Abstract
The aromatic complexity of craft beers, together with some particular practices (use of small vessels, dry hopping, etc.), can cause more oxidation associated with pre-maturated colloidal instability, Madeira off-flavors, bitterness decrease, and aroma loss. As bottle refermentation is widely used in Belgian craft beers, the aim of the present work is to assess how this practice might impact their flavor. In fresh beers, key flavors were evidenced by four complementary techniques: short-chain fatty acids determination, esters analysis, XAD-2 extract olfactometry, and overall sensory analysis. In almost all of the fresh beers, isovaleric acid was the sole fatty acid found above its sensory threshold. Selected samples were further analyzed through natural aging at 20 °C. The presence of yeast in the bottle minimized the trans-2-nonenal released from Schiff bases and proved less deleterious than suggested by previous studies with regard to fatty acid release and ester decrease through aging. Furthermore, according to the yeast species selected, some interesting terpenols and phenols were produced from glucosides during storage.
1. Introduction
Worldwide, over the last few decades, the production of craft beers has grown significantly, with new commercial products launched onto the market every day. Craftsmen can bring distinctive flavors to their beers by working with special malts, dual-purpose hop varieties (with or without dry hopping), spices, and/or specialty yeasts. These are known to impart fruity esters [1,2] and, in some cases, typical phenolic flavors [3] (e.g., 4-vinylguaiacol brought by phenolic off-flavor (POF(+)) yeasts). In addition, odorous heterocyclic compounds can be issued from colored malts [4,5], while hop terpenols and polyfunctional thiols bring pleasant citrus and exotic flavors to late- and dry-hopped beers [6,7,8]. Unfortunately, the use of small vessels and craftsmanship, by definition, lead to a higher risk of oxidation and shelf-life decrease.
Beer aging has been the focus of much interest for decades, with the development of worldwide beverage exchanges. The Dalgliesh plot [9] describes aromatic changes occurring in lager beers during storage. A linear decrease in bitterness (degradation of isohumulones and/or humulinones) coincides with an increase in sweet aroma and toffee flavor, together with the well-known cardboard taint (caused by trans-2-nonenal) [10,11,12,13] and ribes off-flavor (a catty smell linked to the presence of 3-sulfanyl-3-methylbutyl formate) [14,15]. Aging of specialty beers is even more complex, with defects such as Madeira off-flavor [16], phenolic perception [17], a change in hoppy aromas [18], and a detected ether taint [19].
Bottle refermentation has been widely used by Belgian craft brewers for its carbonation effect, giving beer the desired effervescence, and also for the associated oxygen consumption, which limits oxidation and the development of related off-flavors [20,21,22]. About half a million yeast cells per mL are pitched into the beer before bottling, in the presence of added fermentable sugars. The beer is then kept in a warm room (20–28 °C) from two to four weeks.
According to Saison et al. [23], however, refermentation can be damageable, causing loss of flowery, fruity, and ester notes that are highly appreciated by consumers. Long storage can lead to yeast autolysis with release of esterases (deleterious to fruity esters) and to excretion of amino acids, peptides, and short-chain fatty acids [24,25,26,27,28]. When Brettanomyces strains are present in the bottle, production of isovaleric, hexanoic, and octanoic acids is especially promoted [29,30,31].
The aim of the present paper was to assess how bottle refermentation impacts the flavor properties of Belgian craft beers. As bottle refermentation was already known to significantly improve the release of free-hop thiols from cysteine and glutathione conjugates [22], we decided to investigate only non-dry-hopped commercial samples. First, short-chain fatty acids were investigated in 16 bottle-refermented and two unrefermented Belgian craft beers to determine whether they were present above their sensory threshold. In a few selected samples, more flavors were then analyzed through natural aging at 20 °C in the dark. Esters (isoamyl acetate, ethyl hexanoate, and ethyl octanoate) were quantitated by headspace-GC-FID, and most trace aromas were monitored by GC-olfactometry after XAD-2 aroma extraction. Lastly, some cardboard defects (trans-2-nonenal) and a few other changes in aroma were evidenced by overall sensory analysis.
2. Materials and Methods
2.1. Materials
Isoamyl acetate (99%), ethyl hexanoate (99%), ethyl octanoate (99%), 2-pentanol (98%), isovaleric acid (99%), hexanoic acid (≥98%), octanoic acid (≥98%), nonanoic acid (99%), and decanoic acid were purchased from Sigma Aldrich GmbH (Bornem, Belgium); n-hexanol from Acros Organics (Geel, Belgium); ethanol (99.8%) from Merck (Darmstadt, Germany); XAD-2 resin from Supelco Inc. (Bellefonte, United States of America); and sodium chloride, copper sulfate (II), and diethyl ether from VWR International (Leuven, Belgium). Authentic standard flavor compounds for olfactometry were of pure grade (purity >98%) from Sigma-Aldrich. Milli-Q water was used (Millipore, Bedford, MA, USA).
2.2. Beer Samples and Aging Procedure
A total of 18 commercial, top-fermented, late-hopped beers (here listed as A–R for reasons of confidentiality) were kindly supplied by Belgian craft brewers. All were bottle-refermented, except beers A and B. Six representative samples (A–F), same lot as above, were further selected for more in-depth investigations through natural aging (20 °C in the dark). The main characteristics of these beers are depicted in Table 1.
Table 1.
Main characteristics of the six selected craft beers.
2.3. Short-chain Fatty Acid Analysis
First, 100 µL of internal standard (IST—1000 mg/L nonanoic acid) was added to 10 mL of beer in a 20-mL vial flask, which was immediately closed and shaken for 10 s. Then, 300 µL of n-hexanol was added before shaking again for 5 min. Compounds were recovered in assembled n-hexanol fractions after 2 successive centrifugations (14,000 rpm) [32]. Next, 1 µL of extract was analyzed on an Agilent 6890N gas chromatograph equipped with a split injector maintained at 200 °C (split ratio = 73.6). The FID (flame ionization detector) was set at 220 °C. Compounds were injected into a CP-Wax 58 column (Agilent, 60 m × 0.32 mm i.d., 0.5-µm film thickness). The carrier gas was nitrogen, and the pressure was set at 60 kPa. The oven temperature was programmed to rise from 125 to 140 °C at 8 °C/min and then to 180 °C at 15 °C/min. Quantitation was done by determining the relative response of each compound to IST (done by standard addition to beer B). Results are expressed as the average of duplicates.
2.4. Static Headspace Analysis of Esters
Prior to analysis, the beers were stored for 2 h at 4 °C to avoid excessive foaming. The whole procedure was carried out in a cold room (4 °C). Then, 40 µL of internal standard (IST, 2500 mg/L 2-pentanol) and 1.9 g of sodium chloride were added to 5 mL of beer in a 20-mL screw vial flask, which was closed immediately and kept closed until analysis. A total of 500 µL of extract were analyzed on a Thermo Finnigan Trace gas chromatograph, equipped with a splitless injector maintained at 250 °C; the split vent was opened 1 min post-injection. The FID detector was set at 260 °C. Compounds were injected into a VF-Wax MS column (Agilent, 60 m × 0.32 mm i.d., 0.5-µm film thickness). The carrier gas was nitrogen, and the pressure was set at 100 kPa. The oven temperature was programmed to rise from 40 to 140 °C at 8 °C/min and then to 180 °C at 15 °C/min. Quantitation was performed by standard addition (relative response of each compound to IST). Results are expressed as the average of duplicates.
2.5. Flavor XAD-2 Extraction and Gas Chromatography—Olfactometry Analytical Conditions
An extraction procedure based on that of Lermusieau et al. [33], was used to recover aroma compounds from beer. First, 4 g of XAD-2 resin were added to 50 mL of beer in a 250-mL flask. The flask was sealed with a Teflon-lined cap and shaken in the dark for 2 h at 200 rpm. After extraction, the contents were poured into a glass column with a coarse frit and Teflon stopcock, and the liquid was drained off, leaving a small bed of resin, which was further rinsed with 100 mL of distilled water (4 × 25 mL). Aroma compounds were then eluted with 40 mL of diethyl ether (2 × 20 mL). The extract was dried with Na2SO4 and concentrated to 0.5 mL in a Kuderna-Danish evaporator at 39 °C. A Chrompack CP9001 gas chromatograph equipped with a splitless injector maintained at 250 °C was used for the olfactometry analyses, and the split vent was opened after 0.5 min. Compounds were separated using a wall-coated open-tubular (WCOT) apolar CP SIL5 CB capillary column (Agilent, 50 m × 0.32 mm, 1.2-µm film thickness) connected to a GC-odor port at 250 °C. The eluent was diluted with a large volume of air (20 mL/min) previously humidified using aqueous copper (II) sulfate solution. The oven temperature was programmed from 36 to 85 °C at 20 °C/min, to 145 °C at 1 °C/min, to 250 °C at 3 °C/min, and then to remain constant at 250 °C for 30 min. A volume of 1 µL of extract was injected. Sniffing was performed by two experienced panelists. Serial dilutions were prepared from the initial XAD-2 extract at a ratio of 1:3n in diethyl ether. The dilution factor (FD) was calculated as 3n, n + 1 being the number of dilutions (factor 3) required for no odor to be perceived (Log3FD values in Table 2 equal to 0, 1, 2, …, 10, nd if no odor detected for the undiluted extract). The difference between two Log3FD becomes significant when above 1.
Table 2.
GC-olfactometric analysis of XAD-2 extracts issued from beers A, C, E, and F (fresh and after 6 months of storage at 20 °C). RI: retention index; nd: not detected.
2.6. Sensory Analyses
A group of 10 panelists (all trained scientists, non-smokers, and regular consumers of craft beers, including three women and seven men aged 23–55 years) scored four aging attributes on a scale of 0–4: cardboard, bread, cooked fruit, and dried fruit. A score of 0 meant the panelist did not detect the aroma, whereas a score of 4 meant the aroma was strongly perceived.
3. Results and Discussion
3.1. Short-Chain Fatty Acids
GC analyses revealed considerable variability of short-chain fatty acid profiles among fresh Belgian craft beers (Figure 1). Most samples contained isovaleric acid (Figure 1a) at a concentration above its threshold (1 mg/L) [34]. In all cases, on the other hand, hexanoic (Figure 1b), octanoic (Figure 1c), and decanoic acids (Figure 1d) were below their sensory thresholds (10, 10, and 5 mg/L, respectively [35]). A good correlation (R2 = 0.72) was found, as expected, between the concentrations of hexanoic acid and octanoic acid (Figure 2).
Figure 1.
Concentrations of isovaleric (a), hexanoic (b), octanoic (c), and decanoic (d) acids (mg/L) in 18 fresh Belgian craft beers. The dotted lines in each graph indicate the compound sensory threshold (Thr.).
Figure 2.
Correlation between the concentrations (mg/L) of octanoic acid and hexanoic acid (in eighteen fresh beers: A–R).
In a representative set of beers (A–F), short-chain fatty acids were determined after 3, 6, and 12 months of natural aging (Figure 3). No increase in isovaleric, hexanoic, octanoic, or decanoic acid concentration was observed over the aging period. Worth mentioning, however, is the significant decrease in octanoic acid in beer C (Figure 3C). This was the only beer tested here in which the concentration of this compound reached 9 mg/L before aging. In conclusion, bottle refermentation does not cause significant release of fatty acids through natural aging and thus does not negatively impact flavor.
Figure 3.
Concentrations (mg/L) of isovaleric acid (▲), hexanoic acid (■), octanoic acid (●), and decanoic acid (♦) in fresh beers (A–F) and their evolution during natural aging (3, 6, and 12 months). Variation coefficients under 5%.
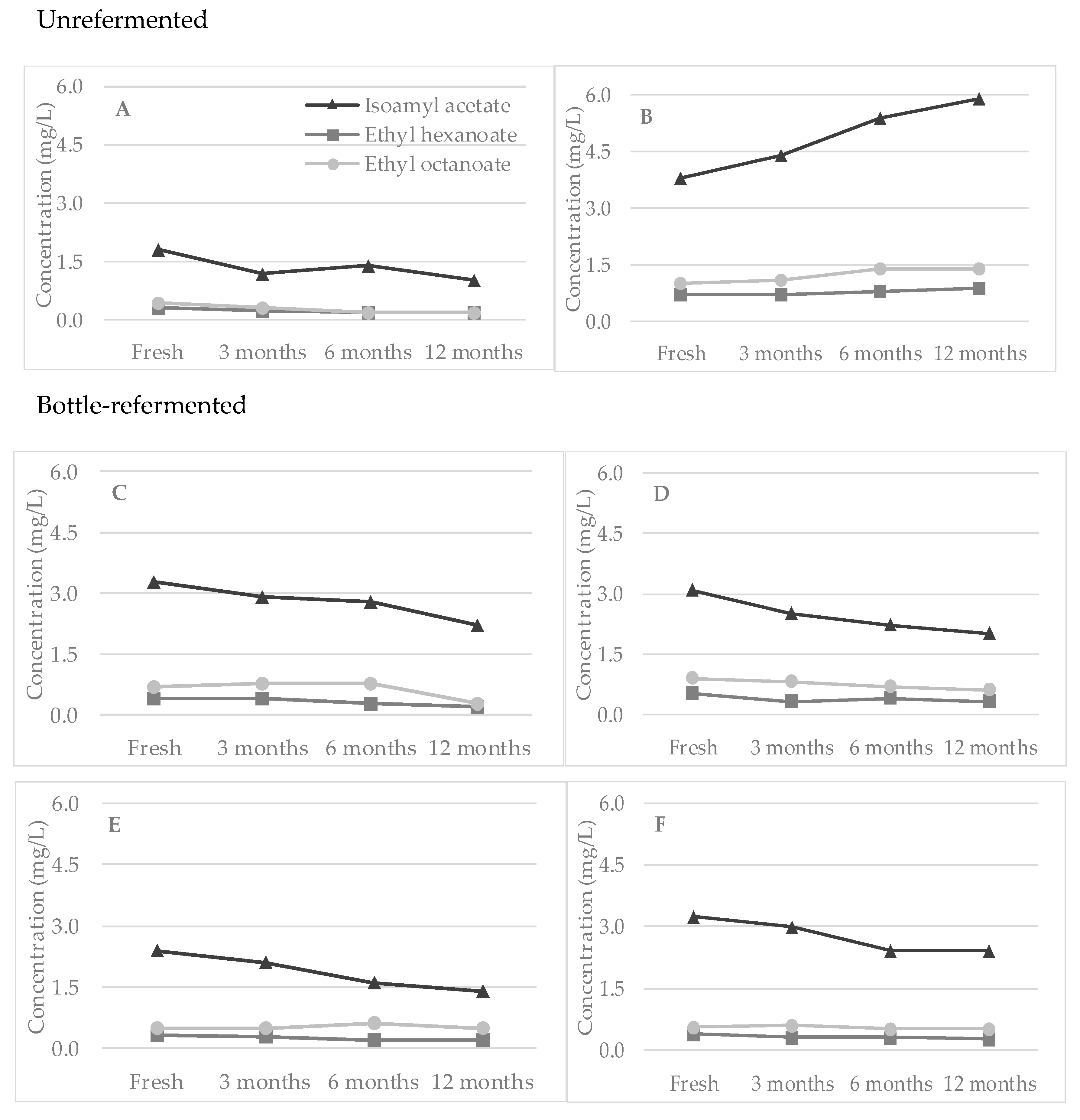
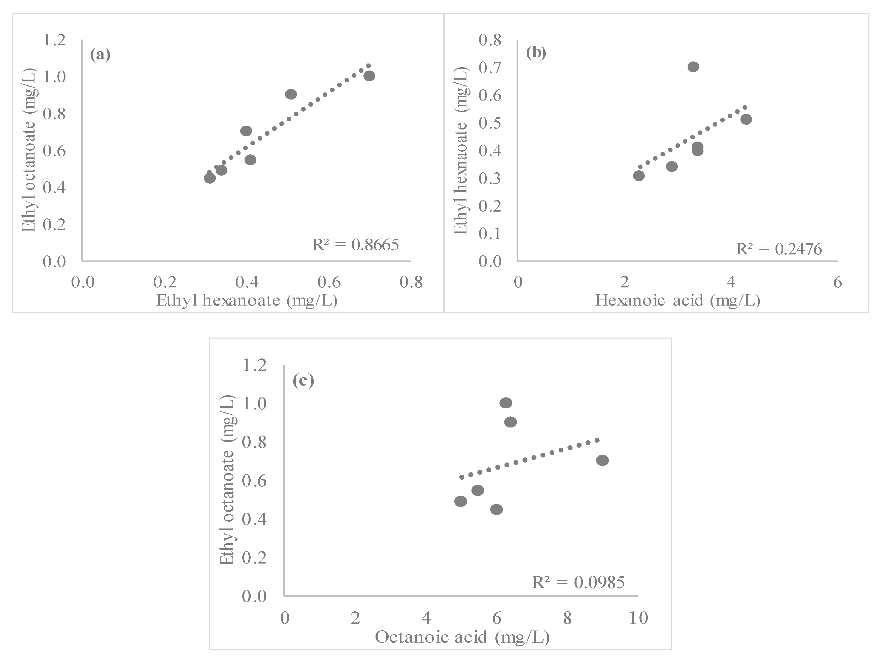
3.2. Esters
Esters were determined on the same sampling of craft beers (A–F) in the course of one year of natural aging (Figure 4). For fresh beers, a strong correlation (R2 = 0.86) was again observed between the concentrations of ethyl hexanoate and ethyl octanoate (Figure 5a), although these ester levels did not correlate well with the hexanoic and octanoic acids concentrations (Figure 5b,c). Ethyl hexanoate and ethyl octanoate, were found very close to their sensory thresholds (0.2 and 0.9 mg/L, respectively [36]) in all fresh samples and remained relatively stable during aging, with no significant difference between the unrefermented (A and B) and bottle-refermented (C–F) samples. On the other hand, the fruity banana-like isoamyl acetate was found to be partially degraded throughout the year of storage in all beers except B (characterized by a much higher level of ethanol, Table 1). The similar trend observed in A and C–F confirms that esters can be broken down even without the release of esterases upon yeast autolysis. In all of the beers, the isoamyl acetate concentration remained above the sensory threshold (0.5 mg/L [37]) after one year.
Figure 4.
Concentrations (mg/L) of isoamyl acetate (▲), ethyl hexanoate (■), and ethyl octanoate (●) in fresh beers (A–F) and their evolution during natural aging (3, 6, and 12 months). Variation coefficients under 5%.
Figure 5.
Correlations between the concentrations (mg/L) (a) ethyl octanoate and ethyl hexanoate, (b) ethyl hexanoate and hexanoic acid, and (c) ethyl octanoate and octanoic acid (in six fresh beers: A–F).
3.3. Olfactive Analysis of XAD-2 Extracted Flavors
Samples A, C, E, and F (all blond beers to avoid the complexity of special malt-derived molecules largely investigated elsewhere [5,17]) were subjected to XAD-2 resin extraction followed by GC-olfactometric (GC-O) analysis. Beer odor intensities were determined by the aroma extract dilution analysis (AEDA) [38]. To focus on beer flavor-active compounds, we list in Table 2 only those compounds whose FD was as high as that of ethyl hexanoate, an ester known to be present in the samples at concentrations close to its sensory threshold.
3-Methyl-2-buten-1-thiol (Log3FD = 7–10, a pleasant hoppy flavor here but also known as skunky at a much higher level [22]), 2-methyl-3-furanthiol (Log3FD = 2–10, broth), furaneol (Log3FD = 4–7, cotton candy), and linalool (Log3FD = 2–7, flowery/coriander) emerged as the most potent odorants in all four beers. The persistent detection of 4-vinylguaiacol (Log3FD = 3–6) in all samples indicates that POF(+) strains had been used by the brewers.
As already mentioned above, even in bottle-refermented beers (C, E, and F), isoamyl acetate (Log3FD = 1–2, undetectable in E and F due to the strong previous odor) and ethyl hexanoate (Log3FD = 2–4) showed good stability through aging, with no significant changes in FD. On the other hand, the red-fruit ethyl butyrate was produced during storage in the bottle-refermented beers (from not detected to Log3FD = 3 in beer E and from 4 to 6 in beer C).
Although trans-2-nonenal showed an increase in all four beers during aging, the highest FD jump was observed for the unrefermented A (from not detected to Log3FD = 6).
An interesting result was the strong increase, especially in aged beer F, of compounds suspected to be released during storage through glucoside hydrolysis: citronellol, 4-vinylguaiacol, vanillin, and β-damascenone [39,40]. In this case, the selected yeast clearly brought new flavors to F, explaining why some consumers may prefer the six-month-aged beer. The efficiency of the yeast β-1,3-glucanase or β-glucosidase should be taken into account to predict the amounts in which aglycons can be released through aging. Linalool (detected in fresh beers A, C, and F) was the sole hop terpenol found to decrease in beer F (Log3FD from 5 to 2), suggesting yeast terpenol biotransformations in the bottle [41].
3.4. Sensory Analyses
Beers A–F were investigated by a trained panel while fresh and then after 3 and 6 months of storage. As suspected from the GC-olfactometry results, unrefermented beers A and B developed a relatively intense cardboard flavor (trans-2-nonenal), already strongly perceived after 3 months (Figure 6). Despite the increase in FD for furaneol and β-damascenone after 6 months of storage, the attributes bread, dried fruit, and cooked fruit remained absent or relatively weak.
Figure 6.
Spider diagram of cardboard flavor intensity in fresh (●), and naturally aged (3 and 6 months) beers (A–F).
4. Conclusions
Bottle refermentation of craft beers can be promoted for its ability both to protect beer against oxidation, (this protection is required to avoid colloidal instability, bitterness decrease, and aroma loss) and to avoid the accumulation of trans-2-nonenal through enzymatic reduction to nonenol and nonanol. Moreover, the presence of yeast in the bottle proved not so deleterious as it regards fatty acid excretion and ester hydrolysis during the first year of storage, while leading to the release of interesting terpenols and phenols from aglycons.
Author Contributions
Conceptualization, S.C.; Data curation, C.S.F., E.B., and S.C.; Formal analysis, C.S.F., E.B., and S.C.; Writing—original draft, C.S.F. and S.C.
Funding
This research received no dedicated funding.
Conflicts of Interest
The authors declare no conflicts of interest.
References
- Pires, E.J.; Teixeira, J.A.; Brányik, T.; Vicente, A.A. Yeast: The soul of beer’s aroma—A review of flavour-active esters and higher alcohols produced by the brewing yeast. Appl. Microbiol. Biotechnol. 2013, 98, 1937–1949. [Google Scholar] [CrossRef] [PubMed]
- Saerens, M.G.; Verstrepen, K.; Thevelein, J.; Delvaux, F. Ethyl esters production during brewery fermentation: A review. Cerevisia 2008, 33, 82–90. [Google Scholar]
- Coghe, S.; Benoot, K.; Delvaux, F.; Vanderhaegen, B.; Delvaux, F.R. Ferulic acid release and 4-vinylguaiacol formation during brewing and fermentation: Indications for feruloyl esterase activity in Saccharomyces cerevisiae. J. Agric. Food Chem. 2004, 52, 602–608. [Google Scholar] [CrossRef] [PubMed]
- Coghe, S.; Martens, E.; D’Hollander, H.; Dirinck, P.J.; Delvaux, F. Sensory and instrumental flavour analysis of wort brewed with dark specialty malts. J. Inst. Brew. 2004, 110, 94–103. [Google Scholar] [CrossRef]
- Vandecan, S.M.G.; Daems, N.; Schouppe, N.; Saison, D.; Delvaux, F. Formation of flavor, color, and reducing power during the production process of dark specialty malts. J. Am. Soc. Brew. Chem. 2011, 69, 150–157. [Google Scholar] [CrossRef]
- Gros, J.; Peeters, F.; Collin, S. Occurrence of odorant polyfunctional thiols in beers hopped with different cultivars. First evidence of an S-cysteine conjugate in hop (Humulus lupulus L.). J. Agric. Food Chem. 2012, 60, 7805–7816. [Google Scholar] [CrossRef]
- Kankolongo Cibaka, M.-L.; Ferreira, C.S.; Decourrière, L.; Lorenzo-Alonso, C.-J.; Bodart, E.; Collin, S. Dry hopping with the dual-purpose varieties Amarillo, Citra, Hallertau Blanc, Mosaic, and Sorachi Ace: minor contribution of hop terpenol glucosides to beer flavors. J. Am. Soc. Brew. Chem. 2017, 75, 122–129. [Google Scholar]
- Kankolongo Cibaka, M.-L.; Decourrière, L.; Lorenzo-Alonso, C.-J.; Bodart, E.; Robiette, R.; Collin, S. 3-Sulfanyl-4-methylpentan-1-ol in dry-hopped beers: first evidence of glutathione S-Conjugates in hop (Humulus lupulus L.). J. Agric. Food Chem. 2016, 64, 8572–8582. [Google Scholar] [CrossRef]
- Dalgliesh, C.E. Flavour stability. In Proceedings of the European Brewery Convention: Proceedings of the 16th Congress, Amsterdam, The Netherlands, 1977; pp. 623–659. [Google Scholar]
- Noël, S.; Liegeois, C.; Lermusieau, G.; Bodart, E.; Badot, C.; Collin, S. Release of deuterated nonenal during beer aging from labeled precursors synthesized in the boiling kettle. J. Agric. Food Chem. 1999, 47, 4323–4326. [Google Scholar] [CrossRef]
- Lermusieau, G.; Noël, S.; Liegeois, C.; Collin, S. Nonoxidative mechanism for development of trans-2-nonenal in beer. J. Am. Soc. Brew. Chem. 1999, 57, 29–33. [Google Scholar] [CrossRef]
- Zufall, C.; Racioppi, G.; Gasparri, M.; Franquiz, J. Flavour stability and ageing characteristics of light stable beers. In Proceedings of the European Brewery Convention Congress, Prague, Czech Republic, 2–5 October 2005; p. 30. [Google Scholar]
- Silva Ferreira, C.; Thibault de Chanvalon, E.; Bodart, E.; Collin, S. Why humulinones are key bitter constituents only after dry hopping: comparison with other Belgian styles. J. Am. Soc. Brew. Chem. 2018, 76, 236–246. [Google Scholar] [CrossRef]
- Clapperton, J.F. Ribes flavor in beer. J. Inst. Brew. 1976, 82, 175–176. [Google Scholar] [CrossRef]
- Thi Thu, H.T.; Nizet, S.; Gros, J.; Collin, S. Occurrence of the ribes odorant 3-sulfanyl-3-methylbutyl formate in aged beers. Flavour Fragr. J. 2013, 28, 147–179. [Google Scholar]
- Scholtes, C.; Nizet, S.; Collin, S. How sotolon can impart a Madeira off-flavor to aged beers. J. Agric. Food Chem. 2015, 63, 2886–2892. [Google Scholar] [CrossRef] [PubMed]
- Scholtes, C.; Nizet, S.; Collin, S. Guaiacol and 4-methylphenol as specific markers of torrefied malts. Fate of volatile phenols in special beers through aging. J. Agric. Food Chem. 2014, 62, 9522–9528. [Google Scholar] [CrossRef] [PubMed]
- Thi Thu, H.T.; Kankolongo Cibaka, M.-L.; Collin, S. Polyfunctional thiols in fresh and aged Belgian special beers: fate of hop S-cysteine conjugates. J. Am. Soc. Brew. Chem. 2015, 73, 61–70. [Google Scholar]
- Vanderhaegen, B.; Neven, H.; Daenen, L.; Verstrepen, K.J.; Verachtert, H.; Derdelinckx, G. Furfuryl ethyl ether: important aging flavor and a new marker for the storage conditions of beer. J. Agric. Food Chem. 2004, 52, 1661–1668. [Google Scholar] [CrossRef]
- Derdelinckx, G.; Vanderhasselt, B.; Maudoux, M.; Dufour, J.P. Refermentation in bottles and kegs: A rigorous approach. Brauwelt Int. 1992, 2, 156–164. [Google Scholar]
- Vanderhaegen, B.; Neven, H.; Coghe, S.; Verstrepen, K.J.; Verachtert, H.; Derdelinckx, G. Evolution of chemical and sensory properties during aging of top-fermented beer. J. Agric. Food Chem. 2003, 51, 6782–6790. [Google Scholar] [CrossRef]
- Nizet, S.; Gros, J.; Peeters, F.; Chaumont, S.; Robiette, R.; Collin, S. First evidence of the production of odorant polyfunctional thiols by bottle refermentation. J. Am. Soc. Brew. Chem. 2013, 71, 15–22. [Google Scholar] [CrossRef]
- Saison, D.; De Schutter, D.P.; Vanbeneden, N.; Daenen, L.; Delvaux, F.; Delvaux, F.R. Decrease of aged beer aroma by the reducing activity of brewing yeast. J. Agric. Food Chem. 2010, 58, 3107–3115. [Google Scholar] [CrossRef] [PubMed]
- Ernest, C.-H.; Chen, A.; Jamieson, A.M.; Van Gheluwe, G. The release of fatty acids as a consequence of yeast autolysis. J. Am. Soc. Brew. Chem. 1980, 38, 13–17. [Google Scholar]
- Leroy, M.J.; Charpentier, M.; Duteurtre, B.; Feuillat, M.; Charpentier, C. Yeast autolysis during Champagne aging. Am. J. Enol. Vitic. 1990, 41, 21–28. [Google Scholar]
- Masschelein, C.A. The biochemistry of maturation. J. Inst. Brew. 1986, 92, 213–219. [Google Scholar] [CrossRef]
- Ormrod, I.H.L.; Lalor, E.F.; Sharpe, F.R. The release of yeast proteolytic enzymes into beer. J. Inst. Brew. 1991, 97, 441–443. [Google Scholar] [CrossRef]
- Neven, H.; Delvaux, F.; Derdelinckx, G. Flavor evolution of top fermented beers. MBAA Tech. Q. 1997, 34, 115–118. [Google Scholar]
- Gassenmeier, K.; Schieberle, P. Potent aromatic compounds in the crumb of wheat bread (French-type)-influence of pre-ferments and studies on the formation of key odorants during dough processing. Z. Lebensm. Unters. Forsch. 1995, 201, 241–248. [Google Scholar] [CrossRef]
- Olsen, E. Brettanomyces: Occurrence, flavour effects and control. In Proceedings of the 23rd Annual New York Wine Industry Workshop, New York, NY, USA, 23–24 March 1994. [Google Scholar]
- Fugelsang, K.C. Wine Microbiology; The Chapman & Hall Enology Library: New York, NY, USA, 1997. [Google Scholar]
- Alvarez., P.; Malcorps, P.; Sa Almeida, A.; Ferreira, A.; Meyer, A.M.; Dufour, J.P. Analysis of free fatty acids, fusel alcohols, and esters in beer: an alternative to CS2 extraction. J. Am. Soc. Brew. Chem. 1994, 52, 127–134. [Google Scholar] [CrossRef]
- Lermusieau, G.; Bulens, M.; Collin, S. Use of GC−Olfactometry to identify the hop aromatic compounds in beer. J. Agric. Food Chem. 2001, 49, 3867–3874. [Google Scholar] [CrossRef]
- Licker, J.L.; Acree, T.E.; Henick-Kling, T. What is ‘‘Brett’’ (Brettanomyces) flavour? A preliminary investigation. In Chemistry of Wine Flavour; ACS Symposium Series; American Chemical Society: Washington, DC, USA, 1998; pp. 96–115. [Google Scholar]
- Meilgaard, M. Flavor and threshold of beer volatiles. MBAA Tech. Q. 1974, 11, 87–89. [Google Scholar]
- Engan, S. Organoleptic threshold of some alcohols and esters in beer. J. Inst. Brew. 1971, 78, 33–36. [Google Scholar] [CrossRef]
- Saison, D.; De Schutter, D.P.; Uyttenhove, B.; Delvaux, F.; Delvaux, F.R. Contribution of staling sompounds to the aged flavor of lager beer by studying their flavor thresholds. Food Chem. 2009, 114, 1206–1215. [Google Scholar] [CrossRef]
- Ullrich, F.; Grosch, W. Identification of the most intensive volatile flavour compounds formed during autoxidation of linoleic acid. Z. Lebensm. Unters. Forsch. 1987, 184, 277–282. [Google Scholar] [CrossRef]
- Callemien, D.; Dasnoy, S.; Collin, S. Identification of a stale-beer-like odorant in extracts of naturally aged beer. J. Agric. Food Chem. 2006, 54, 1409–1413. [Google Scholar] [CrossRef] [PubMed]
- Chevance, F.; Guyot, C.; Dupont, J.; Collin, S. Investigation of the β-damascenone in fresh and aged commercial beers. J. Agric. Food Chem. 2002, 50, 3818–3821. [Google Scholar] [CrossRef] [PubMed]
- King, A.J.; Dickinson, J.R. Biotransformation of hop aroma terpenoids by ale and lager yeasts. FEMS Yeast Res. 2003, 3, 53–62. [Google Scholar] [CrossRef] [PubMed]
© 2019 by the authors. Licensee MDPI, Basel, Switzerland. This article is an open access article distributed under the terms and conditions of the Creative Commons Attribution (CC BY) license (http://creativecommons.org/licenses/by/4.0/).





