Multi-Scale Digital Pathology Patch-Level Prostate Cancer Grading Using Deep Learning: Use Case Evaluation of DiagSet Dataset
Abstract
:1. Introduction
2. Proposed Methods
Dataset
3. Methodology
3.1. Dataset
3.2. Training Phase
3.3. Testing Phase
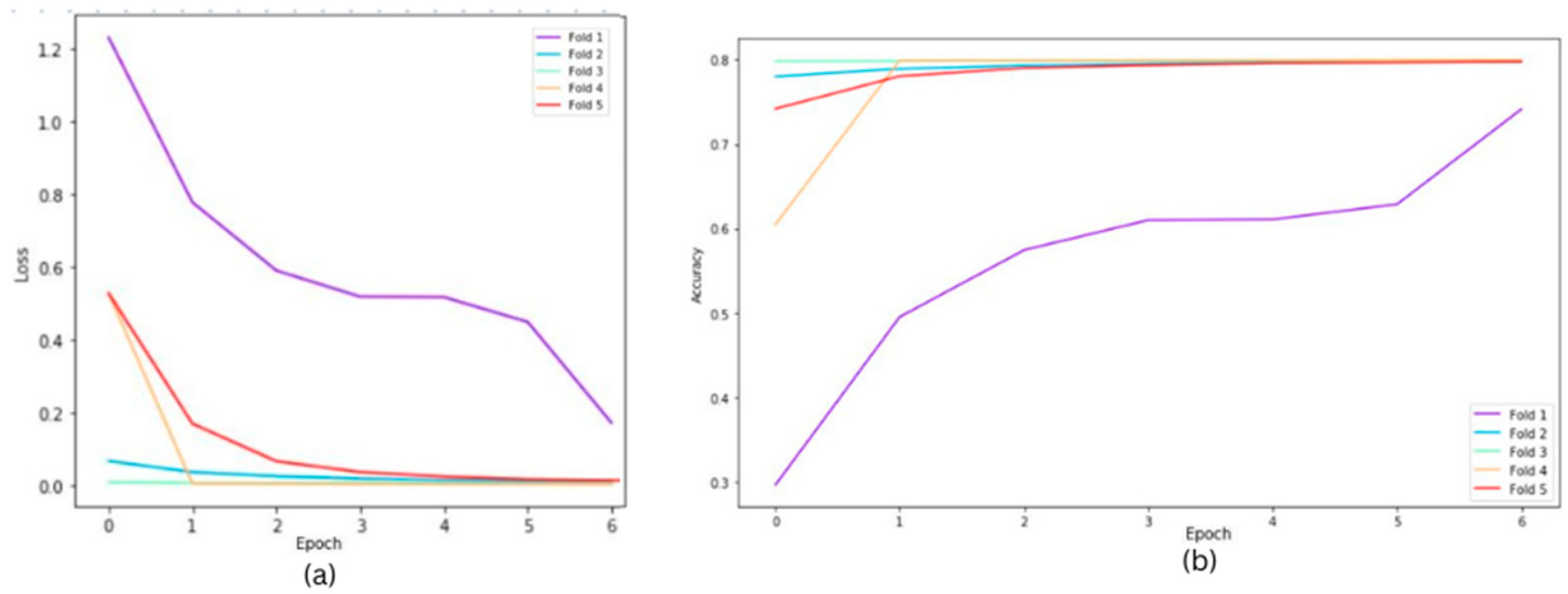
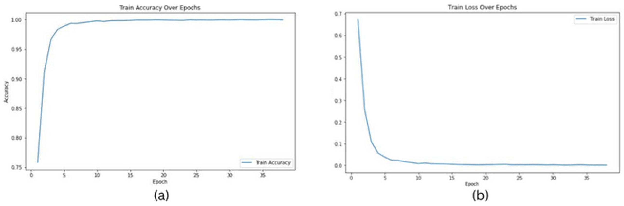
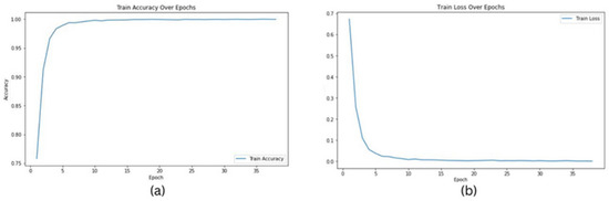
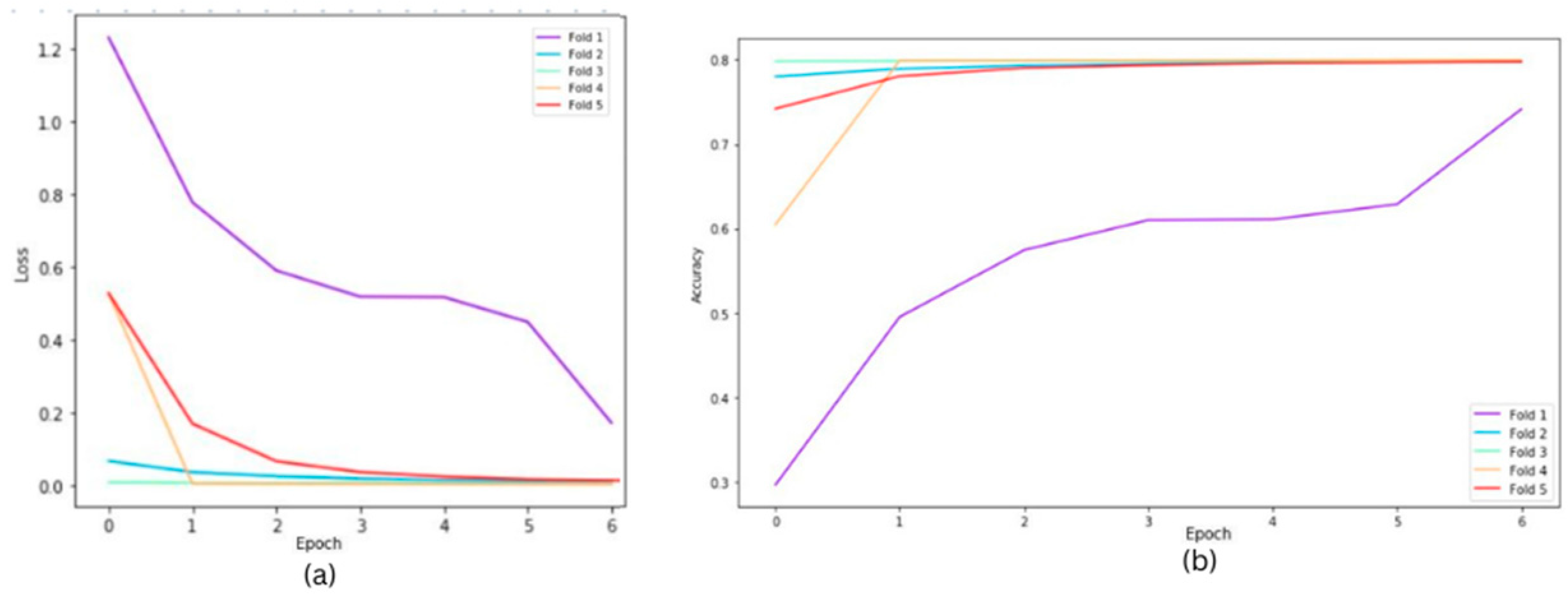
4. Results
5. Discussion
6. Conclusions
Supplementary Materials
Author Contributions
Funding
Institutional Review Board Statement
Informed Consent Statement
Data Availability Statement
Conflicts of Interest
References
- Rice-Stitt, T.; Valencia-Guerrero, A.; Cornejo, K.M.; Wu, C.L. Updates in Histologic Grading of Urologic Neoplasms. Arch. Pathol. Lab. Med. 2020, 144, 335–343. [Google Scholar] [CrossRef] [PubMed]
- Goldenberg, S.L.; Nir, G.; Salcudean, S.E. A new era: Artificial intelligence and machine learning in prostate cancer. Nat. Rev. Urol. 2019, 16, 391–403. [Google Scholar] [CrossRef] [PubMed]
- Abraham, B.; Nair, M.S. Automated grading of prostate cancer using convolutional neural network and ordinal class classifier. Inform. Med. Unlocked 2019, 17, 100256. [Google Scholar] [CrossRef]
- Ström, P.; Kartasalo, K.; Olsson, H.; Solorzano, L.; Delahunt, B.; Berney, D.M.; Bostwick, D.G.; Evans, A.J.; Grignon, D.J.; Humphrey, P.A.; et al. Artificial intelligence for diagnosis and grading of prostate cancer in biopsies: A population-based, diagnostic study. Lancet Oncol. 2020, 21, 222–232. [Google Scholar] [CrossRef] [PubMed]
- Bhattacharjee, S.; Park, H.-G.; Kim, C.-H.; Prakash, D.; Madusanka, N.; So, J.-H.; Cho, N.-H.; Choi, H.-K. Quantitative Analysis of Benign Malignant Tumors in Histopathology: Predicting Prostate Cancer Grading Using SVM. Appl. Sci. 2019, 9, 2969. [Google Scholar] [CrossRef]
- Alzubaidi, L.; Zhang, J.; Humaidi, A.J.; Al-Dujaili, A.; Duan, Y.; Al-Shamma, O.; Santamaría, J.; Fadhel, M.A.; Al-Amidie, M.; Farhan, L. Review of deep learning: Concepts, CNN architectures, challenges, applications, future directions. J. Big Data 2021, 8, 53. [Google Scholar] [CrossRef] [PubMed]
- Hammouda, K.; Khalifa, F.; Alghamdi, N.S.; Darwish, H.; El-Baz, A. Multi-Stage Classification-Based Deep Learning for Gleason System Grading Using Histopathological Images. Cancers 2022, 14, 5897. [Google Scholar] [CrossRef]
- Wang, R.; Yang, S.; Wang, M.; Zhou, Y.; Li, X.; Chen, W.; Liu, W.; Huang, Y.; Wu, J.; Cao, J.; et al. A sustainable approach to universal metabolic cancer diagnosis. Nat. Sustain. 2024, 7, 602–615. [Google Scholar] [CrossRef]
- Liu, B.; Wang, Y.; Weitz, P.; Lindberg, J.; Hartman, J.; Wang, W.; Egevad, L.; Grönberg, H.; Eklund, M.; Rantalainen, M. Using deep learning to detect patients at risk for prostate cancer despite benign biopsies. iScience 2022, 25, 104663. [Google Scholar] [CrossRef]
- Wang, J.; Yang, Y.; Mao, J.; Huang, Z.; Huang, C.; Xu, W. Cnn-rnn: A unified framework for multi-label image classification. In Proceedings of the IEEE Conference on Computer Vision and Pattern Recognition 2016, Las Vegas, NV, USA, 27–30 June 2016; pp. 2285–2294. [Google Scholar]
- Kumar, M.D.; Babaie, M.; Zhu, S.; Kalra, S.; Tizhoosh, H.R. A comparative study of CNN, BoVW and LBP for classification of histopathological images. In Proceedings of the 2017 IEEE Symposium Series on Computational Intelligence (SSCI), Honolulu, HI, USA, 27 November–1 December 2017; pp. 1–7. [Google Scholar]
- LeCun, Y.; Bengio, Y.; Hinton, G. Deep learning. Nature 2015, 521, 436–444. [Google Scholar] [CrossRef] [PubMed]
- Pati, P.; Jaume, G.; Ayadi, Z.; Thandiackal, K.; Bozorgtabar, B.; Gabrani, M.; Goksel, O. Weakly supervised joint whole-slide segmentation and classification in prostate cancer. Med. Image Anal. 2023, 89, 102915. [Google Scholar] [CrossRef] [PubMed]
- Fakoor, R.; Ladhak, F.; Nazi, A.; Huber, M. Using deep learning to enhance cancer diagnosis and classification. In Proceedings of the International Conference on Machine Learning 2013, Atlanta, GA, USA, 16–21 June 2013; Volume 28, pp. 3937–3949. [Google Scholar]
- Xu, W.; Fu, Y.L.; Zhu, D. ResNet and its application to medical image processing: Research progress and challenges. Comput. Methods Programs Biomed. 2023, 240, 107660. [Google Scholar] [CrossRef] [PubMed]
- Deng, J.; Dong, W.; Socher, R.; Li, L.J.; Li, K.; Li, F.-F. Imagenet: A large-scale hierarchical image database. In Proceedings of the 2009 IEEE Conference on Computer Vision and Pattern Recognition, Miami, FL, USA, 20–25 June 2009; pp. 248–255. [Google Scholar]
- Samaratunga, H.; Delahunt, B.; Yaxley, J.; Srigley, J.R.; Egevad, L. From Gleason to International Society of Urological Pathology (ISUP) grading of prostate cancer. Scand. J. Urol. 2016, 50, 325–329. [Google Scholar] [CrossRef] [PubMed]
- Nir, G.; Hor, S.; Karimi, D.; Fazli, L.; Skinnider, B.F.; Tavassoli, P.; Turbin, D.; Villamil, C.F.; Wang, G.; Wilson, R.S.; et al. Automatic grading of prostate cancer in digitized histopathology images: Learning from multiple experts. Med. Image Anal. 2018, 50, 167–180. [Google Scholar] [CrossRef] [PubMed]
- Gleason, D.F. Classification of prostatic carcinomas. Cancer Chemother. Rep. 1966, 50, 125–128. [Google Scholar] [PubMed]
- Nagpal, K.; Foote, D.; Liu, Y.; Chen, P.-H.C.; Wulczyn, E.; Tan, F.; Olson, N.; Smith, J.L.; Mohtashamian, A.; Wren, J.H.; et al. Development and validation of a deep learning algorithm for improving Gleason scoring of prostate cancer. NPJ Digit. Med. 2019, 2, 48. [Google Scholar] [CrossRef] [PubMed]
- Almoosawi, N.M.; Khudeyer, R.S. ResNet-34/DR: A residual convolutional neural network for the diagnosis of diabetic retinopathy. Informatica 2021, 45. [Google Scholar] [CrossRef]
- Guo, M.; Du, Y. Classification of thyroid ultrasound standard plane images using ResNet-18 networks. In Proceedings of the 2019 IEEE 13th International Conference on Anti-Counterfeiting, Security, and Identification (ASID), Xiamen, China, 25–27 October 2019; pp. 324–328. [Google Scholar]
- Yurtkulu, S.C.; Şahin, Y.H.; Unal, G. Semantic segmentation with extended DeepLabv3 architecture. In Proceedings of the 2019 27th Signal Processing and Communications Applications Conference (SIU), Sivas, Turkey, 24–26 April 2019; pp. 1–4. [Google Scholar]
- Heryadi, Y.; Irwansyah, E.; Miranda, E.; Soeparno, H.; Herlawati; Hashimoto, K. The effect of ResNet model as feature extractor network to performance of DeepLabV3 model for semantic satellite image segmentation. In Proceedings of the 2020 IEEE Asia-Pacific Conference on Geoscience, Electronics and Remote Sensing Technology (AGERS), Jakarta, Indonesia, 7–8 December 2020; pp. 74–77.
- Kayalibay, B.; Jensen, G.; van der Smagt, P. CNN-based segmentation of medical imaging data. arXiv 2017, arXiv:1701.03056. [Google Scholar]
- Mortazi, A.; Bagci, U. Automatically designing CNN architectures for medical image segmentation. In Proceedings of the Machine Learning in Medical Imaging: 9th International Workshop, MLMI 2018, Held in Conjunction with MICCAI 2018, Granada, Spain, 16 September 2018; Proceedings 9. Springer International Publishing: Berlin/Heidelberg, Germany, 2018; pp. 98–106. [Google Scholar]
- Liu, F.; Lin, G.; Shen, C. CRF learning with CNN features for image segmentation. Pattern Recognit. 2015, 48, 2983–2992. [Google Scholar] [CrossRef]
- Sharma, P.; Berwal, Y.P.S.; Ghai, W. Performance analysis of deep learning CNN models for disease detection in plants using image segmentation. Inf. Process. Agric. 2020, 7, 566–574. [Google Scholar] [CrossRef]
- Dolz, J.; Gopinath, K.; Yuan, J.; Lombaert, H.; Desrosiers, C.; Ben Ayed, I. HyperDense-Net: A hyper-densely connected CNN for multi-modal image segmentation. IEEE Trans. Med. Imaging 2019, 38, 1116–1126. [Google Scholar] [CrossRef] [PubMed]
- Milosevic, M.; Jin, Q.; Singh, A.; Amal, S. Applications of AI in multi-modal imaging for cardiovascular disease. Front. Radiol. 2024, 3, 1294068. [Google Scholar] [CrossRef] [PubMed]
- Wang, X.; Deng, X.; Fu, Q.; Zhou, Q.; Feng, J.; Ma, H.; Liu, W.; Zheng, C. Weakly supervised framework for detecting lesions in medical images. In Proceedings of the 2019 IEEE Conference on Computer Vision and Pattern Recognition, Long Beach, CA, USA, 15–20 June 2019; pp. 3514–3522. [Google Scholar]
- Hamida, A.B.; Devanne, M.; Weber, J.; Truntzer, C.; Derangère, V.; Ghiringhelli, F.; Forestier, G.; Wemmert, C. Deep learning for colon cancer histopathological images analysis. Comput. Biol. Med. 2021, 136, 104730. [Google Scholar] [CrossRef] [PubMed]
- Zerouaoui, H.; Idri, A. Deep hybrid architectures for binary classification of medical breast cancer images. Biomed. Signal Process. Control. 2022, 71, 103226. [Google Scholar]
- Cao, R.; Zhong, X.; Shakeri, S.; Bajgiran, A.M.; Mirak, S.A.; Enzmann, D.; Raman, S.S.; Sung, K. Prostate cancer detection and segmentation in multi-parametric MRI via CNN and conditional random field. In Proceedings of the 2019 IEEE 16th International Symposium on Biomedical Imaging (ISBI 2019), Venice, Italy, 8–11 April 2019; pp. 1900–1904. [Google Scholar]
- Soni, M.; Khan, I.R.; Babu, K.S.; Nasrullah, S.; Madduri, A.; Rahin, S.A. Light weighted healthcare CNN model to detect prostate cancer on multiparametric, M.R.I. Comput. Intell. Neurosci. 2022, 2022, 5497120. [Google Scholar] [PubMed]
- Tolkach, Y.; Dohmgörgen, T.; Toma, M.; Kristiansen, G. High-accuracy prostate cancer pathology using deep learning. Nat. Mach. Intell. 2020, 2, 411–418. [Google Scholar] [CrossRef]
- Abbasi, A.A.; Hussain, L.; Awan, I.A.; Abbasi, I.; Majid, A.; Nadeem, M.S.A.; Chaudhary, Q.-A. Detecting prostate cancer using deep learning convolution neural network with transfer learning approach. Cogn. Neurodyn. 2020, 14, 523–533. [Google Scholar] [CrossRef] [PubMed]
- De Vente, C.; Vos, P.; Hosseinzadeh, M.; Pluim, J.; Veta, M. Deep learning regression for prostate cancer detection and grading in bi-parametric MRI. IEEE Trans. Biomed. Eng. 2020, 68, 374–383. [Google Scholar] [CrossRef] [PubMed]
- Anguita, D.; Ghelardoni, L.; Ghio, A.; Oneto, L.; Ridella, S. The ‘K’ in K-fold Cross Validation. In Proceedings of the ESANN 2012, Bruges, Belgium, 25–27 April 2012; Volume 102, pp. 441–446. [Google Scholar]
- Li, Z.; Liu, F.; Yang, W.; Peng, S.; Zhou, J. A survey of convolutional neural networks: Analysis, applications, and prospects. IEEE Trans. Neural Netw. Learn. Syst. 2021, 33, 6999–7019. [Google Scholar] [CrossRef] [PubMed]
- Albawi, S.; Mohammed, T.A.; Al-Zawi, S. Understanding of a convolutional neural network. In Proceedings of the 2017 International Conference on Engineering and Technology (ICET), Antalya, Turkey, 21–23 August 2017; pp. 1–6. [Google Scholar] [CrossRef]
- Shah, R.B. Current perspectives on the Gleason grading of prostate cancer. Arch. Pathol. Lab. Med. 2009, 133, 1810–1816. [Google Scholar] [CrossRef] [PubMed]
- Tabesh, A.; Teverovskiy, M.; Pang, H.-Y.; Kumar, V.P.; Verbel, D.; Kotsianti, A.; Saidi, O. Multifeature prostate cancer diagnosis and Gleason grading of histological images. IEEE Trans. Med. Imaging 2007, 26, 1366–1378. [Google Scholar] [CrossRef] [PubMed]
- Kott, O.; Linsley, D.; Amin, A.; Karagounis, A.; Jeffers, C.; Golijanin, D.; Serre, T.; Gershman, B. Development of a deep learning algorithm for the histopathologic diagnosis and Gleason grading of prostate cancer biopsies: A pilot study. Eur. Urol. Focus 2021, 7, 347–351. [Google Scholar] [CrossRef] [PubMed]
- Sarwinda, D.; Paradisa, R.H.; Bustamam, A.; Anggia, P. Deep learning in image classification using residual network (ResNet) variants for detection of colorectal cancer. Procedia Comput. Sci. 2021, 179, 423–431. [Google Scholar] [CrossRef]
- Hou, L.; Samaras, D.; Kurc, T.M.; Gao, Y.; Davis, J.E.; Saltz, J.H. Patch-based convolutional neural network for whole slide tissue image classification. In Proceedings of the 2016 IEEE Conference on Computer Vision and Pattern Recognition, Las Vegas, NV, USA, 27–30 June 2016; pp. 2424–2433. [Google Scholar]
- Koziarski, M.; Woźniak, M.; Krawczyk, B. Combined cleaning and resampling algorithm for multi-class imbalanced data with label noise. Knowl.-Based Syst. 2020, 204, 106223. [Google Scholar] [CrossRef]
- Litjens, G.; Sánchez, C.I.; Timofeeva, N.; Hermsen, M.; Nagtegaal, I.; Kovacs, I.; Hulsbergen-van de Kaa, C.; Bult, P.; Van Ginneken, B.; Van Der Laak, J. Deep learning as a tool for increased accuracy and efficiency of histopathological diagnosis. Sci. Rep. 2016, 6, 26286. [Google Scholar] [CrossRef] [PubMed]
- Srinidhi, C.L.; Ciga, O.; Martel, A.L. Deep neural network models for computational histopathology: A survey. Med. Image Anal. 2021, 67, 101813. [Google Scholar] [CrossRef] [PubMed]
- Lu, L.; Zheng, Y.; Carneiro, G.; Yang, L. Deep Learning and Convolutional Neural Networks for Medical Image Computing; Advances in Computer Vision and Pattern Recognition Series; Springer: Cham, Switzerland, 2017; Volume 10. [Google Scholar]
- Singh, A.; Wan, M.; Harrison, L.; Breggia, A.; Christman, R.; Winslow, R.L.; Amal, S. Visualizing Decisions and Analytics of Artificial Intelligence based Cancer Diagnosis and Grading of Specimen Digitized Biopsy: Case Study for Prostate Cancer. In Proceedings of the Companion 28th International Conference on Intelligent User Interfaces, New York, NY, USA, 27–31 March 2023; pp. 166–170. [Google Scholar] [CrossRef]
- Gan, Y.; Li, L.; Zhang, L.; Yan, S.; Gao, C.; Hu, S.; Qiao, Y.; Tang, S.; Wang, C.; Lu, Z. Association between shift work and risk of prostate cancer: A systematic review and meta-analysis of observational studies. Carcinogenesis 2018, 39, 87–97. [Google Scholar] [CrossRef] [PubMed]
- Sultana, F.; Sufian, A.; Dutta, P. Evolution of image segmentation using deep convolutional neural network: A survey. Knowl.-Based Syst. 2020, 201, 106062. [Google Scholar] [CrossRef]
- Huang, R.; Li, Y.; Wu, H.; Liu, B.; Zhang, X.; Zhang, Z. 68Ga-PSMA-11 PET/CT versus 68Ga-PSMA-11 PET/MRI for the detection of biochemically recurrent prostate cancer: A systematic review and meta-analysis. Front. Oncol. 2023, 13, 1216894. [Google Scholar] [CrossRef] [PubMed]
- Yang, C.; Sheng, D.; Yang, B.; Zheng, W.; Liu, C. A Dual-Domain Diffusion Model for Sparse-View CT Reconstruction. IEEE Signal Process. Lett. 2024, 31, 1279–1283. [Google Scholar] [CrossRef]



| Paper | Journal/Conference | Author + Year | Methodology | Dataset |
|---|---|---|---|---|
| 1. | A new era: artificial intelligence and machine learning in prostate cancer (Nature Reviews Urology) [2] | Goldenberg, S.L.; Nir, G.; Salcudean, S.E. 2019 | ML and DL techniques for diagnostic imaging, SVM, CNN-based DL network | PROSTATE-x challenge, mpMRI images |
| 2. | Automated grading of prostate cancer using CNN and ordinal class classifier (Informatics in Medicine Unlocked) [3] | Abraham, B.; Nair, M.S. 2019 | VGG-16 CNN, Ordinal Class Classifier with J48 Achieved a moderate quadratic weighted kappa score of 0.4727 in grading PCA into 5 grade groups. Positive predictive value of 0.9079 in predicting clinically significant prostate cancer. | PROSTATEx-2 2017 grand challenge dataset |
| 3. | AI for diagnosis and grading of prostate cancer in biopsies (The Lancet Oncology) [4] | Ström, P.; Kartasalo, K.; Olsson, H.; Solorzano, L.; Delahunt, B.; Berney, D.M.; Bostwick, D.G.; Evans, A.J.; Grignon, D.J.; Humphrey, P.A.; et al. 2020 | Deep neural networks for biopsy assessment. AI system achieved high accuracy in distinguishing benign and malignant biopsy cores (AUC of 0.997 and 0.986 on respective datasets). | STHLM3 diagnostic study, external validation dataset |
| 4. | Quantitative Analysis of Benign and Malignant Tumors in Histopathology: Predicting Prostate Cancer Grading Using SVM (Applied Sciences) [5] | Bhattacharjee, S.; Park, H.-G.; Kim, C.-H.; Prakash, D.; Madusanka, N.; So, J.-H.; Cho, N.-H.; Choi, H.-K. 2019 | SVM classification, Image manipulation, K-means, Watershed algorithms. Accuracy of 88.7% for malignant vs. benign, 85.0% for Grade 3 vs. Grade 4, 5, and 92.5% for Grade 4 vs. Grade 5. | Biopsy-derived images, Gleason grade groups (Grade 3, Grade 4, Grade 5, and benign) |
| Magnification | Architecture | Average Training Accuracy | Testing Accuracy |
|---|---|---|---|
| 40× | ResNet18 | 0.9995 | 0.9977 |
| 20× | 0.9996 | 0.9992 | |
| 10× | 0.9993 | 0.9964 | |
| 5× | 0.9995 | 0.9921 | |
| 40× | ResNet34 | 0.9992 | 0.9999 |
| 20× | 0.9993 | 0.9999 | |
| 10× | 0.9998 | 1.0000 | |
| 5× | 0.9993 | 0.9993 | |
| 40× | ResNet50 | 0.9993 | 0.9957 |
| 20× | 0.9991 | 0.9915 | |
| 10× | 0.9956 | 0.9952 | |
| 5× | 0.9893 | 0.9981 |
Disclaimer/Publisher’s Note: The statements, opinions and data contained in all publications are solely those of the individual author(s) and contributor(s) and not of MDPI and/or the editor(s). MDPI and/or the editor(s) disclaim responsibility for any injury to people or property resulting from any ideas, methods, instructions or products referred to in the content. |
© 2024 by the authors. Licensee MDPI, Basel, Switzerland. This article is an open access article distributed under the terms and conditions of the Creative Commons Attribution (CC BY) license (https://creativecommons.org/licenses/by/4.0/).
Share and Cite
Kondejkar, T.; Al-Heejawi, S.M.A.; Breggia, A.; Ahmad, B.; Christman, R.; Ryan, S.T.; Amal, S. Multi-Scale Digital Pathology Patch-Level Prostate Cancer Grading Using Deep Learning: Use Case Evaluation of DiagSet Dataset. Bioengineering 2024, 11, 624. https://doi.org/10.3390/bioengineering11060624
Kondejkar T, Al-Heejawi SMA, Breggia A, Ahmad B, Christman R, Ryan ST, Amal S. Multi-Scale Digital Pathology Patch-Level Prostate Cancer Grading Using Deep Learning: Use Case Evaluation of DiagSet Dataset. Bioengineering. 2024; 11(6):624. https://doi.org/10.3390/bioengineering11060624
Chicago/Turabian StyleKondejkar, Tanaya, Salah Mohammed Awad Al-Heejawi, Anne Breggia, Bilal Ahmad, Robert Christman, Stephen T. Ryan, and Saeed Amal. 2024. "Multi-Scale Digital Pathology Patch-Level Prostate Cancer Grading Using Deep Learning: Use Case Evaluation of DiagSet Dataset" Bioengineering 11, no. 6: 624. https://doi.org/10.3390/bioengineering11060624
APA StyleKondejkar, T., Al-Heejawi, S. M. A., Breggia, A., Ahmad, B., Christman, R., Ryan, S. T., & Amal, S. (2024). Multi-Scale Digital Pathology Patch-Level Prostate Cancer Grading Using Deep Learning: Use Case Evaluation of DiagSet Dataset. Bioengineering, 11(6), 624. https://doi.org/10.3390/bioengineering11060624

