Optimizing Parkinson’s Disease Prediction: A Comparative Analysis of Data Aggregation Methods Using Multiple Voice Recordings via an Automated Artificial Intelligence Pipeline
Abstract
1. Introduction
2. Parkinson Disease and Dataset Description
3. Methods (Workflow Description)
3.1. Data Preprocessing
3.1.1. Train–Test Split
3.1.2. Bag Over-Sampling (BOS)
3.2. Handling Multiple Instances
3.2.1. Post-Aggregation Strategy
3.2.2. Pre-Aggregation Strategy
3.3. Artificial Intelligence (AI) Algorithms
3.3.1. Hyperparameter Tuning
3.3.2. Model Evaluation
3.4. Workflow
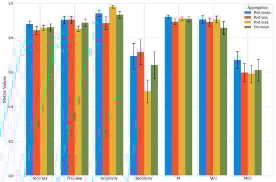
4. Results
5. Discussion
5.1. Findings
5.2. Future Directions
6. Conclusions
Supplementary Materials
Author Contributions
Funding
Data Availability Statement
Acknowledgments
Conflicts of Interest
References
- Olawade, D.B.; David-Olawade, A.C.; Wada, O.Z.; Asaolu, A.J.; Adereni, T.; Ling, J. Artificial intelligence in healthcare delivery: Prospects and pitfalls. J. Med. Surg. Public Health 2024, 3, 100108. [Google Scholar] [CrossRef]
- Alowais, S.A.; Alghamdi, S.S.; Alsuhebany, N.; Alqahtani, T.; Alshaya, A.I.; Almohareb, S.N.; Aldairem, A.; Alrashed, M.; Bin Saleh, K.; Badreldin, H.A.; et al. Revolutionizing healthcare: The role of artificial intelligence in clinical practice. BMC Med. Educ. 2023, 23, 689. [Google Scholar] [CrossRef] [PubMed]
- Maleki Varnosfaderani, S.; Forouzanfar, M. The Role of AI in Hospitals and Clinics: Transforming Healthcare in the 21st Century. Bioengineering 2024, 11, 337. [Google Scholar] [CrossRef]
- Javaid, M.; Haleem, A.; Pratap Singh, R.; Suman, R.; Rab, S. Significance of machine learning in healthcare: Features, pillars and applications. Int. J. Intell. Netw. 2022, 3, 58–73. [Google Scholar] [CrossRef]
- Siddique, S.; Chow, J.C.L. Machine Learning in Healthcare Communication. Encyclopedia 2021, 1, 220–239. [Google Scholar] [CrossRef]
- Sterkenburg, T.F.; Grünwald, P.D. The no-free-lunch theorems of supervised learning. Synthese 2021, 199, 9979–10015. [Google Scholar] [CrossRef]
- Xu, Y.; Liu, X.; Cao, X.; Huang, C.; Liu, E.; Qian, S.; Liu, X.; Wu, Y.; Dong, F.; Qiu, C.-W.; et al. Artificial intelligence: A powerful paradigm for scientific research. Innovation 2021, 2, 100179. [Google Scholar] [CrossRef]
- Datta, S.D.; Islam, M.; Rahman Sobuz, M.H.; Ahmed, S.; Kar, M. Artificial intelligence and machine learning applications in the project lifecycle of the construction industry: A comprehensive review. Heliyon 2024, 10, e26888. [Google Scholar] [CrossRef]
- Salmi, M.; Atif, D.; Oliva, D.; Abraham, A.; Ventura, S. Handling imbalanced medical datasets: Review of a decade of research. Artif. Intell. Rev. 2024, 57, 273. [Google Scholar] [CrossRef]
- Carbonneau, M.-A.; Cheplygina, V.; Granger, E.; Gagnon, G. Multiple instance learning: A survey of problem characteristics and applications. Pattern Recognit. 2018, 77, 329–353. [Google Scholar] [CrossRef]
- Foulds, J.; Frank, E. A review of multi-instance learning assumptions. Knowl. Eng. Rev. 2010, 25, 1–25. [Google Scholar] [CrossRef]
- Ilse, M.; Tomczak, J.M.; Welling, M. Chapter 22—Deep multiple instance learning for digital histopathology. In Handbook of Medical Image Computing and Computer Assisted Intervention; Zhou, S.K., Rueckert, D., Fichtinger, G., Eds.; Academic Press: Cambridge, MA, USA, 2020; pp. 521–546. [Google Scholar] [CrossRef]
- Asif, A.; Minhas, F.u.A.A. An embarrassingly simple approach to neural multiple instance classification. Pattern Recognit. Lett. 2019, 128, 474–479. [Google Scholar] [CrossRef]
- Luan, T.; Gu, S.; Tang, X.; Zhuge, W.; Hou, C. Multi-Instance Learning with One Side Label Noise. ACM Trans. Knowl. Discov. Data 2024, 18, 122. [Google Scholar] [CrossRef]
- Møllersen, K.; Hardeberg, J.Y.; Godtliebsen, F. A Probabilistic Bag-to-Class Approach to Multiple-Instance Learning. Data 2020, 5, 56. [Google Scholar] [CrossRef]
- Herold, F.; Törpel, A.; Hamacher, D.; Budde, H.; Zou, L.; Strobach, T.; Müller, N.G.; Gronwald, T. Causes and Consequences of Interindividual Response Variability: A Call to Apply a More Rigorous Research Design in Acute Exercise-Cognition Studies. Front. Physiol. 2021, 12, 682891. [Google Scholar] [CrossRef]
- Zhou, Z.-H.; Zhang, M.-L. Solving multi-instance problems with classifier ensemble based on constructive clustering. Knowl. Inf. Syst. 2007, 11, 155–170. [Google Scholar] [CrossRef]
- Aarsland, D.; Batzu, L.; Halliday, G.M.; Geurtsen, G.J.; Ballard, C.; Ray Chaudhuri, K.; Weintraub, D. Parkinson disease-associated cognitive impairment. Nat. Rev. Dis. Primers 2021, 7, 47. [Google Scholar] [CrossRef]
- Ramesh, S.; Arachchige, A. Depletion of dopamine in Parkinson’s disease and relevant therapeutic options: A review of the literature. AIMS Neurosci. 2023, 10, 200–231. [Google Scholar] [CrossRef]
- Radad, K.; Moldzio, R.; Krewenka, C.; Kranner, B.; Rausch, W.-D. Pathophysiology of non-motor signs in Parkinson’s disease: Some recent updating with brief presentation. Explor. Neuroprotect. Ther. 2023, 3, 24–46. [Google Scholar] [CrossRef]
- Chaudhuri, K.R.; Schapira, A.H.V. Non-motor symptoms of Parkinson’s disease: Dopaminergic pathophysiology and treatment. Lancet Neurol. 2009, 8, 464–474. [Google Scholar] [CrossRef]
- Rana, A.Q.; Ahmed, U.S.; Chaudry, Z.M.; Vasan, S. Parkinson’s disease: A review of non-motor symptoms. Expert Rev. Neurother. 2015, 15, 549–562. [Google Scholar] [CrossRef] [PubMed]
- Park, A.; Stacy, M. Non-motor symptoms in Parkinson’s disease. J. Neurol. 2009, 256, 293–298. [Google Scholar] [CrossRef] [PubMed]
- Thach, A.; Jones, E.; Pappert, E.; Pike, J.; Wright, J.; Gillespie, A. Real-world assessment of the impact of “OFF” episodes on health-related quality of life among patients with Parkinson’s disease in the United States. BMC Neurol. 2021, 21, 46. [Google Scholar] [CrossRef] [PubMed]
- Zhu, J.; Cui, Y.; Zhang, J.; Yan, R.; Su, D.; Zhao, D.; Wang, A.; Feng, T. Temporal trends in the prevalence of Parkinson’s disease from 1980 to 2023: A systematic review and meta-analysis. Lancet Healthy Longev. 2024, 5, e464–e479. [Google Scholar] [CrossRef] [PubMed]
- Dorsey, E.R.; Bloem, B.R. The Parkinson Pandemic—A Call to Action. JAMA Neurol. 2018, 75, 9–10. [Google Scholar] [CrossRef]
- Schiess, N.; Cataldi, R.; Okun, M.S.; Fothergill-Misbah, N.; Dorsey, E.R.; Bloem, B.R.; Barretto, M.; Bhidayasiri, R.; Brown, R.; Chishimba, L.; et al. Six Action Steps to Address Global Disparities in Parkinson Disease: A World Health Organization Priority. JAMA Neurol. 2022, 79, 929–936. [Google Scholar] [CrossRef]
- Savica, R.; Grossardt, B.R.; Bower, J.H.; Ahlskog, J.E.; Rocca, W.A. Time Trends in the Incidence of Parkinson Disease. JAMA Neurol. 2016, 73, 981–989. [Google Scholar] [CrossRef]
- Kowal, S.L.; Dall, T.M.; Chakrabarti, R.; Storm, M.V.; Jain, A. The current and projected economic burden of Parkinson’s disease in the United States. Mov. Disord. 2013, 28, 311–318. [Google Scholar] [CrossRef]
- Rong, S.; Xu, G.; Liu, B.; Sun, Y.; Snetselaar, L.G.; Wallace, R.B.; Li, B.; Liao, J.; Bao, W. Trends in Mortality from Parkinson Disease in the United States, 1999–2019. Neurology 2021, 97, e1986–e1993. [Google Scholar] [CrossRef]
- Ayyadevara, S.; Balasubramaniam, M.; Kakraba, S.; Alla, R.; Mehta, J.L.; Shmookler Reis, R.J. Aspirin-Mediated Acetylation Protects Against Multiple Neurodegenerative Pathologies by Impeding Protein Aggregation. Antioxid. Redox Signal. 2017, 27, 1383–1396. [Google Scholar] [CrossRef]
- Bowroju, S.K.; Mainali, N.; Ayyadevara, S.; Penthala, N.R.; Krishnamachari, S.; Kakraba, S.; Shmookler Reis, R.J.; Crooks, P.A. Design and Synthesis of Novel Hybrid 8-Hydroxy Quinoline-Indole Derivatives as Inhibitors of Aβ Self-Aggregation and Metal Chelation-Induced Aβ Aggregation. Molecules 2020, 25, 3610. [Google Scholar] [CrossRef] [PubMed]
- Kakraba, S.; Ayyadevara, S.; Mainali, N.; Balasubramaniam, M.; Bowroju, S.; Penthala, N.R.; Atluri, R.; Barger, S.W.; Griffin, S.T.; Crooks, P.A.; et al. Thiadiazolidinone (TDZD) Analogs Inhibit Aggregation-Mediated Pathology in Diverse Neurodegeneration Models, and Extend Life- and Healthspan. Pharmaceuticals 2023, 16, 1498. [Google Scholar] [CrossRef] [PubMed]
- Kakraba, S.; Ayyadevara, S.; Penthala, N.R.; Balasubramaniam, M.; Ganne, A.; Liu, L.; Alla, R.; Bommagani, S.B.; Barger, S.W.; Griffin, W.S.T.; et al. A Novel Microtubule-Binding Drug Attenuates and Reverses Protein Aggregation in Animal Models of Alzheimer’s Disease. Front. Mol. Neurosci. 2019, 12, 310. [Google Scholar] [CrossRef]
- Tod, A.M.; Kennedy, F.; Stocks, A.-J.; McDonnell, A.; Ramaswamy, B.; Wood, B.; Whitfield, M. Good-quality social care for people with Parkinson’s disease: A qualitative study. BMJ Open 2016, 6, e006813. [Google Scholar] [CrossRef]
- Paulsen, J.S.; Nance, M.; Kim, J.-I.; Carlozzi, N.E.; Panegyres, P.K.; Erwin, C.; Goh, A.; McCusker, E.; Williams, J.K. A review of quality of life after predictive testing for and earlier identification of neurodegenerative diseases. Prog. Neurobiol. 2013, 110, 2–28. [Google Scholar] [CrossRef]
- Alanazi, M.D.S.; Ateeq, H.A.A.A.; Aldhefri, A.B.; Alanazi, A.H.; Almutairi, M.A.A.; Almogamas, A.M.A.; Al-Qahtani, A.Y.; Khabrani, H.A. Parkinson’s Disease: Neurotransmitter Imbalance, Motor Dysfunction, and Nursing Interventions for Quality of Life. J. Int. Crisis Risk Commun. Res. 2024, 7, 269–282. [Google Scholar]
- Bužgová, R.; Kozáková, R.; Bar, M. The effect of neuropalliative care on quality of life and satisfaction with quality of care in patients with progressive neurological disease and their family caregivers: An interventional control study. BMC Palliat. Care 2020, 19, 143. [Google Scholar] [CrossRef]
- Rees, R.N.; Acharya, A.P.; Schrag, A.; Noyce, A.J. An early diagnosis is not the same as a timely diagnosis of Parkinson’s disease. F1000Research 2018, 7. [Google Scholar] [CrossRef]
- Dodel, R.C.; Berger, K.; Oertel, W.H. Health-Related Quality of Life and Healthcare Utilisation in Patients with Parkinson’s Disease. Pharmacoeconomics 2001, 19, 1013–1038. [Google Scholar] [CrossRef]
- Goldman, J.G.; Volpe, D.; Ellis, T.D.; Hirsch, M.A.; Johnson, J.; Wood, J.; Aragon, A.; Biundo, R.; Di Rocco, A.; Kasman, G.S.; et al. Delivering Multidisciplinary Rehabilitation Care in Parkinson’s Disease: An International Consensus Statement. J. Park. Dis. 2024, 14, 135–166. [Google Scholar] [CrossRef]
- Sakar, C.; Serbes, G.; Gunduz, A.; Nizam, H.; Sakar, B. Parkinson’s Disease Classification [Dataset]. 2018. Available online: https://archive.ics.uci.edu/dataset/470/parkinson+s+disease+classification (accessed on 1 September 2024).
- Wang, M.; Zhao, X.; Li, F.; Wu, L.; Li, Y.; Tang, R.; Yao, J.; Lin, S.; Zheng, Y.; Ling, Y.; et al. Using sustained vowels to identify patients with mild Parkinson’s disease in a Chinese dataset. Front. Aging Neurosci. 2024, 16, 1377442. [Google Scholar] [CrossRef] [PubMed]
- Aich, S.; Kim, H.C.; Younga, K.; Hui, K.L.; Al-Absi, A.A.; Sain, M. A Supervised Machine Learning Approach using Different Feature Selection Techniques on Voice Datasets for Prediction of Parkinson’s Disease. In Proceedings of the 2019 21st International Conference on Advanced Communication Technology (ICACT), PyeongChang, Republic of Korea, 17–20 February 2019; pp. 1116–1121. [Google Scholar]
- Ho, A.K.; Iansek, R.; Marigliani, C.; Bradshaw, J.L.; Gates, S. Speech impairment in a large sample of patients with Parkinson’s disease. Behav. Neurol. 1998, 11, 131–137. [Google Scholar] [CrossRef] [PubMed]
- Vandana, V.P.; Darshini, J.K.; Vikram, V.H.; Nitish, K.; Kumar, P.P.; Ravi, Y. Speech Characteristics of Patients with Parkinson’s Disease-Does Dopaminergic Medications Have a Role? J. Neurosci. Rural Pract. 2021, 12, 673–679. [Google Scholar] [CrossRef] [PubMed]
- Skodda, S. Aspects of speech rate and regularity in Parkinson’s disease. J. Neurol. Sci. 2011, 310, 231–236. [Google Scholar] [CrossRef]
- Tabari, F.; Berger, J.I.; Flouty, O.; Copeland, B.; Greenlee, J.D.; Johari, K. Speech, voice, and language outcomes following deep brain stimulation: A systematic review. PLoS ONE 2024, 19, e0302739. [Google Scholar] [CrossRef]
- Krasko, M.N.; Hoffmeister, J.D.; Schaen-Heacock, N.E.; Welsch, J.M.; Kelm-Nelson, C.A.; Ciucci, M.R. Rat Models of Vocal Deficits in Parkinson’s Disease. Brain Sci. 2021, 11, 925. [Google Scholar] [CrossRef]
- Iyer, A.; Kemp, A.; Rahmatallah, Y.; Pillai, L.; Glover, A.; Prior, F.; Larson-Prior, L.; Virmani, T. A machine learning method to process voice samples for identification of Parkinson’s disease. Sci. Rep. 2023, 13, 20615. [Google Scholar] [CrossRef]
- Berus, L.; Klancnik, S.; Brezocnik, M.; Ficko, M. Classifying Parkinson’s Disease Based on Acoustic Measures Using Artificial Neural Networks. Sensors 2019, 19, 16. [Google Scholar] [CrossRef]
- Pedregosa, F. Scikit-learn: Machine learning in Python. J. Mach. Learn. Res. 2011, 12, 2825. [Google Scholar]
- Tan, J.; Yang, J.; Wu, S.; Chen, G.; Zhao, J. A critical look at the current train/test split in machine learning. arXiv 2021, arXiv:2106.04525. [Google Scholar]
- Szeghalmy, S.; Fazekas, A. A Comparative Study of the Use of Stratified Cross-Validation and Distribution-Balanced Stratified Cross-Validation in Imbalanced Learning. Sensors 2023, 23, 2333. [Google Scholar] [CrossRef] [PubMed]
- Zheng, W.; Jin, M. The Effects of Class Imbalance and Training Data Size on Classifier Learning: An Empirical Study. SN Comput. Sci. 2020, 1, 71. [Google Scholar] [CrossRef]
- Cao, P.; Ren, F.; Wan, C.; Yang, J.; Zaiane, O. Efficient multi-kernel multi-instance learning using weakly supervised and imbalanced data for diabetic retinopathy diagnosis. Comput. Med. Imaging Graph. 2018, 69, 112–124. [Google Scholar] [CrossRef] [PubMed]
- Chawla, N.; Bowyer, K.; Hall, L.O.; Kegelmeyer, W.P. SMOTE: Synthetic Minority Over-sampling Technique. arXiv 2002, arXiv:1106.1813. [Google Scholar] [CrossRef]
- Liu, L. Research on Logistic Regression Algorithm of Breast Cancer Diagnose Data by Machine Learning. In Proceedings of the 2018 International Conference on Robots & Intelligent System (ICRIS), Changsha, China, 26–27 May 2018; pp. 157–160. [Google Scholar]
- Charbuty, B.; Abdulazeez, A. Classification Based on Decision Tree Algorithm for Machine Learning. J. Appl. Sci. Technol. Trends 2021, 2, 20–28. [Google Scholar] [CrossRef]
- Liu, Y.; Wang, Y.; Zhang, J. New Machine Learning Algorithm: Random Forest. In Information Computing and Applications; Springer: Berlin/Heidelberg, Germany, 2012. [Google Scholar]
- Natekin, A.; Knoll, A. Gradient boosting machines, a tutorial. Front. Neurorobot. 2013, 7, 21. [Google Scholar] [CrossRef]
- Chen, T.; Guestrin, C. XGBoost: A Scalable Tree Boosting System. In Proceedings of the 22nd ACM SIGKDD International Conference on Knowledge Discovery and Data Mining, San Francisco, CA, USA, 13–17 August 2016. [Google Scholar]
- Ke, G.; Meng, Q.; Finley, T.; Wang, T.; Chen, W.; Ma, W.; Ye, Q.; Liu, T.-Y. LightGBM: A Highly Efficient Gradient Boosting Decision Tree. In Neural Information Processing Systems; Curran Associates Inc.: San Francisco, CA, USA, 2017. [Google Scholar]
- Jodas, D.S.; Passos, L.A.; Adeel, A.; Papa, J.P. PL-kNN: A Python-based implementation of a parameterless k-Nearest Neighbors classifier. Softw. Impacts 2023, 15, 100459. [Google Scholar] [CrossRef]
- Abdullah, D.M.; Abdulazeez, A.M. Machine Learning Applications based on SVM Classification A Review. Qubahan Acad. J. 2021, 1, 81–90. [Google Scholar] [CrossRef]
- Lowd, D.; Domingos, P.M. Naive Bayes models for probability estimation. In Proceedings of the 22nd International Conference on Machine Learning, Bonn, Germany, 7–11 August 2005. [Google Scholar]
- Schapire, R.E. The Boosting Approach to Machine Learning: An Overview. In Nonlinear Estimation and Classification; Denison, D.D., Hansen, M.H., Holmes, C.C., Mallick, B., Yu, B., Eds.; Springer: New York, NY, USA, 2003; pp. 149–171. [Google Scholar]
- Orrù, P.F.; Zoccheddu, A.; Sassu, L.; Mattia, C.; Cozza, R.; Arena, S. Machine Learning Approach Using MLP and SVM Algorithms for the Fault Prediction of a Centrifugal Pump in the Oil and Gas Industry. Sustainability 2020, 12, 4776. [Google Scholar] [CrossRef]
- Mienye, I.D.; Sun, Y. A Survey of Ensemble Learning: Concepts, Algorithms, Applications, and Prospects. IEEE Access 2022, 10, 99129–99149. [Google Scholar] [CrossRef]
- Jakhar, A.K.; Gupta, A.; Singh, M. SELF: A stacked-based ensemble learning framework for breast cancer classification. Evol. Intell. 2024, 17, 1341–1356. [Google Scholar] [CrossRef]
- Shekar, B.H.; Dagnew, G. Grid Search-Based Hyperparameter Tuning and Classification of Microarray Cancer Data. In Proceedings of the 2019 Second International Conference on Advanced Computational and Communication Paradigms (ICACCP), Gangtok, India, 25–28 February 2019. [Google Scholar]
- Browne, M.W. Cross-Validation Methods. J. Math. Psychol. 2000, 44, 108–132. [Google Scholar] [CrossRef] [PubMed]
- Roberts, D.R.; Bahn, V.; Ciuti, S.; Boyce, M.S.; Elith, J.; Guillera-Arroita, G.; Hauenstein, S.; Lahoz-Monfort, J.J.; Schröder, B.; Thuiller, W.; et al. Cross-validation strategies for data with temporal, spatial, hierarchical, or phylogenetic structure. Ecography 2017, 40, 913–929. [Google Scholar] [CrossRef]
- Wardhani, N.W.S.; Rochayani, M.Y.; Iriany, A.; Sulistyono, A.D.; Lestantyo, P. Cross-validation Metrics for Evaluating Classification Performance on Imbalanced Data. In Proceedings of the 2019 International Conference on Computer, Control, Informatics and its Applications (IC3INA), Tangerang, Indonesia, 23–24 October 2019. [Google Scholar]
- Halimu, C.; Kasem, A.; Newaz, S.M. Empirical Comparison of Area under ROC curve (AUC) and Mathew Correlation Coefficient (MCC) for Evaluating Machine Learning Algorithms on Imbalanced Datasets for Binary Classification. In Proceedings of the 3rd International Conference on Machine Learning and Soft Computing, Da Lat, Vietnam, 25–28 January 2019. [Google Scholar]
- Pah, N.D.; Motin, M.A.; Kempster, P.; Kumar, D.K. Detecting Effect of Levodopa in Parkinson’s Disease Patients Using Sustained Phonemes. IEEE J. Transl. Eng. Health Med. 2021, 9, 4900409. [Google Scholar] [CrossRef]
- Ngo, Q.C.; Motin, M.A.; Pah, N.D.; Drotár, P.; Kempster, P.; Kumar, D. Computerized analysis of speech and voice for Parkinson’s disease: A systematic review. Comput. Methods Programs Biomed. 2022, 226, 107133. [Google Scholar] [CrossRef]
- Ali, L.; Zhu, C.; Zhang, Z.; Liu, Y. Automated Detection of Parkinson’s Disease Based on Multiple Types of Sustained Phonations Using Linear Discriminant Analysis and Genetically Optimized Neural Network. IEEE J. Transl. Eng. Health Med. 2019, 7, 2000410. [Google Scholar] [CrossRef]
- Arora, S.; Tsanas, A. Assessing Parkinson’s Disease at Scale Using Telephone-Recorded Speech: Insights from the Parkinson’s Voice Initiative. Diagnostics 2021, 11, 1892. [Google Scholar] [CrossRef]
- Azadi, H.; Akbarzadeh-T, M.-R.; Shoeibi, A.; Kobravi, H.R. Evaluating the Effect of Parkinson’s Disease on Jitter and Shimmer Speech Features. Adv. Biomed. Res. 2021, 10, 54. [Google Scholar] [CrossRef]
- Viswanathan, R.; Arjunan, S.P.; Bingham, A.; Jelfs, B.; Kempster, P.; Raghav, S.; Kumar, D.K. Complexity Measures of Voice Recordings as a Discriminative Tool for Parkinson’s Disease. Biosensors 2020, 10, 1. [Google Scholar] [CrossRef]
- Gunduz, H. Deep Learning-Based Parkinson’s Disease Classification Using Vocal Feature Sets. IEEE Access 2019, 7, 115540–115551. [Google Scholar] [CrossRef]
- Polat, K.; Nour, M. Parkinson disease classification using one against all based data sampling with the acoustic features from the speech signals. Med. Hypotheses 2020, 140, 109678. [Google Scholar] [CrossRef] [PubMed]
- Sakar, C.O.; Serbes, G.; Gunduz, A.; Tunc, H.C.; Nizam, H.; Sakar, B.E.; Tutuncu, M.; Aydin, T.; Isenkul, M.E.; Apaydin, H. A comparative analysis of speech signal processing algorithms for Parkinson’s disease classification and the use of the tunable Q-factor wavelet transform. Appl. Soft Comput. 2019, 74, 255–263. [Google Scholar] [CrossRef]
- Sakar, B.E.; Isenkul, M.E.; Sakar, C.O.; Sertbas, A.; Gurgen, F.; Delil, S.; Apaydin, H.; Kursun, O. Collection and analysis of a Parkinson speech dataset with multiple types of sound recordings. IEEE J. Biomed. Health Inform. 2013, 17, 828–834. [Google Scholar] [CrossRef] [PubMed]
- Naranjo, L.; Pérez, C.J.; Martín, J.; Campos-Roca, Y. A two-stage variable selection and classification approach for Parkinson’s disease detection by using voice recording replications. Comput. Methods Programs Biomed. 2017, 142, 147–156. [Google Scholar] [CrossRef] [PubMed]
- Moro-Velázquez, L.; Gómez-García, J.A.; Godino-Llorente, J.I.; Villalba, J.; Orozco-Arroyave, J.R.; Dehak, N. Analysis of speaker recognition methodologies and the influence of kinetic changes to automatically detect Parkinson’s Disease. Appl. Soft Comput. 2018, 62, 649–666. [Google Scholar] [CrossRef]
- García, A.M.; Carrillo, F.; Orozco-Arroyave, J.R.; Trujillo, N.; Vargas Bonilla, J.F.; Fittipaldi, S.; Adolfi, F.; Nöth, E.; Sigman, M.; Fernández Slezak, D.; et al. How language flows when movements don’t: An automated analysis of spontaneous discourse in Parkinson’s disease. Brain Lang. 2016, 162, 19–28. [Google Scholar] [CrossRef]
- Luque, A.; Carrasco, A.; Martín, A.; de las Heras, A. The impact of class imbalance in classification performance metrics based on the binary confusion matrix. Pattern Recognit. 2019, 91, 216–231. [Google Scholar] [CrossRef]
- Sasse, E.A. Objective evaluation of data in screening for disease. Clin. Chim. Acta 2002, 315, 17–30. [Google Scholar] [CrossRef]
- Trevizan, B.; Chamby-Diaz, J.; Bazzan, A.L.C.; Recamonde-Mendoza, M. A comparative evaluation of aggregation methods for machine learning over vertically partitioned data. Expert Syst. Appl. 2020, 152, 113406. [Google Scholar] [CrossRef]
- Naranjo, L.; Pérez, C.J.; Campos-Roca, Y.; Martín, J. Addressing voice recording replications for Parkinson’s disease detection. Expert Syst. Appl. 2016, 46, 286–292. [Google Scholar] [CrossRef]
- Holmes, R.J.; Oates, J.M.; Phyland, D.J.; Hughes, A.J. Voice characteristics in the progression of Parkinson’s disease. Int. J. Lang. Commun. Disord. 2000, 35, 407–418. [Google Scholar] [CrossRef] [PubMed]
- Tsanas, A.; Arora, S. Large-scale Clustering of People Diagnosed with Parkinson’s Disease using Acoustic Analysis of Sustained Vowels: Findings in the Parkinson’s Voice Initiative Study. In Proceedings of the International Conference on Bio-Inspired Systems and Signal Processing, Valletta, Malta, 24–26 February 2020. [Google Scholar]
- Lee, S.; Hussein, R.; Ward, R.; Jane Wang, Z.; McKeown, M.J. A convolutional-recurrent neural network approach to resting-state EEG classification in Parkinson’s disease. J. Neurosci. Methods 2021, 361, 109282. [Google Scholar] [CrossRef] [PubMed]
- Shen, M.; Mortezaagha, P.; Rahgozar, A. Explainable Artificial Intelligence to Diagnose Early Parkinson’s Disease via Voice Analysis. medRxiv 2024. [Google Scholar] [CrossRef]
- Hinton, G.; Deng, L.; Yu, D.; Dahl, G.E.; Mohamed, A.r.; Jaitly, N.; Senior, A.; Vanhoucke, V.; Nguyen, P.; Sainath, T.N.; et al. Deep Neural Networks for Acoustic Modeling in Speech Recognition: The Shared Views of Four Research Groups. IEEE Signal Process. Mag. 2012, 29, 82–97. [Google Scholar] [CrossRef]
- Hou, J.C.; Wang, S.S.; Lai, Y.H.; Tsao, Y.; Chang, H.W.; Wang, H.M. Audio-Visual Speech Enhancement Using Multimodal Deep Convolutional Neural Networks. IEEE Trans. Emerg. Top. Comput. Intell. 2018, 2, 117–128. [Google Scholar] [CrossRef]
- Ye, F.; Yang, J. A Deep Neural Network Model for Speaker Identification. Appl. Sci. 2021, 11, 3603. [Google Scholar] [CrossRef]
- Chen, L.; Chen, J. Deep Neural Network for Automatic Classification of Pathological Voice Signals. J. Voice 2022, 36, e215–e288. [Google Scholar] [CrossRef]
- Tzirakis, P.; Trigeorgis, G.; Nicolaou, M.A.; Schuller, B.W.; Zafeiriou, S. End-to-End Multimodal Emotion Recognition Using Deep Neural Networks. IEEE J. Sel. Top. Signal Process. 2017, 11, 1301–1309. [Google Scholar] [CrossRef]
- Chaiani, M.; Selouani, S.A.; Boudraa, M.; Sidi Yakoub, M. Voice disorder classification using speech enhancement and deep learning models. Biocybern. Biomed. Eng. 2022, 42, 463–480. [Google Scholar] [CrossRef]
- Yadav, S.P.; Zaidi, S.; Mishra, A.; Yadav, V. Survey on Machine Learning in Speech Emotion Recognition and Vision Systems Using a Recurrent Neural Network (RNN). Arch. Comput. Methods Eng. 2022, 29, 1753–1770. [Google Scholar] [CrossRef]




| Model Name | Acc | Prec | Se | Sp | F1 | AUC | MCC |
|---|---|---|---|---|---|---|---|
| XGBoost | 0.880 | 0.904 | 0.942 | 0.695 | 0.922 | 0.907 | 0.672 |
| LightGBM | 0.871 | 0.890 | 0.946 | 0.647 | 0.917 | 0.909 | 0.642 |
| MLP | 0.866 | 0.887 | 0.942 | 0.637 | 0.913 | 0.866 | 0.625 |
| GBDT | 0.859 | 0.878 | 0.946 | 0.600 | 0.910 | 0.899 | 0.606 |
| SVM | 0.855 | 0.861 | 0.965 | 0.526 | 0.909 | 0.854 | 0.586 |
| Stacking | 0.854 | 0.857 | 0.968 | 0.511 | 0.909 | 0.863 | 0.579 |
| AdaBoost | 0.843 | 0.910 | 0.881 | 0.732 | 0.894 | 0.898 | 0.601 |
| Random Forest | 0.836 | 0.868 | 0.925 | 0.568 | 0.894 | 0.878 | 0.545 |
| Logistic Regression | 0.824 | 0.888 | 0.877 | 0.663 | 0.881 | 0.866 | 0.542 |
| Decision Tree | 0.772 | 0.855 | 0.840 | 0.568 | 0.845 | 0.752 | 0.415 |
| KNN | 0.749 | 0.892 | 0.758 | 0.721 | 0.817 | 0.792 | 0.436 |
| Naive Bayes | 0.733 | 0.895 | 0.732 | 0.737 | 0.803 | 0.811 | 0.420 |
| Model Name | Acc | Prec | Se | Sp | F1 | AUC | MCC |
|---|---|---|---|---|---|---|---|
| GBDT | 0.843 | 0.905 | 0.886 | 0.716 | 0.894 | 0.892 | 0.599 |
| LightGBM | 0.842 | 0.928 | 0.858 | 0.795 | 0.891 | 0.904 | 0.616 |
| XGBoost | 0.833 | 0.924 | 0.849 | 0.784 | 0.883 | 0.900 | 0.598 |
| Stacking | 0.824 | 0.884 | 0.882 | 0.647 | 0.882 | 0.858 | 0.530 |
| Random Forest | 0.822 | 0.888 | 0.877 | 0.658 | 0.880 | 0.862 | 0.537 |
| SVM | 0.822 | 0.888 | 0.875 | 0.663 | 0.881 | 0.845 | 0.534 |
| MLP | 0.803 | 0.907 | 0.823 | 0.742 | 0.862 | 0.860 | 0.528 |
| AdaBoost | 0.783 | 0.926 | 0.774 | 0.811 | 0.842 | 0.878 | 0.527 |
| Logistic Regression | 0.733 | 0.921 | 0.705 | 0.816 | 0.796 | 0.861 | 0.462 |
| Naive Bayes | 0.680 | 0.911 | 0.637 | 0.811 | 0.746 | 0.803 | 0.393 |
| Decision Tree | 0.676 | 0.884 | 0.656 | 0.737 | 0.748 | 0.702 | 0.350 |
| KNN | 0.667 | 0.907 | 0.621 | 0.805 | 0.735 | 0.750 | 0.373 |
| Model Name | Acc | Prec | Se | Sp | F1 | AUC | MCC |
|---|---|---|---|---|---|---|---|
| LightGBM | 0.858 | 0.853 | 0.981 | 0.489 | 0.912 | 0.907 | 0.591 |
| MLP | 0.853 | 0.847 | 0.981 | 0.468 | 0.909 | 0.854 | 0.575 |
| XGBoost | 0.851 | 0.852 | 0.972 | 0.489 | 0.908 | 0.908 | 0.570 |
| AdaBoost | 0.849 | 0.864 | 0.949 | 0.547 | 0.904 | 0.893 | 0.570 |
| Logistic Regression | 0.841 | 0.850 | 0.958 | 0.489 | 0.900 | 0.846 | 0.540 |
| GBDT | 0.841 | 0.837 | 0.979 | 0.426 | 0.902 | 0.909 | 0.535 |
| Random Forest | 0.830 | 0.833 | 0.968 | 0.416 | 0.895 | 0.876 | 0.503 |
| SVM | 0.829 | 0.820 | 0.989 | 0.347 | 0.897 | 0.848 | 0.495 |
| Stacking | 0.820 | 0.810 | 0.993 | 0.300 | 0.892 | 0.840 | 0.463 |
| Decision Tree | 0.797 | 0.814 | 0.947 | 0.347 | 0.875 | 0.655 | 0.393 |
| Naive Bayes | 0.795 | 0.874 | 0.853 | 0.621 | 0.861 | 0.773 | 0.467 |
| KNN | 0.789 | 0.839 | 0.891 | 0.484 | 0.863 | 0.741 | 0.414 |
| Model Name | Acc | Prec | Se | Sp | F1 | AUC | MCC |
|---|---|---|---|---|---|---|---|
| MLP | 0.861 | 0.888 | 0.933 | 0.642 | 0.909 | 0.858 | 0.613 |
| GBDT | 0.841 | 0.869 | 0.930 | 0.574 | 0.897 | 0.880 | 0.556 |
| XGBoost | 0.838 | 0.878 | 0.914 | 0.611 | 0.894 | 0.876 | 0.558 |
| Random Forest | 0.837 | 0.878 | 0.912 | 0.611 | 0.893 | 0.864 | 0.557 |
| Stacking | 0.837 | 0.846 | 0.958 | 0.474 | 0.898 | 0.849 | 0.524 |
| LightGBM | 0.828 | 0.865 | 0.916 | 0.563 | 0.888 | 0.880 | 0.519 |
| Logistic Regression | 0.826 | 0.888 | 0.882 | 0.658 | 0.883 | 0.841 | 0.546 |
| AdaBoost | 0.825 | 0.873 | 0.900 | 0.600 | 0.885 | 0.858 | 0.526 |
| SVM | 0.818 | 0.845 | 0.930 | 0.484 | 0.885 | 0.840 | 0.476 |
| Decision Tree | 0.762 | 0.847 | 0.833 | 0.547 | 0.840 | 0.691 | 0.376 |
| Naive Bayes | 0.754 | 0.893 | 0.765 | 0.721 | 0.822 | 0.795 | 0.444 |
| KNN | 0.722 | 0.860 | 0.754 | 0.626 | 0.802 | 0.750 | 0.350 |
Disclaimer/Publisher’s Note: The statements, opinions and data contained in all publications are solely those of the individual author(s) and contributor(s) and not of MDPI and/or the editor(s). MDPI and/or the editor(s) disclaim responsibility for any injury to people or property resulting from any ideas, methods, instructions or products referred to in the content. |
© 2025 by the authors. Licensee MDPI, Basel, Switzerland. This article is an open access article distributed under the terms and conditions of the Creative Commons Attribution (CC BY) license (https://creativecommons.org/licenses/by/4.0/).
Share and Cite
Yang, Z.; Zhou, H.; Srivastav, S.; Shaffer, J.G.; Abraham, K.E.; Naandam, S.M.; Kakraba, S. Optimizing Parkinson’s Disease Prediction: A Comparative Analysis of Data Aggregation Methods Using Multiple Voice Recordings via an Automated Artificial Intelligence Pipeline. Data 2025, 10, 4. https://doi.org/10.3390/data10010004
Yang Z, Zhou H, Srivastav S, Shaffer JG, Abraham KE, Naandam SM, Kakraba S. Optimizing Parkinson’s Disease Prediction: A Comparative Analysis of Data Aggregation Methods Using Multiple Voice Recordings via an Automated Artificial Intelligence Pipeline. Data. 2025; 10(1):4. https://doi.org/10.3390/data10010004
Chicago/Turabian StyleYang, Zhengxiao, Hao Zhou, Sudesh Srivastav, Jeffrey G. Shaffer, Kuukua E. Abraham, Samuel M. Naandam, and Samuel Kakraba. 2025. "Optimizing Parkinson’s Disease Prediction: A Comparative Analysis of Data Aggregation Methods Using Multiple Voice Recordings via an Automated Artificial Intelligence Pipeline" Data 10, no. 1: 4. https://doi.org/10.3390/data10010004
APA StyleYang, Z., Zhou, H., Srivastav, S., Shaffer, J. G., Abraham, K. E., Naandam, S. M., & Kakraba, S. (2025). Optimizing Parkinson’s Disease Prediction: A Comparative Analysis of Data Aggregation Methods Using Multiple Voice Recordings via an Automated Artificial Intelligence Pipeline. Data, 10(1), 4. https://doi.org/10.3390/data10010004

