Exploring Hop Varieties with Discriminating Flavan-3-ol Profiles Likely to Improve Color and Colloidal Stability of Beers
Abstract
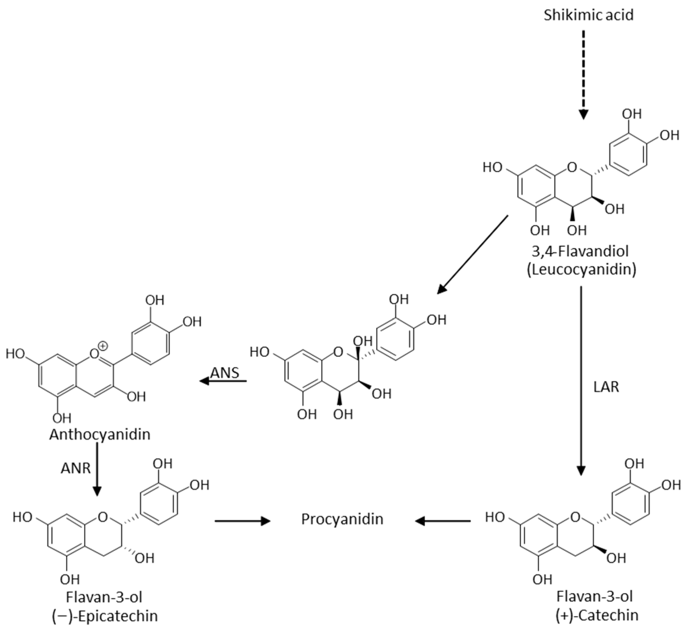
1. Introduction
2. Materials and Methods
2.1. Chemicals
2.2. Hop Samples
2.3. Hop α-Acid Content
2.4. Total Flavanoid Analysis
2.5. Optimization of Flavan-3-ol Extraction from Hops
2.5.1. Hop Delipidation (Removal of Hydrophobic Compounds)
2.5.2. Solid-Phase Extraction of Hop Flavan-3-ols
2.5.3. Extract Purification on Sephadex
2.6. RP-HPLC-ESI(-)-MS/MS Analyses of Flavan-3-ols
2.7. Quantitation
3. Results and Discussion
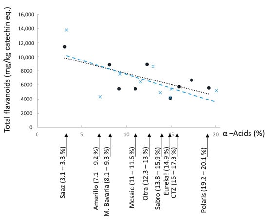
3.1. Total Flavanoids vs α-Acids
3.2. Flavan-3-ol Monomers, Dimers, and Trimers
4. Conclusions
Author Contributions
Funding
Data Availability Statement
Acknowledgments
Conflicts of Interest
Abbreviations
References
- Habschied, K.; Košir, I.J.; Krstanović, V.; Kumrić, G.; Mastanjević, K. Beer Polyphenols—Bitterness, Astringency, and Off-Flavors. Beverages 2021, 7, 38. [Google Scholar] [CrossRef]
- Luck, G.; Liao, H.; Murray, N.J.; Grimmer, H.R.; Warminski, E.E.; Williamson, M.P.; Lilley, T.H.; Haslam, E. Polyphenols, Astringency and Proline-Rich Proteins. Phytochemistry 1994, 37, 357–371. [Google Scholar] [CrossRef] [PubMed]
- Goiris, K.; Jaskula-Goiris, B.; Syryn, E.; Van Opstaele, F.; De Rouck, G.; Aerts, G.; De Cooman, L. The Flavoring Potential of Hop Polyphenols in Beer. J. Am. Soc. Brew. Chem. 2014, 72, 135–142. [Google Scholar] [CrossRef]
- Almaguer, C.; Schönberger, C.; Gastl, M.; Arendt, E.K.; Becker, T. Humulus lupulus—A Story That Begs to Be Told. A Review. J. Inst. Brew. 2014, 120, 289–314. [Google Scholar] [CrossRef]
- Oladokun, O.; James, S.; Cowley, T.; Smart, K.; Hort, J.; Cook, D. Dry-Hopping: The Effects of Temperature and Hop Variety on the Bittering Profiles and Properties of Resultant Beers. BrewingScience 2017, 70, 187–196. [Google Scholar]
- Parkin, E.; Shellhammer, T. Toward Understanding the Bitterness of Dry-Hopped Beer. J. Am. Soc. Brew. Chem. 2017, 75, 363–368. [Google Scholar] [CrossRef]
- Jongberg, S.; Andersen, M.L.; Lund, M.N. Covalent Protein-Polyphenol Bonding as Initial Steps of Haze Formation in Beer. J. Am. Soc. Brew. Chem. 2020, 78, 153–164. [Google Scholar] [CrossRef]
- Bamforth, C.W. Beer Haze. J. Am. Soc. Brew. Chem. 1999, 57, 81–90. [Google Scholar] [CrossRef]
- Vanderhaegen, B.; Neven, H.; Coghe, S.; Verstrepen, K.J.; Verachtert, H.; Derdelinckx, G. Evolution of Chemical and Sensory Properties during Aging of Top-Fermented Beer. J. Agric. Food Chem. 2003, 51, 6782–6790. [Google Scholar] [CrossRef]
- McMurrough, I.; Madigan, D.; Kelly, R.J. The Role of Flavanoid Polyphenols in Beer Stability. J. Am. Soc. Brew. Chem. 1996, 54, 141–148. [Google Scholar] [CrossRef]
- Moll, M.; Fonknechten, G.; Carnielo, M.; Flayeux, R. Changes in Polyphenols from Raw Materials to Finished Beer. MBAA Tech. Q 1984, 21, 79–87. [Google Scholar]
- Silva Ferreira, C.; Simon, M.; Collin, S. Why Catechin and Epicatechin from Early Hopping Impact the Color of Aged Dry-Hopped Beers While Flavan-3-ol Oligomers from Late and Dry Hopping Increase Colloidal Instability. J. Am. Soc. Brew. Chem. 2022, 81, 255–264. [Google Scholar] [CrossRef]
- Aron, P.M.; Shellhammer, T.H. A Discussion of Polyphenols in Beer Physical and Flavour Stability. J. Inst. Brew. 2010, 116, 369–380. [Google Scholar] [CrossRef]
- Asano, K.; Ohtsu, K.; Shinagawa, K.; Hashimoto, N. Affinity of Proanthocyanidins and Their Oxidation Products for Haze-Forming Proteins of Beer and the Formation of Chill Haze. Agric. Biol. Chem. 1984, 48, 1139–1146. [Google Scholar] [CrossRef]
- McGuinness, J.D.; Eastmond, R.; Laws, D.R.J.; Gardner, R.J. The Use of 14c-Labelled Polyphenols to Study Haze Formation in Beer. J. Inst. Brew. 1975, 81, 287–292. [Google Scholar] [CrossRef]
- Millet, M.; Poupard, P.; Guilois-Dubois, S.; Zanchi, D.; Guyot, S. Self-Aggregation of Oxidized Procyanidins Contributes to the Formation of Heat-Reversible Haze in Apple-Based Liqueur Wine. Food Chem. 2019, 276, 797–805. [Google Scholar] [CrossRef]
- Aron, P.M.; Shellhammer, T.H. Profiling of Hop-Derived Flavan-3-ols from Lager Beer in Relation to Hopping Technology. J. Am. Soc. Brew. Chem. 2017, 75, 276–282. [Google Scholar] [CrossRef]
- Simon, M.; Collin, S. Why Oxidation Should Be Still More Feared in NABLABs: Fate of Polyphenols and Bitter Compounds. Beverages 2022, 8, 61. [Google Scholar] [CrossRef]
- Habschied, K.; Krstanović, V.; Lukinac, J.; Jukić, M.; Lučan, M.; Mastanjević, K. Craft Brewing—Is It Really about the Sensory Revolution? Kvasny Prumysl 2019, 65, 13–16. [Google Scholar] [CrossRef]
- Lutz, A.; Kneidl, J.; Kammhuber, K.; Seigner, E. Breeding of Special Flavor Hops to Pave the Way to the Craft Brewers. In Proceedings of the Science Comission, Kiev, Ukraine, 1 June 2013; pp. 21–24. [Google Scholar]
- Hop Growers of America, Inc. 2022 Statistical report. Available online: https://www.usahops.org/img/blog_pdf/435.pdf (accessed on 9 August 2023).
- Duarte, L.M.; Amorim, T.L.; Grazul, R.M.; de Oliveira, M.A.L. Differentiation of Aromatic, Bittering and Dual-Purpose Commercial Hops from Their Terpenic Profiles: An Approach Involving Batch Extraction, GC–MS and Multivariate Analysis. Food Res. Int. 2020, 138, 109768. [Google Scholar] [CrossRef]
- Vollmer, D.M.; Shellhammer, T.H. Influence of Hop Oil Content and Composition on Hop Aroma Intensity in Dry-Hopped Beer. J. Am. Soc. Brew. Chem. 2016, 74, 242–249. [Google Scholar] [CrossRef]
- Kankolongo, M.-L.; Gros, J.; Nizet, S.; Collin, S. Quantitation of Selected Terpenoids and Mercaptans in the Dual-Purpose Hop Varieties Amarillo, Citra, Hallertau Blanc, Mosaic, and Sorachi Ace. J. Agric. Food Chem. 2015, 63, 3022–3030. [Google Scholar] [CrossRef] [PubMed]
- Bonnaffoux, H.; Roland, A.; Schneider, R.; Cavelier, F. Spotlight on Release Mechanisms of Volatile Thiols in Beverages. Food Chem. 2021, 339, 127628. [Google Scholar] [CrossRef] [PubMed]
- Roland, A.; Viel, C.; Reillon, F.; Delpech, S.; Boivin, P.; Schneider, R.; Dagan, L. First Identification and Quantification of Glutathionylated and Cysteinylated Precursors of 3-Mercaptohexan-1-ol and 4-Methyl-4-Mercaptopentan-2-one in Hops (Humulus lupulus). Flavour Fragr. J. 2016, 31, 455–463. [Google Scholar] [CrossRef]
- Takazumi, K.; Takoi, K.; Koie, K.; Tuchiya, Y. Quantitation Method for Polyfunctional Thiols in Hops (Humulus lupulus L.) and Beer Using Specific Extraction of Thiols and Gas Chromatography-Tandem Mass Spectrometry. Anal. Chem. 2017, 89, 11598–11604. [Google Scholar] [CrossRef] [PubMed]
- Elrod, S.M.; Langley, C.; Greenspan, P.; Hofmeister, E. Relationship between Phenolic and Antioxidant Concentration of Humulus lupulus and Alpha Acid Content. J. Am. Soc. Brew. Chem. 2019, 77, 134–139. [Google Scholar] [CrossRef]
- Jerkovic, V.; Collin, S. Occurrence of Resveratrol and Piceid in American and European Hop Cones. J. Agric. Food Chem. 2007, 55, 8754–8758. [Google Scholar] [CrossRef] [PubMed]
- Stevens, J.F.; Page, J.E. Xanthohumol and Related Prenylflavonoids from Hops and Beer: To Your Good Health! Phytochemistry 2004, 65, 1317–1330. [Google Scholar] [CrossRef]
- Inui, T.; Okumura, K.; Matsui, H.; Hosoya, T.; Kumazawa, S. Effect of Harvest Time on Some in Vitro Functional Properties of Hop Polyphenols. Food Chem. 2017, 225, 69–76. [Google Scholar] [CrossRef]
- Biendl, M.; Ritter, S.; Schmidt, C. Monitoring of Glycosidically Bound Polyphenols in Hops and Hop Products Using LC-MS/MS Technique. J. Am. Soc. Brew. Chem. 2023, 81, 45–53. [Google Scholar] [CrossRef]
- Li, H.-J.; Deinzer, M.L. Structural Identification and Distribution of Proanthocyanidins in 13 Different Hops. J. Agric. Food Chem. 2006, 54, 4048–4056. [Google Scholar] [CrossRef] [PubMed]
- Stevens, J.F.; Miranda, C.L.; Wolthers, K.R.; Schimerlik, M.; Deinzer, M.L.; Buhler, D.R. Identification and in Vitro Biological Activities of Hop Proanthocyanidins: Inhibition of NNOS Activity and Scavenging of Reactive Nitrogen Species. J. Agric. Food Chem. 2002, 50, 3435–3443. [Google Scholar] [CrossRef] [PubMed]
- Jerumanis, J. Quantitative Analysis of Flavanoids in Barley, Hops and Beer by High-Performance Liquid Chromatography (Hplc). J. Inst. Brew. 1985, 91, 250–252. [Google Scholar] [CrossRef]
- Li, H.G.; Deinzer, M.L. Proanthocyanidins in Hops. In Beer in Health and Disease Prevention; Academic Press: Cambridge, MA, USA, 2008; pp. 333–348. [Google Scholar] [CrossRef]
- Liu, W.; Feng, Y.; Yu, S.; Fan, Z.; Li, X.; Li, J.; Yin, H. The Flavonoid Biosynthesis Network in Plants. Int. J. Mol. Sci. 2021, 22, 12824. [Google Scholar] [CrossRef] [PubMed]
- Gu, L.; Kelm, M.A.; Hammerstone, J.F.; Beecher, G.; Holden, J.; Haytowitz, D.; Prior, R.L. Screening of Foods Containing Proanthocyanidins and Their Structural Characterization Using LC-MS/MS and Thiolytic Degradation. J. Agric. Food Chem. 2003, 51, 7513–7521. [Google Scholar] [CrossRef] [PubMed]
- Jerkovic, V.; Callemien, D.; Collin, S. Determination of Stilbenes in Hop Pellets from Different Cultivars. J. Agric. Food Chem. 2005, 53, 4202–4206. [Google Scholar] [CrossRef] [PubMed]
- Delcour, J.A.; Varebeke, D.J. de A New Colourimetric Assay for Flavanoids in Pilsner Beers. J. Inst. Brew. 1985, 91, 37–40. [Google Scholar] [CrossRef]
- EBC Analysis Committee. Analytica-EBC; Verlag Hans Carl: Nurnberg, Germany, 2008. [Google Scholar]
- De Taeye, C.; Kankolongo Cibaka, M.-L.; Jerkovic, V.; Collin, S. Degradation of (−)-Epicatechin and Procyanidin B2 in Aqueous and Lipidic Model Systems. First Evidence of “Chemical” Flavan-3-ol Oligomers in Processed Cocoa. J. Agric. Food Chem. 2014, 62, 9002–9016. [Google Scholar] [CrossRef] [PubMed]
- Lermusieau, G.; Liégeois, C.; Collin, S. Reducing Power of Hop Cultivars and Beer Ageing. Food Chem. 2001, 72, 413–418. [Google Scholar] [CrossRef]
- Goese, M.; Kammhuber, K.; Bacher, A.; Zenk, M.H.; Eisenreich, W. Biosynthesis of Bitter Acids in Hops. Eur. J. Biochem. 1999, 263, 447–454. [Google Scholar] [CrossRef]
- Karabin, M.; Hudcova, T.; Jelinek, L.; Dostalek, P. Biotransformations and Biological Activities of Hop Flavonoids. Biotechnol. Adv. 2015, 33, 1063–1090. [Google Scholar] [CrossRef] [PubMed]
- Callemien, D.; Guyot, S.; Collin, S. Use of Thiolysis Hyphenated to RP-HPLC-ESI(-)-MS/MS for the Analysis of Flavanoids in Fresh Lager Beers. Food Chem. 2008, 110, 1012–1018. [Google Scholar] [CrossRef]
- McMurrough, I. High-Performance Liquid Chromatography of Flavonoids in Barley and Hops. J. Chromatogr. A 1981, 218, 683–693. [Google Scholar] [CrossRef]
- Schmidt, C.; Biendl, M. Quantitative Analysis of a Large Spectrum of Hop Phenolic Compounds by LC-MS/MS. BrewingScience 2023, 76, 38–47. [Google Scholar]
- De Keukeleire, D.; De Cooman, L.; Rong, H.; Heyerick, A.; Kalita, J.; Milligan, S.R. Functional Properties of Hop Polyphenols. Basic Life Sci. 1999, 66, 739–760. [Google Scholar] [CrossRef]
- Aron, P.M.; Kennedy, J.A. Flavan-3-ols: Nature, Occurrence and Biological Activity. Mol. Nutr. Food Res. 2008, 52, 79–104. [Google Scholar] [CrossRef]
- Awika, J.M.; Rooney, L.W. Sorghum Phytochemicals and Their Potential Impact on Human Health. Phytochemistry 2004, 65, 1199–1221. [Google Scholar] [CrossRef] [PubMed]
- Dicko, M.H.; Gruppen, H.; Traore, A.S.; van Berkel, W.J.H.; Voragen, A.G.J. Evaluation of the Effect of Germination on Phenolic Compounds and Antioxidant Activities in Sorghum Varieties. J. Agric. Food Chem. 2005, 53, 2581–2588. [Google Scholar] [CrossRef]
- Gupta, R.K.; Haslam, E. Plant Proanthocyanidins. Part 5. Sorghum Polyphenols. J. Chem. Soc. Perkin 1 1978, 1, 892–896. [Google Scholar] [CrossRef]
- Gu, L.; Kelm, M.; Hammerstone, J.F.; Beecher, G.; Cunningham, D.; Vannozzi, S.; Prior, R.L. Fractionation of Polymeric Procyanidins from Lowbush Blueberry and Quantification of Procyanidins in Selected Foods with an Optimized Normal-Phase HPLC-MS Fluorescent Detection Method. J. Agric. Food Chem. 2002, 50, 4852–4860. [Google Scholar] [CrossRef]
- Awika, J.M.; Dykes, L.; Gu, L.; Rooney, L.W.; Prior, R.L. Processing of Sorghum (Sorghum Bicolor) and Sorghum Products Alters Procyanidin Oligomer and Polymer Distribution and Content. J. Agric. Food Chem. 2003, 51, 5516–5521. [Google Scholar] [CrossRef] [PubMed]
- Cooper, K.A.; Campos-Giménez, E.; Jiménez Alvarez, D.; Nagy, K.; Donovan, J.L.; Williamson, G. Rapid Reversed Phase Ultra-Performance Liquid Chromatography Analysis of the Major Cocoa Polyphenols and Inter-Relationships of Their Concentrations in Chocolate. J. Agric. Food Chem. 2007, 55, 2841–2847. [Google Scholar] [CrossRef] [PubMed]





Disclaimer/Publisher’s Note: The statements, opinions and data contained in all publications are solely those of the individual author(s) and contributor(s) and not of MDPI and/or the editor(s). MDPI and/or the editor(s) disclaim responsibility for any injury to people or property resulting from any ideas, methods, instructions or products referred to in the content. |
© 2023 by the authors. Licensee MDPI, Basel, Switzerland. This article is an open access article distributed under the terms and conditions of the Creative Commons Attribution (CC BY) license (https://creativecommons.org/licenses/by/4.0/).
Share and Cite
Chenot, C.; Simon, M.; Dusart, A.; Collin, S. Exploring Hop Varieties with Discriminating Flavan-3-ol Profiles Likely to Improve Color and Colloidal Stability of Beers. Beverages 2023, 9, 67. https://doi.org/10.3390/beverages9030067
Chenot C, Simon M, Dusart A, Collin S. Exploring Hop Varieties with Discriminating Flavan-3-ol Profiles Likely to Improve Color and Colloidal Stability of Beers. Beverages. 2023; 9(3):67. https://doi.org/10.3390/beverages9030067
Chicago/Turabian StyleChenot, Cécile, Margaux Simon, Alexandre Dusart, and Sonia Collin. 2023. "Exploring Hop Varieties with Discriminating Flavan-3-ol Profiles Likely to Improve Color and Colloidal Stability of Beers" Beverages 9, no. 3: 67. https://doi.org/10.3390/beverages9030067
APA StyleChenot, C., Simon, M., Dusart, A., & Collin, S. (2023). Exploring Hop Varieties with Discriminating Flavan-3-ol Profiles Likely to Improve Color and Colloidal Stability of Beers. Beverages, 9(3), 67. https://doi.org/10.3390/beverages9030067

