Subject-Based Model for Reconstructing Arterial Blood Pressure from Photoplethysmogram
Abstract
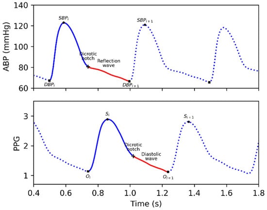
:1. Introduction
2. Methodology
2.1. Dataset
2.2. Preprocessing
- Detrending. Since the PPG can be easily corrupted by movement [21], it is necessary to remove the trend in PPG signals. In this study, the results of the linear least-squares fit to PPG were removed from PPG as trends.
- Scaling. The activation function of the last layer in the model architecture is tanh, so the amplitude of the output should range from [−1, 1]. For this paper, all ABP signals were divided by 200 to scale them in a range of [0, 1].
- Segmentation. After detrending and scaling, the PPG and ABP signals were divided into segments of 8.192 s (including 1024 samples). The overlap between the two consecutive segments was 75%. Due to the varying lengths of records in the dataset, the number of segments generated by this step for each record may differ.
- Split training and test set. The segments generated by the segmentation step were then split into training and test sets. The first 80% of the segments were defined as the training set, and the last 20% were defined as the test set to generate a continuous ABP signal.
2.3. Model Choice
2.4. Restoring Amplitude of the ABP
2.5. Stitching the Reconstruction of ABP Segments
2.6. Training Options
2.7. Performance Evaluation
2.7.1. Root Mean Square Error (rmse)
2.7.2. Mean Absolute Error (MAE) of SBP and DBP
2.7.3. Normalized DTW Distance
- Create a N×N matrix. An element in the ith row and the jth column in the matrix is the Euclidean distance between the ith sample point in the reconstruction ABP and jth sample point in the reference ABP, which is defined as di j.
- Look for the optimal path to minimize the sum of d11 to dNN along this path. This path is defined as the warping path, and the sum is the DTW distance.
3. Results
- Method I. Using the W-Net architecture, the model’s input was only the PPG.
- Method II. Using the W-Net architecture, three signals were used for the inputs: the PPG, the velocity of the PPG (VPG), and the acceleration of the PPG (APG). The VPG and APG are the first and second deviations of the PPG signals, respectively. The ABP-Net shows that using VPG and APG as the inputs can improve the performance of the model. In this case, it was necessary to compare the model’s performance with and without the VPG and APG signals as inputs. In this study, the deviation step was defined as follows:
- Method III. Using the left half of the W-Net architecture, which was the same as ABP-Net, the model inputs were the PPG, VPG, and APG. This method was used to compare W-Net’s performance with that of the ABP-Net.
4. Discussion and Limitations
5. Conclusions
Author Contributions
Funding
Institutional Review Board Statement
Informed Consent Statement
Data Availability Statement
Conflicts of Interest
References
- Thomas, H.; Diamond, J.; Vieco, A.; Chaudhuri, S.; Shinnar, E.; Cromer, S.; Perel, P.; Mensah, G.A.; Narula, J.; Johnson, C.O.; et al. Global Atlas of Cardiovascular Disease 2000–2016: The Path to Prevention and Control. Glob. Heart 2018, 13, 143–163. [Google Scholar] [CrossRef]
- Arya, V.; Kobe, J.; Mishra, N.; Al-Moustadi, W.; Nates, W.; Kumar, B. Cardiac Output Monitoring: Technology and Choice. Ann. Card. Anaesth. 2019, 22, 6–17. [Google Scholar] [CrossRef]
- Shelley, K.H. Photoplethysmography: Beyond the Calculation of Arterial Oxygen Saturation and Heart Rate. Anesth. Analg. 2007, 105, S31–S36. [Google Scholar] [CrossRef] [PubMed]
- Elgendi, M.; Fletcher, R.; Liang, Y.; Howard, N.; Lovell, N.H.; Abbott, D.; Lim, K.; Ward, R. The Use of Photoplethysmography for Assessing Hypertension. NPJ Digit. Med. 2019, 2, 60. [Google Scholar] [CrossRef]
- Wang, L.; Pickwell-Macpherson, E.; Liang, Y.P.; Zhang, Y.T. Noninvasive Cardiac Output Estimation Using a Novel photoplethysmogram Index. In Proceedings of the 2009 Annual International Conference of the IEEE Engineering in Medicine and Biology Society, Minneapolis, MN, USA, 3–6 September 2009. [Google Scholar]
- Polónia, J.; Barbosa, L.; Silva, J.A.; Rosas, M. Improvement of Aortic Reflection Wave Responses 6 Months After Stopping Smoking: A Prospective Study. Blood Press. Monit. 2009, 14, 69–75. [Google Scholar] [CrossRef] [PubMed]
- Sheng-Chi, K.; Chang, C.C.; Hsiao, T.C.; Hsu, H.Y. Reflection Wave Analysis Based on Ensemble Empirical Mode Decomposition. In Proceedings of the 2013 E-Health and Bioengineering Conference (EHB), Iasi, Romania, 21–23 November 2013. [Google Scholar]
- Janney, J.B.; Umashankar, G.; Krishnakumar, S.; Chandana, H.; Chriselda, L.C. Recognition of Dicrotic Notch in Arterial Blood Pressure Pulses Using Signal Processing Techniques. J. Phys. Conf. Ser. 2021, 1937, 012034. [Google Scholar] [CrossRef]
- Saffarpour, M.; Basu, D.; Radaei, F.; Vali, K.; Adams, J.Y.; Chuah, C.N.; Ghiasi, S. Dicrotic Notch Identification: A Generalizable Hybrid Approach under Arterial Blood Pressure (ABP) Curve Deformations. In Proceedings of the 2021 43rd Annual International Conference of the IEEE Engineering in Medicine & Biology Society (EMBC), Guadalajara, Mexico, 1–5 November 2021. [Google Scholar]
- Elgendi, M. On the Analysis of Fingertip Photoplethysmogram Signals. Curr. Cardiol. Rev. 2012, 8, 14–25. [Google Scholar] [CrossRef] [PubMed]
- He, X.; Goubran, R.A.; Liu, X.P. Secondary Peak Detection of PPG Signal for Continuous Cuffless Arterial Blood Pressure Measurement. IEEE Trans. Instrum. Meas. 2014, 63, 1431–1439. [Google Scholar] [CrossRef]
- Elgendi, M. PPG Signal Analysis: An Introduction Using MATLAB®; CRC Press: England, UK, 2020. [Google Scholar]
- Martínez, G.; Howard, N.; Abbott, D.; Lim, K.; Ward, R.; Elgendi, M. Can Photoplethysmography Replace Arterial Blood Pressure in the Assessment of Blood Pressure? J. Clin. Med. 2018, 7, 316. [Google Scholar] [CrossRef] [PubMed]
- Ibtehaz, N.; Rahman, M.S. Ppg2abp: Translating Photoplethysmogram (PPG) Signals to Arterial Blood Pressure (ABP) Waveforms Using Fully Convolutional Neural Networks. arXiv 2020, arXiv:2005.01669. [Google Scholar]
- Cheng, J.; Xu, Y.; Song, R.; Liu, Y.; Li, C.; Chen, X. Prediction of Arterial Blood Pressure Waveforms from Photoplethysmogram Signals via Fully Convolutional Neural Networks. Comput. Biol. Med. 2021, 138, 104877. [Google Scholar] [CrossRef] [PubMed]
- Liu, J.; Tang, W.; Chen, G.; Lu, Y.; Feng, C.; Tu, X.M. Correlation and Agreement: Overview and Dlarification of Competing Concepts and Measures. Shanghai Arch. Psychiatry 2016, 28, 115–120. [Google Scholar] [PubMed]
- Efrat, A.; Fan, Q.; Venkatasubramanian, S. Curve Matching, Time Warping, and Light Fields: New Algorithms for Computing Similarity between Curves. J. Math. Imaging Vis. 2007, 27, 203–216. [Google Scholar] [CrossRef]
- Kachuee, M.; Kiani, M.M.; Mohammadzade, H.; Shabany, M. Cuff-Less High-Accuracy Calibration-Free Blood Pressure Estimation Using Pulse Transit Time. In Proceedings of the 2015 IEEE International Symposium on Circuits and Systems (ISCAS), Lisbon, Portugal, 24–27 May 2015. [Google Scholar]
- Saeed, M.; Villarroel, M.; Reisner, A.T.; Clifford, G.; Lehman, L.W.; Moody, G.; Heldt, T.; Kyaw, T.H.; Moody, B.; Mark, R.G. Multiparameter Intelligent Monitoring in Intensive Care II: A Public-access Intensive Care Unit Database. Crit. Care Med. 2011, 39, 952–960. [Google Scholar] [CrossRef]
- Li, B.N.; Dong, M.C.; Vai, M.I. On An Automatic Delineator for Arterial Blood Pressure Waveforms. Biomed. Signal Process. Control 2010, 5, 76–81. [Google Scholar] [CrossRef]
- Kim, B.; Yoo, S. Motion Artifact Reduction in Photoplethysmography Using Independent Component Analysis. IEEE Trans. Biomed. Eng. 2006, 53, 566–568. [Google Scholar] [CrossRef]
- Gare, G.R.; Li, J.; Joshi, R.; Magar, R.; Vaze, M.P.; Yousefpour, M.; Rodriguez, R.L.; Galeotti, J.M. W-Net: Dense and Diagnostic Semantic Segmentation of Subcutaneous and Breast Tissue in Ultrasound Images by Incorporating Ultrasound RF Waveform Data. Med. Image Anal. 2021, 76, 102326. [Google Scholar] [CrossRef] [PubMed]
- Gargiulo, M.; Dell’Aglio, D.A.G.; Iodice, A.; Riccio, D.; Ruello, G. Integration of Sentinel-1 and Sentinel-2 Data for Land Cover Mapping Using W-Net. Sensors 2020, 20, 2969. [Google Scholar] [CrossRef]
- Koivistoinen, T.; Lyytikäinen, L.-P.; Aatola, H.; Luukkaala, T.; Juonala, M.; Viikari, J.; Lehtimäki, T.; Raitakari, O.T.; Kähönen, M.; Hutri-Kähönen, N. Pulse Wave Velocity Predicts the Progression of Blood Pressure and Development of Hypertension in Young Adults. Hypertension 2018, 71, 451–456. [Google Scholar] [CrossRef]
- Ding, X.; Yan, B.P.; Zhang, Y.T.; Liu, J.; Zhao, N.; Tsang, H.K. Pulse Transit Time Based Continuous Cuffless Blood Pressure Estimation: A New Extension and A Comprehensive Evaluation. Sci. Rep. 2017, 7, 11554. [Google Scholar] [CrossRef]
- Liang, Y.; Abbott, D.; Howard, N.; Lim, K.; Ward, R.; Elgendi, M. How Effective Is Pulse Arrival Time for Evaluating Blood Pressure? Challenges and Recommendations from a Study Using the MIMIC Database. J. Clin. Med. 2019, 8, 337. [Google Scholar] [CrossRef] [PubMed]
- Hsu, Y.-C.; Li, Y.-H.; Chang, C.-C.; Harfiya, L.N. Generalized Deep Neural Network Model for Cuffless Blood Pressure Estimation with Photoplethysmogram Signal Only. Sensors 2020, 20, 5668. [Google Scholar] [CrossRef] [PubMed]
- Harfiya, L.; Chang, C.-C.; Li, Y.-H. Continuous Blood Pressure Estimation Using Exclusively Photopletysmography by LSTM-Based Signal-to-Signal Translation. Sensors 2021, 21, 2952. [Google Scholar] [CrossRef]
- Parati, G.; Saul, J.P.; Di Rienzo, M.; Mancia, G. Spectral Analysis of Blood Pressure and Heart Rate Variability in Evaluating Cardiovascular Regulation: A Critical Appraisal. Hypertension 1995, 25, 1276–1286. [Google Scholar] [CrossRef] [PubMed]
- Elgendi, M.; Fletcher, R.R.; Tomar, H.; Allen, J.; Ward, R.; Menon, C. The Striking Need for Age Diverse Pulse Oximeter Databases. Front. Med. 2021, 2428. [Google Scholar] [CrossRef] [PubMed]
- Sinaki, F.Y.; Ward, R.; Abbott, D.; Allen, J.; Fletcher, R.R.; Menon, C.; Elgendi, M. Ethnic Disparities in Publicly-available Pulse Oximetry databases. Commun. Med. 2022, 2, 1–5. [Google Scholar] [CrossRef]






| Net Architecture | Inputs | rmse (mmHg) | MAESBP (mmHg) | MAEDBP (mmHg) | Pearson’s r | Normalized DTW Distance () | |
|---|---|---|---|---|---|---|---|
| Methods I | W-net | PPG | 2.236 ± 1.551 | 2.602 ± 1.886 | 1.450 ± 1.330 | 0.995 ± 0.014 | 0.612 ± 0.270 |
| Methods II | W-net | PPG + VPG + APG | 2.234 ± 1.523 | 2.627 ± 2.035 | 1.567 ± 1.432 | 0.995 ± 0.013 | 0.616 ± 0.269 |
| Methods III | U-net | PPG + VPG + APG | 4.873 ± 2.357 | 3.248 ± 2.246 | 2.187 ± 1.859 | 0.974 ± 0.029 | 0.889 ± 0.403 |
| Inputs | MAESBP | MAEDBP | rmse | Pearson’s r | Normalized DTW Distance () | |
|---|---|---|---|---|---|---|
| This study | PPG | 2.602 ± 1.886 | 1.450 ± 1.330 | 2.236 ± 1.551 | 0.995 ± 0.014 | 0.612 ± 0.270 |
| PPG + VPG + APG | 2.627 ± 2.035 | 1.567 ± 1.432 | 2.234 ± 1.523 | 0.995 ± 0.013 | 0.616 ± 0.269 | |
| PPG2ABP | PPG | 5.73 ± 9.16 | 3.45 ± NR | NR | NR | NR |
| ABP-Net | PPG + VPG + APG | 3.27 ± 3.92 | 1.90 ± 2.44 | 3.20 ± NR | NR | NR |
Publisher’s Note: MDPI stays neutral with regard to jurisdictional claims in published maps and institutional affiliations. |
© 2022 by the authors. Licensee MDPI, Basel, Switzerland. This article is an open access article distributed under the terms and conditions of the Creative Commons Attribution (CC BY) license (https://creativecommons.org/licenses/by/4.0/).
Share and Cite
Tang, Q.; Chen, Z.; Ward, R.; Menon, C.; Elgendi, M. Subject-Based Model for Reconstructing Arterial Blood Pressure from Photoplethysmogram. Bioengineering 2022, 9, 402. https://doi.org/10.3390/bioengineering9080402
Tang Q, Chen Z, Ward R, Menon C, Elgendi M. Subject-Based Model for Reconstructing Arterial Blood Pressure from Photoplethysmogram. Bioengineering. 2022; 9(8):402. https://doi.org/10.3390/bioengineering9080402
Chicago/Turabian StyleTang, Qunfeng, Zhencheng Chen, Rabab Ward, Carlo Menon, and Mohamed Elgendi. 2022. "Subject-Based Model for Reconstructing Arterial Blood Pressure from Photoplethysmogram" Bioengineering 9, no. 8: 402. https://doi.org/10.3390/bioengineering9080402
APA StyleTang, Q., Chen, Z., Ward, R., Menon, C., & Elgendi, M. (2022). Subject-Based Model for Reconstructing Arterial Blood Pressure from Photoplethysmogram. Bioengineering, 9(8), 402. https://doi.org/10.3390/bioengineering9080402

