Comparative Tensile Properties and Collagen Patterns in Domestic Cat (Felis catus) and Dog (Canis lupus familiaris) Ovarian Cortical Tissues
Abstract
1. Introduction
2. Materials and Methods
2.1. Ovarian Tissue Isolation
2.2. Micropipette Aspiration Tensile Testing
2.3. Histological Assessments
2.4. MMP Exposure Trial
2.5. Ovarian Tissue Culture
2.6. Gene Expression
2.7. Statistical Analyses
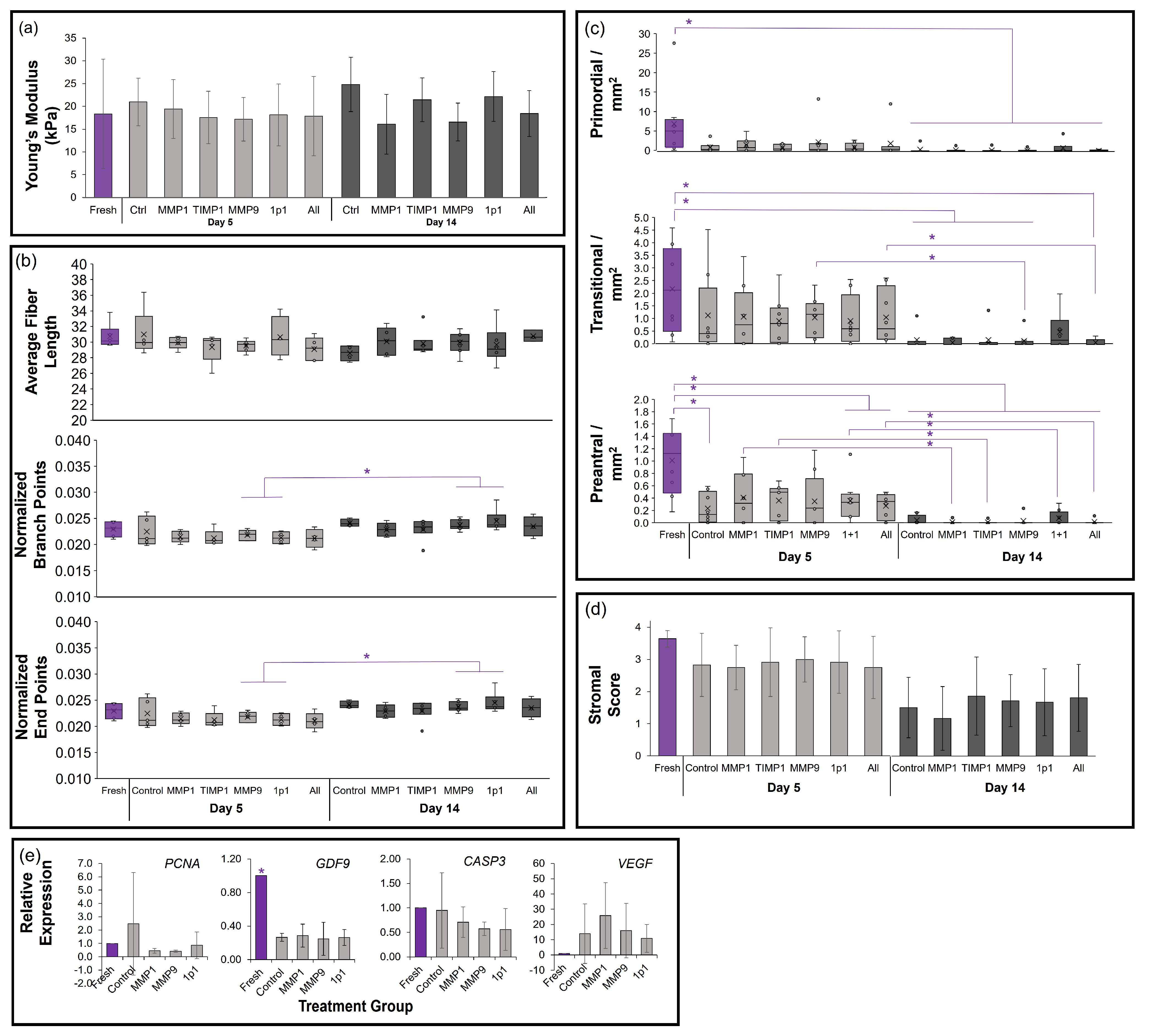
3. Results
4. Discussion
Supplementary Materials
Author Contributions
Funding
Institutional Review Board Statement
Informed Consent Statement
Data Availability Statement
Acknowledgments
Conflicts of Interest
References
- Xu, M.; Kreeger, P.K.; Shea, L.D.; Woodruff, T.K. Tissue-engineered follicles produce live, fertile offspring. Tissue Eng. 2006, 12, 2739–2746. [Google Scholar] [CrossRef]
- Eppig, J.J.; O’Brien, M.J. Development in vitro of mouse oocytes from primordial follicles. Biol. Reprod. 1996, 54, 197–207. [Google Scholar] [CrossRef]
- O’Brien, M.J.; Pendola, J.K.; Eppig, J.J. A revised protocol for in vitro development of mouse oocytes from primordial follicles dramatically improves their developmental competence. Biol. Reprod. 2003, 68, 1682–1686. [Google Scholar] [CrossRef]
- Picton, H.M.; Harris, S.E.; Muruvi, W.; Chambers, E.L. The in vitro growth and maturation of follicles. Reproduction 2008, 136, 703–715. [Google Scholar] [CrossRef] [PubMed]
- Cecconi, S.; Barboni, B.; Coccia, M.; Mattioli, M. In vitro development of sheep preantral follicles. Biol. Reprod. 1999, 60, 594–601. [Google Scholar] [CrossRef] [PubMed][Green Version]
- Gutierrez, C.G.; Ralph, J.H.; Telfer, E.E.; Wilmut, I.; Webb, R. Growth and antrum formation of bovine preantral follicles in long-term culture in vitro. Biol. Reprod. 2000, 62, 1322–1328. [Google Scholar] [CrossRef]
- McLaughlin, M.; Telfer, E.E. Oocyte development in bovine primordial follicles is promoted by activin and FSH within a two-step serum-free culture system. Reproduction 2010, 139, 971–978. [Google Scholar] [CrossRef]
- Xu, J.; Bernuci, M.P.; Lawson, M.S.; Yeoman, R.R.; Fisher, T.E.; Zelinski, M.B.; Stouffer, R.L. Survival, growth, and maturation of secondary follicles from prepubertal, young, and older adult rhesus monkeys during encapsulated three-dimensional culture: Effects of gonadotropins and insulin. Reproduction 2010, 140, 685–697. [Google Scholar] [CrossRef] [PubMed]
- Xu, M.; Banc, A.; Woodruff, T.; Shea, L.D. Secondary follicle growth and oocyte maturation by culture in alginate hydrogel following cryopreservation of the ovary or individual follicles. Biotechnol. Bioeng. 2009, 103, 378–386. [Google Scholar] [CrossRef] [PubMed]
- Xu, M.; Fazleabas, A.T.; Shikanov, A.; Jackson, E.; Barrett, S.L.; Hirshefeld-Cytron, J.; Kiesewetter, S.E.; Shea, L.D.; Woodruff, T.K. In vitro oocyte maturation and preantral follicle culture from the luteal phase baboon ovary produce mature oocytes. Biol. Reprod. 2010, 84, 689–697. [Google Scholar] [CrossRef] [PubMed]
- Starkey, M.P.; Scase, T.J.; Mellersh, C.S.; Murphy, S. Dogs really are man’s best friend—Canine genomics has applications in veterinary and human medicine! Brief. Funct. Genom. Proteom. 2005, 4, 112–128. [Google Scholar] [CrossRef] [PubMed]
- Lyons, L.A. Precision medicine in cats—The right biomedical model may not be the mouse! PLoS Genet. 2020, 16, e1009177. [Google Scholar] [CrossRef] [PubMed]
- Songsasen, N.; Comizzoli, P.; Nagashima, J.; Fujihara, M.; Wildt, D. The domestic dog and cat as models for understanding the regulation of ovarian follicle development in vitro. Reprod. Domest. Anim. 2012, 47, 13–18. [Google Scholar] [CrossRef] [PubMed]
- Fujihara, M.; Comizzoli, P.; Wildt, D.; Songsasen, N. Cat and dog primordial follicles enclosed in ovarian cortex sustain viability after in vitro culture on agarose gel in a protein-free medium. Reprod. Domest. Anim. 2012, 47, 102–108. [Google Scholar] [CrossRef] [PubMed]
- Nagashima, J.B.; Wildt, D.E.; Travis, A.J.; Songsasen, N. Activin promotes growth and antral cavity expansion in the dog ovarian follicle. Theriogenology 2019, 129, 168–177. [Google Scholar] [CrossRef] [PubMed]
- Serafim, M.K.B.; Duarte, A.B.G.; Silva, G.M.; Souza, C.E.A.; Magalhães-Padilha, D.M.; Moura, A.A.A.; Silva, L.D.M.; Campello, C.C.; Figueiredo, J.R. Impact of growth hormone (GH) and follicle stimulating hormone (FSH) on in vitro canine preantral follicle development and estradiol production. Growth Horm. IGF Res. 2015, 25, 85–89. [Google Scholar] [CrossRef]
- Serafim, M.K.; Silva, G.M.; Duarte, A.B.; Araújo, V.; Silva, T.; Lima, A.; Chaves, R.; Campello, C.; Silva, L.; Figueiredo, J. High insulin concentrations promote the in vitro growth and viability of canine preantral follicles. Reprod. Fertil. Dev. 2013, 25, 927–934. [Google Scholar] [CrossRef]
- Wood, C.D.; Vijayvergia, M.; Miller, F.H.; Carroll, T.; Fasanati, C.; Shea, L.D.; Brinson, L.C.; Woodruff, T.K. Multi-modal magnetic resonance elastography for noninvasive assessment of ovarian tissue rigidity in vivo. Acta Biomater. 2015, 13, 295–300. [Google Scholar] [CrossRef]
- Ouni, E.; Peaucelle, A.; Haas, K.T.; Van Kerk, O.; Dolmans, M.-M.; Tuuri, T.; Otala, M.; Amorim, C.A. A blueprint of the topology and mechanics of the human ovary for next-generation bioengineering and diagnosis. Nat. Commun. 2021, 12, 5603. [Google Scholar] [CrossRef]
- Hopkins, T.I.R.; Bemmer, V.L.; Franks, S.; Dunlop, C.; Hardy, K.; Dunlop, I.E. Micromechanical mapping of the intact ovary interior reveals contrasting mechanical roles for follicles and stroma. Biomaterials 2021, 277, 121099. [Google Scholar] [CrossRef]
- Henning, N.F.C.; Laronda, M.M. The matrisome contributes to the increased rigidity of the bovine ovarian cortex and provides a source of new bioengineering tools to investigate ovarian biology. bioRxiv 2021. [Google Scholar] [CrossRef]
- Stewart, S.; Ou, W.; Aranda-Espinoza, H.; Rahaman, S.O.; He, X. Micromechanical characterizations and viscoelastic modeling reveal elastic and viscoelastic heterogeneities in ovarian tissue and the significant viscoelastic contribution to the apparent elastic modulus determined by AFM indentation. Acta Biomater. 2023, 168, 286–297. [Google Scholar] [CrossRef] [PubMed]
- Woodruff, T.K.; Shea, L.D. A new hypothesis regarding ovarian follicle development: Ovarian rigidity as a regulator of selection and health. J. Assist. Reprod. Genet. 2011, 28, 3–6. [Google Scholar] [CrossRef] [PubMed]
- Cordeiro, M.H.; Kim, S.-Y.; Ebbert, K.; Duncan, F.E.; Ramalho-Santos, J.; Woodruff, T.K. Geography of follicle formation in the embryonic mouse ovary impacts activation pattern during the first wave of folliculogenesis. Biol. Reprod. 2015, 93, 88. [Google Scholar] [CrossRef]
- Berkholtz, C.B.; Lai, B.E.; Woodruff, T.K.; Shea, L.D. Distribution of extracellular matrix proteins type I collagen, type IV collagen, fibronectin, and laminin in mouse folliculogenesis. Histochem. Cell Biol. 2006, 126, 583–592. [Google Scholar] [CrossRef]
- Henning, N.F.; LeDuc, R.D.; Even, K.A.; Laronda, M.M. Proteomic analyses of decellularized porcine ovaries identified new matrisome proteins and spatial differences across and within ovarian compartments. Sci. Rep. 2019, 9, 20001. [Google Scholar] [CrossRef]
- Lind, A.-K.; Weijdegård, B.; Dahm-Kähler, P.; Mölne, J.; Sundfeldt, K.; Brännström, M. Collagens in the human ovary and their changes in the perifollicular stroma during ovulation. Acta Obstet. Gynecol. Scand. 2006, 85, 1476–1484. [Google Scholar] [CrossRef]
- Amargant, F.; Manuel, S.L.; Tu, Q.; Parkes, W.S.; Rivas, F.; Zhou, L.T.; Rowley, J.E.; Villanueva, C.E.; Hornick, J.E.; Shekhawat, G.S. Ovarian stiffness increases with age in the mammalian ovary and depends on collagen and hyaluronan matrices. Aging Cell 2020, 19, e13259. [Google Scholar] [CrossRef]
- Martin, R.B.; Ishida, J. The relative effects of collagen fiber orientation, porosity, density, and mineralization on bone strength. J. Biomech. 1989, 22, 419–426. [Google Scholar] [CrossRef]
- Laronda, M.M.; Jakus, A.E.; Whelan, K.A.; Wertheim, J.A.; Shah, R.N.; Woodruff, T.K. Initiation of puberty in mice following decellularized ovary transplant. Biomaterials 2015, 50, 20–29. [Google Scholar] [CrossRef]
- Goldman, S.; Shalev, E. MMPS and TIMPS in ovarian physiology and pathophysiology. Front. Biosci. 2004, 9, 2. [Google Scholar] [CrossRef] [PubMed]
- Vos, M.C.; van der Wurff, A.A.; Last, J.T.; de Boed, E.A.; Smeenk, J.M.; van Kuppevelt, T.H.; Massuger, L.F. Immunohistochemical expression of MMP-14 and MMP-2, and MMP-2 activity during human ovarian follicular development. Reprod. Biol. Endocrinol. 2014, 12, 12. [Google Scholar] [CrossRef] [PubMed]
- Zítka, O.; Kukacka, J.; Krizkov, S.; Húska, D.; Adam, V.; Masarik, M.; Prusa, R.; Kizek, R. Matrix metalloproteinases. Curr. Med. Chem. 2010, 17, 3751–3768. [Google Scholar] [CrossRef] [PubMed]
- Lind, A.-K.; Dahm-Kähler, P.; Weijdegård, B.; Sundfeldt And, K.; Brännström, M. Gelatinases and their tissue inhibitors during human ovulation: Increased expression of tissue inhibitor of matrix metalloproteinase-1. Mol. Hum. Reprod. 2006, 12, 725–736. [Google Scholar] [CrossRef] [PubMed]
- Fujihara, M.; Yamamizu, K.; Wildt, D.E.; Songsasen, N. Expression pattern of matrix metalloproteinases changes during folliculogenesis in the cat ovary. Reprod. Domest. Anim. 2016, in press. [Google Scholar] [CrossRef]
- Aoki, T.; Ohashi, T.; Matsumoto, T.; Sato, M. The pipette aspiration applied to the local stiffness measurement of soft tissues. Ann. Biomed. Eng. 1997, 25, 581–587. [Google Scholar] [CrossRef]
- Zhao, R.; Sider, K.L.; Simmons, C.A. Measurement of layer-specific mechanical properties in multilayered biomaterials by micropipette aspiration. Acta Biomater. 2011, 7, 1220–1227. [Google Scholar] [CrossRef]
- Byfield, F.J.; Aranda-Espinoza, H.; Romanenko, V.G.; Rothblat, G.H.; Levitan, I. Cholesterol depletion increases membrane stiffness of aortic endothelial cells. Biophys. J. 2004, 87, 3336–3343. [Google Scholar] [CrossRef]
- Theret, D.P.; Levesque, M.; Sato, M.; Nerem, R.; Wheeler, L. The application of a homogeneous half-space model in the analysis of endothelial cell micropipette measurements. J. Biomech. Eng. 1988, 110, 190–199. [Google Scholar] [CrossRef]
- Briley, S.M.; Jasti, S.; McCracken, J.M.; Hornick, J.E.; Fegley, B.; Pritchard, M.T.; Duncan, F.E. Reproductive age-associated fibrosis in the stroma of the mammalian ovary. Reproduction 2016, 152, 245–260. [Google Scholar] [CrossRef]
- Wershof, E.; Park, D.; Barry, D.J.; Jenkins, R.P.; Rullan, A.; Wilkins, A.; Roxanis, I.; Anderson, K.I.; Bates, P.A.; Sahai, E. A FIJI Macro for quantifying pattern in extracellular matrix. bioRxiv 2020. [Google Scholar] [CrossRef] [PubMed]
- Kehoe, S.; Jewgenow, K.; Johnston, P.R.; Mbedi, S.; Braun, B.C. Signalling pathways and mechanistic cues highlighted by transcriptomic analysis of primordial, primary, and secondary ovarian follicles in domestic cat. Sci. Rep. 2021, 11, 2683. [Google Scholar] [CrossRef] [PubMed]
- Horka, P.; Malickova, K.; Jarosova, R.; Janatkova, I.; Zima, T.; Kalousova, M. Matrix metalloproteinases in serum and the follicular fluid of women treated by in vitro fertilization. J. Assist. Reprod. Genet. 2012, 29, 1207–1212. [Google Scholar] [CrossRef]
- Singh, A.K.; Chattopadhyay, R.; Chakravarty, B.; Chaudhury, K. Altered circulating levels of matrix metalloproteinases 2 and 9 and their inhibitors and effect of progesterone supplementation in women with endometriosis undergoing in vitro fertilization. Fertil. Steril. 2013, 100, 127–134.e121. [Google Scholar] [CrossRef] [PubMed]
- Yang, W.-J.; Liu, F.-C.; Hsieh, J.-S.; Chen, C.-H.; Hsiao, S.-Y.; Lin, C.-S. Matrix metalloproteinase 2 level in human follicular fluid is a reliable marker of human oocyte maturation in in vitro fertilization and intracytoplasmic sperm injection cycles. Reprod. Biol. Endocrinol. 2015, 13, 102. [Google Scholar] [CrossRef] [PubMed][Green Version]
- Klimiuk, P.A.; Sierakowski, S.; Latosiewicz, R.; Cylwik, B.; Skowronski, J.; Chwiecko, J. Serum matrix metalloproteinases and tissue inhibitors of metalloproteinases in different histological variants of rheumatoid synovitis. Rheumatology 2002, 41, 78–87. [Google Scholar] [CrossRef][Green Version]
- Gough, A.K.S.; Taylor, D.; Devlin, J.; Smith, J.; Green, M.J.; Astin, P.; Emery, P. Serum MMP-3 and MMP-1 and progression of joint damage in early rheumatoid arthritis. Rheumatology 2003, 42, 83–88. [Google Scholar] [CrossRef]
- Abdallah, M.A.; Lin, P.C.; Nakajima, S.T.; Eblen, A.C.; Kang, S.; Gercel-Taylor, C. Comparisons of matrix metalloproteinase 1, 2, and 9 activity in periovulatory follicular fluid from natural and stimulated menstrual cycles. Fertil. Steril. 2006, 85, 800–801. [Google Scholar] [CrossRef]
- Fujihara, M.; Comizzoli, P.; Keefer, C.L.; Wildt, D.E.; Songsasen, N. Epidermal growth factor (EGF) sustains in vitro primordial follicle viability by enhancing stromal cell proliferation via MAPK and PI3K pathways in the prepubertal, but not adult cat ovary. Biol. Reprod. 2014, 90, 86. [Google Scholar] [CrossRef]
- Nagashima, J.; Wildt, D.E.; Travis, A.J.; Songsasen, N. Follicular size and stage and gonadotropin concentration affect alginate-encapsulated in vitro growth and survival of pre- and early antral dog follicles. Reprod. Fertil. Dev. 2015, 29, 262–273. [Google Scholar] [CrossRef]
- Chansaenroj, A.; Songsasen, N.; Chatdarong, K. Equine chorionic gonadotropin induces in vitro follicular growth from the multi-layered secondary developmental stage in cats. Theriogenology 2019, 123, 116–122. [Google Scholar] [CrossRef] [PubMed]
- Nagashima, J.B.; Hill, A.M.; Songsasen, N. In vitro development of mechanically and enzymatically isolated cat ovarian follicles. Reprod. Fertil. 2021, 2, 35–46. [Google Scholar] [CrossRef] [PubMed]
- Thongkittidilok, C.; Singh, R.P.; Comizzoli, P.; Wildt, D.; Songsasen, N. Insulin promotes preantral follicle growth and antrum formation through temporal expression of genes regulating steroidogenesis and water transport in the cat. Reprod. Fertil. Dev. 2018, 30, 1369–1379. [Google Scholar] [CrossRef] [PubMed]
- Pfaffl, M.W. A new mathematical model for relative quantification in real-time RT–PCR. Nucleic Acids Res. 2001, 29, e45. [Google Scholar] [CrossRef] [PubMed]
- Bates, D.; Mächler, M.; Bolker, B.; Walker, S. Fitting linear mixed-effects models using lme4. arXiv 2014, arXiv:1406.5823. [Google Scholar]
- Hothorn, T.; Bretz, F.; Westfall, P.; Heiberger, R.M.; Schuetzenmeister, A.; Scheibe, S.; Hothorn, M.T. Package ‘multcomp’. In Simultaneous Inference in General Parametric Models; Project for Statistical Computing: Vienna, Austria, 2016. [Google Scholar]
- Roeder, B.A.; Kokini, K.; Sturgis, J.E.; Robinson, J.P.; Voytik-Harbin, S.L. Tensile mechanical properties of three-dimensional type I collagen extracellular matrices with varied microstructure. J. Biomech. Eng. 2002, 124, 214–222. [Google Scholar] [CrossRef] [PubMed]
- Alkmin, S.; Brodziski, R.; Simon, H.; Hinton, D.; Goldsmith, R.H.; Patankar, M.; Campagnola, P.J. Role of collagen fiber morphology on ovarian cancer cell migration using image-based models of the extracellular matrix. Cancers 2020, 12, 1390. [Google Scholar] [CrossRef]
- Nadiarnykh, O.; LaComb, R.B.; Brewer, M.A.; Campagnola, P.J. Alterations of the extracellular matrix in ovarian cancer studied by Second Harmonic Generation imaging microscopy. BMC Cancer 2010, 10, 94. [Google Scholar] [CrossRef]
- Papachroni, K.K.; Piperi, C.; Levidou, G.; Korkolopoulou, P.; Pawelczyk, L.; Diamanti-Kandarakis, E.; Papavassiliou, A.G. Lysyl oxidase interacts with AGE signalling to modulate collagen synthesis in polycystic ovarian tissue. J. Cell. Mol. Med. 2010, 14, 2460–2469. [Google Scholar] [CrossRef]
- Ouni, E.; Bouzin, C.; Dolmans, M.-M.; Marbaix, E.; Pyr dit Ruys, S.; Vertommen, D.; Amorim, C. Spatiotemporal changes in mechanical matrisome components of the human ovary from prepuberty to menopause. Hum. Reprod. 2020, 35, 1391–1410. [Google Scholar] [CrossRef]
- Gobello, C. Prepubertal and pubertal canine reproductive studies: Conflicting aspects. Reprod. Domest. Anim. 2014, 49, e70–e73. [Google Scholar] [CrossRef] [PubMed]
- Concannon, P.W. Reproductive cycles of the domestic bitch. Anim. Reprod. Sci. 2011, 124, 200–210. [Google Scholar] [CrossRef] [PubMed]
- Huet, C.; Monget, P.; Pisselet, C.; Monniaux, D. Changes in extracellular matrix components and steroidogenic enzymes during growth and atresia of antral ovarian follicles in the sheep. Biol. Reprod. 1997, 56, 1025–1034. [Google Scholar] [CrossRef] [PubMed][Green Version]
- Ariel, O.; Yao, S.; Kearney, M.T.; Joudrey, S.D.; Al-Bagdadi, F. Morphometric and ultrastructure studies of primordial follicles and expression of estrogen-dependent genes in the ovaries of domestic cats. J. Microsc. Ultrastruct. 2016, 4, 46–54. [Google Scholar] [CrossRef] [PubMed]
- Murayama, Y.; Constantinou, C.E.; Omata, S. Micro-mechanical sensing platform for the characterization of the elastic properties of the ovum via uniaxial measurement. J. Biomech. 2004, 37, 67–72. [Google Scholar] [CrossRef]
- Nagashima, J.; El Assal, R.; Songsasen, N.; Demirci, U. Evaluation of an ovary-on-a-chip in large mammalian models: Species specificity and influence of follicle isolation status. J. Tissue Eng. Regen. Med. 2018, 12, e1926–e1935. [Google Scholar] [CrossRef]
- Jivago, J.; Paulini, F.; Silva, R.; Araujo, M.; Marinho, A.; Lucci, C. Cryopreservation and characterization of canine preantral follicles. Cryobiology 2018, 81, 34–42. [Google Scholar] [CrossRef]
- Lunardon, N.; Silva-Santos, K.; Justino, R.; Dessunti, G.; Seneda, M.; Martins, M. Population estimate of the preantral follicles and frequency of multioocyte follicles in prepubertal and adult bitches. Theriogenology 2015, 83, 1015–1020. [Google Scholar]
- Carrijo Jr, O.A.; Marinho, A.P.S.; Campos, A.A.; Amorim, C.A.; Báo, S.N.; Lucci, C.M. Morphometry, estimation and ultrastructure of ovarian preantral follicle population in queens. Cells Tissues Organs 2009, 191, 152–160. [Google Scholar] [CrossRef]
- Grosbois, J.; Bailie, E.C.; Kelsey, T.W.; Anderson, R.A.; Telfer, E.E. Spatio-temporal remodelling of the composition and architecture of the human ovarian cortical extracellular matrix during in vitro culture. Hum. Reprod. 2023, 38, 444–458. [Google Scholar] [CrossRef]
- Smitz, J.; Dolmans, M.M.; Donnez, J.; Fortune, J.E.; Hovatta, O.; Jewgenow, K.; Picton, H.M.; Plancha, C.; Shea, L.D.; Stouffer, R.L. Current achievements and future research directions in ovarian tissue culture, in vitro follicle development and transplantation: Implications for fertility preservation. Hum. Reprod. Update 2010, 16, 395–414. [Google Scholar] [CrossRef]
- Fujihara, M.; Yamamizu, K.; Comizzoli, P.; Wildt, D.E.; Songsasen, N. Retinoic acid promotes in vitro follicle activation in the cat ovary by regulating expression of matrix metalloproteinase 9. PLoS ONE 2018, 13, e0202759. [Google Scholar] [CrossRef]
- Löffek, S.; Schilling, O.; Franzke, C.W. Biological role of matrix metalloproteinases: A critical balance. Eur. Respir. J. 2011, 38, 191. [Google Scholar] [CrossRef]
- Das, S.; Mandal, M.; Chakraborti, T.; Mandal, A.; Chakraborti, S. Structure and evolutionary aspects of matrix metalloproteinases: A brief overview. Mol. Cell. Biochem. 2003, 253, 31–40. [Google Scholar] [CrossRef]
- Haq, F.; Ahmed, N.; Qasim, M. Comparative genomic analysis of collagen gene diversity. 3 Biotech 2019, 9, 83. [Google Scholar] [CrossRef]
- Holmes, D.I.R.; Zachary, I. The vascular endothelial growth factor (VEGF) family: Angiogenic factors in health and disease. Genome Biol. 2005, 6, 209. [Google Scholar] [CrossRef][Green Version]
- Higgins, D.F.; Kimura, K.; Iwano, M.; Haase, V.H. Hypoxia-inducible factor signaling in the development of tissue fibrosis. Cell Cycle 2008, 7, 1128–1132. [Google Scholar] [CrossRef]
- Natarajan, S.; Foreman, K.M.; Soriano, M.I.; Rossen, N.S.; Shehade, H.; Fregoso, D.R.; Eggold, J.T.; Krishnan, V.; Dorigo, O.; Krieg, A.J.; et al. Collagen remodeling in the hypoxic tumor-mesothelial niche promotes ovarian cancer metastasis. Cancer Res. 2019, 79, 2271–2284. [Google Scholar] [CrossRef]
- Chiti, M.C.; Dolmans, M.M.; Mortiaux, L.; Zhuge, F.; Ouni, E.; Shahri, P.A.K.; Van Ruymbeke, E.; Champagne, S.D.; Donnez, J.; Amorim, C.A. A novel fibrin-based artificial ovary prototype resembling human ovarian tissue in terms of architecture and rigidity. J. Assist. Reprod. Genet. 2018, 35, 41–48. [Google Scholar] [CrossRef]
- Xiang, D.; Zhou, E.; Wang, M.; Wang, K.; Zhou, S.; Ma, Q.; Zhong, Z.; Ye, Q.; Chen, Y.; Fan, X.; et al. Artificial ovaries constructed from biodegradable chitin-based hydrogels with the ability to restore ovarian endocrine function and alleviate osteoporosis in ovariectomized mice. Reprod. Biol. Endocrinol. 2023, 21, 49. [Google Scholar] [CrossRef]





| Species | Gene | Primer Sequence | Accession | Size | Efficiency |
|---|---|---|---|---|---|
| Cat | ACTB | F: ATCCACGAGACCACCTTC R: CACCGTGTTAGCGTAGAG | AB051104.1 | 75 | 2.00 |
| CASP3 | F: CCACAGCCCCTGGTTACTAC R: TTCTGTTGCCACCTTTCGGT | NM_001009338.1 | 146 | 2.04 | |
| GDF9 | F: CATCCGTGGACCTGCTATTT R: CCAGGTTGCACACACATTTC | NM_001165900.1 | 129 | 1.96 | |
| PCNA | F: TCTGCAAGTGGAGAACTAGGA R: GTTACTGTAGGAGAGAGCGGA | XM_003983740.5 | 170 | 1.99 | |
| VEGF | F: CAGATGGAGAGCACAAACC R: ATACTCGATCTCATCAGGGT | XM_023253550.1 | 122 | 2.01 | |
| ZPA | F: GGGAAGTTAAAATCTGTGAGC R: TGGTTTTGTCTGGTGACTG | NM_001009875.1 | 324 | 2.01 | |
| ZPB | F: GGTGGCAGCTAGAGATGTGAG R: CGTTCTGTGGCGGATAGAGAC | XM_045039853.1 | 292 | 2.08 | |
| ZPC | F: CAGGCCGAAGTCCACAC R: TCATGTTTCTGGGGTCATTAG | NM_001009330.2 | 238 | 2.33 | |
| Dog | ACTB | F: TCGCTGACAGGATGCAGAAG R: GTGGACAGTGAGGCCAGGAT | XM_845524.1 | 127 | 2.20 |
| CASP3 | F: TTCATTATTCAGGCCTGCCGAGG R: TTCTGACAGGCCATGTCATCCTCA | NM_001419300.1 | 86 | 1.95 | |
| GDF9 | F: CAGAAGGGAGGTCTGTCTGC R: TGTTGGGGGAAAAGAAAGTG | NM_001168013.1 | 170 | 1.92 | |
| PCNA | F: TCTGCAAGTGGAGAACTAGGA R: GTTACTGTAGGAGAGAGCGGA | XM_038571681.1 | 170 | 1.91 | |
| VEGF | F: GTGCCCACTGAGGAGTTCAAC R: CCCTATGTGCTGGCCTTGAT | NM_001003175.2 | 72 | 2.20 |
Disclaimer/Publisher’s Note: The statements, opinions and data contained in all publications are solely those of the individual author(s) and contributor(s) and not of MDPI and/or the editor(s). MDPI and/or the editor(s) disclaim responsibility for any injury to people or property resulting from any ideas, methods, instructions or products referred to in the content. |
© 2023 by the authors. Licensee MDPI, Basel, Switzerland. This article is an open access article distributed under the terms and conditions of the Creative Commons Attribution (CC BY) license (https://creativecommons.org/licenses/by/4.0/).
Share and Cite
Nagashima, J.B.; Zenilman, S.; Raab, A.; Aranda-Espinoza, H.; Songsasen, N. Comparative Tensile Properties and Collagen Patterns in Domestic Cat (Felis catus) and Dog (Canis lupus familiaris) Ovarian Cortical Tissues. Bioengineering 2023, 10, 1285. https://doi.org/10.3390/bioengineering10111285
Nagashima JB, Zenilman S, Raab A, Aranda-Espinoza H, Songsasen N. Comparative Tensile Properties and Collagen Patterns in Domestic Cat (Felis catus) and Dog (Canis lupus familiaris) Ovarian Cortical Tissues. Bioengineering. 2023; 10(11):1285. https://doi.org/10.3390/bioengineering10111285
Chicago/Turabian StyleNagashima, Jennifer B., Shoshana Zenilman, April Raab, Helim Aranda-Espinoza, and Nucharin Songsasen. 2023. "Comparative Tensile Properties and Collagen Patterns in Domestic Cat (Felis catus) and Dog (Canis lupus familiaris) Ovarian Cortical Tissues" Bioengineering 10, no. 11: 1285. https://doi.org/10.3390/bioengineering10111285
APA StyleNagashima, J. B., Zenilman, S., Raab, A., Aranda-Espinoza, H., & Songsasen, N. (2023). Comparative Tensile Properties and Collagen Patterns in Domestic Cat (Felis catus) and Dog (Canis lupus familiaris) Ovarian Cortical Tissues. Bioengineering, 10(11), 1285. https://doi.org/10.3390/bioengineering10111285

