Flow Characteristics by Blood Speckle Imaging in Non-Stenotic Congenital Aortic Root Disease Surrounding Valve-Preserving Operations
Abstract
1. Introduction
2. Methods
2.1. Surgical Cohort
2.2. Quantification of the Velocity Field
2.3. Hemodynamic Characterization Using Wall Shear Stress Related Indicators
2.4. Statistical Analysis
3. Results
3.1. Qualitative Flow Field Evaluation of BSI
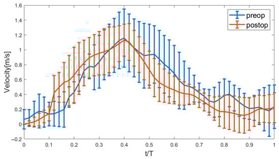
3.2. Velocity Profile and Shear Stress Quantification
3.3. Quantification of PeakWSS, TAWSS, and OSI Parameters
3.4. Relationship with Aortic Virtual Basal Ring Diameter
4. Discussion
5. Limitations
6. Conclusions
Author Contributions
Funding
Institutional Review Board Statement
Informed Consent Statement
Data Availability Statement
Acknowledgments
Conflicts of Interest
Abbreviations
| BSI | Blood Speckle Imaging |
| BAV | Bicuspid Aortic Valves |
| TEE | Transesophageal Echocardiographic |
| VSRR | Valvar-Sparing Root Replacement |
| PVL | Paravalvular Leak |
| LVAD | Left Ventricular Assist Device |
| VSARR | Valve-Sparing Aortic Root Replacement |
| PRF | Pulse Repetition Frequency |
| Wall Shear Stress | |
| Time-Averaged Wall Shear Stress | |
| Oscillatory Shear Index | |
| FSI | Fluid–Structure Interaction |
References
- Tretter, J.T.; Spicer, D.E.; Franklin, R.C.G.; Land, M.J.; Aiello, V.D.; Cook, A.C.; Crucean, A.; Loomba, R.S.; Yoo, S.J.; Quintessenza, J.A.; et al. Expert Consensus Statement: Anatomy, Imaging, and Nomenclature of Congenital Aortic Root Malformations. Ann. Thorac. Surg. 2023, 116, 6–16. [Google Scholar] [CrossRef] [PubMed]
- Sundström, E.; Jiang, M.; Najm, H.K.; Tretter, J.T. Blood Speckle Imaging: An Emerging Method for Perioperative Evaluation of Subaortic and Aortic Valvar Repair. Bioengineering 2023, 10, 1183. [Google Scholar] [CrossRef] [PubMed]
- Currie, P.J.; Seward, J.; Reeder, G.; Vlietstra, R.; Bresnahan, D.; Bresnahan, J.; Smith, H.; Hagler, D.; Tajik, A. Continuous-wave Doppler echocardiographic assessment of severity of calcific aortic stenosis: A simultaneous Doppler-catheter correlative study in 100 adult patients. Circulation 1985, 71, 1162–1169. [Google Scholar] [CrossRef] [PubMed]
- Nishimura, R.A.; Carabello, B.A. Hemodynamics in the cardiac catheterization laboratory of the 21st century. Circulation 2012, 125, 2138–2150. [Google Scholar] [CrossRef] [PubMed]
- Donati, F.; Myerson, S.; Bissell, M.M.; Smith, N.P.; Neubauer, S.; Monaghan, M.J.; Nordsletten, D.A.; Lamata, P. Beyond Bernoulli: Improving the accuracy and precision of noninvasive estimation of peak pressure drops. Circ. Cardiovasc. Imaging 2017, 10, e005207. [Google Scholar] [CrossRef] [PubMed]
- Dockerill, C.; Gill, H.; Fernandes, J.F.; Nio, A.Q.; Rajani, R.; Lamata, P. Blood speckle imaging compared with conventional Doppler ultrasound for transvalvular pressure drop estimation in an aortic flow phantom. Cardiovasc. Ultrasound 2022, 20, 18. [Google Scholar] [CrossRef] [PubMed]
- Ring, L.; Shah, B.N.; Bhattacharyya, S.; Harkness, A.; Belham, M.; Oxborough, D.; Pearce, K.; Rana, B.S.; Augustine, D.X.; Robinson, S.; et al. Echocardiographic assessment of aortic stenosis: A practical guideline from the British Society of Echocardiography. Echo Res. Pract. 2021, 8, G19–G59. [Google Scholar] [CrossRef] [PubMed]
- Gill, H.; Fernandes, J.; Chehab, O.; Prendergast, B.; Redwood, S.; Chiribiri, A.; Nordsletten, D.; Rajani, R.; Lamata, P. Evaluation of aortic stenosis: From Bernoulli and Doppler to Navier-Stokes. Trends Cardiovasc. Med. 2023, 33, 32–43. [Google Scholar] [CrossRef] [PubMed]
- Lasse Løvstakken, L.; Lie, G.R. BSI (Blood Speckle Imaging). GE Healthcare (2017). 2022. Available online: https://www.gehealthcare.com/-/media/28568e93cbe741d48a10114e399ebd91.pdf (accessed on 14 July 2023).
- Trahey, G.E.; Allison, J.W.; Von Ramm, O.T. Angle independent ultrasonic detection of blood flow. IEEE Trans. Biomed. Eng. 1987, 12, 965–967. [Google Scholar] [CrossRef] [PubMed]
- Hansen, K.L.; Nielsen, M.B.; Jensen, J.A. Vector velocity estimation of blood flow—A new application in medical ultrasound. Ultrasound 2017, 25, 189–199. [Google Scholar] [CrossRef] [PubMed]
- Nyrnes, S.A.; Fadnes, S.; Wigen, M.S.; Mertens, L.; Lovstakken, L. Blood speckle-tracking based on high–frame rate ultrasound imaging in pediatric cardiology. J. Am. Soc. Echocardiogr. 2020, 33, 493–503. [Google Scholar] [CrossRef] [PubMed]
- Cantinotti, M.; Marchese, P.; Scalese, M.; Giordano, R.; Franchi, E.; Assanta, N.; Koestenberger, M.; Barnes, B.T.; Celi, S.; Jani, V.; et al. Characterization of Aortic Flow Patterns by High-Frame-Rate Blood Speckle Tracking Echocardiography in Children. J. Am. Heart Assoc. 2023, 12, e026335. [Google Scholar] [CrossRef] [PubMed]
- Park, S.; Chung, W.-B.; O, J.H.; Lee, K.Y.; Jung, M.-H.; Jung, H.-O.; Chang, K.; Youn, H.-J. Trans-aortic flow turbulence and aortic valve inflammation: A pilot study using blood speckle imaging and 18F-sodium fluoride positron emission tomography/computed tomography in patients with moderate aortic stenosis. J. Cardiovasc. Imaging 2023, 31, 145–149. [Google Scholar] [CrossRef] [PubMed]
- Sundström, E.; Tretter, J.T. Impact of Variation in Interleaflet Triangle Height Between Fused Leaflets in the Functionally Bicuspid Aortic Valve on Hemodynamics and Tissue Biomechanics. J. Eng. Sci. Med Diagn. Ther. 2022, 5, 031102. [Google Scholar] [CrossRef]
- Sundström, E.; Tretter, J.T. Impact of Variation in Commissural Angle between Fused Leaflets in the Functionally Bicuspid Aortic Valve on Hemodynamics and Tissue Biomechanics. Bioengineering 2023, 10, 1219. [Google Scholar] [CrossRef] [PubMed]
- Anam, S.; Kovarovic, B.; Parikh, P.; Slepian, M.; Hamdan, A.; Haj-Ali, R.; Bluestein, D. Impact of Device Type and Orientation on Post-Transcatheter Aortic Valve Replacement Complications in Bicuspid Aortic Valve Patients: A Computational Study. ASAIO J. 2025. [CrossRef] [PubMed]
- Hayashi, H.; Itatani, K.; Akiyama, K.; Zhao, Y.; Kurlansky, P.; DeRoo, S.; Sanchez, J.; Ferrari, G.; Yuzefpolskaya, M.; Colombo, P.C.; et al. Influence of aneurysmal aortic root geometry on mechanical stress to the aortic valve leaflet. Eur. Heart J.-Cardiovasc. Imaging 2021, 22, 986–994. [Google Scholar] [CrossRef] [PubMed]
- Kobsa, S.; Akiyama, K.; Nemeth, S.K.; Kurlansky, P.A.; Naka, Y.; Takeda, K.; Itatani, K.; Werth, E.G.; Brown, L.M.; Ferrari, G.; et al. Correlation between aortic valve protein levels and vector flow mapping of wall shear stress and oscillatory shear index in patients supported with continuous-flow left ventricular assist devices. J. Heart Lung Transplant. 2023, 42, 64–75. [Google Scholar] [CrossRef] [PubMed]
- Swillens, A.; Segers, P.; Lovstakken, L. Two-dimensional flow imaging in the carotid bifurcation using a combined speckle tracking and phase-shift estimator: A study based on ultrasound simulations and in vivo analysis. Ultrasound Med. Biol. 2010, 36, 1722–1735. [Google Scholar] [CrossRef] [PubMed]
- Swillens, A.; Segers, P.; Torp, H.; Lovstakken, L. Two-dimensional blood velocity estimation with ultrasound: Speckle tracking versus crossed-beam vector Doppler based on flow simulations in a carotid bifurcation model. IEEE Trans. Ultrason. Ferroelectr. Freq. Control 2010, 57, 327–339. [Google Scholar] [CrossRef] [PubMed]
- Ekroll, I.K.; Swillens, A.; Segers, P.; Dahl, T.; Torp, H.; Lovstakken, L. Simultaneous quantification of flow and tissue velocities based on multi-angle plane wave imaging. IEEE Trans. Ultrason. Ferroelectr. Freq. Control 2013, 60, 727–738. [Google Scholar] [CrossRef] [PubMed]
- Suo, J.; Oshinski, J.N.; Giddens, D.P. Blood flow patterns in the proximal human coronary arteries: Relationship to atherosclerotic plaque occurrence. Mol. Cell. Biomech. 2008, 5, 9. [Google Scholar]
- Chen, X.; Gao, Y.; Lu, B.; Jia, X.; Zhong, L.; Kassab, G.S.; Tan, W.; Huo, Y. Hemodynamics in coronary arterial tree of serial stenoses. PLoS ONE 2016, 11, e0163715. [Google Scholar] [CrossRef] [PubMed]
- Sundström, E.; Laudato, M. Machine learning-based segmentation of the thoracic aorta with congenital valve disease using MRI. Bioengineering 2023, 10, 1216. [Google Scholar] [CrossRef] [PubMed]
- Fan, J.; Sundström, E. Vortex Dynamics in the Sinus of Valsalva. Bioengineering 2025, 12, 279. [Google Scholar] [CrossRef] [PubMed]
- Kiema, M.; Sarin, J.K.; Kauhanen, S.P.; Torniainen, J.; Matikka, H.; Luoto, E.S.; Jaakkola, P.; Saari, P.; Liimatainen, T.; Vanninen, R.; et al. Wall shear stress predicts media degeneration and biomechanical changes in thoracic aorta. Front. Physiol. 2022, 13, 934941. [Google Scholar] [CrossRef] [PubMed]
- Zarins, C.K.; Giddens, D.P.; Bharadvaj, B.; Sottiurai, V.S.; Mabon, R.F.; Glagov, S. Carotid bifurcation atherosclerosis. Quantitative correlation of plaque localization with flow velocity profiles and wall shear stress. Circ. Res. 1983, 53, 502–514. [Google Scholar] [CrossRef] [PubMed]
- LaDisa, J.F., Jr.; Dholakia, R.J.; Figueroa, C.A.; Vignon-Clementel, I.E.; Chan, F.P.; Samyn, M.M.; Cava, J.R.; Taylor, C.A.; Feinstein, J.A. Computational simulations demonstrate altered wall shear stress in aortic coarctation patients treated by resection with end-to-end anastomosis. Congenit. Heart Dis. 2011, 6, 432–443. [Google Scholar]
- Jonnagiri, R.; Sundström, E.; Gutmark, E.; Anderson, S.; Pednekar, A.; Taylor, M.; Tretter, J.; Gutmark-Little, I. Influence of aortic valve morphology on vortical structures and wall shear stress. Med. Biol. Eng. Comput. 2023, 61, 1489–1506. [Google Scholar] [CrossRef] [PubMed]







| Patient # | Age (Years) | Gender | Height (cm) | Weight (kg) | BSA (m2) | Diagnosis | Surgical Indication | (Neo-)Aortic Valve Morphology | Surgery Performed |
|---|---|---|---|---|---|---|---|---|---|
| Group 1—Dysfunctional aortic valve (>mild stenosis and/or >mild regurgitation) | |||||||||
| 1 | 20 | Male | 177.4 | 81.4 | 2.00 | LAA isomerism, AVSD s/p repair and aortic valvotomy | severe AR and severe AoR and AAo dilation | Trileaflet/trisinuate with asymmetric leaflets | VSRR and AAoR |
| 2 | 20 | Male | 164.5 | 75.0 | 1.85 | Repaired tetralogy of Fallot | severe AR | Trileaflet/trisinuate with right leaflet bending | Internal annuloplasty with AoV repair |
| 3 | 8 | Male | 128.9 | 31.2 | 1.06 | Repaired perimembranous VSD and AoV | severe AR and severe AoR dilation | Trileaflet/trisinuate | VSRR and AAoR with AoV repair |
| 4 | 14 | Male | 170.0 | 73.1 | 1.86 | Arterial switch operation for TGA | severe AR and severe AoR dilation | Trileaflet/trisinuate | VSRR and AAoR with AoV repair |
| 5 | 26 | Male | 170.0 | 75.3 | 1.89 | Functionally bileaflet AoV | severe AR | Functionally bileaflet/trisinuate with fusion between the coronary leaflets | External annuloplasty and AoV repair maintaining bileaflet configuration |
| 6 | 25 | Female | 157.0 | 102.3 | 2.11 | LAA isomerism, AVSD s/p repair | Moderate AR and severe AAo dilation | Trileaflet/trisinuate with asymmetric leaflets | VSRR and AAoR with AoV repair |
| Mean ± SD | 18.8 ± 6.8 | 161.3 ± 17.3 | 73.1 ± 23.2 | 1.8 ± 0.4 | |||||
| Group 2—Well-functioning aortic valve (</=mild stenosis and/or </=mild regurgitation) | |||||||||
| 7 | 22 | Male | 190.4 | 86.6 | 2.14 | Functionally bileaflet AoV | severe AAo dilation | Bileaflet/bisinuate | VSRR and AAo replacement with AoV repair |
| 8 | 42 | Female | 160.0 | 76.2 | 1.84 | Ross-Konno procedure for functionally unileaflet AoV and subaortic stenosis | severe neo-AoR dilation | Trileaflet/trisinuate with asymmetric enlargement of anteriror-right facing sinus | VSRR |
| 9 | 20 | Male | 170.0 | 64.8 | 1.75 | Functionally unileaflet AoV | severe AAo dilation | Functionally unileaflet/trisuate | VSRR and AAo replacement with bileaflet AoV repair including dividing right and non-coronary leaflet commissure |
| 10 | 13 | Female | 140.5 | 40 | 1.25 | Functionally unileaflet aortic valve, aortic coarctation repair, Turner syndrome | severe AAo dilation | Functionally unileaflet/trisunate | AAo replacement with bileaflet AoV repair including dividing right and non-coronary leaflet commissure |
| Group 2 Mean ± SD | 24.3 ± 12.4 | 165.2 ± 20.8 | 66.9 ± 20.1 | 1.7 ± 0.4 | |||||
| Total Cohort Mean ± SD | 21.0 ± 9.2 | 162.9 ± 17.7 | 70.6 ± 21.0 | 1.8 ± 0.4 | |||||
| Patient # | Aortic Root Dilation | Aortic Root Size (cm) | Ascending Aortic Dilation | Ascending Aortic Size (cm) | Pre-op Peak Gradient (mmHg) | Post-op Peak Gradient (mmHg) | Pre-op Aortic Regurgitation | Post-op Aortic Regurgitation |
|---|---|---|---|---|---|---|---|---|
| Group 1—Dysfunctional aortic valve (>mild stenosis * and/or >mild regurgitation) | ||||||||
| 1 | Severe | 5.2 | Severe | 5.5 | 11 | 9 | Severe | Mild |
| 2 | Mild | 4.2 | None | 3.3 | 4 | 11 | Severe | None |
| 3 ** | Severe | 3.8 | Moderate | 2.6 | 8 | 5 | Severe | Mild |
| 4 ** | Severe | 4.6 | Mild | 3.2 | 6 | 15 | Severe | Mild |
| 5 | Mild | 3.7 | None | 2.7 | 15 | 12 | Severe | None |
| 6 | Moderate | 4.5 | Severe | 5.0 | 3 | 6 | Moderate | None |
| Group 1 Mean ± SD | 2.2 ± 0.9 o | 4.3 ± 0.6 | 1.5 ± 1.4 o | 3.7 ± 1.2 | 7.8 ± 4.5 | 9.7 ± 3.8 | 2.8 ± 0.4 o | 0.5 ± 0.5 o |
| Group 2—Well-functioning aortic valve (</=mild stenosis * and </=mild regurgitation) | ||||||||
| 7 | Mild | 4.0 | Severe | 4.8 | 15 | 17 | Mild | None |
| 8 | Severe | 5.0 | None | 3.3 | 5 | 12 | Mild | None |
| 9 | Moderate | 4.6 | Severe | 5.2 | 12 | 17 | Mild | Mild |
| 10 *** | Mild | 3.0 | Severe | 3.9 | 6 | 5 | None | Mild |
|
Group 2 Mean ± SD | 1.8 ± 1.0 o | 4.2 ± 0.9 | 2.3 ± 1.5 o | 4.3 ± 0.9 | 12.8 ± 5.7 | 12.8 ± 5.7 | 0.8 ± 0.5 o | 0.5 ± 0.6 o |
|
Total Mean ± SD | 2.0 ± 0.9 o | 4.3 ± 0.7 | 1.8 ± 1.4 o | 4.0 ± 1.1 | 10.9 ± 4.6 | 10.9 ± 4.6 | 2.0 ± 1.2 o | 0.5 ± 0.6 o |
| [cm] | [Pa] | [Pa] | [-] | |||||
|---|---|---|---|---|---|---|---|---|
| Patient # | pre | post | pre | post | pre | post | pre | post |
| Group 1—Dysfunctional aortic valve | ||||||||
| 1 | 3.8 | 1.7 | 1.0439 | 5.16 | 0.7804 | 1.2653 | 0.0654 | 0.0364 |
| 2 | 2.2 | 1.4 | 1.9215 | 2.6322 | 0.4656 | 0.5226 | 0.0907 | 0.029 |
| 3 | 2.7 | 1.6 | 1.3221 | 2.8742 | 0.3671 | 0.3647 | 0.072 | 0.0626 |
| 4 | 2.5 | 2.1 | 1.1023 | 2.5471 | 0.5251 | 0.641 | 0.0402 | 0.0246 |
| 5 | 2.6 | 1.9 | 2.3378 | 6.4748 | 0.6425 | 0.7451 | 0.0359 | 0.0112 |
| 6 | 3.0 | 1.4 | 3.1110 | 3.2391 | 0.9131 | 0.9918 | 0.0275 | 0.0058 |
| Mean | 2.8 | 1.7 | 1.8065 | 3.8212 | 0.6156 | 0.7551 | 0.0553 | 0.0283 |
| Median | 2.7 | 1.7 | 1.6218 | 3.0567 | 0.5838 | 0.6930 | 0.0528 | 0.0268 |
| 0.5 | 0.3 | 0.8136 | 1.6191 | 0.2044 | 0.3274 | 0.0245 | 0.0203 | |
| Group 2—Well-functioning aortic valve | ||||||||
| 7 | 3.9 | 1.5 | 2.0554 | 5.2726 | 0.8321 | 1.0644 | 0.0294 | 0.0147 |
| 8 | 2.9 | 2.2 | 1.6481 | 2.7535 | 0.6043 | 0.6737 | 0.0572 | 0.0336 |
| 9 | 3.3 | 1.3 | 2.8653 | 4.1259 | 0.9816 | 1.2496 | 0.0567 | 0.0251 |
| 10 | 3.1 | 2.0 | 2.0153 | 1.8762 | 0.7728 | 0.7938 | 0.068 | 0.0318 |
| Mean | 3.3 | 1.8 | 2.1460 | 3.5071 | 0.7977 | 0.9454 | 0.0528 | 0.0263 |
| Median | 3.2 | 1.8 | 2.0354 | 3.4397 | 0.8025 | 0.9291 | 0.057 | 0.0285 |
| 0.4 | 0.4 | 0.5134 | 1.4975 | 0.156 | 0.2604 | 0.0165 | 0.0086 | |
| Tot Mean | 3.0 | 1.7 | 1.9423 | 3.6956 | 0.6885 | 0.8312 | 0.0543 | 0.0275 |
| Tot Median | 3.0 | 1.7 | 1.9684 | 3.0567 | 0.7077 | 0.7695 | 0.057 | 0.0271 |
| Tot | 0.5 | 0.3 | 0.6974 | 1.4934 | 0.2004 | 0.303 | 0.0207 | 0.0159 |
Disclaimer/Publisher’s Note: The statements, opinions and data contained in all publications are solely those of the individual author(s) and contributor(s) and not of MDPI and/or the editor(s). MDPI and/or the editor(s) disclaim responsibility for any injury to people or property resulting from any ideas, methods, instructions or products referred to in the content. |
© 2025 by the authors. Licensee MDPI, Basel, Switzerland. This article is an open access article distributed under the terms and conditions of the Creative Commons Attribution (CC BY) license (https://creativecommons.org/licenses/by/4.0/).
Share and Cite
Liu, S.; Tretter, J.T.; Dakik, L.; Najm, H.K.; Goswami, D.; Ryan, J.K.; Sundström, E. Flow Characteristics by Blood Speckle Imaging in Non-Stenotic Congenital Aortic Root Disease Surrounding Valve-Preserving Operations. Bioengineering 2025, 12, 776. https://doi.org/10.3390/bioengineering12070776
Liu S, Tretter JT, Dakik L, Najm HK, Goswami D, Ryan JK, Sundström E. Flow Characteristics by Blood Speckle Imaging in Non-Stenotic Congenital Aortic Root Disease Surrounding Valve-Preserving Operations. Bioengineering. 2025; 12(7):776. https://doi.org/10.3390/bioengineering12070776
Chicago/Turabian StyleLiu, Shihao, Justin T. Tretter, Lama Dakik, Hani K. Najm, Debkalpa Goswami, Jennifer K. Ryan, and Elias Sundström. 2025. "Flow Characteristics by Blood Speckle Imaging in Non-Stenotic Congenital Aortic Root Disease Surrounding Valve-Preserving Operations" Bioengineering 12, no. 7: 776. https://doi.org/10.3390/bioengineering12070776
APA StyleLiu, S., Tretter, J. T., Dakik, L., Najm, H. K., Goswami, D., Ryan, J. K., & Sundström, E. (2025). Flow Characteristics by Blood Speckle Imaging in Non-Stenotic Congenital Aortic Root Disease Surrounding Valve-Preserving Operations. Bioengineering, 12(7), 776. https://doi.org/10.3390/bioengineering12070776

