The Puppies’ Age at Adoption Time Influences the Behavioral Responses of Adult Dog
Simple Summary
Abstract
1. Introduction
2. Materials and Methods
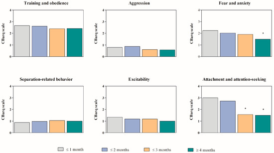
3. Results
4. Discussion
5. Conclusions
Supplementary Materials
Author Contributions
Funding
Institutional Review Board Statement
Informed Consent Statement
Data Availability Statement
Conflicts of Interest
References
- Barcelos, A.M.; Kargas, N.; Mills, D. The Effects of Dog Behavioural Problems on Owner Well-Being: A Review of the Literature and Future Directions. Pets 2024, 1, 53–69. [Google Scholar] [CrossRef]
- Mariti, C.; Gazzano, A.; Lansdown Moore, J.; Baragli, P.; Chelli, L.; Sighieri, C. Perception of dogs’ stress by their owners. J. Vet. Behav. 2012, 7, 213–219. [Google Scholar] [CrossRef]
- Coria-Avila, G.A.; Pfaus, J.G.; Orihuela, A.; Domínguez-Oliva, A.; José-Pérez, N.; Hernández, L.A.; Mota-Rojas, D. The Neurobiology of Behavior and Its Applicability for Animal Welfare: A Review. Animals 2022, 4, 928. [Google Scholar] [CrossRef] [PubMed]
- Bennett, P.C.; Rohlf, V.I. Owner-companion dog interactions: Relationships between demographic variables, potentially problematic behaviours, training engagement and shared activities. Appl. Anim. Behav. Sci. 2007, 102, 65–84. [Google Scholar] [CrossRef]
- McEvoy, V.; Espinosa, U.B.; Crump, A.; Arnott, G. Canine Socialisation: A Narrative Systematic Review. Animals 2022, 12, 2895. [Google Scholar] [CrossRef]
- Fox, M.W.; Stelzner, D. The effects of early experience on the development of inter and intraspecies social relationships in the dog. Anim. Behav. 1967, 15, 377–386. [Google Scholar] [CrossRef] [PubMed]
- González-Martínez, Á.; Martínez, M.F.; Rosado, B.; Luño, I.; Santamarina, G.; Suárez, M.L.; Camino, F.; de la Cruz, L.F.; Diéguez, F.J. Association between puppy classes and adulthood behavior of the dog. J. Vet. Behav. 2019, 32, 36–41. [Google Scholar] [CrossRef]
- Gácsi, M.; Gyori, B.; Miklósi, A.; Virányi, Z.; Kubinyi, E.; Topál, J.; Csányi, V. Species-specific differences and similarities in the behavior of hand-raised dog and wolf pups in social situations with humans. Dev. Psychobiol. 2005, 47, 111–122. [Google Scholar] [CrossRef] [PubMed]
- Pirrone, F.; Pierantoni, L.; Mazzola, S.M.; Vigo, D.; Albertini, M. Owner and Animal Factors Predict the Incidence of, and Owner Reaction Towards, Problem Behaviors in Companion Dogs. J. Vet. Behav. 2015, 10, 295–301. [Google Scholar] [CrossRef]
- Dinwoodie, I.R.; Dwyer, B.; Zottola, V.; Gleason, D.; Dodman, N.H. Demographics and comorbidity of behavior problems in dogs. J. Vet. Behav. Clin. Appl. Res. 2019, 32, 62–71. [Google Scholar] [CrossRef]
- Salonen, M.; Sulkama, S.; Mikkola, S.; Puurunen, J.; Hakanen, E.; Tiira, K.; Araujo, C.; Lohi, H. Prevalence, comorbidity, and breed differences in canine anxiety in 13,700 Finnish pet dogs. Sci. Rep. 2020, 10, 2962. [Google Scholar] [CrossRef]
- Broseghini, A.; Guérineau, C.; Lõoke, M.; Mariti, C.; Serpell, J.; Marinelli, L.; Mongillo, P. Canine Behavioral Assessment and Research Questionnaire (C-BARQ): Validation of the Italian Translation. Animals 2023, 13, 1254. [Google Scholar] [CrossRef]
- Jones, A.C.; Gosling, S.D. Temperament and personality in dogs (Canis familiaris): A review and evaluation of past research. Appl. Anim. Behav. Sci. 2005, 95, 1–53. [Google Scholar] [CrossRef]
- Haverbek, A.; De Smet, A.; Depiereux, E.; Giffroy, J.M.; Diederich, C. Assessing undesired aggression in military working dogs. Appl. Anim. Behav. Sci. 2009, 117, 55–62. [Google Scholar] [CrossRef]
- Barnard, S.; Siracusa, C.; Reisner, I.; Valsecchi, P.; Serpell, J.A. Validity of model devices used to assess temperament in behavioural tests. Appl. Anim. Behav. Sci. 2012, 138, 79.87. [Google Scholar] [CrossRef]
- Hsu, Y.; Serpell, J.A. Development and validation of a questionnaire for measuring behavior and temperament traits in pet dogs. J. Am. Vet. Med. Assoc. 2003, 223, 1293–1300. [Google Scholar] [CrossRef] [PubMed]
- Canejo-Teixeira, R.; Almiro, P.A.; Serpell, J.A.; Baptista, L.V.; Niza, E. Evaluation of the factor structure of the Canine Behavioural Assessment and Research Questionnaire (CBARQ) in European Portuguese. PLoS ONE 2018, 13, e0209852. [Google Scholar] [CrossRef] [PubMed]
- Cobb, M.L.; Otto, C.M.; Fine, A.H. The Animal Welfare Science of Working Dogs: Current Perspectives on Recent Advances and Future Directions. Front. Vet. Sci. 2021, 8, 666898. [Google Scholar] [CrossRef] [PubMed]
- Young, A.; Khalil, K.A.; Wharton, J. Empathy for Animals: A Review of the Existing Literature. Curator Mus. J. 2018, 61, 327–343. [Google Scholar] [CrossRef]
- Kinsman, R.H.; Jim, H.-L.; Casey, R.A.; Ruiz-Izaguirre, E.; Owczarczak-Garstecka, S.; Cooper, B.; Tasker, S.; Murray, J.K. Puppy Socialisation Experiences in Relation to Age and COVID-19 Lockdown Restrictions in the UK and ROI. Animals 2024, 14, 1471. [Google Scholar] [CrossRef]
- Puurunen, J.; Hakanen, E.; Salonen, M.K.; Mikkola, S.; Sulkama, S.; Araujo, C.; Lohi, H. Inadequate socialisation, inactivity, and urban living environment are associated with social fearfulness in pet dogs. Sci. Rep. 2020, 10, 3527. [Google Scholar] [CrossRef]
- Pierantoni, L.; Albertini, M.; Pirrone, F. Prevalence of owner-reported behaviours in dogs separated from the litter at two different ages. Vet. Rec. 2011, 169, 468. [Google Scholar] [CrossRef] [PubMed]
- Godbout, M.; Palestrini, C.; Beauchamp, G.; Frank, D. Puppy behavior at the veterinary clinic: A pilot study. J. Vet. Behav. 2007, 2, 126–135. [Google Scholar] [CrossRef]
- Didehban, N.; Borujeni, M.P.; Avizeh, R.; Mosallanejad, B. Problematic behaviors in companion dogs: A survey of their prevalence and associated factors. J. Vet. Behav. 2020, 39, 6–13. [Google Scholar] [CrossRef]
- Haug, L.I. Canine aggression toward unfamiliar people and dogs. Vet. Clin. Small Anim. 2008, 38, 1023–1041. [Google Scholar] [CrossRef] [PubMed]
- Appleby, D.L.; Bradshaw, J.W.; Casey, R.A. Relationship between aggressive and avoidance behaviour by dogs and their experience in the first six months of life. Vet. Rec. 2002, 150, 434–438. [Google Scholar] [CrossRef] [PubMed]
- Blackwell, E.J.; Bradshaw, J.W.; Casey, R.A. Fear responses to noises in domestic dogs: Prevalence, risk factors and co-occurrence with other fear related behaviour. Appl. Anim. Behav. Sci. 2013, 145, 15–25. [Google Scholar] [CrossRef]
- Stolzlechner, L.; Bonorand, A.; Riemer, S. Optimising Puppy Socialisation-Short- and Long-Term Effects of a Training Programme during the Early Socialisation Period. Animals 2022, 12, 3067. [Google Scholar] [CrossRef] [PubMed]


| Breed | N (%) | Age | Gender | N |
|---|---|---|---|---|
| Breeders dog | 23 (21.5%) | |||
| Rottweiler, | 5 | Median 5 years | Males | 14 |
| Mixed | 4 | Range 1–16 | Females | 9 |
| German shepherd | 3 | Age of adoption | ||
| Chihuahua, Cocker spaniel, Jack Russel terrier (2 each) | 6 | ≤1 month | 4 | |
| ≤2 months | 10 | |||
| Poodle, Maltese, Labrador retriever, Dachs hound, Dobermann (1 each) | 5 | ≤3 months | 5 | |
| ≥4 months | 4 | |||
| Private dog | 44 (41.1%) | |||
| Mixed | 11 | Median 4 years | Males | 27 |
| Labrador retriever, | 5 | Range 1–10 | Females | 17 |
| German shepherd | 4 | Age of adoption | ||
| Dachs hound, Boxer, Cocker spaniel, Jack Russel terrier (3 each) | 9 | ≤1 month | 17 | |
| ≤2 months | 17 | |||
| American Staffordshire terrier, Pitbull, Chihuahua, Poodle (2 each) | 8 | ≤3 months | 7 | |
| ≥4 months | 3 | |||
| Beagle, Dobermann, Dalmatian, Pointer, Italian rough-haired segugio, Yorkshire terrier, English setter (1 each) | 7 | |||
| Shelter dogs | 40 (37.4%) | |||
| Mixed | 34 | Median 4 years | Males | 24 |
| English setter | 2 | Range 1–12 | Females | 16 |
| Dachs hound, Italian rough-haired segugio, Yorkshire terrier, Jack Russell terrier (1 each) | 4 | Age of adoption | ||
| ≤1 month | 7 | |||
| ≤2 months | 12 | |||
| ≤3 months | 12 | |||
| ≥4 months | 9 |
Disclaimer/Publisher’s Note: The statements, opinions and data contained in all publications are solely those of the individual author(s) and contributor(s) and not of MDPI and/or the editor(s). MDPI and/or the editor(s) disclaim responsibility for any injury to people or property resulting from any ideas, methods, instructions or products referred to in the content. |
© 2025 by the authors. Licensee MDPI, Basel, Switzerland. This article is an open access article distributed under the terms and conditions of the Creative Commons Attribution (CC BY) license (https://creativecommons.org/licenses/by/4.0/).
Share and Cite
Cocco, R.; Arfuso, F.; Sechi, S.; Piccione, G.; Giannetto, C.; Arrigo, F.; Rizzo, M. The Puppies’ Age at Adoption Time Influences the Behavioral Responses of Adult Dog. Vet. Sci. 2025, 12, 176. https://doi.org/10.3390/vetsci12020176
Cocco R, Arfuso F, Sechi S, Piccione G, Giannetto C, Arrigo F, Rizzo M. The Puppies’ Age at Adoption Time Influences the Behavioral Responses of Adult Dog. Veterinary Sciences. 2025; 12(2):176. https://doi.org/10.3390/vetsci12020176
Chicago/Turabian StyleCocco, Raffaella, Francesca Arfuso, Sara Sechi, Giuseppe Piccione, Claudia Giannetto, Federica Arrigo, and Maria Rizzo. 2025. "The Puppies’ Age at Adoption Time Influences the Behavioral Responses of Adult Dog" Veterinary Sciences 12, no. 2: 176. https://doi.org/10.3390/vetsci12020176
APA StyleCocco, R., Arfuso, F., Sechi, S., Piccione, G., Giannetto, C., Arrigo, F., & Rizzo, M. (2025). The Puppies’ Age at Adoption Time Influences the Behavioral Responses of Adult Dog. Veterinary Sciences, 12(2), 176. https://doi.org/10.3390/vetsci12020176

