Effect of Heel Lift Insoles on Lower Extremity Muscle Activation and Joint Work during Barbell Squats
Abstract
:1. Introduction
2. Materials and Methods
2.1. Participants
2.2. Experimental Design
2.3. Musculoskeletal Model and Model Validation
2.4. Data Processing
2.5. Statistical Analysis
3. Results
3.1. Model Validation
3.2. Joint Angle, Joint Moment, and Joint Power
3.3. Joint Work
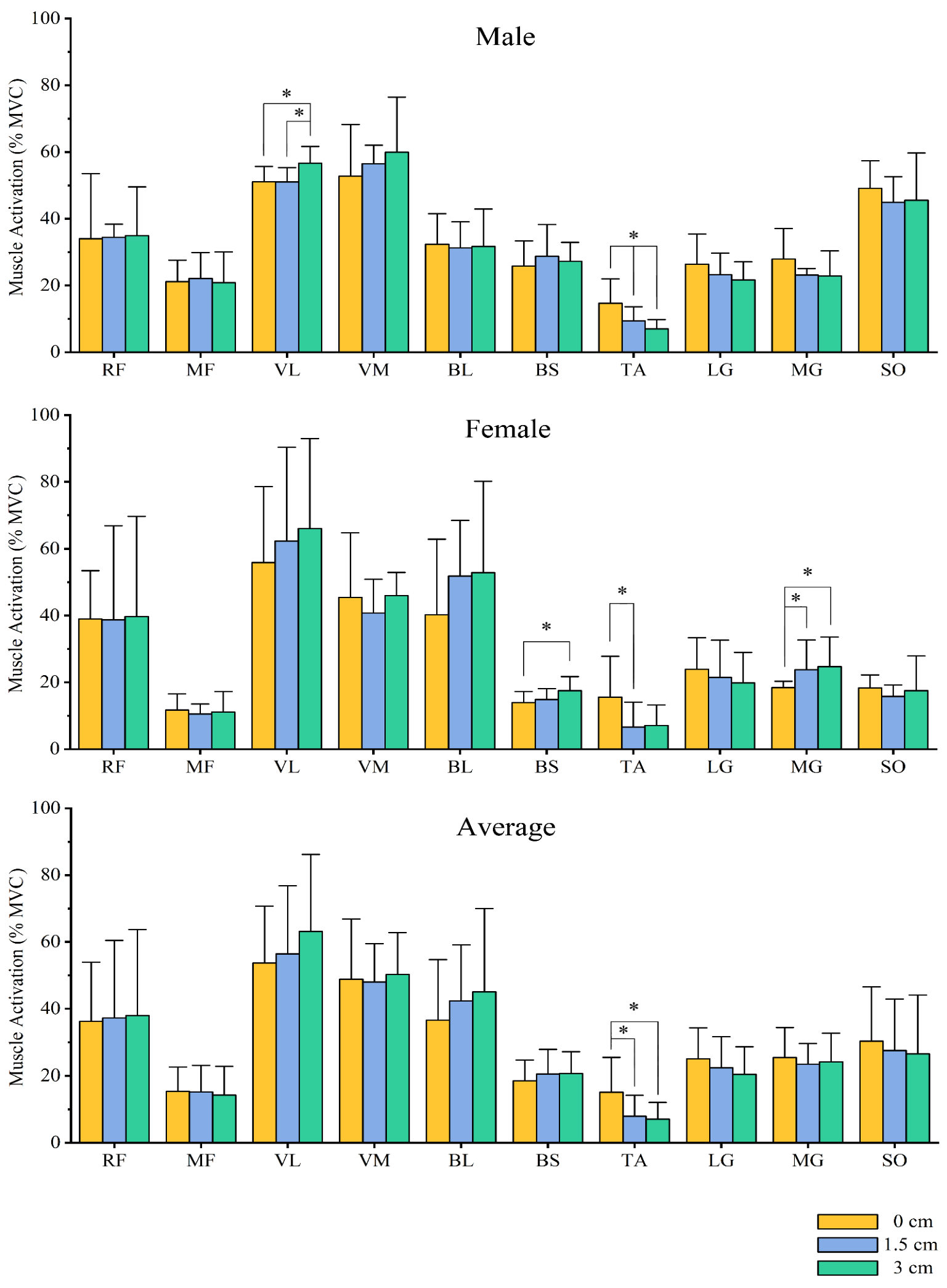
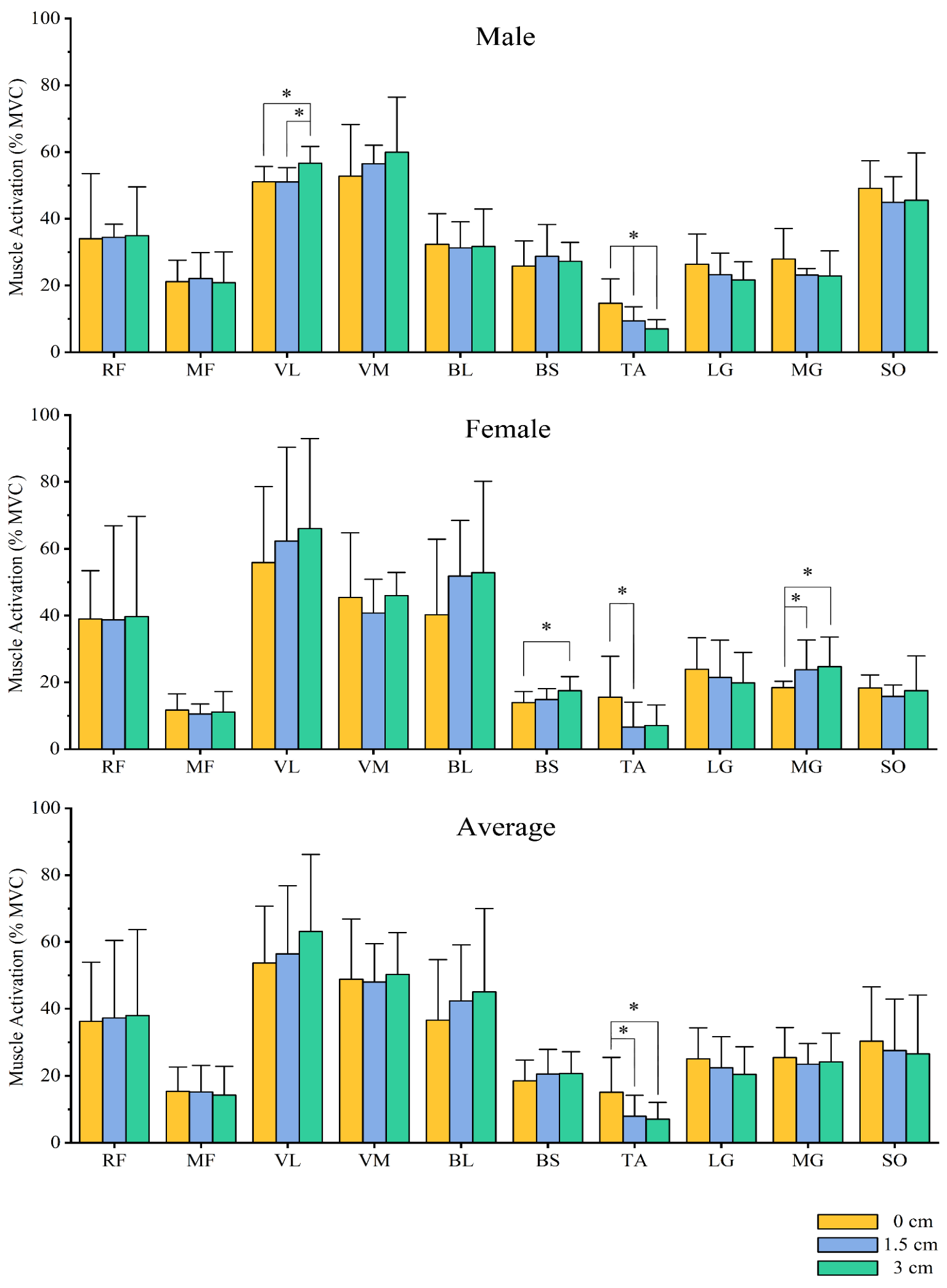
3.4. Muscle Activation
4. Discussion
4.1. Joint Angle, Joint Moment, and Power
4.2. Joint Work
4.3. Muscle Activation
4.4. Limitations
5. Conclusions
Author Contributions
Funding
Institutional Review Board Statement
Informed Consent Statement
Data Availability Statement
Conflicts of Interest
References
- Comfort, P.; Kasim, P. Optimizing squat technique. Strength Cond. J. 2007, 29, 10. [Google Scholar] [CrossRef]
- Corradi, E.F.; Lanza, M.B.; Lacerda, L.T.; Andrushko, J.W.; Martins-Costa, H.C.; Diniz, R.C.; Lima, F.V.; Chagas, M.H. Acute physiological responses with varying load or time under tension during a squat exercise: A randomized cross-over design. J. Sci. Med. Sport 2021, 24, 171–176. [Google Scholar] [CrossRef] [PubMed]
- Cotter, J.A.; Chaudhari, A.M.; Jamison, S.T.; Devor, S.T. Knee joint kinetics in relation to commonly prescribed squat loads and depths. J. Strength Cond. Res./Natl. Strength Cond. Assoc. 2013, 27, 1765. [Google Scholar] [CrossRef] [PubMed] [Green Version]
- Shi, Z.; Sun, D. Conflict between Weightlifting and Health? The Importance of Injury Prevention and Technology Assistance. Phys. Act. Health 2022, 6, 1–4. [Google Scholar] [CrossRef]
- Fry, A.C.; Smith, J.C.; Schilling, B.K. Effect of knee position on hip and knee torques during the barbell squat. J. Strength Cond. Res. 2003, 17, 629–633. [Google Scholar] [PubMed] [Green Version]
- Lee, S.P.; Gillis, C.B.; Ibarra, J.J.; Oldroyd, D.F.; Zane, R.S. Heel-raised foot posture does not affect trunk and lower extremity biomechanics during a barbell back squat in recreational weight lifters. J. Strength Cond. Res. 2019, 33, 606–614. [Google Scholar] [CrossRef]
- List, R.; Gülay, T.; Stoop, M.; Lorenzetti, S. Kinematics of the trunk and the lower extremities during restricted and unrestricted squats. J. Strength Cond. Res. 2013, 27, 1529–1538. [Google Scholar] [CrossRef]
- Yichen, L.; Qichang, M.; Peng, H.-T.; Jianshe, L.; Chen, W.; Yaodong, G. A comparative study on loadings of the lower extremity during deep squat in Asian and Caucasian individuals via OpenSim musculoskeletal modelling. BioMed Res. Int. 2020, 2020, 7531719. [Google Scholar]
- Lynn, S.K.; Noffal, G.J. Lower extremity biomechanics during a regular and counterbalanced squat. J. Strength Cond. Res. 2012, 26, 2417–2425. [Google Scholar] [CrossRef]
- McKean, M.R.; Dunn, P.K.; Burkett, B.J. Quantifying the movement and the influence of load in the back squat exercise. J. Strength Cond. Res. 2010, 24, 1671–1679. [Google Scholar] [CrossRef]
- Pangan, A.M.; Leineweber, M. Footwear and elevated heel influence on barbell back squat: A review. J. Biomech. Eng. 2021, 143, 090801. [Google Scholar] [CrossRef] [PubMed]
- Schoenfeld, B.J. Squatting kinematics and kinetics and their application to exercise performance. J. Strength Cond. 2010, 24, 3497–3506. [Google Scholar] [CrossRef] [PubMed] [Green Version]
- Swinton, P.A.; Lloyd, R.; Keogh, J.W.; Agouris, I.; Stewart, A.D. A biomechanical comparison of the traditional squat, powerlifting squat, and box squat. J. Strength Cond. Res. 2012, 26, 1805–1816. [Google Scholar] [CrossRef] [PubMed]
- Walsh, J.C.; Quinlan, J.F.; Stapleton, R.; FitzPatrick, D.P.; McCormack, D. Three-dimensional motion analysis of the lumbar spine during “free squat” weight lift training. Am. J. Sports Med. 2007, 35, 927–932. [Google Scholar] [CrossRef] [PubMed]
- Whitting, J.W.; Meir, R.A.; Crowley-McHattan, Z.J.; Holding, R.C. Influence of footwear type on barbell back squat using 50, 70, and 90% of one repetition maximum: A biomechanical analysis. J. Strength Onditioning Res. 2016, 30, 1085–1092. [Google Scholar] [CrossRef] [PubMed]
- Kongsgaard, M.; Aagaard, P.; Roikjaer, S.; Olsen, D.; Jensen, M.; Langberg, H.; Magnusson, S. Decline eccentric squats increases patellar tendon loading compared to standard eccentric squats. Clin. Biomech. 2006, 21, 748–754. [Google Scholar] [CrossRef]
- Monteiro, P.; Marcori, A.J.; Nascimento, V.; Guimarães, A.; Okazaki, V.H.A. Comparing the kinematics of back squats performed with different heel elevations. Hum. Mov. 2022, 23, 97–103. [Google Scholar] [CrossRef]
- Sato, K.; Fortenbaugh, D.; Hydock, D.S. Kinematic changes using weightlifting shoes on barbell back squat. J. Strength Cond. Res. 2012, 26, 28–33. [Google Scholar] [CrossRef]
- Schermoly, T.P.; Hough, I.G.; Senchina, D.S. The effects of footwear on force production during barbell back squats. J. Undergrad. Kinesiol. Res. 2015, 10, 42–51. [Google Scholar]
- Southwell, D.J.; Petersen, S.A.; Beach, T.A.; Graham, R.B. The effects of squatting footwear on three-dimensional lower limb and spine kinetics. J. Electromyogr. Kinesiol. 2016, 31, 111–118. [Google Scholar] [CrossRef]
- Zobeck, C.J.; Senchina, D.S. The Effects of Footwear on Force Production during barbell back squats part II: Standardizing squat depth. Int. J. Res. Exerc. Physiol. 2020, 15, 24–34. [Google Scholar]
- Legg, H.S.; Glaister, M.; Cleather, D.J.; Goodwin, J.E. The effect of weightlifting shoes on the kinetics and kinematics of the back squat. J. Sports Sci. 2017, 35, 508–515. [Google Scholar] [CrossRef] [PubMed]
- Sinclair, J.; McCarthy, D.; Bentley, I.; Hurst, H.T.; Atkins, S. The influence of different footwear on 3-D kinematics and muscle activation during the barbell back squat in males. Eur. J. Sport Sci. 2015, 15, 583–590. [Google Scholar] [CrossRef]
- Sato, K.; Fortenbaugh, D.; Hydock, D.S.; Heise, G.D. Comparison of back squat kinematics between barefoot and shoe conditions. Int. J. Sports Sci. Coach. 2013, 8, 571–578. [Google Scholar] [CrossRef]
- Sayers, M.G.; Bachem, C.; Schütz, P.; Taylor, W.R.; List, R.; Lorenzetti, S.; Nasab, S.H. The effect of elevating the heels on spinal kinematics and kinetics during the back squat in trained and novice weight trainers. J. Sports Sci. 2020, 38, 1000–1008. [Google Scholar] [CrossRef]
- Jandacka, D.; Uchytil, J.; Farana, R.; Zahradnik, D.; Hamill, J. Lower extremity power during the squat jump with various barbell loads. Sports Biomech. 2014, 13, 75–86. [Google Scholar] [CrossRef] [PubMed]
- Kaneko, M. Training effect of different loads on thd force-velocity relationship and mechanical power output in human muscle. Scand. J. Sports Sci. 1983, 5, 50–55. [Google Scholar]
- Wilkie, D. The relation between force and velocity in human muscle. J. Physiol. 1949, 110, 249. [Google Scholar] [CrossRef]
- Wakeling, J.; Blake, O.; Chan, H. Muscle coordination is key to the power output and mechanical efficiency of limb movements. J. Exp. Biol. 2010, 213, 487–492. [Google Scholar] [CrossRef] [Green Version]
- Teixeira-Salmela, L.F.; Nadeau, S.; Milot, M.-H.; Gravel, D.; Requião, L.F. Effects of cadence on energy generation and absorption at lower extremity joints during gait. Clin. Biomech. 2008, 23, 769–778. [Google Scholar] [CrossRef]
- Sawicki, G.S.; Lewis, C.L.; Ferris, D.P. It pays to have a spring in your step. Exerc. Sport Sci. Rev. 2009, 37, 130. [Google Scholar] [CrossRef] [PubMed]
- Cofré, L.E.; Lythgo, N.; Morgan, D.; Galea, M.P. Aging modifies joint power and work when gait speeds are matched. Gait Posture 2011, 33, 484–489. [Google Scholar] [CrossRef] [PubMed]
- Chen, I.; Kuo, K.; Andriacchi, T. The influence of walking speed on mechanical joint power during gait. Gait Posture 1997, 6, 171–176. [Google Scholar] [CrossRef]
- Silverman, A.K.; Fey, N.P.; Portillo, A.; Walden, J.G.; Bosker, G.; Neptune, R.R. Compensatory mechanisms in below-knee amputee gait in response to increasing steady-state walking speeds. Gait Posture 2008, 28, 602–609. [Google Scholar] [CrossRef] [PubMed]
- Ebrahimi, A.; Goldberg, S.R.; Wilken, J.M.; Stanhope, S.J. Constituent Lower Extremity Work (CLEW) approach: A novel tool to visualize joint and segment work. Gait Posture 2017, 56, 49–53. [Google Scholar] [CrossRef] [PubMed] [Green Version]
- Zelik, K.E.; Honert, E.C. Ankle and foot power in gait analysis: Implications for science, technology and clinical assessment. J. Biomech. 2018, 75, 1–12. [Google Scholar] [CrossRef]
- Zellers, J.A.; Marmon, A.R.; Ebrahimi, A.; Grävare Silbernagel, K. Lower extremity work along with triceps surae structure and activation is altered with jumping after Achilles tendon repair. J. Orthop. Res. 2019, 37, 933–941. [Google Scholar] [CrossRef] [PubMed]
- Sinclair, J.; Taylor, P.; Currigan, G.; Hobbs, S. The test-retest reliability of three different hip joint centre location techniques. Mov. Sport Sci.-Sci. Mot. 2014, 83, 31–39. [Google Scholar] [CrossRef]
- Anbarian, M.; Rajabian, F.; Ghasemi, M.H.; Heidari Moghaddam, R. The effect of the heel wedges on the electromyography activities of the selected lower back muscles during load lifting. Iran. J. Ergon. 2017, 5, 12–21. [Google Scholar]
- Johnston, C.; Hunt-Murray, C.; Hsieh, C. Effect of heel heights on lower extremity muscle activation for back-squat performance. ISBS Proc. Arch. 2017, 35, 176. [Google Scholar]
- Faul, F.; Erdfelder, E.; Lang, A.-G.; Buchner, A. G* Power 3: A flexible statistical power analysis program for the social, behavioral, and biomedical sciences. Behav. Res. Methods 2007, 39, 175–191. [Google Scholar] [CrossRef] [PubMed]
- Stock, M.S.; Beck, T.W.; DeFreitas, J.M.; Dillon, M.A. Test–retest reliability of barbell velocity during the free-weight bench-press exercise. J. Strength Cond. Res. 2011, 25, 171–177. [Google Scholar] [CrossRef] [PubMed]
- Xiang, L.; Mei, Q.; Wang, A.; Shim, V.; Fernandez, J.; Gu, Y. Evaluating function in the hallux valgus foot following a 12-week minimalist footwear intervention: A pilot computational analysis. J Biomech. 2022, 132, 110941. [Google Scholar] [CrossRef] [PubMed]
- He, Y.; Fekete, G. The Effect of Cryotherapy on Balance Recovery at Different Moments after Lower Extremity Muscle Fatigue. Phys. Act. Health 2021, 5, 255–270. [Google Scholar] [CrossRef]
- Pereira, M.I.R.; Gomes, P.S.C. Muscular strength and endurance tests: Reliability and prediction of one repetition maximum-Review and new evidences. Rev. Bras. Med. Esporte 2003, 9, 325–335. [Google Scholar] [CrossRef] [Green Version]
- Catelli, D.S.; Wesseling, M.; Jonkers, I.; Lamontagne, M. A musculoskeletal model customized for squatting task. Comput. Methods Biomech. Biomed. Eng. 2019, 22, 21–24. [Google Scholar] [CrossRef]
- Xin, L.; Adrien, N.; Baker, J.S.; Qichang, M.; Yaodong, G. Novice female exercisers exhibited different biomechanical loading profiles during full-squat and half-squat practice. Biology 2021, 10, 1184. [Google Scholar]
- Decker, M.J.; Torry, M.R.; Wyland, D.J.; Sterett, W.I.; Steadman, J.R. Gender differences in lower extremity kinematics, kinetics and energy absorption during landing. Clin. Biomech. 2003, 18, 662–669. [Google Scholar] [CrossRef]
- Devita, P.; Skelly, W.A. Effect of landing stiffness on joint kinetics and energetics in the lower extremity. Med. Sci. Sports Exerc. 1992, 24, 108–115. [Google Scholar] [CrossRef] [Green Version]
- Winter, D.A. Biomechanics and Motor Control of Human Movement; John Wiley & Sons: Hoboken, NJ, USA, 2009. [Google Scholar]
- Kulas, A.; Zalewski, P.; Hortobagyi, T.; DeVita, P. Effects of added trunk load and corresponding trunk position adaptations on lower extremity biomechanics during drop-landings. J. Biomech. 2008, 41, 180–185. [Google Scholar] [CrossRef]
- Cohen, J. A power primer. Psychol. Bull. 1992, 112, 155. [Google Scholar] [CrossRef] [PubMed]
- Hamner, S.R.; Delp, S.L. Muscle contributions to fore-aft and vertical body mass center accelerations over a range of running speeds. J. Biomech. 2013, 46, 780–787. [Google Scholar] [CrossRef] [PubMed] [Green Version]
- Rajagopal, A.; Dembia, C.L.; DeMers, M.S.; Delp, D.D.; Hicks, J.L.; Delp, S.L. Full-body musculoskeletal model for muscle-driven simulation of human gait. IEEE Trans. Biomed. Eng. 2016, 63, 2068–2079. [Google Scholar] [CrossRef] [PubMed]
- Xu, D.; Quan, W.; Zhou, H.; Sun, D.; Baker, J.S.; Gu, Y. Explaining the differences of gait patterns between high and low-mileage runners with machine learning. Sci Rep. 2022, 12, 2981. [Google Scholar] [CrossRef] [PubMed]
- Dempster, J.; Dutheil, F.; Ugbolue, U.C. The Prevalence of Lower Extremity Injuries in Running and Associated Risk Factors: A Systematic Review. Phys. Act. Health 2021, 5, 133–145. [Google Scholar] [CrossRef]
- Charlton, J.M.; Hammond, C.A.; Cochrane, C.K.; Hatfield, G.L.; Hunt, M.A. The effects of a heel wedge on hip, pelvis and trunk biomechanics during squatting in resistance trained individuals. The J. Strength Cond. Res. 2017, 31, 1678–1687. [Google Scholar] [CrossRef]
- Ibarra, J.; Oldroyd, D.; Zane, R. Heel-Raised Foot Posture and Weightlifting Shoes Do Not Affect Trunk and LowerExtremity Biomechanics during a Barbell Back Squat. Ph.D. Thesis, University of Nevada, Las Vegas, NV, USA, 2016. [Google Scholar]
- Sriwarno, A.B.; Shimomura, Y.; Iwanaga, K.; Katsuura, T. The effects of heel elevation on postural adjustment and activity of lower-extremity muscles during deep squatting-to-standing movement in normal subjects. J. Phys. Ther. Sci. 2008, 20, 31–38. [Google Scholar] [CrossRef] [Green Version]




| Index | Gender | |
|---|---|---|
| Male | Female | |
| n | 10 | 10 |
| Age (years) | 24.00 ± 1.48 | 23.50 ± 1.12 |
| Height (m) | 1.75 ± 0.03 | 1.66 ± 0.02 |
| Weight (kg) | 79.00 ± 5.34 | 59.25 ± 3.96 |
| Training age (years) | 2.00 ± 0.71 | 2.75 ± 1.09 |
| Index | Male | Female | Average | |||||||
|---|---|---|---|---|---|---|---|---|---|---|
| 0 cm | 1.5 cm | 3 cm | 0 cm | 1.5 cm | 3 cm | 0 cm | 1.5 cm | 3 cm | ||
| Hip | Max A (°) | −4.94 ± 9.37 | −9.17 ± 4.53 | −4.98 ± 13.44 | −13.56 ± 5.11 | −16.21 ± 4.67 | −19.78 ± 4.23 | −9.48 ± 8.54 | −12.96 ± 5.79 | −15.27 ± 10.67 |
| Min A (°) | −87.23 ± 9.45 | −88.96 ± 9.27 | −92.20 ± 12.67 | −100.94 ± 8.21 | −106.37 ± 7.24 | −105.59 ± 13.34 | −94.54 ± 11.15 | −98.33 ± 11.97 | −101.51 ± 14.51 | |
| ROM (°) | 82.29 ± 9.84 | 79.79 ± 7.60 | 87.23 ± 9.43 | 87.48 ± 8.44 | 90.16 ± 7.82 | 85.81 ± 12.89 | 85.06 ± 9.48 | 85.37 ± 9.29 | 86.24 ± 11.96 | |
| Peak M (Nm/kg) | 0.86 ± 0.12 | 0.81 ± 0.15 | 0.72 ± 0.02 | 0.68 ± 0.14 | 0.83 ± 0.20 | 0.79 ± 0.20 | 0.76 ± 0.16 | 0.82 ± 0.18 | 0.77 ± 0.17 | |
| Peak CP (W/kg) | 1.30 ± 0.34 | 1.28 ± 0.34 | 1.09 ± 0.24 | 0.90 ± 0.18 | 1.06 ± 0.22 | 1.00 ± 0.25 | 1.08 ± 0.33 | 1.17 ± 0.30 | 1.02 ± 0.25 | |
| Peak EP (W/kg) | −0.86 ± 0.26 | −0.98 ± 0.13 | −0.97 ± 0.14 | −0.75 ± 0.22 | −0.93 ± 0.24 | −0.97 ± 0.34 | −0.80 ± 0.25 | −0.94 ± 0.20 | −0.97 ± 0.29 | |
| Knee | Max A (°) | −16.05 ± 7.04 | −15.57 ± 3.33 | −15.24 ± 5.97 | −10.51 ± 7.25 | −8.48 ± 4.79 | −10.52 ± 5.82 | −13.09 ± 7.67 | −11.75 ± 5.48 | −11.96 ± 6.25 |
| Min A (°) | −137.42 ± 3.97 | −137.52 ± 3.92 | −140.77 ± 4.60 | −125.16 ± 10.51 | −125.57 ± 5.84 | −129.54 ± 7.80 | −130.88 ± 10.18 | −131.09 ± 7.81 | −132.96 ± 8.68 | |
| ROM (°) | 121.38 ± 3.97 | 121.95 ± 3.26 | 125.53 ± 5.68 | 114.65 ± 16.89 | 117.09 ± 9.12 | 119.02 ± 11.81 | 117.79 ± 13.07 | 119.33 ± 7.45 | 121.00 ± 10.76 | |
| Peak M (Nm/kg) | 0.84 ± 0.08 c | 0.89 ± 0.07 c | 1.02 ± 0.10 ab | 0.86 ± 0.10 | 0.83 ± 0.09 | 0.90 ± 0.10 | 0.85 ± 0.09 | 0.86 ± 0.09 | 0.93 ± 0.11 | |
| Peak CP (W/kg) | 1.07 ± 0.23 | 1.08 ± 0.16 | 1.24 ± 0.23 | 1.13 ± 0.34 | 1.03 ± 0.24 | 1.06 ± 0.18 | 1.10 ± 0.29 | 1.06 ± 0.21 | 1.11 ± 0.21 | |
| Peak EP (W/kg) | −1.41 ± 0.32 c | −1.55 ± 0.34 | −1.80 ± 0.38 a | −1.08 ± 0.21 | −0.99 ± 0.22 | −1.21 ± 0.28 | −1.23 ± 0.31 | −1.25 ± 0.39 | −1.39 ± 0.41 | |
| Ankle | Max A (°) | −1.66 ± 3.83 c | 0.29 ± 5.01 | 4.28 ± 3.01 a | 6.47 ± 2.91 bc | 9.33 ± 2.75 ac | 16.08 ± 1.11 ab | 2.67 ± 5.28 c | 5.16 ± 6.00 c | 12.49 ± 5.75 ab |
| Min A (°) | −36.43 ± 2.65 | −36.14 ± 1.90 | −34.80 ± 1.24 | −31.81 ± 4.37 bc | −26.12 ± 3.90 ac | −21.09 ± 2.82 ab | −33.97 ± 4.34 bc | −30.74 ± 5.90 ac | −25.27 ± 6.77 ab | |
| ROM (°) | 34.77 ± 4.96 c | 36.43 ± 3.50 | 39.08 ± 2.82 a | 38.28 ± 2.75 b | 35.45 ± 2.98 a | 37.17 ± 2.70 | 36.64 ± 4.31 | 35.90 ± 3.27 c | 37.75 ± 2.88 b | |
| Peak M (Nm/kg) | 0.73 ± 0.11 | 0.68 ± 0.05 | 0.70 ± 0.07 | 0.47 ± 0.05 | 0.47 ± 0.08 | 0.49 ± 0.08 | 0.59 ± 0.16 | 0.57 ± 0.12 | 0.56 ± 0.13 | |
| Peak CP (W/kg) | 0.53 ± 0.14 | 0.56 ± 0.09 | 0.66 ± 0.16 | 0.35 ± 0.09 | 0.34 ± 0.09 | 0.35 ± 0.08 | 0.44 ± 0.14 | 0.44 ± 0.14 | 0.44 ± 0.18 | |
| Peak EP (W/kg) | −0.35 ± 0.10 | −0.36 ± 0.10 | −0.33 ± 0.07 | −0.22 ± 0.04 | −0.24 ± 0.06 | −0.22 ± 0.07 | −0.28 ± 0.10 | −0.29 ± 0.10 | −0.25 ± 0.08 | |
| Index | Male | Female | Average | |||||||
|---|---|---|---|---|---|---|---|---|---|---|
| 0 cm | 1.5 cm | 3 cm | 0 cm | 1.5 cm | 3 cm | 0 cm | 1.5 cm | 3 cm | ||
| Hip | NWR | 0.32 ± 0.06 c | 0.31 ± 0.07 c | 0.25 ± 0.04 ab | 0.36 ± 0.08 | 0.44 ± 0.09 | 0.40 ± 0.12 | 0.34 ± 0.07 | 0.38 ± 0.10 | 0.35 ± 0.12 |
| PWR | 0.38 ± 0.04 c | 0.36 ± 0.05 | 0.32 ± 0.04 a | 0.37 ± 0.06 | 0.44 ± 0.08 | 0.41 ± 0.10 | 0.38 ± 0.05 | 0.40 ± 0.08 | 0.38 ± 0.09 | |
| Knee | NWR | 0.56 ± 0.08 c | 0.57 ± 0.10 | 0.63 ± 0.06 a | 0.54 ± 0.08 | 0.46 ± 0.10 | 0.52 ± 0.13 | 0.55 ± 0.08 | 0.51 ± 0.11 | 0.55 ± 0.13 |
| PWR | 0.48 ± 0.06 | 0.50 ± 0.06 | 0.52 ± 0.05 | 0.50 ± 0.05 | 0.45 ± 0.08 | 0.48 ± 0.09 | 0.49 ± 0.06 | 0.47 ± 0.08 | 0.49 ± 0.08 | |
| Ankle | NWR | 0.12 ± 0.04 | 0.12 ± 0.03 | 0.16 ± 0.05 | 0.09 ± 0.01 c | 0.09 ± 0.02 c | 0.15 ± 0.05 ab | 0.10 ± 0.03 c | 0.10 ± 0.03 c | 0.15 ± 0.05 ab |
| PWR | 0.14 ± 0.03 c | 0.15 ± 0.02 c | 0.24 ± 0.03 ab | 0.13 ± 0.02 bc | 0.11 ± 0.01 ac | 0.20 ± 0.04 ab | 0.13 ± 0.03 c | 0.13 ± 0.02 c | 0.21 ± 0.04 ab | |
Publisher’s Note: MDPI stays neutral with regard to jurisdictional claims in published maps and institutional affiliations. |
© 2022 by the authors. Licensee MDPI, Basel, Switzerland. This article is an open access article distributed under the terms and conditions of the Creative Commons Attribution (CC BY) license (https://creativecommons.org/licenses/by/4.0/).
Share and Cite
Lu, Z.; Li, X.; Xuan, R.; Song, Y.; Bíró, I.; Liang, M.; Gu, Y. Effect of Heel Lift Insoles on Lower Extremity Muscle Activation and Joint Work during Barbell Squats. Bioengineering 2022, 9, 301. https://doi.org/10.3390/bioengineering9070301
Lu Z, Li X, Xuan R, Song Y, Bíró I, Liang M, Gu Y. Effect of Heel Lift Insoles on Lower Extremity Muscle Activation and Joint Work during Barbell Squats. Bioengineering. 2022; 9(7):301. https://doi.org/10.3390/bioengineering9070301
Chicago/Turabian StyleLu, Zhenghui, Xin Li, Rongrong Xuan, Yang Song, István Bíró, Minjun Liang, and Yaodong Gu. 2022. "Effect of Heel Lift Insoles on Lower Extremity Muscle Activation and Joint Work during Barbell Squats" Bioengineering 9, no. 7: 301. https://doi.org/10.3390/bioengineering9070301
APA StyleLu, Z., Li, X., Xuan, R., Song, Y., Bíró, I., Liang, M., & Gu, Y. (2022). Effect of Heel Lift Insoles on Lower Extremity Muscle Activation and Joint Work during Barbell Squats. Bioengineering, 9(7), 301. https://doi.org/10.3390/bioengineering9070301

