Analysis of Potential Genes, Oxidative, Metabolic, and Hormonal Markers Associated with Postpartum Disorder Susceptibility in Barki Sheep (Ovis aries)
Simple Summary
Abstract
1. Introduction
2. Material and Methods
2.1. Animals
2.2. Study Design
2.3. Blood Sampling and Measurements
2.4. Total RNA Extraction, Reverse Transcription, and Quantitative Real-Time PCR
2.5. APPs, Iron Profile, and Hormonal Analysis
2.6. Statistical Analysis
3. Results
3.1. Patterns for Transcript Levels of Assessed Indicators
3.2. APPs, Iron Profile, and Hormonal Markers
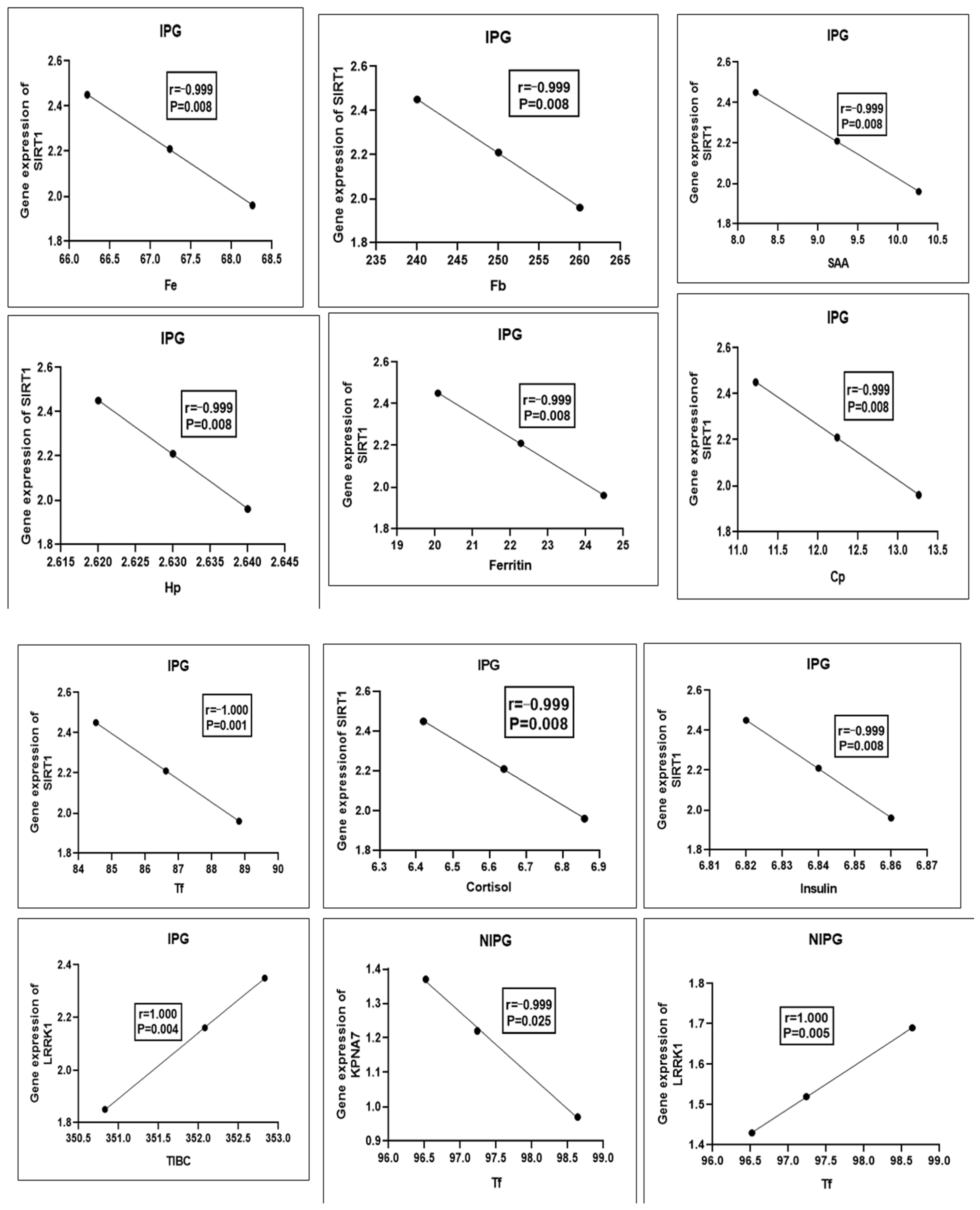
3.3. Correlation Between Gene Expression Pattern and Serum Profile of Acute Phase Proteins and Biochemical Markers in IPG and NIPG
4. Discussion
5. Conclusions
Author Contributions
Funding
Institutional Review Board Statement
Informed Consent Statement
Data Availability Statement
Acknowledgments
Conflicts of Interest
Abbreviations
| Cp | Caeruloplasmin |
| Fb | Fibrinogen |
| FBXL12 | F-Box and Leucine-Rich Repeat Protein 12 |
| GCLC | Glutamate-cysteine ligase |
| GCLM | Glutamate-Cysteine Ligase Modifier Subunit |
| Hp | Haptoglobin |
| KPNA7 | Karyopherin Subunit Alpha 7 |
| LRRK1 | Leucine-rich repeat kinase 1 |
| PGC-1α | Peroxisome proliferator-activated receptor gamma coactivator 1-alpha |
| SAA | Serum amyloid A |
| SI | Serum iron |
| SIRT1 | Sirtuin 1 |
| TF sat. % | Transferrin saturation |
| TIBC | Total iron-binding capacity |
| UIBC | Unsaturated iron-binding capacity |
References
- Fereig, R.M.; Ibrahim, R.M.; Khalil, A.M.; Frey, C.F.; Khalifa, F.A. Evaluation of clinical and biochemical traits in Egyptian Barki sheep with different growth performances. Animals 2023, 13, 962. [Google Scholar] [CrossRef]
- Abousoliman, I.; Reyer, H.; Oster, M.; Murani, E.; Mohamed, I.; Wimmers, K. Genome-wide analysis for early growth-related traits of the locally adapted Egyptian Barki sheep. Genes 2021, 12, 1243. [Google Scholar] [CrossRef] [PubMed]
- Nayel, U.; Fathy, A.A.; Kewan, K.; Ali, M. Effect of body weight and concentrate feeding frequency on productive and reproductive performance of barki ewes. Egypt. J. Nutr. Feed. 2022, 25, 223–236. [Google Scholar] [CrossRef]
- Manat, T.D.; Chaudhary, S.S.; Singh, V.K.; Patel, S.B.; Tyagi, K.K. Oxidative stress profile during postpartum period in Surti goats. Indian J. Anim. Res. 2017, 51, 837–840. [Google Scholar] [CrossRef][Green Version]
- Iliev, P.; Georgieva, T. Acute phase biomarkers of diseases in small ruminants: An overview. Bulg. J. Vet. Med. 2019, 22, 1–12. [Google Scholar] [CrossRef]
- Simplício, K.; Rocha, T.; Sanchez, D.; Cotrim, F.; Silva, P.; Fagliari, J. Serum concentrations of acute phase proteins in goats and ewes with naturally acquired Staphylococcus aureus mastitis. Arq. Bras. Med. Veterinária Zootec. 2017, 69, 285–292. [Google Scholar] [CrossRef]
- Faraz, A.; Younas, M.; Waheed, A.; Yaqoob, M.; Ishaq, K. Growth performance and hair mineral status of Marecha (Camelus dromedarius) calves reared under different management systems. Pak. J. Zool 2019, 51, 503–509. [Google Scholar] [CrossRef]
- Bazzano, M.; Giudice, E.; Giannetto, C.; Fazio, F.; Scollo, C.; Piccione, G. The peripartum period influenced the serum macromineral profile in mares. Arch. Anim. Breed. 2016, 59, 65–70. [Google Scholar] [CrossRef]
- Ceciliani, F.; Ceron, J.; Eckersall, P.; Sauerwein, H. Acute phase proteins in ruminants. J. Proteom. 2012, 75, 4207–4231. [Google Scholar] [CrossRef] [PubMed]
- Nazifi, S.; Esmailnezhad, Z.; Haghkhah, M.; Ghadirian, S.; Mirzaei, A. Acute phase response in lame cattle with interdigital dermatitis. World J. Microbiol. Biotechnol. 2012, 28, 1791–1796. [Google Scholar] [CrossRef]
- Mohebbı-fanı, M.; Ansarı-ları, M.; Nazıfı, S.; Abbası, F.; Shabbooeı, Z. Oxidative status and acute phase response in post-transition early-and mid-lactation Holstein cows and their correlations with some performance records. İstanbul Üniversitesi Vet. Fakültesi Derg. 2016, 42, 65–73. [Google Scholar] [CrossRef]
- Miglio, A.; Moscati, L.; Scoccia, E.; Maresca, C.; Antognoni, M.T.; Felici, A. Reference values for serum amyloid A, haptoglobin, lysozyme, zinc and iron in healthy lactating Lacaune sheep. Acta Vet. Scand. 2018, 60, 46. [Google Scholar] [CrossRef] [PubMed]
- Ceciliani, F.; Giordano, A.; Spagnolo, V. The systemic reaction during inflammation: The acute-phase proteins. Protein Pept. Lett. 2002, 9, 211–223. [Google Scholar] [CrossRef]
- Berry, D.P.; Bermingham, M.L.; Good, M.; More, S.J. Genetics of animal health and disease in cattle. Ir. Vet. J. 2011, 64, 5. [Google Scholar] [CrossRef] [PubMed]
- Pierce, C.F.; Brown, V.R.; Olsen, S.C.; Boggiatto, P.; Pedersen, K.; Miller, R.S.; Speidel, S.E.; Smyser, T.J. Loci associated with antibody response in feral swine (Sus scrofa) infected with Brucella suis. Front. Vet. Sci. 2020, 7, 554674. [Google Scholar] [CrossRef] [PubMed]
- Wang, X.; Zhang, X.; Lu, T.; Niu, L.; Wang, L.; Zhan, S.; Guo, J.; Cao, J.; Li, L.; Zhang, H. Nucleotide variants in TheTLR5 gene and promoter methylation with A susceptibility to brucellosis in Chinese goats. Folia Biol. 2022, 70, 55–66. [Google Scholar] [CrossRef]
- Maurizio, E.; Trangoni, M.D.; Rossi, U.A.; Dunleavy, M.; Colato, C.; Rossetti, C.A. Characterization of innate immune response to Brucella melitensis infection in goats with permissive or restrictive phenotype for Brucella intramacrophagic growth. Vet. Immunol. Immunopathol. 2021, 234, 110223. [Google Scholar] [CrossRef] [PubMed]
- Pugh, D.G.; Baird, A.N. (Eds.) Sheep and Goat Medicine, 2nd ed.; Elsevier: Amsterdam, The Netherlands, 2012; Available online: https://www.elsevier.com (accessed on 28 December 2024).
- Pfaffl, M.W. A new mathematical model for relative quantification in real-time RT–PCR. Nucleic Acids Res. 2001, 29, e45. [Google Scholar] [CrossRef] [PubMed]
- Hansen, V.L.; Faber, L.S.; Salehpoor, A.A.; Miller, R.D. A pronounced uterine pro-inflammatory response at parturition is an ancient feature in mammals. Proc. R. Soc. B Biol. Sci. 2017, 284, 20171694. [Google Scholar] [CrossRef] [PubMed]
- Egyedy, A.F.; Ametaj, B.N. Mastitis: Impact of dry period, pathogens, and immune responses on Etiopathogenesis of disease and its association with Periparturient diseases. Dairy 2022, 3, 881–906. [Google Scholar] [CrossRef]
- Zhang, Y.; Liu, J.; Yuan, S.; Liu, S.; Zhang, M.; Hu, H.; Cao, Y.; Hu, G.; Fu, S.; Guo, W. Unveiling the Regulatory Role of SIRT1 in Oxidative Stress Response of bovine mammary cells. J. Dairy Sci. 2024, 107, 8722–8735. [Google Scholar] [CrossRef]
- Heaton, M.P.; Bassett, A.S.; Whitman, K.J.; Krafsur, G.M.; Lee, S.I.; Carlson, J.M.; Clark, H.J.; Smith, H.R.; Pelster, M.C.; Basnayake, V. Evaluation of EPAS1 variants for association with bovine congestive heart failure. F1000Research 2019, 8, 1189. [Google Scholar] [CrossRef] [PubMed]
- Darwish, A.; Ebissy, E.; Ateya, A.; El-Sayed, A. Single nucleotide polymorphisms, gene expression and serum profile of immune and antioxidant markers associated with postpartum disorders susceptibility in Barki sheep. Anim. Biotechnol. 2023, 34, 327–339. [Google Scholar] [CrossRef]
- El-Sayed, A.; Refaai, M.; Ateya, A. Doppler ultrasonographic scan, gene expression and serum profile of immune, APPs and antioxidant markers in Egyptian buffalo–cows with clinical endometritis. Sci. Rep. 2024, 14, 5698. [Google Scholar] [CrossRef] [PubMed]
- El-Sayed, A.; Faraj, S.H.; Marghani, B.H.; Safhi, F.A.; Abdo, M.; Fericean, L.; Banatean-Dunea, I.; Alexandru, C.-C.; Alhimaidi, A.R.; Ammari, A.A. The Transcript Levels and the Serum Profile of Biomarkers Associated with Clinical Endometritis Susceptibility in Buffalo Cows. Vet. Sci. 2024, 11, 340. [Google Scholar] [CrossRef] [PubMed]
- Al-Sharif, M.; Abdo, M.; Shabrawy, O.E.; El-Naga, E.M.A.; Fericean, L.; Banatean-Dunea, I.; Ateya, A. Investigating polymorphisms and expression profile of immune, antioxidant, and erythritol-related genes for limiting postparturient endometritis in Holstein cattle. Vet. Sci. 2023, 10, 370. [Google Scholar] [CrossRef]
- Ateya, A.; Safhi, F.A.; El-Emam, H.; Al-Ghadi, M.Q.; Abdo, M.; Fericean, L.; Olga, R.; Mihaela, O.; Hizam, M.M.; Mamdouh, M. DNA polymorphisms and MRNA levels of immune biomarkers as candidates for inflammatory postpartum disorders susceptibility in Italian buffaloes. Vet. Sci. 2023, 10, 573. [Google Scholar] [CrossRef] [PubMed]
- Kalantary-Charvadeh, A.; Nazari Soltan Ahmad, S.; Aslani, S.; Beyrami, M.; Mesgari-Abbasi, M. β-lapachone protects against doxorubicin-induced hepatotoxicity through modulation of NAD+/SIRT-1/FXR/p-AMPK/NF-kB and Nrf2 signaling axis. J. Biochem. Mol. Toxicol. 2024, 38, e23564. [Google Scholar] [CrossRef] [PubMed]
- Wu, Y.-X.; Yang, X.-Y.; Han, B.-S.; Hu, Y.-Y.; An, T.; Lv, B.-H.; Lian, J.; Wang, T.-Y.; Bao, X.-L.; Gao, L. Naringenin regulates gut microbiota and SIRT1/PGC-1ɑ signaling pathway in rats with letrozole-induced polycystic ovary syndrome. Biomed. Pharmacother. 2022, 153, 113286. [Google Scholar] [CrossRef] [PubMed]
- Zhang, G.; Chen, Q.; Zhao, Z.; Zhang, X.; Chao, J.; Zhou, D.; Chai, W.; Yang, H.; Lai, Z.; He, Y. Nickel Grade Inversion of Lateritic Nickel Ore Using WorldView-3 Data Incorporating Geospatial Location Information: A Case Study of North Konawe, Indonesia. Remote Sens. 2023, 15, 3660. [Google Scholar] [CrossRef]
- Sha, W.; Zhao, B.; Wei, H.; Yang, Y.; Yin, H.; Gao, J.; Zhao, W.; Kong, W.; Ge, G.; Lei, T. Astragalus polysaccharide ameliorates vascular endothelial dysfunction by stimulating macrophage M2 polarization via potentiating Nrf2/HO-1 signaling pathway. Phytomedicine 2023, 112, 154667. [Google Scholar] [CrossRef] [PubMed]
- Wakabayashi, N.; Yagishita, Y.; Joshi, T.; Kensler, T.W. Forced Hepatic Expression of NRF2 or NQO1 Impedes Hepatocyte Lipid Accumulation in a Lipodystrophy Mouse Model. Int. J. Mol. Sci. 2023, 24, 13345. [Google Scholar] [CrossRef] [PubMed]
- Mostafa Tork, O.; Ahmed Rashed, L.; Bakr Sadek, N.; Abdel-Tawab, M.S. Targeting altered mitochondrial biogenesis in the brain of diabetic rats: Potential effect of pioglitazone and exendin-4. Rep. Biochem. Mol. Biol. 2019, 8, 287–300. [Google Scholar] [PubMed]
- Han, L.; Batistel, F.; Ma, Y.; Alharthi, A.; Parys, C.; Loor, J. Methionine supply alters mammary gland antioxidant gene networks via phosphorylation of nuclear factor erythroid 2-like 2 (NFE2L2) protein in dairy cows during the periparturient period. J. Dairy Sci. 2018, 101, 8505–8512. [Google Scholar] [CrossRef] [PubMed]
- Heaton, M.P.; Smith, T.P.; Carnahan, J.K.; Basnayake, V.; Qiu, J.; Simpson, B.; Kalbfleisch, T.S. P6026 Using diverse US beef cattle genomes to identify missense mutations in EPAS1, a gene associated with high-altitude pulmonary hypertension. J. Anim. Sci. 2016, 94, 161–162. [Google Scholar] [CrossRef]
- Newman, J.H.; Holt, T.N.; Cogan, J.D.; Womack, B.; Phillips III, J.A.; Li, C.; Kendall, Z.; Stenmark, K.R.; Thomas, M.G.; Brown, R.D. Increased prevalence of EPAS1 variant in cattle with high-altitude pulmonary hypertension. Nat. Commun. 2015, 6, 6863. [Google Scholar] [CrossRef] [PubMed]
- Jin, J.; Cardozo, T.; Lovering, R.C.; Elledge, S.J.; Pagano, M.; Harper, J.W. Systematic analysis and nomenclature of mammalian F-box proteins. Genes Dev. 2004, 18, 2573–2580. [Google Scholar] [CrossRef]
- Kelley, J.B.; Talley, A.M.; Spencer, A.; Gioeli, D.; Paschal, B.M. Karyopherin α7 (KPNA7), a divergent member of the importin α family of nuclear import receptors. BMC Cell Biol. 2010, 11, 63. [Google Scholar] [CrossRef] [PubMed]
- Xing, W.R.; Goodluck, H.; Zeng, C.; Mohan, S. Role and mechanism of action of leucine-rich repeat kinase 1 in bone. Bone Res. 2017, 5, 17003. [Google Scholar] [CrossRef]
- Westerlund, M.; Belin, A.; Anvret, A.; Bickford, P.; Olson, L.; Galter, D. Developmental regulation of leucine-rich repeat kinase 1 and 2 expression in the brain and other rodent and human organs: Implications for Parkinson’s disease. Neuroscience 2008, 152, 429–436. [Google Scholar] [CrossRef]
- Knaapen, A.M.; Seiler, F.; Schilderman, P.A.; Nehls, P.; Bruch, J.; Schins, R.P.; Borm, P.J. Neutrophils cause oxidative DNA damage in alveolar epithelial cells. Free Radic. Biol. Med. 1999, 27, 234–240. [Google Scholar] [CrossRef] [PubMed]
- Goff, J.P. Immune suppression around the time of calving and the impact of metabolic disease. Hungarian Vet J. 2008, 130, 39–42. [Google Scholar]
- Guerin, P.; El Mouatassim, S.; Menezo, Y. Oxidative stress and protection against reactive oxygen species in the pre-implantation embryo and its surroundings. Hum. Reprod. Update 2001, 7, 175–189. [Google Scholar] [CrossRef] [PubMed]
- Takahashi, M.; Keicho, K.; Takahashi, H.; Ogawa, H.; Schulte, R.; Okano, A. Effect of oxidative stress on development and DNA damage in in-vitro cultured bovine embryos by comet assay. Theriogenology 2000, 54, 137–145. [Google Scholar] [CrossRef] [PubMed]
- Bernabucci, U.; Ronchi, B.; Lacetera, N.; Nardone, A. Influence of body condition score on relationships between metabolic status and oxidative stress in periparturient dairy cows. J. Dairy Sci. 2005, 88, 2017–2026. [Google Scholar] [CrossRef] [PubMed]
- Biri, A.; Bozkurt, N.; Turp, A.; Kavutcu, M.; Himmetoglu, Ö.; Durak, İ. Role of oxidative stress in intrauterine growth restriction. Gynecol. Obstet. Investig. 2007, 64, 187–192. [Google Scholar] [CrossRef]
- Feijó, J.; Pereira, R.; Montagner, P.; Del Pino, F.; Schmitt, E.; Corrêa, M. Dynamics of acute phase proteins in dairy cows with subclinical hypocalcemia. Can. J. Anim. Sci. 2017, 98, 1–8. [Google Scholar] [CrossRef]
- Gädicke, P.; Letelier, R.; Chihuailaf, R.; RuizA, J.T. Variation in the Multivariate Relationships Between Serum Amyloid, Haptoglobin and Biochemical Profiles of Aborted and Non-Aborted Cows. SOJ Dairy Vet. Sci. 2021, 1, 1–6. [Google Scholar]
- Schmitt, R.; Pieper, L.; Gonzalez-Grajales, L.A.; Swinkels, J.; Gelfert, C.-C.; Staufenbiel, R. Evaluation of different acute-phase proteins for herd health diagnostics in early postpartum Holstein Friesian dairy cows. J. Dairy Res. 2021, 88, 33–37. [Google Scholar] [CrossRef]
- El-Deeb, W.; Abdelghani, M.A.; Alhaider, A.; Fayez, M. Research on acute phase proteins and inflammatory cytokines biomarkers in dromedary camels (Camelus dromedarius) with clinical endometritis. Trop. Anim. Health Prod. 2022, 54, 361. [Google Scholar] [CrossRef] [PubMed]
- Manimaran, A.; Kumaresan, A.; Jeyakumar, S.; Mohanty, T.; Sejian, V.; Kumar, N.; Sreela, L.; Prakash, M.A.; Mooventhan, P.; Anantharaj, A. Potential of acute phase proteins as predictor of postpartum uterine infections during transition period and its regulatory mechanism in dairy cattle. Vet. World 2016, 9, 91. [Google Scholar] [CrossRef] [PubMed]
- Hirvonen, J.; Pyörälä, S. Acute-phase response in dairy cows with surgically-treated abdominal disorders. Vet. J. 1998, 155, 53–61. [Google Scholar] [CrossRef] [PubMed]
- Fathi, E.; Hamali, H.; Kaleibar, M.T.; Farahzadi, R. Application of acute phase proteins as indicators of retained placenta and their relation to energy metabolites in postcalving dairy cows. Comp. Clin. Pathol. 2015, 24, 47–51. [Google Scholar] [CrossRef]
- Lucy, M.C. Stress, strain, and pregnancy outcome in postpartum cows. Anim. Reprod. 2019, 16, 455–464. [Google Scholar] [CrossRef] [PubMed]
- Swartz, T.H.; Bradford, B.J.; Mamedova, L.K. Connecting metabolism to mastitis: Hyperketonemia impaired mammary gland defenses during a Streptococcus uberis challenge in dairy cattle. Front. Immunol. 2021, 12, 700278. [Google Scholar] [CrossRef] [PubMed]
- Manimaran, A.; Kumaresan, A.; Sarkar, S.; Yadav, A.; Boya, S.; Sreela, L.; Layek, S.; Mohanty, A.; Mooventhan, P.; Wankhade, P.R. Peripheral concentrations of metabolic and inflammatory indicators during transition period and their relationship with postpartum clinical endometritis in dairy cattle. Indian J. Anim. Sci. 2019, 89, 1205–1210. [Google Scholar] [CrossRef]
- Rakesh, P.; Gopichandran, V.; Jamkhandi, D.; Manjunath, K.; George, K.; Prasad, J. Determinants of postpartum anemia among women from a rural population in southern India. Int. J. Women’s Health 2014, 6, 395–400. [Google Scholar] [CrossRef] [PubMed]
- Darwish, A.A. The clinicopathological picture of some postpartum disorders in barki ewes. Alex. J. Vet. Sci. 2019, 62, 16–25. [Google Scholar] [CrossRef]
- Tóthová, C.; Nagy, O.; Kovác, G. Changes in the concentrations of selected acute phase proteins and variables of energetic profile in dairy cows after parturition. J. Appl. Anim. Res. 2014, 42, 278–283. [Google Scholar] [CrossRef]


| Examined Marker | Primer | Product Size (bp) | Annealing Temperature (°C) | GenBank Isolate | Origin |
|---|---|---|---|---|---|
| PGC-1α | F5′-CCGTGCTCAGAGCTTCTCAA-3 R5′-CTGCTGTTCCGGTTCTCTGT-3′ | 80 | 58 | AY575608.1 | Present Research |
| SIRT1 | F5′-TGCTCGCCTTGCAATAGACT-3′ R5′-TCCACTGCACAGGCACATAC-3′ | 213 | 60 | XM_027962451 | |
| GCLC | F5′-CATTTGCAAAGGTGGCAACG-3′ R5′-TGGTGTCGATGGACATGAGC-3′ | 101 | 60 | XM_015102644.4 | |
| GCLM | F5′-AGTCACCAGCCTATCTGGTAT-3′ R5′-AGGACTGAGCAGGCCATATC-3′ | 248 | 60 | XM_060411958.1 | |
| EPAS1 | F5′-′ CGACCATGAGGAGATCCGTG-3′ R5′-GGGCAGTTGCTGTAGACCTT-3′ | 84 | 58 | JF267354.1 | |
| FBXL12 | F5′-TACACGGTATGCGGGTCTG-3′ R5′-CATGACTTTGGGCCGCATCT-3′ | 199 | 58 | XM_042249906.2 | |
| KPNA7 | F5′-ATCCAGCAGCTAATCGCCTG-3′ R5′-GTGAAGTTAGCCACCGTCCA-3′ | 107 | 60 | XM_015104257.4 | |
| LRRK1 | F5′-GTGAAGGCAGGGTTGCAGAAC-3′ R5′-ATCCTCACTGCCGTTTCACAA-3′ | 224 | 58 | XM_027956999.3 | |
| GAPDH | F5′-TGGTGAAGGTCGGAGTGAAC-3′ R5′-CCGTTCTCTGCCTTGACTGT-3′ | 187 | 60 | NM_001190390.1 |
| Parameter | CG | IPG | NIPG |
|---|---|---|---|
| Fb (mg/dL) | 144.75 ± 4.1 a | 268.50 ± 19.8 b | 241.10 ± 32.6 b,c |
| Cp (mg/dL) | 6.63 ± 1.1 a | 13.26 ± 1.4 b | 10.11 ± 0.07 b,c |
| Hp (g/dL) | 0.65 ± 0.02 a | 2.67 ± 0.04 b | 1.90 ± 0.04 b,c |
| SAA (mg/L) | 2.83 ± 0.02 a | 9.51 ± 1 b | 7.22 ± 0.67 a,b |
| Cortisol (μg/dL) | 3.50 ± 0.1 a | 6.75 ± 0.2 b | 5.55 ± 0.5 b,c |
| Insulin (μIU/mL) | 7.41 ± 0.1 a | 6.89 ± 0.05 b | 7.05 ± 0.01 b,c |
| Serum iron (μg/dL) | 96.93 ± 0.3 a | 67.55 ± 1.1 b | 80.83 ± 1.5 b,c |
| TIBC (μg/dL) | 338.04 ± 2.9 a | 352.38 ± 1.5 b | 345.13 ± 2.2 b,c |
| UIBC (μg/dL) | 241.11 ± 2.8 a | 284.83 ± 1.5 b | 264.30 ± 2.5 b,c |
| Transferrin(mg/dL) | 136.16 ± 2.7 a | 89.55 ± 3.2 b | 98.50 ± 1.4 b,c |
| Tf sat. % | 28.68 ± 0.2 a | 19.17 ± 0.3 b | 23.42 ± 0.4 b,c |
| Ferritin (ng/mL) | 11.58 ± 0.3 a | 22.94 ± 2.4 b | 17.11 ± 0.6 b,c |
| Parameters | Fb (mg/dL) | Cp (mg/dL) | Hp (g/dL) | SAA (mg/L) | ||||
|---|---|---|---|---|---|---|---|---|
| IPG | NIPG | IPG | NIPG | IPG | NIPG | IPG | NIPG | |
| Cut off | 147.5 | 147.5 | 7.60 | 7.60 | 0.68 | 0.68 | 2.84 | 2.84 |
| Sensitivity% | 100 | 100 | 100 | 100 | 100 | 100 | 100 | 100 |
| Specificity% | 70 | 70 | 75 | 75 | 90 | 90 | 80 | 80 |
| LR | 3.33 | 3.33 | 4 | 4 | 10 | 10 | 5 | 5 |
| PPV% | 76.92 | 76.92 | 80 | 80 | 90.91 | 90.91 | 83.33 | 83.33 |
| NPV% | 100 | 100 | 100 | 100 | 100 | 100 | 100 | 100 |
| Accuracy rate% | 85 | 85 | 87.5 | 87.5 | 95 | 95 | 90 | 90 |
| % of increase or decrease | 85.49 | 66.56 | 100 | 52.49 | 310.77 | 192.30 | 236.04 | 155.12 |
Disclaimer/Publisher’s Note: The statements, opinions and data contained in all publications are solely those of the individual author(s) and contributor(s) and not of MDPI and/or the editor(s). MDPI and/or the editor(s) disclaim responsibility for any injury to people or property resulting from any ideas, methods, instructions or products referred to in the content. |
© 2025 by the authors. Licensee MDPI, Basel, Switzerland. This article is an open access article distributed under the terms and conditions of the Creative Commons Attribution (CC BY) license (https://creativecommons.org/licenses/by/4.0/).
Share and Cite
Darwish, A.; Mohamed, A.J.; Faraj, S.H.; El-Sayed, A.; Alghamdi, M.A.; Sallam, A.M.; Eissa, A.; Farag, B.F.; Kamel, Y.; Embaby, E.M.; et al. Analysis of Potential Genes, Oxidative, Metabolic, and Hormonal Markers Associated with Postpartum Disorder Susceptibility in Barki Sheep (Ovis aries). Vet. Sci. 2025, 12, 219. https://doi.org/10.3390/vetsci12030219
Darwish A, Mohamed AJ, Faraj SH, El-Sayed A, Alghamdi MA, Sallam AM, Eissa A, Farag BF, Kamel Y, Embaby EM, et al. Analysis of Potential Genes, Oxidative, Metabolic, and Hormonal Markers Associated with Postpartum Disorder Susceptibility in Barki Sheep (Ovis aries). Veterinary Sciences. 2025; 12(3):219. https://doi.org/10.3390/vetsci12030219
Chicago/Turabian StyleDarwish, Asmaa, Ali J. Mohamed, Salah H. Faraj, Ahmed El-Sayed, Mansour A. Alghamdi, Ahmed M. Sallam, Attia Eissa, Belal F. Farag, Yasser Kamel, Eman M. Embaby, and et al. 2025. "Analysis of Potential Genes, Oxidative, Metabolic, and Hormonal Markers Associated with Postpartum Disorder Susceptibility in Barki Sheep (Ovis aries)" Veterinary Sciences 12, no. 3: 219. https://doi.org/10.3390/vetsci12030219
APA StyleDarwish, A., Mohamed, A. J., Faraj, S. H., El-Sayed, A., Alghamdi, M. A., Sallam, A. M., Eissa, A., Farag, B. F., Kamel, Y., Embaby, E. M., & Ateya, A. (2025). Analysis of Potential Genes, Oxidative, Metabolic, and Hormonal Markers Associated with Postpartum Disorder Susceptibility in Barki Sheep (Ovis aries). Veterinary Sciences, 12(3), 219. https://doi.org/10.3390/vetsci12030219

