Dynamically Quantifying Vocal Fold Thickness: Effects of Medialization Implant Location on Glottal Shape and Phonation
Abstract
1. Introduction
1.1. Unilateral Vocal Fold Paralysis (UVFP)
1.2. Importance of Glottic Shape
1.3. Vocal Fold Shape Measurement
2. Materials and Methods
2.1. Hemilarynx Preparation
2.2. Acoustic Measurements
2.3. Stereoscopic Digital Image Correlation (DIC)
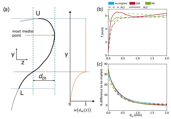
2.4. Data Processing
2.5. Statistical Analysis
3. Results
3.1. Acoustic and Flow
3.2. Dynamic Vocal Fold Measurements
3.3. Pre-Phonatory Thickness
3.4. Dynamic Thickness During Phonation
3.5. Maximum Divergence Angle
4. Discussion
4.1. Acoustic and Flow
4.2. Dynamic Vocal Folds Measurements
4.3. Static vs. Dynamic Thickness
4.4. Maximum Divergence Angle
4.5. Limitations of This Study
4.6. Clinical Implications
4.7. Future Directions
5. Conclusions
Supplementary Materials
Author Contributions
Funding
Institutional Review Board Statement
Informed Consent Statement
Data Availability Statement
Acknowledgments
Conflicts of Interest
Correction Statement
References
- Anderson, T.D.; Spiegel, J.R.; Sataloff, R.T. Thyroplasty revisions: Frequency and predictive factors. J. Voice 2003, 17, 442–448. [Google Scholar] [CrossRef] [PubMed]
- Doellinger, M.; Berry, D.A. Visualization and Quantification of the Medial Surface Dynamics of an Excised Human Vocal Fold During Phonation. J. Voice 2006, 20, 401–413. [Google Scholar] [CrossRef] [PubMed]
- Zhang, Z.; Wu, L.; Gray, R.; Chhetri, D.K. Three-dimensional vocal fold structural change due to implant insertion in medialization laryngoplasty. PLoS ONE 2020, 15, e0228464. [Google Scholar] [CrossRef] [PubMed]
- Isshiki, N.; Okamura, H.; Ishikawa, T. Thyroplasty Type I (Lateral Compression) For Dysphonia Due To Vocal Cord Paralysis Or Atrophy. Acta Oto-Laryngol. 1975, 80, 465–473. [Google Scholar] [CrossRef]
- Hirano, M. Morphological structure of the vocal cord as a vibrator and its variations. Folia Phoniatr. Logop. 1974, 26, 89–94. [Google Scholar] [CrossRef]
- Berke, G.S.; Gerratt, B.R. Laryngeal Biomechanics: An Overview of Mucosal Wave Mechanics. J. Voice 1993, 7, 123–128. [Google Scholar] [CrossRef]
- Döllinger, M.; Berry, D.A.; Berke, G.S. Medial surface dynamics of an in vivo canine vocal fold during phonation. J. Acoust. Soc. Am. 2005, 117, 3174–3183. [Google Scholar] [CrossRef]
- Kirsh, E.; Zacharias, S.R.C.; De Alarcon, A.; Deliyski, D.; Tabangin, M.; Khosla, S. Vertical Phase Difference and Glottal Efficiency in Musical Theater and Opera Singers. J. Voice 2017, 31, 130.e19–130.e25. [Google Scholar] [CrossRef]
- Michaud-Dorko, J.; Farbos De Luzan, C.; Dion, G.R.; Gutmark, E.; Oren, L. Comparison of Aerodynamic and Elastic Properties in Tissue and Synthetic Models of Vocal Fold Vibrations. Bioengineering 2024, 11, 834. [Google Scholar] [CrossRef]
- Oren, L.; Gutmark, E.; Khosla, S. Intraglottal velocity and pressure measurements in a hemilarynx model. J. Acoust. Soc. Am. 2015, 137, 935–943. [Google Scholar] [CrossRef]
- Oren, L.; Khosla, S.; Gutmark, E. Intraglottal pressure distribution computed from empirical velocity data in canine larynx. J. Biomech. 2014, 47, 1287–1293. [Google Scholar] [CrossRef] [PubMed]
- Michaud-Dorko, J.; Dion, G.R.; Farbos de Luzan, C.; Gutmark, E.; Oren, L. Characterization of the Vertical Stiffness Gradient in Cadaveric Human and Excised Canine Larynges. J. Voice 2024. [Google Scholar] [CrossRef]
- Farbos de Luzan, C.; Maddox, A.; Oren, L.; Gutmark, E.; Howell, R.J.; Khosla, S.M. Impact of Vertical Stiffness Gradient on the Maximum Divergence Angle. Laryngoscope 2021, 131, E1934–E1940. [Google Scholar] [CrossRef]
- Cohen, O.; Farbos de Luzan, C.; Michaud-Dorko, J.; Howell, R.J.; Dion, G.R.; Oren, L. Infraglottal Medialization: Increasing Vocal Fold Stiffness Gradient for Improved Vocal Efficiency. J. Voice 2024. [Google Scholar] [CrossRef]
- Van Den Berg, J. Register problems. Ann. N. Y. Acad. Sci. 1968, 155, 129–134. [Google Scholar] [CrossRef]
- Zhang, Z. Vocal Fold Vertical Thickness in Human Voice Production and Control: A Review. J. Voice 2023. [Google Scholar] [CrossRef] [PubMed]
- Hampala, V.; Laukkanen, A.; Guzman, M.A.; Horáček, J.; Švec, J.G. Vocal Fold Adjustment Caused by Phonation Into a Tube: A Double-Case Study Using Computed Tomography. J. Voice 2015, 29, 733–742. [Google Scholar] [CrossRef] [PubMed]
- Lehoux, S.; Zhang, Z. A Methodology to Quantify the Effective Vertical Thickness of Prephonatory Vocal Fold Medial Surface. J. Voice 2024. [Google Scholar] [CrossRef]
- Farbos de Luzan, C.; Michaud-Dorko, J.; Howell, R.; Cohen, O.; Dion, G.; Gutmark, E.; Oren, L. Effect of Thyroplasty Type I Implant Location on Glottal Medial Shape During Phonation of a Canine Larynx Model. In Proceedings of the 13th International Conference on Voice Physiology and Biomechanics, Erlangen, Germany, 22–26 July 2024; Available online: https://hal.science/hal-04847186 (accessed on 9 April 2025).
- Bless, D.; Hirano, M.; Feder, R.J. Videostroboscopic evaluation of the larynx. Ear Nose Throat J. 1987, 66, 289–296. [Google Scholar]
- Hirano, M.; Yoshida, T.; Yoshida, Y.; Tateishi, O. Strobofiberscopic Video Recording of Vocal Fold Vibration. Ann. Otol. Rhinol. Laryngol. 1985, 94, 588–590. [Google Scholar] [CrossRef]
- Hirose, H. High-speed digital imaging of vocal fold vibration. Acta Oto-Laryngol. 1988, 105, 151–153. [Google Scholar] [CrossRef] [PubMed]
- Švec, J.G.; Schutte, H.K. Videokymography: High-speed line scanning of vocal fold vibration. J. Voice 1996, 10, 201–205. [Google Scholar] [CrossRef] [PubMed]
- Birk, V.; Kniesburges, S.; Semmler, M.; Berry, D.A.; Bohr, C.; Döllinger, M.; Schützenberger, A. Influence of glottal closure on the phonatory process in ex vivo porcine larynges. J. Acoust. Soc. Am. 2017, 142, 2197–2207. [Google Scholar] [CrossRef]
- George, N.A.; de Mul, F.F.M.; Qiu, Q.; Rakhorst, G.; Schutte, H.K. Depth-kymography: High-speed calibrated 3D imaging of human vocal fold vibration dynamics. Phys. Med. Biol. 2008, 53, 2667. [Google Scholar] [CrossRef]
- de Mul, F.F.M.; George, N.A.; Qiu, Q.; Rakhorst, G.; Schutte, H.K. Depth-kymography of vocal fold vibrations: Part II. Simulations and direct comparisons with 3D profile measurements. Phys. Med. Biol. 2009, 54, 3955. [Google Scholar] [CrossRef]
- Hernández-Montes, M.d.S.; Muñoz, S.; De La Torre, M.; Flores, M.; Pérez, C.; Mendoza-Santoyo, F. Quantification of the vocal folds’ dynamic displacements. J. Phys. D Appl. Phys. 2016, 49, 175401. [Google Scholar] [CrossRef]
- Cameron, B.H.; Zhang, Z.; Chhetri, D.K. Effects of thyroplasty implant stiffness on glottal shape and voice acoustics. Laryngoscope Investig. Otolaryngol. 2019, 5, 82–89. [Google Scholar] [CrossRef]
- Jones, E.; Iadicola, M. A good practices guide for digital image correlation. In International Digital Image Correlation Society; Springer: New York, NY, USA, 2018; Volume 10, pp. 1–110. [Google Scholar]
- Palanca, M.; Tozzi, G.; Cristofolini, L. The use of digital image correlation in the biomechanical area: A review. Int. Biomech. 2016, 3, 1–21. [Google Scholar] [CrossRef]
- Döllinger, M.; Tayama, N.; Berry, D.A. Empirical Eigenfunctions and medial surface dynamics of a human vocal fold. Methods Inf. Med. 2005, 44, 384–391. [Google Scholar] [CrossRef]
- Schlegel, P.; Döllinger, M.; Reddy, N.K.; Zhang, Z.; Chhetri, D.K. Validation and enhancement of a vocal fold medial surface 3D reconstruction approach for in-vivo application. Sci. Rep. 2023, 13, 10705. [Google Scholar] [CrossRef]
- Oren, L.; Khosla, S.; Gutmark, E. Intraglottal geometry and velocity measurements in canine larynges. J. Acoust. Soc. Am. 2014, 135, 380–388. [Google Scholar] [CrossRef] [PubMed]
- Hillenbrand, J.; Cleveland, R.A.; Erickson, R.L. Acoustic Correlates of Breathy Vocal Quality. J. Speech Hear. Res. 1994, 37, 769–778. [Google Scholar] [CrossRef] [PubMed]
- Judd, C.M.; Westfall, J.; Kenny, D.A. Experiments with More Than One Random Factor: Designs, Analytic Models, and Statistical Power. Annu. Rev. Psychol. 2017, 68, 601–625. [Google Scholar] [CrossRef]
- Baayen, R.H.; Davidson, D.J.; Bates, D.M. Mixed-effects modeling with crossed random effects for subjects and items. J. Mem. Lang. 2008, 59, 390–412. [Google Scholar] [CrossRef]
- Oren, L.; Maddox, A.; Farbos de Luzan, C.; Xie, C.; Dion, G.; Gutmark, E.; Khosla, S. Acoustics and aerodynamic effects following glottal and infraglottal medialization in an excised larynx model. Eur. Arch. Oto-Rhino-Laryngol. 2024, 281, 2523–2529. [Google Scholar] [CrossRef]
- Maddox, A.; Oren, L.; Farbos de Luzan, C.; Howell, R.; Gutmark, E.; Khosla, S. An Ex-vivo Model Examining Acoustics and Aerodynamic Effects Following Medialization With and Without Arytenoid Adduction. Laryngoscope 2023, 133, 621–627. [Google Scholar] [CrossRef]
- Li, S.; Scherer, R.C.; Fulcher, L.P.; Wang, X.; Qiu, L.; Wan, M.; Wang, S. Effects of Vertical Glottal Duct Length on Intraglottal Pressures and Phonation Threshold Pressure in the Uniform Glottis. J. Voice 2018, 32, 8–22. [Google Scholar] [CrossRef]
- Zhang, Z. Contribution of laryngeal size to differences between male and female voice production. J. Acoust. Soc. Am. 2021, 150, 4511–4521. [Google Scholar] [CrossRef]
- Sundström, E.; Oren, L.; Farbos De Luzan, C.; Gutmark, E.; Khosla, S. Fluid-Structure Interaction Analysis of Aerody-namic and Elasticity Forces During Vocal Fold Vibration. J. Voice 2022. [Google Scholar] [CrossRef]










| Subglottal Pressure (Psub) | Adduction Level (AL) | Implant Condition |
|---|---|---|
| low; high | AL1 (0.5 mm); AL2 (0 mm) | no implant, GM, IM |
| Group | Contrast | Q | CPP | ||
|---|---|---|---|---|---|
| p-Value | Effect Size (Cohen’s d) | p-Value | Effect Size (Cohen’s d) | ||
| AL1-low Psub | GM—IM | 0.85 | 0.29 | 0.93 | −0.2 |
| AL1-low Psub | GM–no implant | 0.01 | −1.7 | 1 | 0.04 |
| AL1-low Psub | IM–no implant | 0 | −2 | 0.89 | 0.24 |
| AL2-low Psub | GM—IM | 1 | 0 | 0.97 | −0.12 |
| AL2-low Psub | GM–no implant | 0.83 | −0.31 | 1 | 0.02 |
| AL2-low Psub | IM–no implant | 0.83 | −0.31 | 0.96 | 0.14 |
| AL1-high Psub | GM-IM | 0.98 | −0.09 | 0.96 | 0.14 |
| AL1-high Psub | GM–no implant | 0 | −2.09 | 0.82 | 0.32 |
| AL1-high Psub | IM–no implant | 0 | −2 | 0.94 | 0.18 |
| AL2-high Psub | GM—IM | 0.96 | 0.15 | 1 | 0.02 |
| AL2-high Psub | GM–no implant | 0.67 | −0.46 | 0.02 | −1.44 |
| AL2-high Psub | IM–no implant | 0.5 | −0.61 | 0.02 | −1.46 |
| Group | Contrast | MDA | |
|---|---|---|---|
| p-Value | Effect Size (Cohen’s d) | ||
| AL1-low Psub | GM—IM | 0.55 | −0.56 |
| AL1-low Psub | GM–no implant | 0.38 | 0.71 |
| AL1-low Psub | IM–no implant | 0.05 | 1.27 |
| AL2-low Psub | GM—IM | 0.77 | −0.37 |
| AL2-low Psub | GM–no implant | 1 | 0.03 |
| AL2-low Psub | IM–no implant | 0.74 | 0.4 |
| AL1-high Psub | GM-IM | 0.47 | −0.63 |
| AL1-high Psub | GM–no implant | 0.35 | 0.75 |
| AL1-high Psub | IM–no implant | 0.03 | 1.37 |
| AL2-high Psub | GM—IM | 0.39 | −0.73 |
| AL2-high Psub | GM–no implant | 0.41 | −0.71 |
| AL2-high Psub | IM–no implant | 1 | 0.02 |
Disclaimer/Publisher’s Note: The statements, opinions and data contained in all publications are solely those of the individual author(s) and contributor(s) and not of MDPI and/or the editor(s). MDPI and/or the editor(s) disclaim responsibility for any injury to people or property resulting from any ideas, methods, instructions or products referred to in the content. |
© 2025 by the authors. Licensee MDPI, Basel, Switzerland. This article is an open access article distributed under the terms and conditions of the Creative Commons Attribution (CC BY) license (https://creativecommons.org/licenses/by/4.0/).
Share and Cite
Farbos de Luzan, C.; Michaud-Dorko, J.; Howell, R.J.; Gutmark, E.; Oren, L. Dynamically Quantifying Vocal Fold Thickness: Effects of Medialization Implant Location on Glottal Shape and Phonation. Bioengineering 2025, 12, 667. https://doi.org/10.3390/bioengineering12060667
Farbos de Luzan C, Michaud-Dorko J, Howell RJ, Gutmark E, Oren L. Dynamically Quantifying Vocal Fold Thickness: Effects of Medialization Implant Location on Glottal Shape and Phonation. Bioengineering. 2025; 12(6):667. https://doi.org/10.3390/bioengineering12060667
Chicago/Turabian StyleFarbos de Luzan, Charles, Jacob Michaud-Dorko, Rebecca J. Howell, Ephraim Gutmark, and Liran Oren. 2025. "Dynamically Quantifying Vocal Fold Thickness: Effects of Medialization Implant Location on Glottal Shape and Phonation" Bioengineering 12, no. 6: 667. https://doi.org/10.3390/bioengineering12060667
APA StyleFarbos de Luzan, C., Michaud-Dorko, J., Howell, R. J., Gutmark, E., & Oren, L. (2025). Dynamically Quantifying Vocal Fold Thickness: Effects of Medialization Implant Location on Glottal Shape and Phonation. Bioengineering, 12(6), 667. https://doi.org/10.3390/bioengineering12060667

