Hydrogen Dynamics in Hydrated Chitosan by Quasi-Elastic Neutron Scattering
Abstract
1. Introduction
2. Materials and Methods
2.1. Sample Preparation
2.2. Dielectric Constant and Proton Conductivity Measurements
2.3. QENS Experiments
3. Results
3.1. Temperature Dependences of the Relative Permittivity and the Ionic Conduction
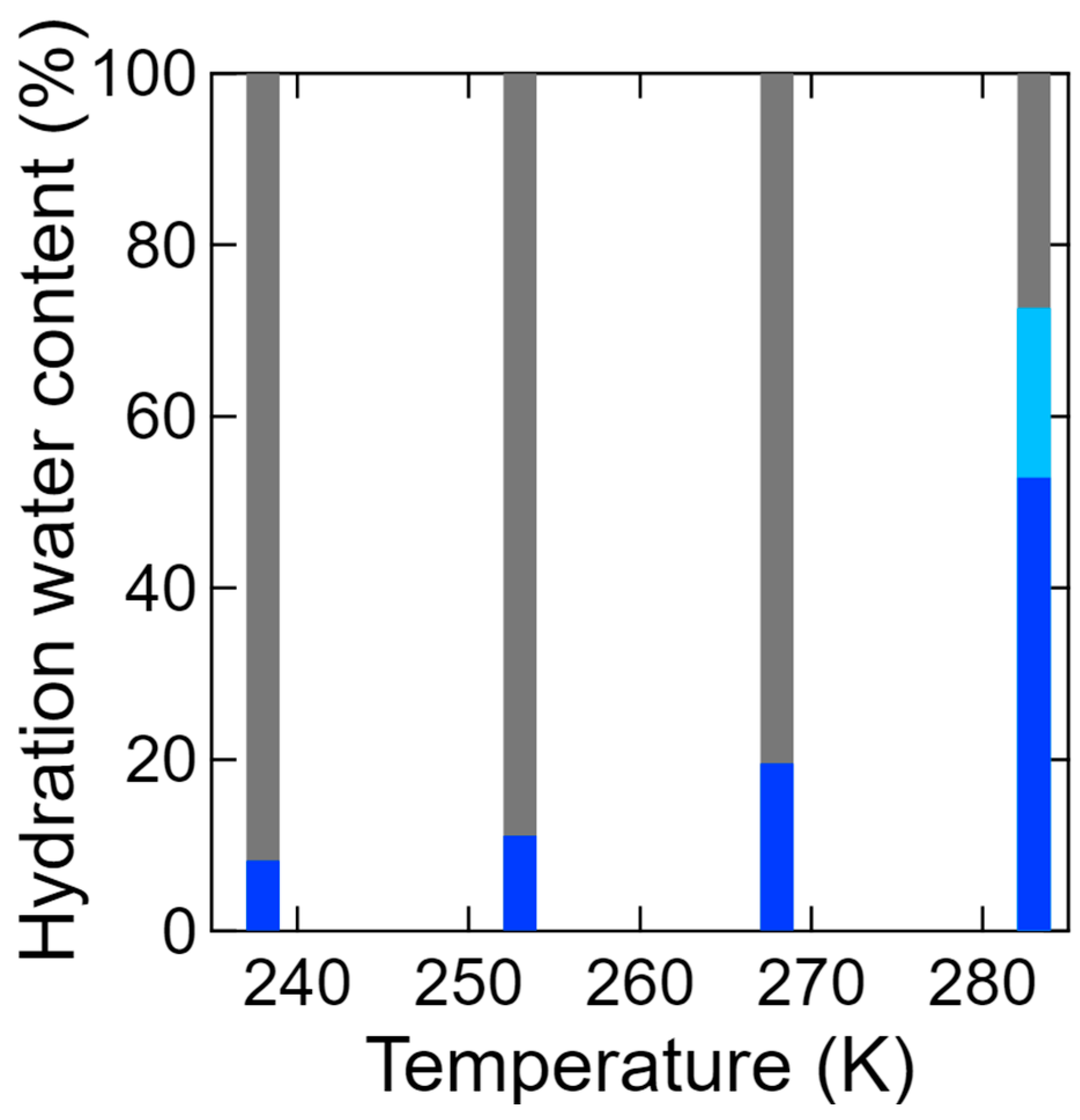
3.2. QENS Spectra of the Hydration Water Dynamics in the Hydrated Chitosan
3.3. QENS Spectra of the Chitosan Dynamics in the Hydrated Chitosan
4. QENS Analysis
4.1. Hydration Water Dynamics in the Hydrated Chitosan
4.2. Chitosan Dynamics in the Hydrated Chitosan
5. Discussion
6. Conclusions
Author Contributions
Funding
Institutional Review Board Statement
Informed Consent Statement
Data Availability Statement
Acknowledgments
Conflicts of Interest
References
- Viktorsson, L.; Heinonen, J.T.; Skulason, J.B.; Unnthorsson, R. A step towards the hydrogen economy-A life cycle cost analysis of a hydrogen refueling station. Energies 2017, 10, 763. [Google Scholar] [CrossRef]
- Ball, M.; Weeda, M. The hydrogen economy—Vision or reality? Compend. Hydrogr. Energy 2015, 40, 7903–7919. [Google Scholar] [CrossRef]
- Konieczny, A.; Mondal, K.; Wiltowski, T.; Dydo, P. Catalyst development for thermocatalytic decomposition of methane to hydrogen. Int. J. Hydr. Energy 2008, 33, 264–272. [Google Scholar] [CrossRef]
- Balat, M.; Balat, M. Political, economic and environmental impacts of biomass-based hydrogen. Int. J. Hydr. Energy 2009, 34, 3589–3603. [Google Scholar] [CrossRef]
- Andrews, J.; Shabani, B. Where does hydrogen fit in a sustainable energy economy? Procedia Eng. 2012, 49, 15–25. [Google Scholar] [CrossRef]
- Das, D.; Khanna, N.; Veziroǧlu, N. Recent developments in biological hydrogen production processes. Chem. Ind. Chem. Eng. Q. 2008, 14, 57–67. [Google Scholar] [CrossRef]
- Ke, C.L.; Deng, F.S.; Chuang, C.Y.; Lin, C.H. Antimicrobial actions and applications of chitosan. Polymers 2021, 13, 904. [Google Scholar] [CrossRef]
- Pathania, D.; Gupta, D.; Kothiyal, N.C.; Sharma, G.; Eldesoky, G.E.; Naushad, M. Preparation of a novel chitosan-g-poly(acrylamide)/Zn nanocomposite hydrogel and its applications for controlled drug delivery of ofloxacin. Int. J. Biol. Macromol. 2016, 84, 340–348. [Google Scholar] [CrossRef]
- Amirian, J.; Zeng, Y.; Shekh, M.I.; Sharma, G.; Stadler, F.J.; Song, J.; Du, B.; Zhu, Y. In-situ crosslinked hydrogel based on amidated pectin/oxidized chitosan as potential wound dressing for skin repairing. Carbohydr. Polym. 2021, 251, 117005. [Google Scholar] [CrossRef]
- Sharma, G.; Thakur, B.; Naushad, M.; Kumar, A.; Stadler, F.J.; Alfadul, S.M.; Mola, G.T. Applications of nanocomposite hydrogels for biomedical engineering and environmental protection. Environ. Chem. Lett. 2018, 16, 113–146. [Google Scholar] [CrossRef]
- Yamada, M.; Honma, I. Anhydrous proton conductive membrane consisting of chitosan. Electrochim. Acta 2005, 50, 2837–2841. [Google Scholar] [CrossRef]
- Ma, J.; Sahai, Y. Chitosan biopolymer for fuel Cell Applications. Carbohydr. Polym. 2013, 92, 955–975. [Google Scholar] [CrossRef] [PubMed]
- Ravi Kumar, M.N.V. A review of chitin and chitosan applications. React. Funct. Polym. 2000, 46, 1–27. [Google Scholar] [CrossRef]
- Osman, Z.; Arof, A.K. Chitosan and Phthaloylated chitosan in electrochemical devices. In Biological Activities and Application of Marine Polysaccharides; Shalaby, E.A., Ed.; IntechOpen: London, UK, 2017; Volume 14, pp. 303–318. [Google Scholar] [CrossRef]
- Vaghari, H.; Jafarizadeh-Malmiri, H.; Berenjian, A.; Anarjan, N. Recent advances in application of chitosan in fuel cells. Sustain. Chem. Process. 2013, 1, 1–12. [Google Scholar] [CrossRef]
- Cui, Z.; Xing, W.; Liu, C.; Liao, J.; Zhang, H. Chitosan/heteropolyacid composite membranes for direct methanol fuel cell. J. Power Sources 2009, 188, 24–29. [Google Scholar] [CrossRef]
- Matsuo, Y.; Ikeda, H.; Kawabata, T.; Hatori, J.; Oyama, H.; Fuel, C.-B. Cell and its proton transfer. Mater. Sci. Appl. 2017, 8, 747–756. [Google Scholar]
- Matsuo, Y.; Hatori, J. Fuel cell based on natural sausage casing. J. Biobased Mat. Bioenergy 2012, 5, 562–564. [Google Scholar] [CrossRef]
- Matsuo, Y.; Hatori, J.; Oyama, H. Proton conduction and impedance analysis in submucosa membrane. Solid State Ionics 2012, 1, 334–339. [Google Scholar]
- Matsuo, Y.; Kumasaka, G.; Saito, K.; Ikehata, S. Fabrication of solid-state fuel cell based on DNA film. Solid State Commun. 2005, 133, 61–64. [Google Scholar] [CrossRef]
- Matsuo, Y.; Hatori, J.; Yoshida, Y.; Ikehata, S. Humidity dependence of proton conductivity in DNA film studied by NMR and AC conductivity. J. Phys. Soc. Jpn 2010, 79, 12–14. [Google Scholar] [CrossRef]
- Matsuo, Y. Bio-fuel cell based on biopolymer electrolyte. J. Fuels Cell Press Technol. 2014, 13, 60–64. [Google Scholar]
- Matsuo, Y.; Ikehata, S. Proton (Chap. 4) and DNA-Biofuel Cell (Chap. 14). DNA engineering: Properties and applications. In Conduction; Mizoguchi, K., Sakamoto, H., Eds.; Pan Stanford Publishing: Singapore, 2017; pp. 59–85, 309–314. [Google Scholar]
- Kawabata, T.; Matsuo, Y.; Takahashi, Y.; Matsuo, Y. Anomalous proton conductivity in chitin-chitosan mixed compounds. Mater. Sci. Appl. 2018, 9, 258–263. [Google Scholar] [CrossRef]
- Kawabata, T.; Matsuo, Y. Chitin based fuel cell and its proton conductivity. Mater. Sci. Appl. 2018, 9, 779–789. [Google Scholar] [CrossRef]
- Kawabata, T.; Matsuo, Y. Role of Acetyl Group on Proton Conductivity in Chitin System. J. Mater. 2019, 5, 258–263. [Google Scholar] [CrossRef]
- Kawabata, T. Proton conductivity in chitin system. In Chitin and Chitosan-Physicochemical Properties and Industrial Applications; IntechOpen: London, UK, 2021. [Google Scholar]
- Foglia, F.; Lyonnard, S.; Sakai, V.G.; Berrod, Q.; Zanotti, J.M.; Gebel, G.; Clancy, A.J.; McMillan, P.F. Progress in neutron techniques: Towards improved polymer electrolyte membranes for energy devices. J. Phys. Condens. Matter. 2021, 33, 264005. [Google Scholar] [CrossRef]
- Perrin, J.C.; Lyonnard, S.; Volino, F. Quasielastic neutron scattering study of water dynamics in hydrated nafion membranes. J. Phys. Chem. C. 2007, 111, 3393–3404. [Google Scholar] [CrossRef]
- Bee, M. Quasielastic neutron scattering: Principles and applications in solid state chemistry. Biol. Mater. Sci. Adam Hilger Bristol. 1988, 193, 437. [Google Scholar]
- Dianoux, A.; Lander, G. Neutron Data Booklet, 2nd ed.; OCP Science: Philadelphia, PA, USA, 2003. [Google Scholar]
- Paciaroni, A.; Casciola, M.; Cornicchi, E.; Marconi, M.; Onori, G.; Pica, M.; Narducci, R. Temperature-dependent dynamics of water confined in nafion membranes. J. Phys. Chem. B. 2006, 110, 13769–13776. [Google Scholar] [CrossRef]
- Yamada, T.; Takahashi, N.; Tominaga, T.; Takata, S.I.; Seto, H. Dynamical behavior of hydration water molecules between phospholipid membranes. J. Phys. Chem. B. 2017, 121, 8322–8329. [Google Scholar] [CrossRef]
- Shibata, K.; Takahashi, N.; Kawakita, Y.; Matsuura, M.; Yamada, T.; Tominaga, T.; Kambara, W.; Kobayashi, M.; Inamura, Y.; Nakatani, T.; et al. The performance of TOF near backscattering spectrometer DNA in MLF, J-PARC. JPS Conf. Proc. 2015, 8, 036022. [Google Scholar]
- Kajimoto, R.; Yokoo, T.; Nakamura, M.; Kawakita, Y.; Matsuura, M.; Endo, H.; Seto, H.; Itoh, S.; Nakajima, K.; Ohira-Kawamura, S. Status of neutron spectrometers at J-PARC. Phys. B 2019, 562, 148–154. [Google Scholar] [CrossRef]
- Seto, H.; Itoh, S.; Yokoo, T.; Endo, H.; Nakajima, K.; Shibata, K.; Kajimoto, R.; Ohira-Kawamura, S.; Nakamura, M.; Kawakita, Y.; et al. Inelastic and quasi-elastic neutron scattering spectrometers in J-PARC. Biochim. Biophys. Acta Gen. Subj. 2017, 1861, 3651–3660. [Google Scholar] [CrossRef] [PubMed]
- Tominaga, T.; Kobayashi, M.; Yamada, T.; Matsuura, M.; Kawakita, Y.; Kasai, S. Position-encoded automatic cell elevator for BL02, J-PARC MLF. JPS Conf. Proc. 2021, 33, 011095. [Google Scholar]
- Azuah, R.T.; Kneller, L.R.; Qiu, Y.; Tregenna-Piggott, P.L.W.; Brown, C.M.; Copley, J.R.D.; Dimeo, R.M. DAVE: A comprehensive software suite for the reduction, visualization, and analysis of low energy neutron spectroscopic data. J. Res. Natl. Inst. Stand. Technol. 2009, 114, 341. [Google Scholar] [CrossRef] [PubMed]
- Fumagalli, L.; Esfandiar, A.; Fabregas, R.; Hu, S.; Ares, P.; Janardanan, A.; Yang, Q.; Radha, B.; Taniguchi, T.; Watanabe, K.; et al. Anomalously low dielectric constant of confined water. Science 2018, 360, 1339–1342. [Google Scholar] [CrossRef]

















Publisher’s Note: MDPI stays neutral with regard to jurisdictional claims in published maps and institutional affiliations. |
© 2022 by the authors. Licensee MDPI, Basel, Switzerland. This article is an open access article distributed under the terms and conditions of the Creative Commons Attribution (CC BY) license (https://creativecommons.org/licenses/by/4.0/).
Share and Cite
Hirota, Y.; Tominaga, T.; Kawabata, T.; Kawakita, Y.; Matsuo, Y. Hydrogen Dynamics in Hydrated Chitosan by Quasi-Elastic Neutron Scattering. Bioengineering 2022, 9, 599. https://doi.org/10.3390/bioengineering9100599
Hirota Y, Tominaga T, Kawabata T, Kawakita Y, Matsuo Y. Hydrogen Dynamics in Hydrated Chitosan by Quasi-Elastic Neutron Scattering. Bioengineering. 2022; 9(10):599. https://doi.org/10.3390/bioengineering9100599
Chicago/Turabian StyleHirota, Yuki, Taiki Tominaga, Takashi Kawabata, Yukinobu Kawakita, and Yasumitsu Matsuo. 2022. "Hydrogen Dynamics in Hydrated Chitosan by Quasi-Elastic Neutron Scattering" Bioengineering 9, no. 10: 599. https://doi.org/10.3390/bioengineering9100599
APA StyleHirota, Y., Tominaga, T., Kawabata, T., Kawakita, Y., & Matsuo, Y. (2022). Hydrogen Dynamics in Hydrated Chitosan by Quasi-Elastic Neutron Scattering. Bioengineering, 9(10), 599. https://doi.org/10.3390/bioengineering9100599

