Sign in to use this feature.

Years

Between: -

Subjects

remove_circle_outline
remove_circle_outline
remove_circle_outline
remove_circle_outline
remove_circle_outline
remove_circle_outline
remove_circle_outline
remove_circle_outline
remove_circle_outline

Journals

remove_circle_outline
remove_circle_outline
remove_circle_outline
remove_circle_outline
remove_circle_outline
remove_circle_outline
remove_circle_outline
remove_circle_outline
remove_circle_outline
remove_circle_outline

Article Types

Countries / Regions

remove_circle_outline
remove_circle_outline
remove_circle_outline
remove_circle_outline
remove_circle_outline
remove_circle_outline
remove_circle_outline

Search Results (1,123)

Search Parameters:
Keywords = epicatechin

Order results
Result details
Results per page
Select all
Export citation of selected articles as:
21 pages, 3644 KB  
Article
Isolation, Identification and In Silico Evaluation of Novel Cholinesterase Inhibitors from Terminalia triptera Stapf.
by Tu Quy Phan, Hung Tse Huang, San-Lang Wang, Dinh Sy Nguyen, Manh Dung Doan, Thi Huyen Thoa Pham, Thi Kim Thu Phan, Ba Phong Truong and Van Bon Nguyen
Molecules 2026, 31(7), 1113; https://doi.org/10.3390/molecules31071113 (registering DOI) - 27 Mar 2026
Viewed by 134
Abstract
Alzheimer’s disease (AD) remains a significant global health challenge, highlighting the need for novel dual inhibitors targeting acetylcholinesterase (AChE) and butyrylcholinesterase (BChE). This study investigated the trunk bark of Terminalia triptera Stapf. as a potential source of bioactive secondary metabolites for AD management. [...] Read more.
Alzheimer’s disease (AD) remains a significant global health challenge, highlighting the need for novel dual inhibitors targeting acetylcholinesterase (AChE) and butyrylcholinesterase (BChE). This study investigated the trunk bark of Terminalia triptera Stapf. as a potential source of bioactive secondary metabolites for AD management. Bioassay-guided isolation led to the identification of two flavan-3-ol derivatives, epicatechin-(4β→8)-ent-catechin (1) and (−)-catechin (2), reported here for the first time from this species. In vitro assays demonstrated that the dimeric compound 1 exhibited stronger dual inhibitory activity against AChE and BChE, with IC50 values of 4.41 × 10−4 and 4.75 × 10−4 mol/L, respectively, surpassing the reference compound berberine chloride. Molecular docking analysis revealed that compound 1 formed extensive interactions within both catalytic and peripheral anionic sites of the enzymes. Density Functional Theory (DFT) calculations indicated high kinetic stability, reflected by large HOMO–LUMO energy gaps (6.66–6.97 eV), while global reactivity descriptors suggested lower electrophilicity (ω = 2.19–2.34 eV), supporting a potentially favorable safety profile. Furthermore, 100 ns molecular dynamics simulations confirmed stable ligand–protein complexes stabilized by hydrogen-bond networks and deep binding within catalytic pockets. Overall, these findings highlight T. triptera and its dimeric proanthocyanidins as promising multi-target candidates for anti-Alzheimer drug development. Full article
Show Figures

Figure 1

36 pages, 4305 KB  
Article
Chemical Characterization and Evaluation of Antimicrobial, Antioxidant, and Synergistic Activities of Teucrium polium L.: An Integrated Experimental and In Silico Approach
by Khalid Zibouh, Brahim Ed-Damsyry, Aziz Drioiche, Mohamed Ed-Dahmouny, Noorah A. Alkubaisi, Mourad A. M. Aboul-Soud, Firdaous Remok, Chaimae Ibbur, Mohamed Radi, Atika Ailli, Sevser Sahpaz and Touriya Zair
Pharmaceutics 2026, 18(3), 397; https://doi.org/10.3390/pharmaceutics18030397 - 23 Mar 2026
Viewed by 375
Abstract
Background/Objectives: Teucrium polium L. is widely used in traditional medicine and has been proposed as a source of antimicrobial adjuvants in the context of antimicrobial resistance. Here, we characterized the essential oil (EO) and polar extracts of T. polium and evaluated their antioxidant [...] Read more.
Background/Objectives: Teucrium polium L. is widely used in traditional medicine and has been proposed as a source of antimicrobial adjuvants in the context of antimicrobial resistance. Here, we characterized the essential oil (EO) and polar extracts of T. polium and evaluated their antioxidant activity, antimicrobial potency against clinical multidrug-resistant (MDR) isolates, and the interaction of the EO with conventional antibiotics using a chequerboard assay (FICI); further, we investigated in silico molecular interactions with some targets related to resistance. Methods/Results: The EO, which was hydrodistilled and subsequently analyzed by GC–MS, is characterized by dominant limonene content (24.13%) and contents of oxygenated sesquiterpenes such as β-eudesmol (10.48%) and α-muurolol (8.10%). HPLC/UV–ESI–MS characterization of the extracts (decoction and Soxhlet) demonstrated that they were rich in polyphenolic compounds and flavonoids, which matched the standard phytochemical characteristics of this species. The extracts exhibited significant reducing capabilities, and the hydroethanolic extract exhibited the highest antioxidant activity (DPPH IC50 = 15.41 μg/mL; FRAP EC50 = 30.65 μg /mL), while the EO revealed at most moderate capacity in these tests. In antimicrobial assays, the EO inhibited fungi more effectively than the extracts (MIC of 1.17 mg/mL against Aspergillus niger; 4.69 mg/mL against Candida spp.), while antibacterial MICs for both the EO and extracts were generally high (up to 50 mg/mL). Combination testing nevertheless identified synergistic or additive effects of the EO with selected antibiotics, notably with ceftazidime against ESBL-producing Escherichia coli (FICI = 0.141) and Staphylococcus aureus (FICI = 0.039) and with amikacin against Klebsiella pneumoniae (FICI = 0.313); the EO–ceftriaxone pairing against ESBL E. coli was additive (FICI = 0.516). Docking simulations further supported these observations by showing the favorable predicted binding of oxygenated sesquiterpenes, most notably β-eudesmol and α-muurolol (up to −8.6 kcal/mol), to resistance-related targets such as RND efflux pumps, β-lactamases, and porins. Conclusions: Taken together, the in vitro and in silico data suggest that T. polium could be explored as a natural antimicrobial option and as an adjuvant to enhance antibiotic activity against multidrug-resistant pathogens. Full article
Show Figures

Graphical abstract

14 pages, 1400 KB  
Article
Effect of (−)-Epicatechin on Mitochondrial Homeostasis in Skeletal Muscle of Female Obese Rats
by Elena de la C. Herrera-Cogco, Socorro Herrera-Meza, Yuridia Martínez-Meza, Javier Pérez-Durán, Guillermo Ceballos, Enrique Méndez-Bolaina and Nayelli Nájera
Molecules 2026, 31(6), 1050; https://doi.org/10.3390/molecules31061050 - 22 Mar 2026
Viewed by 422
Abstract
Background: Main risk factors associated with the development of sarcopenia (coexistence of muscle mass loss and dysfunction) are a sedentary lifestyle coupled with obesity. Associated mitochondrial dysfunction leads to energy deficits and perturbations in the balance between protein synthesis and degradation, thereby triggering [...] Read more.
Background: Main risk factors associated with the development of sarcopenia (coexistence of muscle mass loss and dysfunction) are a sedentary lifestyle coupled with obesity. Associated mitochondrial dysfunction leads to energy deficits and perturbations in the balance between protein synthesis and degradation, thereby triggering muscle dysfunction or atrophy. Aside from exercise, which is challenging to implement and maintain, particularly in women, treatments for diminishing sarcopenia are scarce. The objective of the present study was to evaluate the effect of the flavanol (−)-epicatechin (EC) in a hypercaloric diet-induced obese female rat model. Muscle strength and endurance, as well as relative mitochondrial DNA content in skeletal muscle, were assessed. Methods: Female rats were fed a hypercaloric diet to induce obesity, as evidenced by increases in body weight, Lee index, and lipid profile alterations, and by abdominal fat accumulation, and to promote a sarcopenic phenotype. Functional tests of grip strength and mobility (treadmill) were performed. Mitochondrial relative content was evaluated by measuring the ratio of mtDNA/nuclear DNA, and the expression of genes related to mitochondrial biogenesis (Pgc1-α, Tfam), fusion (Mfn1 and Opa1), fission (Drp1 and Fis1), and mitophagy (Pink1 and Pkn), and function; citrate synthase and Ucp3 were also evaluated. Results: A significant decrease in mobility and strength was observed in obese female rats, accompanied by reduced mitochondrial numbers, activity, and dynamics, but not by changes in muscle size or weight. Treatment with EC induced mitochondrial biogenesis and positive changes in mitochondrial dynamics (fission and fusion) and activity, as measured indirectly by changes in citrate synthase and Ucp3 expression. Discussion: Results reinforce the potential of EC as a modulator of mitochondrial function in dysfunctional conditions associated with obesity, thereby attenuating the mechanisms underlying sarcopenia. Full article
(This article belongs to the Special Issue Bioactivity of Natural Compounds: From Plants to Humans, 2nd Edition)
Show Figures

Figure 1

15 pages, 3126 KB  
Article
Green Tea Catechins Significantly Reduce Zika Virus in RBCs Through Viral Inactivation
by Xipeng Yan, Jinlian Li, Xiaoqiong Duan, Limin Chen, Yujia Li and Chunhui Yang
Pathogens 2026, 15(3), 334; https://doi.org/10.3390/pathogens15030334 - 20 Mar 2026
Viewed by 294
Abstract
Background: Despite significant improvements in blood safety, the risk of transfusion-transmitted infections persists, particularly from emerging and re-emerging viruses. For red blood cell (RBC) products, this risk is exacerbated by the fact that there is no routine testing for many of these pathogens, [...] Read more.
Background: Despite significant improvements in blood safety, the risk of transfusion-transmitted infections persists, particularly from emerging and re-emerging viruses. For red blood cell (RBC) products, this risk is exacerbated by the fact that there is no routine testing for many of these pathogens, and effective, commercially available pathogen inactivation technologies specifically for RBCs are still lacking. This gap in the safety framework means that viruses capable of establishing an asymptomatic viremia—a characteristic of many arboviruses like Zika, dengue, and West Nile virus—present a tangible threat to the blood supply, highlighting the need for broad-spectrum countermeasures. Study Design and Methods: This study aims to investigate the antiviral activity of green tea extract (GTE) and its key catechins, epigallocatechin gallate (EGCG) and epicatechin gallate (ECG), against ZIKV in both cellular models and red blood cell (RBC) products. In vitro antiviral activity was assessed using A549 cells treated with GTE (150 μg/mL) or purified EGCG/ECG (20 μM). Mechanistic studies focused on viral attachment inhibition. Additionally, ZIKV-spiked RBC products were co-incubated with GTE (300 μg/mL) for 1 h to evaluate virucidal effects. Erythrocyte integrity was confirmed via hemolysis assays. Results: Co-treatment with GTE or catechins suppressed ZIKV replication by ≥3.64 logs (p < 0.001) in A549 cells. GTE and catechins primarily inhibited viral attachment. In RBCs, GTE reduced viral infectivity by 99.99% (4-log reduction) without compromising erythrocyte membrane integrity or cellular viability. Furthermore, RBCs with added GTE demonstrated a lower hemolysis rate during storage for up to 60 days. Conclusions: GTE exhibits potent virucidal activity against ZIKV in blood matrices, highlighting its potential as a pathogen reduction agent to enhance transfusion safety. Further development of GTE-based additive solutions or technologies is warranted. Full article
Show Figures

Figure 1

24 pages, 425 KB  
Article
Phytochemical Profile and Bioactive Potential of Hampea rovirosae Standl.: Antioxidant, Antimicrobial, and Carbohydrate-Hydrolyzing Enzyme Inhibitory Activities
by Maria Candelaria Tejero-Rivas, José Rodolfo Velázquez-Martínez, Minerva Aurora Hernández-Gallegos, Angelica Alejandra Ochoa-Flores, Rodolfo Osorio-Osorio, Juan Guzmán-Ceferino, Emmanuel Cabañas-García and Josafat Alberto Hernandez-Becerra
Curr. Issues Mol. Biol. 2026, 48(3), 327; https://doi.org/10.3390/cimb48030327 - 19 Mar 2026
Viewed by 250
Abstract
Hampea rovirosae Standl. is traditionally used by local communities to treat infections, pain-related conditions, and to reduce blood sugar levels. In this investigation, we produced aqueous, ethanolic, and hydroethanolic extracts of H. rovirosae and assessed their antioxidant, antibacterial, and antihyperglycemic properties in [...] Read more.
Hampea rovirosae Standl. is traditionally used by local communities to treat infections, pain-related conditions, and to reduce blood sugar levels. In this investigation, we produced aqueous, ethanolic, and hydroethanolic extracts of H. rovirosae and assessed their antioxidant, antibacterial, and antihyperglycemic properties in addition to their phytochemical profiles and contents. The phytochemical characterization was performed through a targeted chromatographic and mass spectrometric analysis of phenolic compounds and the quantitation of total phenolic content (TPC), total flavonoid content (TFC), and total tannin content (TTC) by spectrometric assays. The antioxidant capacity was assessed using the DPPH, ABTS, and FRAP assays, and the antibacterial activity was determined by disk diffusion (DD) and minimum inhibitory concentration (MIC) methods. In addition, antihyperglycemic activity was evaluated by inhibiting α-amylase and α-glucosidase. Phytochemical analysis was performed using high-performance liquid chromatography coupled with mass spectrometry (HPLC-MS), employing a targeted analysis approach based on comparing retention times and fragmentation patterns with standards and databases. This analysis revealed a phytochemical profile dominated by phenolic compounds, with quercetin-3-glucoside (155,930.2), caffeic acid (134,399.1), catechin (98,408.8), procyanidin B2 (85,661.7), protocatechuic acid (83,824.3), and epicatechin (53,704.1) being the major metabolites. The hydroethanolic extract exhibited the highest phenolic (426.70 mg GAE/g), flavonoids (119.17 mg CE/g), and tannin (324.46 mg GAE/g) contents, as well as the strongest antioxidant capacity in the DPPH and FRAP assays. Regarding the antibacterial effects, the aqueous extract inhibited Salmonella typhimurium and Escherichia coli, while the hydroethanolic extract was active against S. aureus, B. cereus, and B. subtilis. In enzyme inhibition assays, the hydroethanolic extract showed strong α-glucosidase inhibition and moderate α-amylase inhibition. The findings provide preliminary scientific evidence of the antioxidant and biological activities of Hampea rovirosae in vitro, supporting its traditional use, which should be validated through vivo trials. Full article
27 pages, 1238 KB  
Article
Bromatological Profile of Fruits from Sorbus aucuparia and Crataegus monogyna: Polyphenol Bioaccessibility and Inhibitory Effect on Lipid Peroxidation in a Biological Model
by Iulia Varzaru, Arabela Elena Untea, Petru Alexandru Vlaicu, Alexandra Gabriela Oancea and Raluca Paula Turcu
Antioxidants 2026, 15(3), 349; https://doi.org/10.3390/antiox15030349 - 11 Mar 2026
Viewed by 344
Abstract
This study presents a comprehensive analysis of the bromatological profile of fruits from rowanberry (Sorbus aucuparia L.) and hawthorn (Crataegus monogyna Jacq.), as well as the polyphenol bioaccessibility under in vitro simulated gastrointestinal conditions, antioxidant activity and the inhibition of lipid [...] Read more.
This study presents a comprehensive analysis of the bromatological profile of fruits from rowanberry (Sorbus aucuparia L.) and hawthorn (Crataegus monogyna Jacq.), as well as the polyphenol bioaccessibility under in vitro simulated gastrointestinal conditions, antioxidant activity and the inhibition of lipid peroxidation in a biological model (egg yolk). The fruits were demonstrated to be rich in bioactive compounds, containing comparable total vitamin E levels (~65 mg/kg), with α-tocopherol as the predominant isomer, and measurable amounts of xanthophylls, mainly lutein (20.19–21.69 μg/g), astaxanthin, and canthaxanthin. HPLC-DAD analysis identified 19 polyphenolic compounds, with catechin being the dominant compound in rowanberry fruits (4.36 mg/g), while epigallocatechin and catechin were the most abundant in hawthorn fruits. In vitro gastrointestinal digestion showed elevated intestinal bioaccessibility of hydroxybenzoic acids, with ellagic acid reaching ~96% in the intestinal phase of rowanberry fruits and ~109% in hawthorn fruits, indicating increased availability. In hawthorn fruits, flavanols exhibited greater stability and higher bioaccessibility, with catechin reaching 101% in the gastric phase, epicatechin remaining highly bioaccessible (98–97%), and epigallocatechin showing moderate bioaccessibility (24–50%). Both fruit extracts exhibited antioxidant activity, with hawthorn fruits showing significantly higher ABTS and DPPH scavenging capacities. Rowanberry and hawthorn fruits exhibited an inhibitory effect on lipid peroxidation in yolk homogenates, reducing malondialdehyde formation to 37.19 mg/kg and 20.58 mg/kg from 50.79 mg/kg, respectively, although their efficacy remained lower than that of synthetic antioxidants. The findings of this study indicate that rowanberry and hawthorn fruits are promising sources of bioactive compounds, exhibiting significant antioxidant activity in biological models and supporting the potential valorization of these underutilized fruits for functional food and nutraceutical applications. Full article
(This article belongs to the Special Issue Plant Materials and Their Antioxidant Potential, 3rd Edition)
Show Figures

Figure 1

18 pages, 3450 KB  
Article
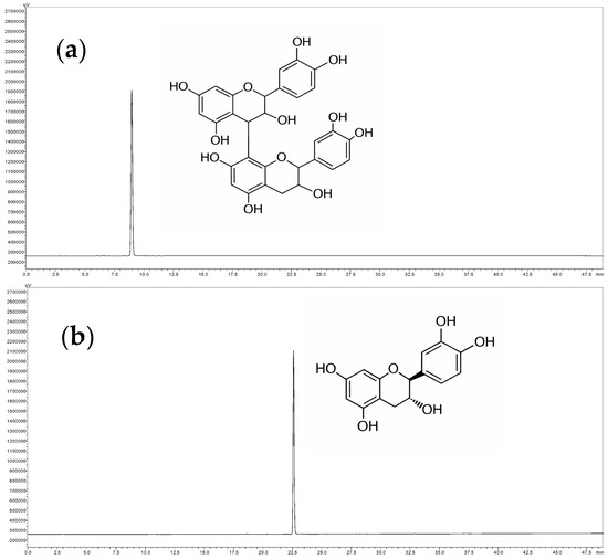
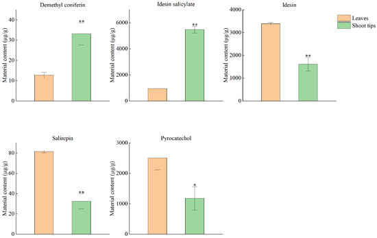
Comparative Metabolomic Analysis of Shoot Apices and Leaves of Idesia polycarpa and Quantitative Determination of Leaf Flavonoids
by Guangyao Li, Fangming Liu, Xingyue Xiong, Yanmei Wang, Li Dai, Zhi Li, Xiaodong Geng, Chong Li, Zhen Liu and Qifei Cai
Forests 2026, 17(3), 336; https://doi.org/10.3390/f17030336 - 8 Mar 2026
Viewed by 205
Abstract
Idesia polycarpa is a multipurpose tree species valued for both fruit production and timber and is often referred to as a “beautiful oil reservoir on trees”. However, research has largely focused on fruits, whereas the metabolic composition and potential value of other tissues, [...] Read more.
Idesia polycarpa is a multipurpose tree species valued for both fruit production and timber and is often referred to as a “beautiful oil reservoir on trees”. However, research has largely focused on fruits, whereas the metabolic composition and potential value of other tissues, such as leaves and shoot tips, remain insufficiently characterized. Here, we employed UPLC–MS/MS-based untargeted metabolomics to compare metabolite profiles and functional components between the leaves and shoot tips of I. polycarpa. In total, 378 differential metabolites were identified, with 105 significantly upregulated in leaves and 273 significantly upregulated in shoot tips. Among these, 32 metabolites were detected exclusively in shoot tips, and 22 were unique to leaves. Leaves were enriched in secondary metabolites, particularly flavonoids and phenolic acids, with scutellarin and catechol as representative compounds. In contrast, shoot tips exhibited higher levels of primary metabolites, including nucleotides and their derivatives as well as amino acids, with catechin and epicatechin being representative compounds. In addition, targeted metabolomics was performed to quantify 53 flavonoids in leaves; scutellarin (2088.1350 μg/g) and apigenin-7-O-glucuronide (1020.9085 μg/g) showed the highest concentrations. Collectively, these results reveal tissue-specific metabolic characteristics in I. polycarpa and provide a data basis for future functional studies and the comprehensive utilization of leaves and shoot tips. Full article
(This article belongs to the Section Forest Ecophysiology and Biology)
Show Figures

Figure 1

20 pages, 4793 KB  
Article
Effect of Phenolic Hydroxyl Group Number on Regulation of the Self-Assembly Behavior of Edible Dock Protein and Catechins
by Hao Ma, Shandan Zhao, Chenchen Wang, Yajun Lin and Kang Liu
Foods 2026, 15(5), 932; https://doi.org/10.3390/foods15050932 - 6 Mar 2026
Viewed by 225
Abstract
To investigate the effect of phenolic hydroxyl group number on the interaction between catechins and a plant-derived protein carrier, four catechins with varying hydroxyl numbers—epicatechin (EC), epicatechin gallate (ECG), epigallocatechin (EGC), and epigallocatechin gallate (EGCG)—were investigated. The new plant-derived edible dock protein (EDP) [...] Read more.
To investigate the effect of phenolic hydroxyl group number on the interaction between catechins and a plant-derived protein carrier, four catechins with varying hydroxyl numbers—epicatechin (EC), epicatechin gallate (ECG), epigallocatechin (EGC), and epigallocatechin gallate (EGCG)—were investigated. The new plant-derived edible dock protein (EDP) was selected as a carrier matrix. EDP, when employed as a protein delivery carrier, possessed a hydrophobic amino acid content of 45%. This structural feature enabled it to provide more hydrophobic cavities for small molecule compounds, thereby facilitating better binding with them. The results indicated that the order of loading capacity of catechins within EDP was EGCG (9.7%) > ECG (9.1%) > EGC (8.8%) > EC (7.1%). This sequence was consistent with the number of hydroxyl groups in catechin: EGCG (8) > ECG (7) > EGC (6) > EC (5). Among the four catechins, EGCG had the highest binding constant (Ka = 2.6 × 103 L/mol), leading to the largest quenching of EDP. During self-assembly, hydrogen bonding, hydrophobic and electrostatic interactions were the main driving forces, and the interaction between EGCG and EDP was the strongest. This study indicated that the hydroxyl group number of polyphenolic compounds can determine its binding affinity with proteins. Full article
Show Figures

Graphical abstract

17 pages, 1887 KB  
Article
Stereospecificity Membrane Impact of Two Catechins on Red Blood Cells
by Stefano Putaggio, Marco D’Alì, Annamaria Russo, Giuseppe T. Patanè, Daniele Caruso, Salvatore V. Giofrè, Ester Tellone and Nunzio Iraci
Antioxidants 2026, 15(3), 328; https://doi.org/10.3390/antiox15030328 - 5 Mar 2026
Viewed by 466
Abstract
Catechins are characterized by a basic structure consisting of two benzene rings and a hydropyran heterocyclic ring. In (-)-epicatechin (ECT), the substituents in C2 and C3 of the dihydropyran ring are in cis conformation, whereas in (+)-catechin (CT), they are in trans conformation. [...] Read more.
Catechins are characterized by a basic structure consisting of two benzene rings and a hydropyran heterocyclic ring. In (-)-epicatechin (ECT), the substituents in C2 and C3 of the dihydropyran ring are in cis conformation, whereas in (+)-catechin (CT), they are in trans conformation. Catechins tend to interact with membrane proteins, affecting their activity and/or function and metabolic processes. In this study, the impact of CT and ECT on erythrocyte membrane and cell functions was analyzed. Surprisingly, although the two compounds have a very similar structure that differs only in the orientation of the hydroxyl group in C3, they promote different effects on anion exchange through the phospholipid bilayer and on the release of ATP from cells. Anion transport mediated by Band 3 protein is reduced in the presence of CT compared with ECT which conversely increases it, and this observation aligns with the mechanisms of action we hypothesized in silico for the two compounds. Finally, ECT causes an increase in intracellular ATP levels unlike CT, and both molecules cause a decrease in ATP released from the erythrocyte. These findings could pave the way for further studies aimed at better understanding of the potential properties and structure–activity relationships of these molecules. Full article
(This article belongs to the Special Issue Antioxidant Effects of Natural Compounds on Cell Metabolism)
Show Figures

Graphical abstract

36 pages, 17636 KB  
Article
Mechanistic Insights into Active Components of Rosa Roxburghii Juice Against Fluoride-Induced Osteoarthritis
by Youqi Du, Youwen Du, Shaobo Liu, Jun Li, Lianqing Tian, Longyu Yao, Jiajia Liao, Lingyun Fu, Yan Chen, Peng Luo and Xiangchun Shen
Antioxidants 2026, 15(3), 309; https://doi.org/10.3390/antiox15030309 - 28 Feb 2026
Viewed by 465
Abstract
Fluoride-induced osteoarthritis (F-OA) is a debilitating manifestation of endemic fluorosis, with limited preventive or therapeutic strategies. Rosa roxburghii juice (RRJ), a traditional medicinal/edible product, has shown protective effects against skeletal fluorosis, yet its active constituents and molecular mechanisms are not fully understood. In [...] Read more.
Fluoride-induced osteoarthritis (F-OA) is a debilitating manifestation of endemic fluorosis, with limited preventive or therapeutic strategies. Rosa roxburghii juice (RRJ), a traditional medicinal/edible product, has shown protective effects against skeletal fluorosis, yet its active constituents and molecular mechanisms are not fully understood. In this study, an integrated strategy combining bioinformatics analysis, network pharmacology, molecular docking and dynamics simulations, limited proteolysis–mass spectrometry (LiP–MS), and in vitro experiments was employed to systematically elucidate the protective mechanisms of RRJ against F-OA. Forty-four core F-OA-associated genes were identified, with TP53 and the p53 signaling pathway emerging as central regulatory hubs. Quercetin, Epicatechin, Emodin, and Ellagic acid were screened as key bioactive components of RRJ and demonstrated strong binding affinity toward core targets, including TP53. Cellular experiments showed that these compounds significantly attenuated sodium fluoride-induced cellular injury. LiP–MS analysis further revealed widespread protein conformational remodeling following treatment, with TP53 exhibiting pronounced structural sensitivity. Mechanistically, these active compounds mitigated fluoride-induced pathological changes by suppressing p53 mRNA expression and restoring proteasome-mediated p53 degradation. This study provides systematic pharmacological evidence supporting Rosa roxburghii fruit as a promising functional food for the prevention and management of skeletal fluorosis and F-OA. Full article
Show Figures

Graphical abstract

27 pages, 2217 KB  
Systematic Review
Bioactive Natural Products Targeting Androgen Receptor Signaling in Prostate Cancer: A Systematic Review
by Febby Pratama, Dhania Novitasari, Richa Mardianingrum, Holis Abdul Holik, Nur Kusaira Khairul Ikram and Muchtaridi Muchtaridi
Cancers 2026, 18(5), 786; https://doi.org/10.3390/cancers18050786 - 28 Feb 2026
Viewed by 480
Abstract
Background: Prostate cancer remains a leading cause of male cancer-related mortality, largely driven by the dysregulated activation of the androgen receptor (AR) signaling pathway. The emergence of resistance, particularly in castration-resistant prostate cancer (CRPC), necessitates the discovery of innovative therapeutic approaches. This systematic [...] Read more.
Background: Prostate cancer remains a leading cause of male cancer-related mortality, largely driven by the dysregulated activation of the androgen receptor (AR) signaling pathway. The emergence of resistance, particularly in castration-resistant prostate cancer (CRPC), necessitates the discovery of innovative therapeutic approaches. This systematic review aims to consolidate contemporary evidence regarding natural products as bioactive alternatives capable of targeting the AR signaling axis. Methods: Adhering to PRISMA guidelines, a systematic search was conducted across PubMed, Scopus, and ScienceDirect databases. The review identified and qualitatively analyzed 15 original research studies that investigated the efficacy and mechanisms of various natural compounds in modulating AR signaling. Results: The analysis reveals that natural products deactivate the AR signaling axis through diverse mechanisms. Neoisoliquiritin and α-terthienyl were found to suppress AR expression, activity, and nuclear translocation. Notably, α-mangostin facilitates the degradation of the AR-V7 splice variant, a key driver of treatment resistance. Manzamine A inhibits AR biosynthesis by targeting the transcription factor E2F8. Furthermore, alternative pathways are modulated through 5-α-reductase inhibition (Annona muricata compounds) and the activation of the non-classical membrane receptor ZIP9 by (-)-epicatechin to induce apoptosis. Conclusions: The emergence of resistance, particularly in castration-resistant prostate cancer (CRPC), necessitates the exploration of innovative therapeutic approaches. This systematic review consolidates contemporary evidence regarding natural products as potential bioactive alternatives for modulating the androgen receptor (AR) signaling axis. Rather than providing a definitive clinical roadmap, this work establishes a preclinical framework for identifying substances that may deactivate the receptor, break down its resistant forms, or prevent nuclear translocation. Full article
Show Figures

Graphical abstract

27 pages, 6747 KB  
Article
Multi-Omics Integrative Analysis Provided New Insights into the Salt Tolerance of Two “Zhongtian” Series Alfalfa (Medicago sativa L.)
by Yunxing Fu, Taotao Zhao, Xinqiang Zhu, Feifan Leng, Shaowei Li, Yonggang Wang, Zhonghua Cao, Xiaoli Wang, Hongshan Yang, Fang Wu, Qian Zhang and Huirong Duan
Agronomy 2026, 16(5), 520; https://doi.org/10.3390/agronomy16050520 - 27 Feb 2026
Viewed by 444
Abstract
Salinity is a major limiting factor for alfalfa production. This study analyzed the differential regulatory mechanisms of ZT1 and ZT2 under salt stress (100 and 200 mM) through physiological and biochemical responses, the photosynthetic system, and transcriptome and metabolome. The results show that [...] Read more.
Salinity is a major limiting factor for alfalfa production. This study analyzed the differential regulatory mechanisms of ZT1 and ZT2 under salt stress (100 and 200 mM) through physiological and biochemical responses, the photosynthetic system, and transcriptome and metabolome. The results show that ZT1 is more tolerant than ZT2. Under salt stress, root vitality (30.95–66.28%), shoot dry weight (13.23–53.01%), and chlorophyll a (20.00–50.00%) decreased significantly. However, Na+/K+ (0.93–3.62 times), MDA (0.19–2.52 times), and superoxide dismutase (28.94–79.56%) increased significantly. From a physiological perspective, ZT1 and ZT2 can endow plants with salt tolerance by regulating the Na+/K+ balance, inducing osmotic agents, enhancing antioxidant activity, and regulating the photosynthetic system. In omics analysis, there were significant differences in their regulation of the biosynthetic pathways of phenylpropanin and flavonoids. ZT1’s salt tolerance is strengthened by the positive regulation of transcription factors (GRAS) and genes (CHS, POD, CAD, F3H, and PAL), together with the accumulation of (-)-epicatechin, eriodictyol, and butein. In contrast, ZT2 responded positively to salt stress via the regulation of TFs (GRAS, TRAF, and bHLH) and genes (POD, C4H, CHS, and F3′5′H), as well as the accumulation of caffeic acid. The research results will provide new insights into alfalfa cultivation and new variety breeding in saline–alkali land. Full article
(This article belongs to the Section Agricultural Biosystem and Biological Engineering)
Show Figures

Figure 1

21 pages, 1806 KB  
Article
Polyphenolic and Mineral Composition of Functional Foods Based on Rape Honey and Dried Fruits
by Elisabeta-Irina Geană, Claudia Sandru, Cornelia Carmen Abalaru, Mihaiela Cornea-Cipcigan and Rodica Margaoan
Molecules 2026, 31(5), 802; https://doi.org/10.3390/molecules31050802 - 27 Feb 2026
Viewed by 298
Abstract
Honey’s medicinal properties are largely attributed to its antioxidant activity, mainly derived from flavonoids, phenolic acids, and their derivatives. Fruit berries, such as goji berries, sea buckthorn, and black currant, are particularly rich in vitamins, phenolic compounds, and minerals, providing high nutritional and [...] Read more.
Honey’s medicinal properties are largely attributed to its antioxidant activity, mainly derived from flavonoids, phenolic acids, and their derivatives. Fruit berries, such as goji berries, sea buckthorn, and black currant, are particularly rich in vitamins, phenolic compounds, and minerals, providing high nutritional and pharmacological value. Enrichment of rapeseed honey with dried fruits significantly increased total phenolic content, with the highest value observed in honey containing goji berries (111.221 ± 20.551 mg GAE/100 g), followed by black currant (96.477 ± 31.053 mg GAE/100 g) and sea buckthorn (90.724 ± 19.72 mg GAE/100 g), compared to control honey (49.681 ± 14.44 mg GAE/100 g). Antioxidant activity, assessed by multiple assays, was markedly enhanced in functional foods based on rape honey and dried fruits, particularly those with black currant, followed by goji berries and sea buckthorn. Romanian rapeseed honey contained phenolic acids such as gallic, chlorogenic, 4-hydroxybenzoic, and 3,4-dihydroxybenzoic acids, and flavonoids including quercetin and naringin. Functional food based on rape honey and goji berries (GBH) showed the highest levels of chlorogenic and gallic acids, epicatechin, and rutin, while functional food based on rape honey and sea buckthorn (SBH) was rich in naringin and resveratrol. Functional food based on rape honey and black currant (BCH) exhibited elevated gallic acid and rutin. Potassium and magnesium were the predominant minerals in all samples. Overall, berry enrichment enhances the nutritional and antioxidant profile of honey, supporting immune function and general health. Full article
(This article belongs to the Special Issue Biological Activity and Chemical Composition of Honeybee Products)
Show Figures

Figure 1

26 pages, 3816 KB  
Article
A “Qualitative–Pharmacological–Correlation–Molecular” Integrated Workflow Reveals HIF-1α–Relevant Anti-Hypoxia Metabolites in Rhodiola Species
by Yixuan Li, Changming Zhong, Nan Zhang, Namin Wei, Siyu Li, Wanjun Yang, Huanfei Yang, Fanlin Yang, Feiyu Li, Jing Shang, Mengrui Guo, Shuo Liu, Jiaqi Tan, Wanting Tang, Zhaojuan Guo and Huaqiang Zhai
Int. J. Mol. Sci. 2026, 27(5), 2203; https://doi.org/10.3390/ijms27052203 - 26 Feb 2026
Viewed by 279
Abstract
Rhodiola species are traditionally used to mitigate hypoxia-related symptoms, but comparative evidence on their chemical bases and active constituents is limited. We implemented an integrated “qualitative analysis–pharmacological exploration–correlation analysis–molecular validation” workflow to compare Rhodiola crenulata, R. kirilowii, and R. rosea. [...] Read more.
Rhodiola species are traditionally used to mitigate hypoxia-related symptoms, but comparative evidence on their chemical bases and active constituents is limited. We implemented an integrated “qualitative analysis–pharmacological exploration–correlation analysis–molecular validation” workflow to compare Rhodiola crenulata, R. kirilowii, and R. rosea. Ultra-high-performance liquid chromatography–Q Exactive mass spectrometry (UPLC-QE-MS) profiling identified 175 metabolites across the three species, of which 161 were shared; multivariate analyses (principal component analysis, PCA; partial least squares–discriminant analysis, PLS-DA) revealed 30 differential compounds. In a normobaric hypoxia mouse model using herbal powder solutions, all three species significantly increased survival time versus control (p < 0.05), with mean survival times of 48.16 min (RR), 47.07 min (RC), and 44.82 min (RK) compared with 44.34 min for the positive control. Chemometric correlation (partial least squares regression, PLSR) combined with grey relational analysis (GRA) prioritized 14 compounds consistently associated with anti-hypoxia efficacy; six representative metabolites—epicatechin, 3-O-galloylquinic acid, salidroside, p-coumaric acid-4-O-glucoside, citric acid, and geraniol—were selected for in silico assessment. Molecular docking against hypoxia-inducible factor-1α (HIF-1α) yielded favorable binding poses (docking scores < −4.0), providing preliminary molecular-level plausibility without claiming mechanistic proof. This multi-level approach clarifies chemical–pharmacological relationships among Rhodiola species and provides prioritized candidate compounds for targeted isolation and mechanistic validation. Full article
(This article belongs to the Special Issue Metabolomics of Medicinal Plants)
Show Figures

Figure 1

28 pages, 3945 KB  
Article
Antidepressant and Cognitive-Enhancing Effects of Stewartia pseudocamellia Maxim. Leaves in Chronic Unpredictable Mild Stress-Induced Mice Through HPA Axis Regulation and the BDNF/TrkB Pathway
by Yu Mi Heo, Hyo Lim Lee, Hye Ji Choi, Yeong Hyeon Ju, Hwa Rang Na and Ho Jin Heo
Pharmaceuticals 2026, 19(3), 354; https://doi.org/10.3390/ph19030354 - 25 Feb 2026
Viewed by 415
Abstract
Background/Objectives: Stewartia pseudocamellia Maxim. (S. pseudocamellia) has been reported to possess antioxidant and anti-inflammatory properties and contains various bioactive flavonoids and phenolic compounds. These components may contribute to neuroprotective effects relevant to depression and cognitive dysfunction. This study was conducted [...] Read more.
Background/Objectives: Stewartia pseudocamellia Maxim. (S. pseudocamellia) has been reported to possess antioxidant and anti-inflammatory properties and contains various bioactive flavonoids and phenolic compounds. These components may contribute to neuroprotective effects relevant to depression and cognitive dysfunction. This study was conducted to evaluate the effects of 20% ethanolic extract from S. pseudocamellia leaves (ESP) on chronic unpredictable mild stress (CUMS)-induced depressive-like behaviors and cognitive dysfunction in C57BL/6 mice. Methods: C57BL/6 mice were divided into six groups: normal control (NC), normal sample (NS; ESP 100 mg/kg), CUMS, L-theanine (Thea; 4 mg/kg), ESP 50 mg/kg, and ESP 100 mg/kg groups. Phytochemical profiling of ESP was performed using ultra-performance liquid chromatography–quadrupole time-of-flight tandem mass spectrometry (UPLC-Q-TOF-MS/MS). Depressive-like behaviors and cognitive function were assessed, along with stress-related hormonal regulation and associated cellular signaling pathways. Results: Phytochemical profiling of ESP identified procyanidin B2, epicatechin, rutin, catechin gallate, kaempferol 3-O-glucoside, and quercitrin as major constituents. ESP significantly alleviated CUMS-induced depressive-like behaviors and improved spatial learning and memory. These effects were associated with modulation of stress-related hormones in serum and hypothalamic–pituitary–adrenal (HPA) axis–related proteins in the brain. ESP also enhanced antioxidant defense by activating the Nrf2 signaling pathway and improving mitochondrial function. Furthermore, ESP attenuated neuroinflammation and apoptosis by regulating the TLR4/NF-κB and JNK pathways, and promoted neuroplasticity by modulating cholinergic activity, with enhanced BDNF/TrkB signaling in the cerebral cortex and hippocampus. Conclusions: Collectively, these findings suggest that ESP exerts protective effects against CUMS-induced depressive-like behaviors and cognitive deficits in a preclinical model. Full article
Show Figures

Graphical abstract

Back to TopTop