] [CrossRef]
  22. Mekić, S.; Matanović, K.; Šeol, B.J.V.R. Antimicrobial susceptibility of Pseudomonas aeruginosa isolates from dogs with otitis externa. Vet. J. 2011, 169, 125. [Google Scholar] [CrossRef] [PubMed]
  23. Hillier, A.; Alcorn, J.R.; Cole, L.K.; Kowalski, J.J. Pyoderma caused by Pseudomonas aeruginosa infection in dogs: 20 cases. Vet. Dermatol. 2006, 17, 432–439. [Google Scholar] [CrossRef] [PubMed]
  24. Hancock, R.E.; Speert, D.P. Antibiotic resistance in Pseudomonas aeruginosa: Mechanisms and impact on treatment. Drug Resist. Update 2000, 3, 247–255. [Google Scholar] [CrossRef] [PubMed]
  25. Collignon, P.; Conly, J.; Andremont, A.; World Health Organization Advisory Group, Bogotá Meeting on Integrated Surveillance of Antimicrobial Resistance (WHO-AGISAR). World Health Organization ranking of antimicrobials according to their importance in human medicine: A critical step for developing risk management strategies to control antimicrobial resistance from food animal production. Clin. Infect. Dis. 2016, 63, 1087–1093. [Google Scholar] [CrossRef] [PubMed]
  26. Livermore, D.M.J. Multiple mechanisms of antimicrobial resistance in Pseudomonas aeruginosa: Our worst nightmare? Clin. Infect. Dis. 2002, 34, 634–640. [Google Scholar] [PubMed]
  27. Breidenstein, E.B.; de la Fuente-Núñez, C.; Hancock, R.E.J. Pseudomonas aeruginosa: All roads lead to resistance. Trends Microbiol. 2011, 19, 419–426. [Google Scholar] [CrossRef] [PubMed]
  28. Bonomo, R.A.; Szabo, D. Mechanisms of multidrug resistance in Acinetobacter species and Pseudomonas aeruginosa. Clin. Infect. Dis. 2006, 43 (Suppl. S2), S49–S56. [Google Scholar] [CrossRef]
  29. Weldhagen, G.F.; Poirel, L.; Nordmann, P. Ambler class A extended-spectrum beta-lactamases in Pseudomonas aeruginosa: Novel developments and clinical impact. Antimicrob. Agents Chemother. 2003, 47, 2385–2392. [Google Scholar] [CrossRef]
  30. Walsh, T.R.; Toleman, M.A.; Poirel, L.; Nordmann, P.J. Metallo-β-lactamases: The quiet before the storm? Clin. Microbiol. Rev. 2005, 18, 306–325. [Google Scholar] [CrossRef]
  31. Drenkard, E. Antimicrobial resistance of Pseudomonas aeruginosa biofilms. Microbes Infect. 2003, 5, 1213–1219. [Google Scholar] [CrossRef]
  32. Stewart, P.S.; Costerton, J.W. Antibiotic resistance of bacteria in biofilms. Lancet 2001, 358, 135–138. [Google Scholar] [CrossRef]
  33. Rasamiravaka, T.; Labtani, Q.; Duez, P.; El Jaziri, M. The formation of biofilms by Pseudomonas aeruginosa: A review of the natural and synthetic compounds interfering with control mechanisms. Biomed. Res. Int 2015, 2015, 759348. [Google Scholar] [CrossRef]
  34. De Kievit, T.R.; Iglewski, B.H. Bacterial quorum sensing in pathogenic relationships. Infect. Immun 2000, 68, 4839–4849. [Google Scholar] [CrossRef] [PubMed]
  35. Kang, D.; Turner, K.E.; Kirienko, N.V.J. PqsA promotes pyoverdine production via biofilm formation. Pathogens 2018, 7, 3. [Google Scholar] [CrossRef] [PubMed]
  36. Storz, M.P.; Maurer, C.K.; Zimmer, C.; Wagner, N.; Brengel, C.; de Jong, J.C.; Lucas, S.; Müsken, M.; Häussler, S.; Steinbach, A.J. Validation of PqsD as an anti-biofilm target in Pseudomonas aeruginosa by development of small-molecule inhibitors. J. Am. Chem. Soc. 2012, 134, 16143–16146. [Google Scholar] [CrossRef] [PubMed]
  37. Curran, B.; Jonas, D.; Grundmann, H.; Pitt, T.; Dowson, C.G. Development of a multilocus sequence typing scheme for the opportunistic pathogen Pseudomonas aeruginosa. J. Clin. Microbiol. 2004, 42, 5644–5649. [Google Scholar] [CrossRef] [PubMed]
  38. Papenfort, K.; Bassler, B.L.J. Quorum sensing signal–response systems in Gram-negative bacteria. Nat. Rev. Microbiol. 2016, 14, 576–588. [Google Scholar] [CrossRef]
  39. Wright, C.L. Management of Water Quality for Beef Cattle. Vet. Clin. N. Am. Food Anim. Pract. 2007, 23, 91–103. [Google Scholar] [CrossRef]
  40. Maes, S.; Vackier, T.; Nguyen Huu, S.; Heyndrickx, M.; Steenackers, H.; Sampers, I.; Raes, K.; Verplaetse, A.; De Reu, K. Occurrence and characterisation of biofilms in drinking water systems of broiler houses. BMC Microbiol. 2019, 19, 77. [Google Scholar] [CrossRef]
  41. Mena, K.D.; Gerba, C.P. Risk assessment of Pseudomonas aeruginosa in water. Rev. Environ. Contam. Toxicol. 2009, 201, 71–115. [Google Scholar]
  42. Waage, A.; Vardund, T.; Lund, V.; Kapperud, G.J. Detection of low numbers of Salmonella in environmental water, sewage and food samples by a nested polymerase chain reaction assay. J. Appl. Microbiol. 1999, 87, 418–428. [Google Scholar] [CrossRef] [PubMed]
  43. McAllister, T.; Topp, E.J. Role of livestock in microbiological contamination of water: Commonly the blame, but not always the source. Anim. Front. 2012, 2, 17–27. [Google Scholar] [CrossRef]
  44. Elaichouni, A.; Verschraegen, G.; Claeys, G.; Devleeschouwer, M.; Godard, C.; Vaneechoutte, M. Pseudomonas aeruginosa serotype O12 outbreak studied by arbitrary primer PCR. J. Clin. Microbiol. 1994, 32, 666–671. [Google Scholar] [CrossRef] [PubMed]
  45. Denamur, E.; Picard, B.; Goullet, P.; Bingen, E.; Lambert, N.; Elion, J. Complexity of Pseudomonas aeruginosa infection in cystic fibrosis: Combined results from esterase electrophoresis and rDNA restriction fragment length polymorphism analysis. Epidemiol. Infect. 1991, 106, 531–539. [Google Scholar] [CrossRef]
  46. Johnson, J.K.; Arduino, S.M.; Stine, O.C.; Johnson, J.A.; Harris, A.D. Multilocus sequence typing compared to pulsed-field gel electrophoresis for molecular typing of Pseudomonas aeruginosa. J. Clin. Microbiol. 2007, 45, 3707–3712. [Google Scholar] [CrossRef]
  47. Doumith, M.; Alhassinah, S.; Alswaji, A.; Alzayer, M.; Alrashidi, E.; Okdah, L.; Aljohani, S.; Balkhy, H.H.; Alghoribi, M.F.; NGHA AMR Surveillance Group; et al. Genomic Characterization of Carbapenem-Non-susceptible Pseudomonas aeruginosa Clinical Isolates From Saudi Arabia Revealed a Global Dissemination of GES-5-Producing ST235 and VIM-2-Producing ST233 Sub-Lineages. Front. Microbiol. 2022, 12, 765113. [Google Scholar] [CrossRef]
  48. Al-Agamy, M.H.; Shibl, A.M.; Tawfik, A.F.; Elkhizzi, N.A.; Livermore, D.M. Extended-spectrum and metallo-beta-lactamases among ceftazidime-resistant Pseudomonas aeruginosa in Riyadh, Saudi Arabia. J. Chemother. 2012, 24, 97–100. [Google Scholar] [CrossRef]
  49. Al-Agamy, M.H.; Jeannot, K.; El-Mahdy, T.S.; Samaha, H.A.; Shibl, A.M.; Plésiat, P.; Courvalin, P. Diversity of Molecular Mechanisms Conferring Carbapenem Resistance to Pseudomonas aeruginosa Isolates from Saudi Arabia. Can. J. Infect. Dis. Med. Microbiol. 2016, 2016, 4379686. [Google Scholar] [CrossRef]
  50. Balkhy, H.H.; Cunningham, G.; Chew, F.K.; Francis, C.; Al Nakhli, D.J.; Almuneef, M.A.; Memish, Z.A.J. Hospital-and community-acquired infections: A point prevalence and risk factors survey in a tertiary care center in Saudi Arabia. Int. J. Infect. Dis. 2006, 10, 326–333. [Google Scholar] [CrossRef]
  51. Yezli, S.; Shibl, A.M.; Livermore, D.M.; Memish, Z.A.J. Prevalence and antimicrobial resistance among Gram-negative pathogens in Saudi Arabia. J. Chemother. 2014, 26, 257–272. [Google Scholar] [CrossRef]
  52. Khan, M.A.; Faiz, A. Antimicrobial resistance patterns of Pseudomonas aeruginosa in tertiary care hospitals of Makkah and Jeddah. Ann. Saudi Med. 2016, 36, 23–28. [Google Scholar] [CrossRef] [PubMed]
  53. Refaat, D.; Ali, A.; Saeed, E.M.; Al-Sobayil, F.; Al-Samri, A.; Elbehiry, A. Diagnostic evaluation of subclinical endometritis in dromedary camels. Anim. Reprod. Sci. 2020, 215, 106327. [Google Scholar] [CrossRef] [PubMed]
  54. LeBlanc, S.; Duffield, T.; Leslie, K.; Bateman, K.; Keefe, G.P.; Walton, J.; Johnson, W.J. Defining and diagnosing postpartum clinical endometritis and its impact on reproductive performance in dairy cows. J. Dairy Sci. 2002, 85, 2223–2236. [Google Scholar] [CrossRef]
  55. Hosu, M.C.; Vasaikar, S.D.; Okuthe, G.E.; Apalata, T.J. Detection of extended spectrum beta-lactamase genes in Pseudomonas aeruginosa isolated from patients in rural Eastern Cape Province, South Africa. Sci. Rep. 2021, 11, 7110. [Google Scholar] [CrossRef] [PubMed]
  56. Weisburg, W.G.; Barns, S.M.; Pelletier, D.A.; Lane, D.J. 16S ribosomal DNA amplification for phylogenetic study. J. Bacteriol. 1991, 173, 697–703. [Google Scholar] [CrossRef]
  57. Clinical and Laboratory Standards Institute. Performance Standards for Antimicrobial Susceptibility Testing. CLSI Supplement M100, 31st ed.; Clinical and Laboratory Standards Institute: Wayne, PA, USA, 2021. [Google Scholar]
  58. Magiorakos, A.P.; Srinivasan, A.; Carey, R.B.; Carmeli, Y.; Falagas, M.E.; Giske, C.G.; Harbarth, S.; Hindler, J.F.; Kahlmeter, G.; Olsson-Liljequist, B.; et al. Multidrug-resistant, extensively drug-resistant and pandrug-resistant bacteria: An international expert proposal for interim standard definitions for acquired resistance. Clin. Microbiol. Infect. 2012, 18, 268–281. [Google Scholar] [CrossRef] [PubMed]
  59. Krumperman, P.H. Multiple antibiotic resistance indexing of Escherichia coli to identify high-risk sources of fecal contamination of foods. Appl. Environ. Microbiol. 1983, 46, 165–170. [Google Scholar] [CrossRef]
  60. Schwarz, S.; Silley, P.; Simjee, S.; Woodford, N.; van Duijkeren, E.; Johnson, A.P.; Gaastra, W. Editorial: Assessing the antimicrobial susceptibility of bacteria obtained from animals. J. Antimicrob. Chemother. 2010, 65, 601–604. [Google Scholar] [CrossRef]
  61. Jarlier, V.; Nicolas, M.-H.; Fournier, G.; Philippon, A.J. Extended broad-spectrum β-lactamases conferring transferable resistance to newer β-lactam agents in Enterobacteriaceae: Hospital prevalence and susceptibility patterns. Clin. Infect. Dis. 1988, 10, 867–878. [Google Scholar] [CrossRef]
  62. Giakkoupi, P.; Vourli, S.; Polemis, M.; Kalapothaki, V.; Tzouvelekis, L.S.; Vatopoulos, A.C.J. Supplementation of growth media with Zn2+ facilitates detection of VIM-2-producing Pseudomonas aeruginosa. J. Clin. Microbiol. 2008, 46, 1568–1569. [Google Scholar] [CrossRef][Green Version]
  63. Pitout, J.D.; Thomson, K.S.; Hanson, N.D.; Ehrhardt, A.F.; Moland, E.S.; Sanders, C.C. beta-Lactamases responsible for resistance to expanded-spectrum cephalosporins in Klebsiella pneumoniae, Escherichia coli, and Proteus mirabilis isolates recovered in South Africa. Antimicrob. Agents Chemother. 1998, 42, 1350–1354. [Google Scholar] [CrossRef] [PubMed][Green Version]
  64. Pitout, J.D.; Hossain, A.; Hanson, N.D. Phenotypic and molecular detection of CTX-M-beta-lactamases produced by Escherichia coli and Klebsiella spp. J. Clin. Microbiol. 2004, 42, 5715–5721. [Google Scholar] [CrossRef] [PubMed]
  65. Stepanovic, S.; Vukovic, D.; Hola, V.; Di Bonaventura, G.; Djukic, S.; Cirkovic, I.; Ruzicka, F. Quantification of biofilm in microtiter plates: Overview of testing conditions and practical recommendations for assessment of biofilm production by staphylococci. Acta Pathol. Microbiol. Immunol. Scand. 2007, 115, 891–899. [Google Scholar] [CrossRef]
  66. Golpayegani, A.; Nodehi, R.N.; Rezaei, F.; Alimohammadi, M.; Douraghi, M.J. Real-time polymerase chain reaction assays for rapid detection and virulence evaluation of the environmental Pseudomonas aeruginosa isolates. Mol. Biol. Rep. 2019, 46, 4049–4061. [Google Scholar] [CrossRef] [PubMed]
  67. Ghoneim, I.M.; Al-Ahmad, J.A.; Fayez, M.M.; El-Sabagh, I.M.; Humam, N.A.A.; Al-Eknah, M.M. Characterization of microbes associated with cervico-vaginal adhesion in the reproductive system of camels (Camelus dromedaries). Trop Anim. Health Prod. 2021, 53, 132. [Google Scholar] [CrossRef]
  68. Atherton, J.; Pitt, T.J. Types of Pseudomonas aeruginosa isolated from horses. Equine Vet. J. 1982, 14, 329–332. [Google Scholar] [CrossRef]
  69. Blanchard, T.L.; Kenney, R.M.; Timoney, P.J.J. Venereal disease. Vet. Clin. North Am. Equine Pract. 1992, 8, 191–203. [Google Scholar] [CrossRef]
  70. LeJeune, J.T.; Besser, T.E.; Merrill, N.L.; Rice, D.H.; Hancock, D.D. Livestock drinking water microbiology and the factors influencing the quality of drinking water offered to cattle. J. Dairy Sci. 2001, 84, 1856–1862. [Google Scholar] [CrossRef]
  71. Allen, J.L.; Begg, A.P.; Browning, G.F.J. Outbreak of equine endometritis caused by a genotypically identical strain of Pseudomonas aeruginosa. J. Vet.-Diagn. Investig. 2011, 23, 1236–1239. [Google Scholar] [CrossRef]
  72. Craun, G.F.; Brunkard, J.M.; Yoder, J.S.; Roberts, V.A.; Carpenter, J.; Wade, T.; Calderon, R.L.; Roberts, J.M.; Beach, M.J.; Roy, S.L. Causes of outbreaks associated with drinking water in the United States from 1971 to 2006. Clin. Microbiol. Rev. 2010, 23, 507–528. [Google Scholar] [CrossRef]
  73. Del Barrio-Tofiño, E.; López-Causapé, C.; Oliver, A. Pseudomonas aeruginosa epidemic high-risk clones and their association with horizontally-acquired β-lactamases: 2020 update. Int. J. Antimicrob. Agents 2020, 56, 106196. [Google Scholar] [CrossRef] [PubMed]
  74. Zowawi, H.M.; Syrmis, M.W.; Kidd, T.J.; Balkhy, H.H.; Walsh, T.R.; Al Johani, S.M.; Al Jindan, R.Y.; Alfaresi, M.; Ibrahim, E.; Al-Jardani, A.; et al. Identification of carbapenem-resistant Pseudomonas aeruginosa in selected hospitals of the Gulf Cooperation Council States: Dominance of high-risk clones in the region. J. Med. Microbiol. 2018, 67, 846–853. [Google Scholar] [CrossRef] [PubMed]
  75. Al-Zahrani, I.A.; Al-Ahmadi, B.M. Dissemination of VIM-producing Pseudomonas aeruginosa associated with high-risk clone ST654 in a tertiary and quaternary hospital in Makkah, Saudi Arabia. J. Chemother. 2021, 33, 12–20. [Google Scholar] [CrossRef]
  76. Papagiannitsis, C.; Medvecky, M.; Chudejova, K.; Skalova, A.; Rotova, V.; Spanelova, P.; Jakubu, V.; Zemlickova, H.; Hrabak, J.J.B.; Czech Participants of the European Antimicrobial Resistance Surveillance Network. Molecular characterization of carbapenemase-producing Pseudomonas aeruginosa of Czech origin and evidence for clonal spread of extensively resistant sequence type 357 expressing IMP-7 metallo-β-lactamase. Antimicrob. Agents Chemother. 2017, 61, 75. [Google Scholar] [CrossRef] [PubMed]
  77. Kainuma, A.; Momiyama, K.; Kimura, T.; Akiyama, K.; Inoue, K.; Naito, Y.; Kinoshita, M.; Shimizu, M.; Kato, H.; Shime, N.J.; et al. An outbreak of fluoroquinolone-resistant Pseudomonas aeruginosa ST357 harboring the exoU gene. J. Infect. Chemother. 2018, 24, 615–622. [Google Scholar] [CrossRef] [PubMed]
  78. Pelegrin, A.C.; Saharman, Y.R.; Griffon, A.; Palmieri, M.; Mirande, C.; Karuniawati, A.; Sedono, R.; Aditianingsih, D.; Goessens, W.H.; van Belkum, A.J.M. High-risk international clones of carbapenem-nonsusceptible pseudomonas aeruginosa endemic to Indonesian intensive care units: Impact of a multifaceted infection control intervention analyzed at the genomic level. mBio 2019, 10, e02384-19. [Google Scholar] [CrossRef] [PubMed]
  79. Miyoshi-Akiyama, T.; Tada, T.; Ohmagari, N.; Viet Hung, N.; Tharavichitkul, P.; Pokhrel, B.M.; Gniadkowski, M.; Shimojima, M.; Kirikae, T.J. Emergence and spread of epidemic multidrug-resistant Pseudomonas aeruginosa. Genome Biol. Evol. 2017, 9, 3238–3245. [Google Scholar] [CrossRef] [PubMed]
  80. Ma, F.; Xu, S.; Tang, Z.; Li, Z.; Zhang, L. Use of antimicrobials in food animals and impact of transmission of antimicrobial resistance on humans. Biosaf. Health 2021, 3, 32–38. [Google Scholar] [CrossRef]
  81. Malinowski, E.; Lassa, H.; Markiewicz, H.; Kaptur, M.; Nadolny, M.; Niewitecki, W.; Ziętara, J.J.T. Sensitivity to antibiotics of Arcanobacterium pyogenes and Escherichia coli from the uteri of cows with metritis/endometritis. Veter J. 2011, 187, 234–238. [Google Scholar] [CrossRef]
  82. Fishman, N.J. Antimicrobial stewardship. Am. J. Infect. Control. 2006, 34, S55–S63. [Google Scholar] [CrossRef]
  83. Ozawa, T.; Kiku, Y.; Mizuno, M.; Inumaru, S.; Kushibiki, S.; Shingu, H.; Matsubara, T.; Takahashi, H.; Hayashi, T.J. Effect of intramammary infusion of rbGM-CSF on SCC and expression of polymorphonuclear neutrophil adhesion molecules in subclinical mastitis cows. Vet. Res. Commun. 2012, 36, 21–27. [Google Scholar] [CrossRef] [PubMed]
  84. Eliasi, U.L.; Sebola, D.; Oguttu, J.W.; Qekwana, D.N. Antimicrobial resistance patterns of Pseudomonas aeruginosa isolated from canine clinical cases at a veterinary academic hospital in South Africa. J. S. Afr. Vet. Assoc. 2020, 91, e1–e6. [Google Scholar] [CrossRef] [PubMed]
  85. Gad, G.F.; el-Domany, R.A.; Ashour, H.M. Antimicrobial susceptibility profile of Pseudomonas aeruginosa isolates in Egypt. J. Urol. 2008, 180, 176–181. [Google Scholar] [CrossRef] [PubMed]
  86. Yayan, J.; Ghebremedhin, B.; Rasche, K.J. Antibiotic resistance of Pseudomonas aeruginosa in pneumonia at a single university hospital center in Germany over a 10-year period. PLoS ONE 2015, 10, e0139836. [Google Scholar] [CrossRef]
  87. Nordmann, P.; Guibert, M.J. Extended-spectrum beta-lactamases in Pseudomonas aeruginosa. J. Antimicrob. Chemother. 1998, 42, 128–131. [Google Scholar] [CrossRef]
  88. Pechère, J.C.; Köhler, T. Patterns and modes of beta-lactam resistance in Pseudomonas aeruginosa. Clin. Microbiol. Infect. 1999, 5 (Suppl. S1), S15–S18. [Google Scholar] [CrossRef]
  89. Abdulhaq, N.; Nawaz, Z.; Zahoor, M.A.; Siddique, A.B. Association of biofilm formation with multi drug resistance in clinical isolates of Pseudomonas aeruginosa. EXCLI J. 2020, 19, 201–208. [Google Scholar] [CrossRef]
  90. Oliveira, L.; Medeiros, C.; Silva, I.; Monteiro, A.; Leite, C.; Carvalho, C.J. Susceptibilidade a antimicrobianos de bactérias isoladas de otite externa em cães. Arq. Bras. Med. Vet. Zootec. 2005, 57, 405–408. [Google Scholar] [CrossRef]
  91. Dégi, J.; Moțco, O.-A.; Dégi, D.M.; Suici, T.; Mareș, M.; Imre, K.; Cristina, R.T.J.A. Antibiotic susceptibility profile of Pseudomonas aeruginosa canine isolates from a multicentric study in Romania. Antibiotics 2021, 10, 846. [Google Scholar] [CrossRef]
  92. Haenni, M.; Bour, M.; Châtre, P.; Madec, J.-Y.; Plésiat, P.; Jeannot, K. Resistance of Animal Strains of Pseudomonas aeruginosa to Carbapenems. Front. Microbiol. 2017, 8, 1847. [Google Scholar] [CrossRef]
  93. Webb, H.E.; Bugarel, M.; den Bakker, H.C.; Nightingale, K.K.; Granier, S.A.; Scott, H.M.; Loneragan, G.H. Carbapenem-Resistant Bacteria Recovered from Faeces of Dairy Cattle in the High Plains Region of the USA. PLoS ONE 2016, 11, e0147363. [Google Scholar] [CrossRef] [PubMed]
  94. Isgren, C.J. Improving clinical outcomes via responsible antimicrobial use in horses. Equine Veter-Educ. 2021, 33, 653–658. [Google Scholar] [CrossRef]
  95. Elshafiee, E.A.; Nader, S.M.; Dorgham, S.M.; Hamza, D.A. Carbapenem-resistant Pseudomonas Aeruginosa Originating from Farm Animals and People in Egypt. J. Vet. Res. 2019, 63, 333–337. [Google Scholar] [CrossRef]
  96. Endimiani, A.; Hujer, K.M.; Hujer, A.M.; Bertschy, I.; Rossano, A.; Koch, C.; Gerber, V.; Francey, T.; Bonomo, R.A.; Perreten, V.J. Acinetobacter baumannii isolates from pets and horses in Switzerland: Molecular characterization and clinical data. J. Antimicrob. Chemother. 2011, 66, 2248–2254. [Google Scholar] [CrossRef] [PubMed]
  97. Shaheen, B.W.; Nayak, R.; Boothe, D.M. Emergence of a New Delhi Metallo-β-Lactamase (NDM-1)-Encoding Gene in Clinical Escherichia coli Isolates Recovered from Companion Animals in the United States. Antimicrob. Agents Chemother. 2013, 57, 2902–2903. [Google Scholar] [CrossRef] [PubMed]
  98. Stolle, I.; Prenger-Berninghoff, E.; Stamm, I.; Scheufen, S.; Hassdenteufel, E.; Guenther, S.; Bethe, A.; Pfeifer, Y.; Ewers, C.J. Emergence of OXA-48 carbapenemase-producing Escherichia coli and Klebsiella pneumoniae in dogs. J. Antimicrob. Chemother. 2013, 68, 2802–2808. [Google Scholar] [CrossRef]
  99. Boerlin, P.; Eugster, S.; Gaschen, F.; Straub, R.; Schawalder, P.J. Transmission of opportunistic pathogens in a veterinary teaching hospital. Vet. Microbiol. 2001, 82, 347–359. [Google Scholar] [CrossRef]
  100. Guardabassi, L.; Schwarz, S.; Lloyd, D.H. Pet animals as reservoirs of antimicrobial-resistant bacteria: Review. J. Antimicrob. Chemother. 2004, 54, 321–332. [Google Scholar] [CrossRef]
  101. Leite-Martins, L.; Meireles, D.; Bessa, L.J.; Mendes, Â.; de Matos, A.J.; Martins da Costa, P.J. Spread of multidrug-resistant Enterococcus faecalis within the household setting. Microb. Drug Resist. 2014, 20, 501–507. [Google Scholar] [CrossRef]
  102. Yao, H.; Wu, D.; Lei, L.; Shen, Z.; Wang, Y.; Liao, K.J. The detection of fosfomycin resistance genes in Enterobacteriaceae from pets and their owners. Vet. Microbiol. 2016, 193, 67–71. [Google Scholar] [CrossRef]
  103. Zhao, W.H.; Hu, Z.Q. Beta-lactamases identified in clinical isolates of Pseudomonas aeruginosa. Crit. Rev. Microbiol. 2010, 36, 245–258. [Google Scholar] [CrossRef] [PubMed]
  104. Chen, Z.; Niu, H.; Chen, G.; Li, M.; Li, M.; Zhou, Y. Prevalence of ESBLs-producing Pseudomonas aeruginosa isolates from different wards in a Chinese teaching hospital. Int. J. Clin. Exp. Med. 2015, 8, 19400–19405. [Google Scholar] [PubMed]
  105. Elhariri, M.; Hamza, D.; Elhelw, R.; Dorgham, S.M. Extended-spectrum beta-lactamase-producing Pseudomonas aeruginosa in camel in Egypt: Potential human hazard. Ann. Clin. Microbiol. Antimicrob. 2017, 16, 21. [Google Scholar] [CrossRef] [PubMed]
  106. Al-Agamy, M.H.; Shibl, A.M.; Tawfik, A.F. Prevalence and molecular characterization of extended-spectrum beta-lactamase-producing Klebsiella pneumoniae in Riyadh, Saudi Arabia. Ann. Saudi Med. 2009, 29, 253–257. [Google Scholar] [CrossRef][Green Version]
  107. Tawfik, A.F.; Alswailem, A.M.; Shibl, A.M.; Al-Agamy, M.H. Prevalence and genetic characteristics of TEM, SHV, and CTX-M in clinical Klebsiella pneumoniae isolates from Saudi Arabia. Microb. Drug Resist. 2011, 17, 383–388. [Google Scholar] [CrossRef]
  108. Hocquet, D.; Plésiat, P.; Dehecq, B.; Mariotte, P.; Talon, D.; Bertrand, X. Nationwide Investigation of Extended-Spectrum β-Lactamases, Metallo-β-Lactamases, and Extended-Spectrum Oxacillinases Produced by Ceftazidime-Resistant Pseudomonas aeruginosa Strains in France. Antimicrob. Agents Chemother. 2010, 54, 3512–3515. [Google Scholar] [CrossRef]
  109. Tawfik, A.F.; Shibl, A.M.; Aljohi, M.A.; Altammami, M.A.; Al-Agamy, M.H.J.B. Distribution of Ambler class A, B and D β-lactamases among Pseudomonas aeruginosa isolates. Ann Burn. Fire Disasters 2012, 38, 855–860. [Google Scholar] [CrossRef]
  110. Zafer, M.M.; Al-Agamy, M.H.; El-Mahallawy, H.A.; Amin, M.A.; El Din Ashour, S.J. Dissemination of VIM-2 producing Pseudomonas aeruginosa ST233 at tertiary care hospitals in Egypt. BMC Infect. Dis. 2015, 15, 122. [Google Scholar] [CrossRef]
  111. Al Bayssari, C.; Dabboussi, F.; Hamze, M.; Rolain, J.-M.J. Emergence of carbapenemase-producing Pseudomonas aeruginosa and Acinetobacter baumannii in livestock animals in Lebanon. J. Antimicrob. Chemother. 2015, 70, 950–951. [Google Scholar] [CrossRef]
  112. Sjölander, I.; Hansen, F.; Elmanama, A.; Khayyat, R.; Abu-Zant, A.; Hussein, A.; Taha, A.A.; Hammerum, A.M.; Ciofu, O.J. Detection of NDM-2-producing Acinetobacter baumannii and VIM-producing Pseudomonas aeruginosa in Palestine. J. Glob. Antimicrob. Resist. 2014, 2, 93–97. [Google Scholar] [CrossRef]
  113. Ejikeugwu, C.; Esimone, C.; Iroha, I.; Eze, P.; Ugwu, M.; Adikwu, M.J.; Microbiology, A. Genotypic and phenotypic characterization of MBL genes in Pseudomonas aeruginosa isolates from the non-hospital environment. J. Pure Appl. Microbiol. 2018, 12, 1877–1885. [Google Scholar] [CrossRef]
  114. Al-Orphaly, M.; Hadi, H.A.; Eltayeb, F.K.; Al-Hail, H.; Samuel, B.G.; Sultan, A.A.; Skariah, S.J.M. Epidemiology of multidrug-resistant Pseudomonas aeruginosa in the Middle East and North Africa Region. mSphere 2021, 6, e00202–e00221. [Google Scholar] [CrossRef]
  115. Horcajada, J.P.; Montero, M.; Oliver, A.; Sorlí, L.; Luque, S.; Gómez-Zorrilla, S.; Benito, N.; Grau, S.J. Epidemiology and treatment of multidrug-resistant and extensively drug-resistant Pseudomonas aeruginosa infections. Clin. Microbiol. Rev. 2019, 32, e00019–e00031. [Google Scholar] [CrossRef] [PubMed]
  116. Murray, C.J.; Ikuta, K.S.; Sharara, F.; Swetschinski, L.; Aguilar, G.R.; Gray, A.; Han, C.; Bisignano, C.; Rao, P.; Wool, E.; et al. Global burden of bacterial antimicrobial resistance in 2019: A systematic analysis. Lancet 2022, 399, 629–655. [Google Scholar] [CrossRef]
  117. Martis, N.; Leroy, S.; Blanc, V. Colistin in multi-drug resistant Pseudomonas aeruginosa blood-stream infections: A narrative review for the clinician. J. Infect. 2014, 69, 1–12. [Google Scholar] [CrossRef] [PubMed]
  118. Falagas, M.E.; Kasiakou, S.K. Colistin: The revival of polymyxins for the management of multidrug-resistant gram-negative bacterial infections. Clin. Infect. Dis. 2005, 40, 1333–1341. [Google Scholar] [CrossRef]
  119. Li, J.; Nation, R.L.; Turnidge, J.D.; Milne, R.W.; Coulthard, K.; Rayner, C.R.; Paterson, D.L. Colistin: The re-emerging antibiotic for multidrug-resistant Gram-negative bacterial infections. Lancet. Infect. Dis. 2006, 6, 589–601. [Google Scholar] [CrossRef]
  120. Costerton, J.W.; Stewart, P.S.; Greenberg, E.P. Bacterial biofilms: A common cause of persistent infections. Science 1999, 284, 1318–1322. [Google Scholar] [CrossRef]
  121. Pachori, P.; Gothalwal, R.; Gandhi, P. Emergence of antibiotic resistance Pseudomonas aeruginosa in intensive care unit; a critical review. Genes Dis. 2019, 6, 109–119. [Google Scholar] [CrossRef]
  122. Vasiljević, Z.; Jovčić, B.; Ćirković, I.; Đukić, S.J. An examination of potential differences in biofilm production among different genotypes of Pseudomonas aeruginosa. Arch. Biol. Sci. 2014, 66, 117–121. [Google Scholar] [CrossRef]
  123. Ciofu, O.; Tolker-Nielsen, T.J. Tolerance and resistance of Pseudomonas aeruginosa biofilms to antimicrobial agents—How P. aeruginosa can escape antibiotics. Front. Microbiol. 2019, 913, 2164. [Google Scholar] [CrossRef] [PubMed]
  124. Lee, J.; Zhang, L. The hierarchy quorum sensing network in Pseudomonas aeruginosa. Protein Cell 2015, 6, 26–41. [Google Scholar] [CrossRef] [PubMed]
  125. Rodrigues, Y.C.; Furlaneto, I.P.; Maciel, A.H.P.; Quaresma, A.J.P.G.; de Matos, E.C.O.; Conceição, M.L.; Vieira, M.C.d.S.; Brabo, G.L.d.C.; Sarges, E.d.S.N.F.; Lima, L.N.G.C.J. High prevalence of atypical virulotype and genetically diverse background among Pseudomonas aeruginosa isolates from a referral hospital in the Brazilian Amazon. PLoS ONE 2020, 15, e0238741. [Google Scholar] [CrossRef] [PubMed]
  126. Senturk, S.; Ulusoy, S.; Bosgelmez-Tinaz, G.; Yagci, A.J.T. Quorum sensing and virulence of Pseudomonas aeruginosa during urinary tract infections. J. Infect. Dev. Ctries. 2012, 6, 501–507. [Google Scholar] [CrossRef]
  127. Osman, K.; Orabi, A.; Elbehiry, A.; Hanafy, M.H.; Ali, A.M.J.F.M. Pseudomonas species isolated from camel meat: Quorum sensing-dependent virulence, biofilm formation and antibiotic resistance. Future Microbiol. 2019, 14, 609–622. [Google Scholar] [CrossRef]
  128. Hassuna, N.A.; Mandour, S.A.; Mohamed, E.S.J.I.; Resistance, D. Virulence constitution of multi-drug-resistant Pseudomonas aeruginosa in Upper Egypt. Future Microbiol. 2020, 13, 587. [Google Scholar] [CrossRef]
  129. Ruiz-Roldán, L.; Bellés, A.; Bueno, J.; Azcona-Gutiérrez, J.M.; Rojo-Bezares, B.; Torres, C.; Castillo, F.J.; Sáenz, Y.; Seral, C.J. Pseudomonas aeruginosa isolates from Spanish children: Occurrence in faecal samples, antimicrobial resistance, virulence, and molecular typing. BioMed Res. Int. 2018, 2018, 8060178. [Google Scholar] [CrossRef]
  130. Morales-Espinosa, R.; Delgado, G.; Espinosa, L.F.; Isselo, D.; Méndez, J.L.; Rodriguez, C.; Miranda, G.; Cravioto, A. Fingerprint Analysis and Identification of Strains ST309 as a Potential High Risk Clone in a Pseudomonas aeruginosa Population Isolated from Children with Bacteremia in Mexico City. Front. Microbiol. 2017, 8, 313. [Google Scholar] [CrossRef]
Figure 1. Unrooted phylogenetic trees using the concatenated sequences of the seven housekeeping genes of P. aeruginosa using the NJ method with the Kimura 2-parameter model for the distance calculations.
Figure 1. Unrooted phylogenetic trees using the concatenated sequences of the seven housekeeping genes of P. aeruginosa using the NJ method with the Kimura 2-parameter model for the distance calculations.
Vetsci 09 00239 g001
Figure 2. The goeBURST distance for the 10 sequence types obtained from the P. aeruginosa isolates (n = 54).
Figure 2. The goeBURST distance for the 10 sequence types obtained from the P. aeruginosa isolates (n = 54).
Vetsci 09 00239 g002
Figure 3. The mean MAR index values for the P. aeruginosa isolates (n = 54) regarding the source of isolation (a) and sequence types (b).
Figure 3. The mean MAR index values for the P. aeruginosa isolates (n = 54) regarding the source of isolation (a) and sequence types (b).
Vetsci 09 00239 g003
Figure 4. The frequency of the biofilm strength (negative, weak, moderate and strong) among the P. aeruginosa isolates (n = 54) with regard to the isolation source (a) and the isolate sequence type (b).
Figure 4. The frequency of the biofilm strength (negative, weak, moderate and strong) among the P. aeruginosa isolates (n = 54) with regard to the isolation source (a) and the isolate sequence type (b).
Vetsci 09 00239 g004
Figure 5. OD570 values indicate the amount of bacterial biofilm among the P. aeruginosa isolates (n = 54) with regard to the isolation source (a) and the isolate sequence type (b): negative (0.21–0.28), weak biofilm producers (0.4–0.49), moderate biofilm producers (0.7–0.95), and strong biofilm producers (1.5–1.94).
Figure 5. OD570 values indicate the amount of bacterial biofilm among the P. aeruginosa isolates (n = 54) with regard to the isolation source (a) and the isolate sequence type (b): negative (0.21–0.28), weak biofilm producers (0.4–0.49), moderate biofilm producers (0.7–0.95), and strong biofilm producers (1.5–1.94).
Vetsci 09 00239 g005
Table 1. Percentage (N/N) of P. aeruginosa isolates recovered from the uterine swabs of different animal species and the drinking water.
Table 1. Percentage (N/N) of P. aeruginosa isolates recovered from the uterine swabs of different animal species and the drinking water.
Sample TypeCowCamelMareTotal
Uterine swabs21.4 (15/70)28.3 (17/60)24 (12/50)24.4 (44/180)
Drinking water10 (3/30)10 (3/30)13.3 (4/30)11.1 (10/90)
Table 2. The number of strains for each sequence type for P. aeruginosa isolates (n = 54).
Table 2. The number of strains for each sequence type for P. aeruginosa isolates (n = 54).
Sequence Type (ST)N (%)Uterine SwabDrinking Water
CowCamelMareCowCamelMare
1113 (5.56) bc110010
2413 (5.56) bc111000
2588 (14.82) ab232010
2746 (11.11) abc221100
2962 (3.70) c011000
3082 (3.70) c110000
3168 (14.82) ab232001
3577 (12.96) abc320100
4465 (9.26) abc103001
201210 (18.52) a232012
a,b,c N (%) in a column without a common superscript letter differs (p ≤ 0.05).
Table 3. The antimicrobial-resistant profiles of P. aeruginosa (n = 54) isolated from cow, camel, mare, and drinking water.
Table 3. The antimicrobial-resistant profiles of P. aeruginosa (n = 54) isolated from cow, camel, mare, and drinking water.
AntimicrobialsBreakpointsN (%)No. of Resistant P. aeruginosa Isolates (%)
Uterine SwabDrinking Water
CowCamelMareCowCamelMare
PiperacillinS ≤ 16 R ≥ 128 42 (77.78) a11 (26.1)15 (35.7)10 (23.8)3 (7.1)1 (2.3)2 (4.7)
Piperacillin/TazobactamS ≤ 16 R ≥ 128 32 (59.26) b6 (18.7)10 (31.2)10 (31.2)1 (3.1)2 (6.2)3 (9.3)
CeftazidimeS ≤ 8 R ≥ 32 21 (38.89) c6 (28.5)6 (28.5)7 (33.3)1 (4.7)0 (0)1 (4.7)
AztreonamS ≤ 8 R ≥ 32 21 (38.89) c6 (28.5)6 (28.5)7 (33.3)1 (4.7)0 (0)1 (4.7)
ImipenemS ≤ 2 R ≥ 8 8 (14.82) d2 (25)3 (37.5)3 (37.5)0 (0)0 (0)0 (0)
AmikacinS ≤ 16 R ≥ 64 27 (50) bc8 (29.6)9 (33.3)4 (14.8)2 (7.4)1 (3.7)3 (11.1)
GentamicinS ≤ 4 R ≥ 16 27 (50) bc8 (29.6)9 (33.3)4 (14.8)2 (7.4)1 (3.7)3 (11.1)
CiprofloxacinS ≤ 0.5 R ≥ 2 32 (59.25) b10 (31.2)10 (31.2)10 (31.2)1 (3.1)1 (3.1)0 (0)
ColistinS ≤ 0.001 R ≥ 4 0 (0) e0 (0)0 (0)0 (0)0 (0)0 (0)0 (0)
a–e Values in a column without a common superscript letter differ (p ≤ 0.05).
Table 4. Antimicrobial-resistance profile of P. aeruginosa isolates (n = 54) recovered from cow, camel, mare, and drinking water.
Table 4. Antimicrobial-resistance profile of P. aeruginosa isolates (n = 54) recovered from cow, camel, mare, and drinking water.
Resistance PatternMDRNo.Uterine SwabDrinking Water
CowCamelMareCowCamelMare
CIP 1100000
GEN AMK 3002001
GEN CIP AMK 7320110
PIP 2020000
PIP CIP 6330000
PIP GEN AMK 2200000
PIP TZP 2000101
PIP TZP CIP 3003000
PIP TZP GEN AMK 4020002
PIP TZP GEN CIP AMK MDR2020000
PIP TZP CAZ ATM MDR3100110
PIP TZP CAZ ATM CIP MDR3003000
PIP TZP CAZ ATM GEN CIP AMK MDR8332000
PIP TZP CAZ ATM IPM MDR5230000
PIP TZP CAZ ATM IPM CIP MDR3002010
Ciprofloxacin (CIP); amikacin (AMK); piperacillin (PIP) piperacillin/tazobactam (TZP); aztronam (ATM); gentamicin (GEN); ceftazidime (CAZ); imipenem (IPM).
Table 5. Beta-lactamase gene types in phenotypic ESBL and MBL P. aeruginosa (n = 21) recovered from uterine swabs and drinking water.
Table 5. Beta-lactamase gene types in phenotypic ESBL and MBL P. aeruginosa (n = 21) recovered from uterine swabs and drinking water.
ProfileNo.Uterine SwabDrinking Water
CowCamelMareCowCamelMare
bla TEM 4121000
bla SHV 1001000
bla SHV-blaCTX-M 1100000
bla TEM-blaCTX-M 3102000
bla TEM-blaCTX M-blaVIM 4022000
bla TEM-blaSHV-blaCTX-M 4111001
bla TEM-blaSHV-blaVIM 3201000
bla TEM-blaVIM 1010000
Publisher’s Note: MDPI stays neutral with regard to jurisdictional claims in published maps and institutional affiliations.

Share and Cite

MDPI and ACS Style

Mahmoud, S.F.; Fayez, M.; Swelum, A.A.; Alswat, A.S.; Alkafafy, M.; Alzahrani, O.M.; Alsunaini, S.J.; Almuslem, A.; Al Amer, A.S.; Yusuf, S. Genetic Diversity, Biofilm Formation, and Antibiotic Resistance of Pseudomonas aeruginosa Isolated from Cow, Camel, and Mare with Clinical Endometritis. Vet. Sci. 2022, 9, 239. https://doi.org/10.3390/vetsci9050239

AMA Style

Mahmoud SF, Fayez M, Swelum AA, Alswat AS, Alkafafy M, Alzahrani OM, Alsunaini SJ, Almuslem A, Al Amer AS, Yusuf S. Genetic Diversity, Biofilm Formation, and Antibiotic Resistance of Pseudomonas aeruginosa Isolated from Cow, Camel, and Mare with Clinical Endometritis. Veterinary Sciences. 2022; 9(5):239. https://doi.org/10.3390/vetsci9050239

Chicago/Turabian Style

Mahmoud, Samy F., Mahmoud Fayez, Ayman A. Swelum, Amal S. Alswat, Mohamed Alkafafy, Othman M. Alzahrani, Saleem J. Alsunaini, Ahmed Almuslem, Abdulaziz S. Al Amer, and Shaymaa Yusuf. 2022. "Genetic Diversity, Biofilm Formation, and Antibiotic Resistance of Pseudomonas aeruginosa Isolated from Cow, Camel, and Mare with Clinical Endometritis" Veterinary Sciences 9, no. 5: 239. https://doi.org/10.3390/vetsci9050239

APA Style

Mahmoud, S. F., Fayez, M., Swelum, A. A., Alswat, A. S., Alkafafy, M., Alzahrani, O. M., Alsunaini, S. J., Almuslem, A., Al Amer, A. S., & Yusuf, S. (2022). Genetic Diversity, Biofilm Formation, and Antibiotic Resistance of Pseudomonas aeruginosa Isolated from Cow, Camel, and Mare with Clinical Endometritis. Veterinary Sciences, 9(5), 239. https://doi.org/10.3390/vetsci9050239

Note that from the first issue of 2016, this journal uses article numbers instead of page numbers. See further details here.

Article Metrics

Back to TopTop