The Assessment of Climate Change Impacts and Land-use Changes on Flood Characteristics: The Case Study of the Kelani River Basin, Sri Lanka
Abstract
1. Introduction
2. Material and Methods
2.1. Study Area
2.2. Hydro-Climatic and Remote Sensed Data
2.3. Land-use and Land Cover Analysis
2.4. Analysing Flood Characteristics
2.5. Precipitation Trend Analysis
3. Results and Discussion
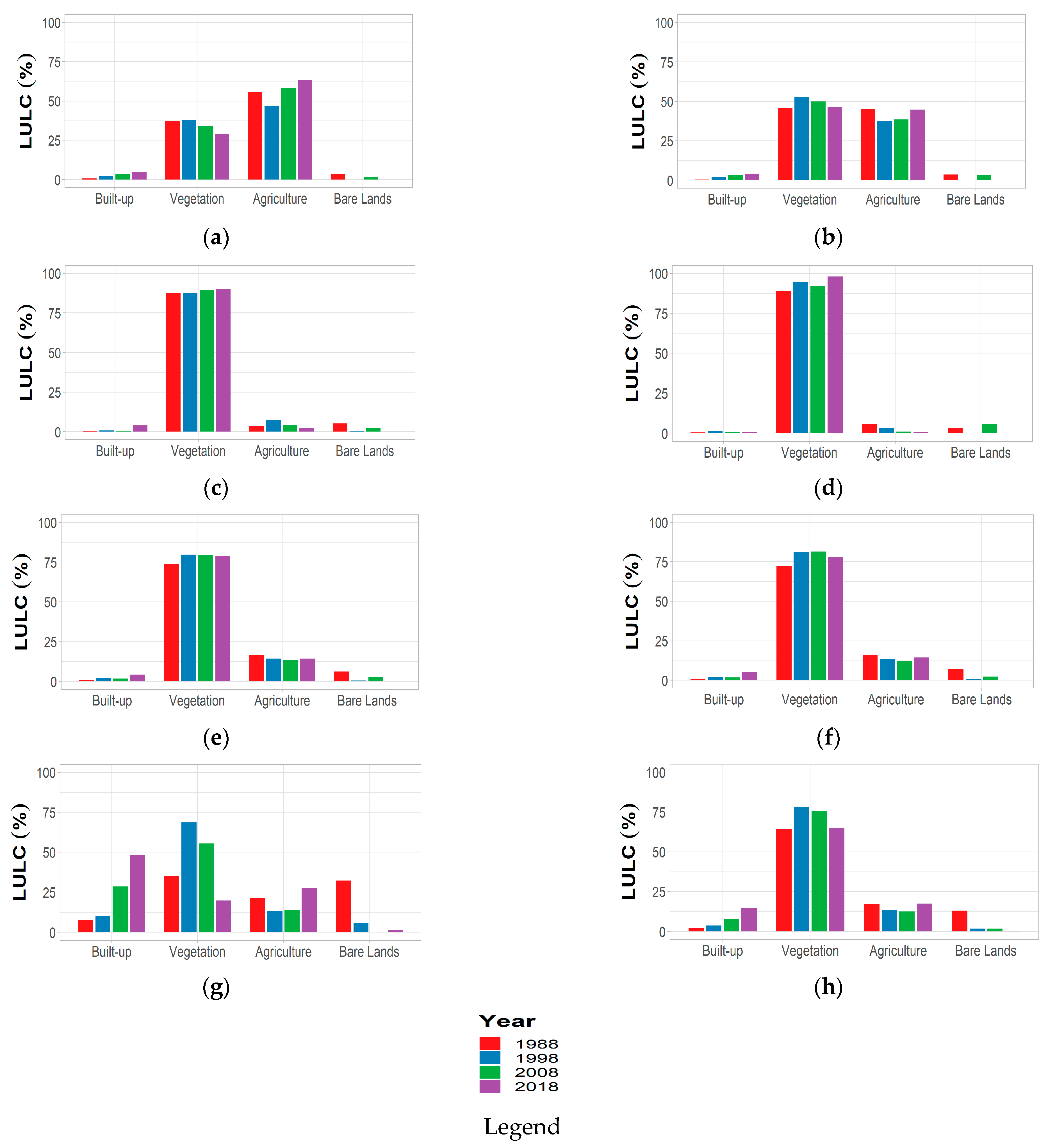
3.1. Land-use Land Cover Variation of the Kelani River Basin
3.2. Hydro–Climatic Characteristics
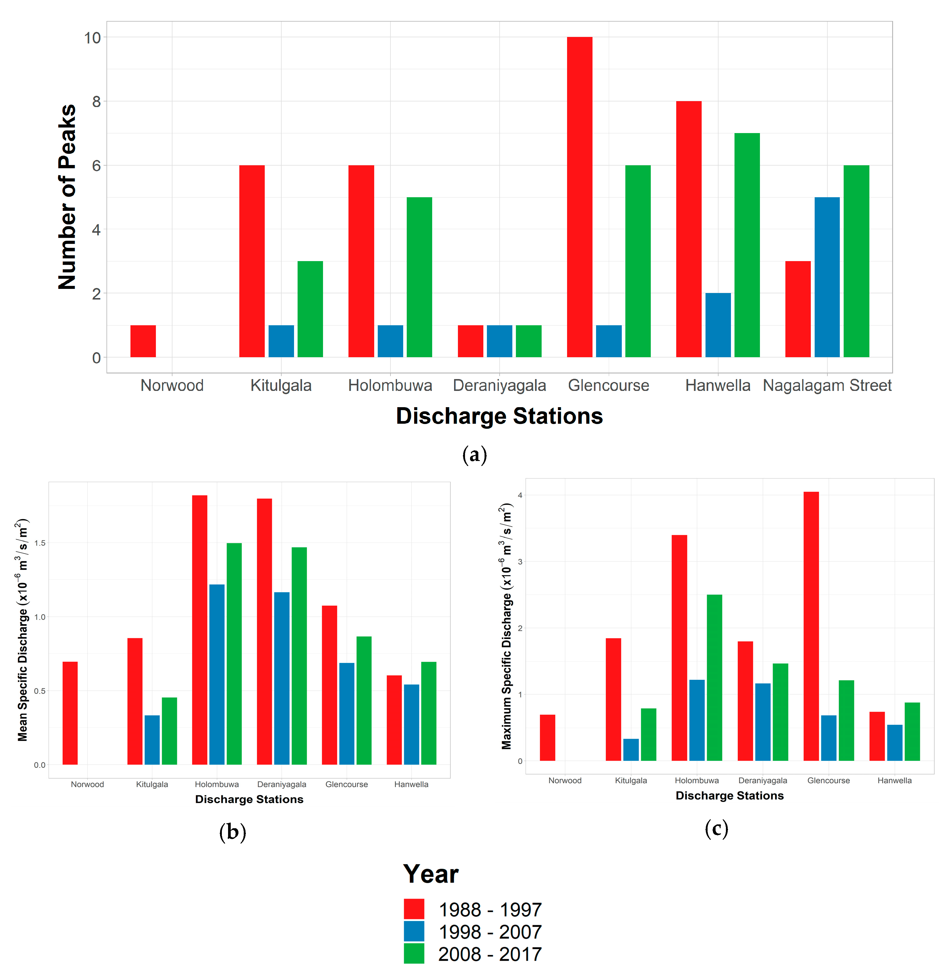
3.2.1. POT Analysis of Flood Characteristics
3.2.2. Precipitation and Temperature Trend Analysis
3.3. Comparison of Flood Inundation Areas Based on Historical Flood Events
3.4. Relationship between Flooding and Hydro-Climatic Characteristics and LULC in the Basin
4. Summary and Conclusions
- LULC of the Kelani River basin reveals that the vegetation and bare land have depleted over time, and the built-up areas have grown rapidly.
- The flood frequency of all the subbasins except the lower Kelani basin was reduced. Similarly, the mean and maximum flood peaks were also reduced in all the subbasins except for the Hanwella subbasin.
- The long-term precipitation trend analysis reveals that the Kithulgala subbasin is undergoing a reduction in rainfall that is significant compared with other subbasins, but Norwood and Deraniyagala subbasins also showed a decreasing trend. However, Hanwella and lower Kelani basins are experiencing an increasing trend but are not significant.
- The temperature does not have a significant increase or decrease over the decades in any of the subbasins.
- The inundation comparisons for two extreme flood events with different magnitudes showed newly inundated areas in the Lower Kelani basin. That was a result of urban developments.
- The meteorological characteristics and LULC of all subbasins with flood characteristics showed significant correlations.
Author Contributions
Funding
Institutional Review Board Statement
Informed Consent Statement
Data Availability Statement
Acknowledgments
Conflicts of Interest
References
- Shen, G.; Hwang, S.N. Spatial–Temporal snapshots of global natural disaster impacts Revealed from EM-DAT for 1900–2015. Geomat. Nat. Hazards Risk 2019, 10, 912–934. [Google Scholar] [CrossRef]
- CRED. The Human Costs of Natural Disasters: A Global Perspective, Center for Research on the Epidemiology of Disasters; Université catholique de Louvain: Brussels, Belgium, 2015. [Google Scholar]
- Chowdhuri, I.; Pal, S.C.; Chakrabortty, R. Flood susceptibility mapping by ensemble evidential belief function and binomial logistic regression model on river basin of eastern India. Adv. Space Res. 2020, 65, 1466–1489. [Google Scholar] [CrossRef]
- Nofal, O.; van de Lindt, J. Understanding flood risk in the context of community resilience modeling for the built environment: Research needs and trends. Sustain. Resilient Infrastruct. 2020, 7, 171–187. [Google Scholar] [CrossRef]
- Shuka, K.; Ke, W.; Sohail Nazar, M.; Abubakar, G.; Shahtahamssebi, A. Impact of Hydrological Infrastructure Projects on Land Use/Cover and Socioeconomic Development in Arid Regions—Evidence from the Upper Atbara and Setit Dam Complex, Kassala, Eastern Sudan. Sustainability 2022, 14, 3422. [Google Scholar] [CrossRef]
- Ingle, K.; Chattopadhyay, S. A Place-based Approach to Assess the Vulnerability of Communities to Urban Floods: Case of Nagpur, India. Int. J. Disaster Risk Reduct. 2022, 75, 1–25. [Google Scholar] [CrossRef]
- Hemmati, M.; Kornhuber, K.; Kruczkiewicz, A. Enhanced urban adaptation efforts needed to counter rising extreme rainfall risks. NPJ Urban Sustain. 2022, 2, 1–5. [Google Scholar] [CrossRef]
- Sun, X.; Zhang, G.; Wang, J.; Li, C.; Wu, S.; Li, Y. Spatiotemporal variation of flash floods in the Hengduan Mountains region affected by rainfall properties and land use. Nat. Hazards 2021, 111, 465–488. [Google Scholar] [CrossRef]
- Janizadeh, S.; Pal, S.C.; Saha, A.; Chowdhuri, I.; Ahmadi, K.; Mirzaei, S.; Mosavi, A.H.; Tiefenbacher, J.P. Mapping the spatial and temporal variability of flood hazard affected by climate and land-use changes in the future. J. Environ. Manag. 2021, 298, 113551. [Google Scholar] [CrossRef]
- Costache, R.; Hong, H.; Wang, Y. Identification of torrential valleys using GIS and a novel hybrid integration of artificial intelligence, machine learning and bivariate statistics. Catena 2019, 183, 104179. [Google Scholar] [CrossRef]
- Verma, S.; Sharma, A.; Yadava, P.; Gupta, P.; Singh, J.; Payra, S. Rapid flash flood calamity in Chamoli, Uttarakhand region during Feb 2021: An analysis based on satellite data. Nat. Hazards 2022, 112, 1379–1393. [Google Scholar] [CrossRef]
- Zhang, Q.; Wang, Y. Distribution of hazard and risk caused by agricultural drought and flood and their correlations in summer monsoon–affected areas of China. Theor. Appl. Climatol. 2022, 149, 965–981. [Google Scholar] [CrossRef]
- Pörtner, H.-O.; Roberts, D.C.; Tignor, M.; Poloczanska, E.S.; Mintenbeck, K.; Alegría, A.; Craig, M.; Langsdorf, S.; Löschke, S.; Möller, V.; et al. (Eds.) IPCC, 2022: Climate Change 2022: Impacts, Adaptation, and Vulnerability; Contribution of Working Group II to the Sixth Assessment Report of the Intergovernmental Panel on Climate Change; Cambridge University Press: Cambridge, UK, 2022; in press. [Google Scholar]
- Shukla, P.R.; Skea, J.; Buendia, E.C.; Masson-Delmotte, V.; Pörtner, H.-O.; Roberts, D.C.; Zhai, P.; Slade, R.; Connors, S.; van Diemen, R. (Eds.) IPCC Summary for Policymakers. In Climate Change and Land: An IPCC Special Report on Climate Change, Desertification, Land Degradation, Sustainable Land Management, Food Security, and Greenhouse Gas Fluxes in Terrestrial Ecosystems; IPCC: Geneva, Switzerland, 2019. [Google Scholar]
- Takeshima, A.; Kim, H.; Shiogama, H.; Lierhammer, L.; Scinocca, J.F.; Seland, Ø.; Mitchell, D. Projected climate over the Greater Horn of Africa under 1.5 °C and 2 °C global warming. Environ. Res. Lett. 2018, 13, 1–11. [Google Scholar] [CrossRef]
- Wang, H.; Yang, T.; Chen, J.; Bell, S.M.; Wu, S.; Jiang, Y.; Huang, S. Effects of free-air temperature increase on grain yield and greenhouse gas emissions in a double rice cropping system. Field Crops Res. 2022, 281, 1–9. [Google Scholar] [CrossRef]
- IPCC Climate Change 2014: Synthesis Report. Contribution of Working Groups I, II and III to the Fifth Assessment Report of the In-tergovernmental Panel on Climate Change; Core Writing Team, Pachauri, R.K., Meyer, L.A., Eds.; IPCC: Geneva, Switzerland, 2014; p. 151. ISBN 9789291691432. [Google Scholar]
- Rapeli, M.; Mussalo-Rauhamaa, H. Intensive and residential elderly care services responding to heat wave–case Finland. Nord. Soc. Work Res. 2022, 1–12. [Google Scholar] [CrossRef]
- Wang, G.; Zhang, Q.; Luo, M.; Singh, V.; Xu, C. Fractional contribution of global warming and regional urbanization to intensifying regional heatwaves across Eurasia. Clim. Dyn. 2022, 59, 1521–1537. [Google Scholar] [CrossRef]
- Shukla, J.; Verma, M.; Misra, A. Effect of global warming on sea level rise: A modeling study. Ecol. Complex. 2017, 32, 99–110. [Google Scholar] [CrossRef]
- Galbraith, H.; Jones, R.; Park, R.; Clough, J.; Herrod-Julius, S.; Harrington, B.; Page, G. Global Climate Change and Sea Level Rise: Potential Losses of Intertidal Habitat for Shorebirds. Waterbirds 2002, 25, 173–183. [Google Scholar] [CrossRef]
- Meehl, G.A.; Washington, W.M.; Collins, W.D.; Arblaster, J.M.; Hu, A.; Buja, L.E.; Teng, H. How Much More Global Warming and Sea Level Rise? Science 2005, 307, 1769–1772. [Google Scholar] [CrossRef]
- Choudhury, A.; Haque, M.; Quadir, D. Consequences of global warming and sea level rise in Bangladesh. Mar. Geod. 1997, 20, 13–31. [Google Scholar] [CrossRef]
- Ashrafuzzaman, M.; Santos, F.; Dias, J.; Cerdà, A. Dynamics and Causes of Sea Level Rise in the Coastal Region of Southwest Bangladesh at Global, Regional, and Local Levels. J. Mar. Sci. Eng. 2022, 10, 779. [Google Scholar] [CrossRef]
- Khan, T.; Quadir, D.; Murty, T.; Kabir, A.; Aktar, F.; Sarker, M. Relative Sea Level Changes in Maldives and Vulnerability of Land Due to Abnormal Coastal Inundation. Mar. Geod. 2002, 25, 133–143. [Google Scholar] [CrossRef]
- Sakamoto, A.; Nishiya, K.; Guo, X.; Sugimoto, A.; Nagasaki, W.; Doi, K. Mitigating Impacts of Climate Change Induced Sea Level Rise by Infrastructure Development: Case of the Maldives. J. Disaster Res. 2022, 17, 327–334. [Google Scholar] [CrossRef]
- Merschroth, S.; Miatto, A.; Weyand, S.; Tanikawa, H.; Schebek, L. Lost Material Stock in Buildings due to Sea Level Rise from Global Warming: The Case of Fiji Islands. Sustainability 2020, 12, 834. [Google Scholar] [CrossRef]
- Igbal, M. The Economic Impact of Climate Change on the Agricultural System in Fiji. J. Agric. Sci. 2022, 14, 144–157. [Google Scholar] [CrossRef]
- Gopalakrishnan, T.; Kumar, L. Potential Impacts of Sea-Level Rise upon the Jaffna Peninsula, Sri Lanka: How Climate Change Can Adversely Affect the Coastal Zone. J. Coast. Res. 2020, 36, 951–960. [Google Scholar] [CrossRef]
- Yang, Y.; Park, J.; An, S.; Wang, B.; Luo, X. Mean sea surface temperature changes influence ENSO-related precipitation changes in the mid-latitudes. Nat. Commun. 2021, 12, 1–9. [Google Scholar] [CrossRef]
- Abhishek Kinouchi, T.; Sayama, T. A comprehensive assessment of water storage dynamics and hydroclimatic extremes in the Chao Phraya River Basin during 2002–2020. J. Hydrol. 2021, 603, 1–13. [Google Scholar] [CrossRef]
- Feng, B.; Zhang, Y.; Bourke, R. Urbanization impacts on flood risks based on urban growth data and coupled flood models. Nat. Hazards 2021, 106, 613–627. [Google Scholar] [CrossRef]
- Zhou, Q.; Leng, G.; Su, J.; Ren, Y. Comparison of urbanization and climate change impacts on urban flood volumes: Importance of urban planning and drainage adaptation. Sci. Total Environ. 2019, 658, 24–33. [Google Scholar] [CrossRef]
- Barros, D.F.; Petrere, M., Jr.; Lecours, V.; Butturi-Gomes, D.; Castello, L.; JudithIsa, V. Effects of deforestation and other environmental variables on floodplain fish catch in the Amazon. Fish. Res. 2020, 230, 105643. [Google Scholar] [CrossRef]
- Rogger, M.; Agnoletti, M.; Alaoui, A.; Bathurst, J.; Bodner, G.; Borga, M.; Chaplot, V.; Gallart, F.; Glatzel, G.; Hall, J.; et al. Land use change impacts on floods at the catchment scale: Challenges and opportunities for future research. Water Resour. Res. 2017, 53, 5209–5219. [Google Scholar] [CrossRef] [PubMed]
- Maleki, M.; Eslamian, S.; Mustafa, F.; Madadi, M. Flood Handbook, 1st ed.; CRC Press: Boca Raton, FL, USA, 2022. [Google Scholar]
- Miner, N.; Alipour, A. Bridge Damage, Repair Costs, and Fragilities for Inland Flood Events. J. Bridge Eng. 2022, 27, 1–13. [Google Scholar] [CrossRef]
- Zhang, N.; Alipour, A. Flood risk assessment and application of risk curves for design of mitigation strategies. Int. J. Crit. Infrastruct. Prot. 2022, 36, 1–11. [Google Scholar] [CrossRef]
- Li, M.; Zhang, T.; Tu, Y.; Ren, Z.; Xu, B. Monitoring Post-Flood Recovery of Croplands Using the Integrated Sentinel-1/2 Imagery in the Yangtze-Huai River Basin. Remote Sens. 2022, 14, 690. [Google Scholar] [CrossRef]
- Gourevitch, J.; Diehl, R.; Wemple, B.; Ricketts, T. Inequities in the distribution of flood risk under floodplain restoration and climate change scenarios. People Nat. 2022, 4, 415–427. [Google Scholar] [CrossRef]
- Maiwald, H.; Schwarz, J. Simulative flood damage modelling taking into account inundation level and flow velocity: Uncertainties and strategies for further refinement. WIT Trans. Built Environ. 2022, 208, 27–40. [Google Scholar] [CrossRef]
- Eckstein, D.; Künzel, V.; Schäfer, L.; Winges, M. Who Suffers Most from Extreme Weather Events? Weather-Related Loss Events in 2018 and 1999 to 2018; Germanwatch e.V.: Bonn, Germany, 2020; pp. 1–43. [Google Scholar]
- Herath, S.; Ratnayake, U. Monitoring rainfall trends to predict adverse impacts—A case study from Sri Lanka (1964–1993). Glob. Environ. Chang. 2004, 14, 71–79. [Google Scholar] [CrossRef]
- Randil, C.; Siriwardana, C.; Sandaruwan Rathnayaka, B. A statistical method for pre-estimating impacts from a disaster: A case study of floods in Kaduwela, Sri Lanka. Int. J. Disaster Risk Reduct. 2022, 76, 1–20. [Google Scholar] [CrossRef]
- Perera, C.; Nakamura, S. Improvement of socio-hydrological model to capture the dynamics of combined river and urban floods: A case study in Lower Kelani River Basin, Sri Lanka. Hydrol. Res. Lett. 2022, 16, 40–46. [Google Scholar] [CrossRef]
- De Silva, M.; Kawasaki, A. Modeling the association between socioeconomic features and risk of flood damage: A local-scale case study in Sri Lanka. Risk Anal. 2022, 1–13. [Google Scholar] [CrossRef]
- Manawadu, L.; Wijeratne, V. Anthropogenic drivers and impacts of urban flooding-A case study in Lower Kelani River Basin, Colombo Sri Lanka. Int. J. Disaster Risk Reduct. 2021, 57, 102076. [Google Scholar] [CrossRef]
- Milly, P.C.D.; Wetherald, R.T.; Dunne, K.; Delworth, T.L. Increasing risk of great floods in a changing climate. Nature 2002, 415, 514–517. [Google Scholar] [CrossRef] [PubMed]
- Van Aalst, M.K. The impacts of climate change on the risk of natural disasters. Disasters 2006, 30, 5–18. [Google Scholar] [CrossRef] [PubMed]
- Dissanayaka, K.D.C.R. Climate Extremes and Precipitation Trends in Kelani River Basin, Sri Lanka and Impact on Streamflow Variability under Climate Change (Master of Science); University of Moratuwa: Moratuwa, Sri Lanka, 2017. [Google Scholar]
- Maheng, D.; Ducton, I.; Lauwaet, D.; Zevenbergen, C.; Pathirana, A. The Sensitivity of Urban Heat Island to Urban Green Space—A Model-Based Study of City of Colombo, Sri Lanka. Atmosphere 2019, 10, 151. [Google Scholar] [CrossRef]
- De Silva, G.; Weerakoon, S.; Herath, S. Event Based Flood Inundation Mapping Under the Impact of Climate Change: A Case Study in Lower Kelani River Basin, Sri Lanka. Hydrol. Curr. Res. 2016, 7, 1–4. [Google Scholar] [CrossRef]
- Congedo, L. Semi-Automatic Classification Plugin: A Python tool for the download and processing of remote sensing images in QGIS. J. Open Source Softw. 2021, 6, 3172. [Google Scholar] [CrossRef]
- Makumbura, R.; Samarasinghe, J.; Rathnayake, U. Multidecadal Land Use Patterns and Land Surface Temperature Variation in Sri Lanka. Appl. Environ. Soil Sci. 2022, 2022, 1–11. [Google Scholar] [CrossRef]
- Irannezhad, M.; Minaei, M.; Ahmadian, S.; Chen, D. Impacts of changes in climate and land cover-land use on flood characteristics in Gorganrood Watershed (Northeastern Iran) during recent decades. Geogr. Ann. Ser. A Phys. Geogr. 2018, 100, 340–350. [Google Scholar] [CrossRef]
- Subasinghe, S.; Estoque, R.; Murayama, Y. Spatiotemporal Analysis of Urban Growth Using GIS and Remote Sensing: A Case Study of the Colombo Metropolitan Area, Sri Lanka. ISPRS Int. J. Geo-Inf. 2016, 5, 197. [Google Scholar] [CrossRef]
- Willems, P. A time series tool to support the multi-criteria performance evaluation of rainfall-runoff models. Environ. Model. Softw. 2009, 24, 311–321. [Google Scholar] [CrossRef]
- Samarasinghe, J.T.; Gunathilake, M.B.; Makubura, R.K.; Arachchi, S.M.; Rathnayake, U. Impact of Climate Change and Variability on Spatiotemporal Variation of Forest Cover; World Heritage Sinharaja Rainforest, Sri Lanka. For. Soc. 2022, 6, 355–377. [Google Scholar] [CrossRef]
- Sirisena, D.; Suriyagoda, L.D. Toward sustainable phosphorus management in Sri Lankan rice and vegetable-based cropping systems: A review. Agric. Nat. Resour. 2018, 52, 9–15. [Google Scholar] [CrossRef]
- De Silva, R.; Dayawansa, N.; Ratnasiri, M. A comparison of methods used in estimating missing rainfall data. J. Agric. Sci. 2007, 3, 101–108. [Google Scholar] [CrossRef]
- Haylock, M.; Hofstra, N.; Klein Tank, A.; Klok, E.; Jones, P.; New, M. A European daily high-resolution gridded data set of surface temperature and precipitation for 1950–2006. J. Geophys. Res. 2008, 113, 1–12. [Google Scholar] [CrossRef]
- Mann, H. Nonparametric Tests Against Trend. Econometrica 1945, 13, 245. [Google Scholar] [CrossRef]
- Sen, P. Estimates of the Regression Coefficient Based on Kendall’s Tau. J. Am. Stat. Assoc. 1968, 63, 1379–1389. [Google Scholar] [CrossRef]
- Hirsch, R.; Slack, J. A Nonparametric Trend Test for Seasonal Data With Serial Dependence. Water Resour. Res. 1984, 20, 727–732. [Google Scholar] [CrossRef]
- Khaniya, B.; Jayanayaka, I.; Jayasanka, P.; Rathnayake, U. Rainfall Trend Analysis in Uma Oya Basin, Sri Lanka, and Future Water Scarcity Problems in Perspective of Climate Variability. Adv. Meteorol. 2019, 2019, 1–10. [Google Scholar] [CrossRef]
- Rathnayake, U. Comparison of Statistical Methods to Graphical Methods in Rainfall Trend Analysis: Case Studies from Tropical Catchments. Adv. Meteorol. 2019, 2019, 1–10. [Google Scholar] [CrossRef]
- Dammalage, T.; Jayasinghe, N. Land-use change and its impact on urban flooding: A case study on Colombo district flood on May 2016. Eng. Technol. Appl. Sci. Res. 2019, 9, 3887–3891. [Google Scholar] [CrossRef]
- Hollis, G. The effect of urbanization on floods of different recurrence interval. Water Resour. Res. 1975, 11, 431–435. [Google Scholar] [CrossRef]








| Station Name | Latitude (Degree) | Longitude (Degree) | Data Period | Precipitation Data Availability | Temperature Data Availability | Discharge/Stage Data Availability |
|---|---|---|---|---|---|---|
| Champion | 6.78 | 80.69 | 1988–1989 | Yes | No | No |
| Norwood | 6.836 | 80.615 | 1988–2017 | Yes | No | Yes |
| Laxapana | 6.919 | 80.49 | 1988–2017 | Yes | No | Yes |
| Maliboda | 6.88 | 80.43 | 1988–2017 | Yes | No | No |
| Deraniyagala | 6.924 | 80.338 | 1988–2017 | Yes | No | Yes |
| Kithulgala | 6.989 | 80.418 | 1988–2017 | Yes | No | Yes |
| Holombuwa | 7.18 | 80.26 | 1988–2017 | Yes | No | Yes |
| Chesterford | 7.07 | 80.18 | 1994–2015 | Yes | No | No |
| Avissawella | 6.95 | 80.22 | 1988–2011 | Yes | No | No |
| Glencourse | 6.978 | 80.203 | 1988–2017 | Yes | No | Yes |
| Hanwella | 6.91 | 80.082 | 1988–2017 | Yes | No | Yes |
| Angoda | 6.93 | 79.92 | 1994–2011 | Yes | No | No |
| Colombo | 6.91 | 79.88 | 1988–2017 | Yes | Yes | No |
| Nagalagam Street | 6.96 | 79.88 | 1988–2017 | No | No | Yes |
| Katunayake | 7.17 | 79.88 | 1990–2017 | No | Yes | No |
| Katugastota | 7.33 | 80.63 | 1990–2017 | No | Yes | No |
| Nuwara Eliya | 6.97 | 80.77 | 1990–2017 | No | Yes | No |
| Ratnapura | 6.68 | 80.4 | 1990–2017 | No | Yes | No |
| Subbasin | Period | Built-Up (Δ%) | Vegetation (Δ%) | Agriculture (Δ%) | Bare Lands (Δ%) |
|---|---|---|---|---|---|
| Norwood | 1988–1998 | 58.6 | 1.2 | −8.3 | −97.5 |
| 1998–2008 | 18.6 | −5.7 | 10.6 | 93.5 | |
| 2008–2018 | 15.8 | −8.0 | 4.1 | −100.0 | |
| Kithulgala | 1988–1998 | 58.1 | 7.2 | −9.1 | −85.9 |
| 1998–2008 | 21.4 | −3.0 | 1.4 | 84.2 | |
| 2008–2018 | 9.2 | −3.5 | 7.5 | −100.0 | |
| Holombuwa | 1988–1998 | 60.1 | 0.1 | 33.7 | −76.4 |
| 1998–2008 | −27.1 | 0.9 | −25.4 | 55.6 | |
| 2008–2018 | 77.7 | 0.5 | −29.5 | −100.0 | |
| Deraniyagala | 1988–1998 | 40.3 | 3.0 | −29.5 | −83.0 |
| 1998–2008 | −34.9 | −1.4 | −50.4 | 89.9 | |
| 2008–2018 | 16.3 | 3.1 | −23.8 | −99.9 | |
| Glencourse | 1988–1998 | 52.4 | 3.8 | −7.4 | −83.2 |
| 1998–2008 | −8.1 | −0.2 | −2.8 | 65.4 | |
| 2008–2018 | 38.8 | −0.4 | 2.9 | −98.9 | |
| Hanwella | 1988–1998 | 43.9 | 5.7 | −10.0 | −84.5 |
| 1998–2008 | −3.3 | 0.1 | −4.2 | 56.6 | |
| 2008–2018 | 46.7 | −2.1 | 8.6 | −98.4 | |
| Lower Kelani | 1988–1998 | 13.3 | 32.3 | −24.1 | −69.2 |
| 1998–2008 | 48.3 | −10.6 | 1.7 | −99.9 | |
| 2008–2018 | 25.6 | −47.2 | 34.2 | 99.8 | |
| Entire Kelani River Basin | 1988–1998 | 24.2 | 10.0 | −13.5 | −75.7 |
| 1998–2008 | 34.9 | −1.8 | −2.9 | −0.6 | |
| 2008–2018 | 30.7 | −7.4 | 16.4 | −64.5 |
| Subbasin | Annual Scale | Significant (S)/Insignificant (IS) | Monthly (Summary) | Significant (S)/Insignificant (IS) |
|---|---|---|---|---|
| Norwood | −15.8 | IS | −0.1 | IS |
| Kithulgala | −33.4 | S | −0.2 | IS |
| Holombuwa | −4.9 | IS | 0.0 | IS |
| Deraniayagala | −12.1 | IS | −0.1 | IS |
| Glencourse | 0 | IS | 0.0 | IS |
| Hanwella | 8.4 | IS | 0.1 | IS |
| N Street | 5.4 | IS | 0.0 | IS |
| Subbasin Name | Precipitation and Mean Peak | Precipitation and Maximum Peak | Precipitation and Frequency | Temperature and Maximum Peak | Temperature and Mean Peak | Temperature and Frequency | LULC and Mean Peak | LULC and Maximum Peak | LULC and Frequency |
|---|---|---|---|---|---|---|---|---|---|
| Norwood | 0.27 | 0.27 | 0.27 | −0.05 | −0.05 | −0.05 | −0.82 | −0.82 | −0.82 |
| Kithulgala | 0.51 | 0.5 | 0.47 | 0.16 | 0.14 | 0.19 | −0.6 | −0.55 | −0.46 |
| Holombuwa | 0.08 | 0.09 | 0.1 | −0.13 | −0.15 | −0.11 | −0.53 | −0.42 | −0.22 |
| Deraniyagala | 0.45 | 0.45 | −0.14 | 0.19 | 0.19 | −0.1 | −0.45 | −0.45 | 0.29 |
| Glencourse | 0.17 | 0.16 | 0.24 | 0.2 | 0.2 | 0.11 | 0.62 | 0.66 | −0.44 |
| Hanwella | 0.18 | 0.14 | −0.1 | 0.18 | 0.19 | 0.06 | 0.5 | 0.33 | −0.63 |
| Lower Kelani | −0.04 | −0.04 | 0.07 | 0.25 | 0.25 | −0.27 | −0.55 | −0.54 | 0.93 |
Publisher’s Note: MDPI stays neutral with regard to jurisdictional claims in published maps and institutional affiliations. |
© 2022 by the authors. Licensee MDPI, Basel, Switzerland. This article is an open access article distributed under the terms and conditions of the Creative Commons Attribution (CC BY) license (https://creativecommons.org/licenses/by/4.0/).
Share and Cite
Samarasinghe, J.T.; Makumbura, R.K.; Wickramarachchi, C.; Sirisena, J.; Gunathilake, M.B.; Muttil, N.; Teo, F.Y.; Rathnayake, U. The Assessment of Climate Change Impacts and Land-use Changes on Flood Characteristics: The Case Study of the Kelani River Basin, Sri Lanka. Hydrology 2022, 9, 177. https://doi.org/10.3390/hydrology9100177
Samarasinghe JT, Makumbura RK, Wickramarachchi C, Sirisena J, Gunathilake MB, Muttil N, Teo FY, Rathnayake U. The Assessment of Climate Change Impacts and Land-use Changes on Flood Characteristics: The Case Study of the Kelani River Basin, Sri Lanka. Hydrology. 2022; 9(10):177. https://doi.org/10.3390/hydrology9100177
Chicago/Turabian StyleSamarasinghe, Jayanga T., Randika K. Makumbura, Charuni Wickramarachchi, Jeewanthi Sirisena, Miyuru B. Gunathilake, Nitin Muttil, Fang Yenn Teo, and Upaka Rathnayake. 2022. "The Assessment of Climate Change Impacts and Land-use Changes on Flood Characteristics: The Case Study of the Kelani River Basin, Sri Lanka" Hydrology 9, no. 10: 177. https://doi.org/10.3390/hydrology9100177
APA StyleSamarasinghe, J. T., Makumbura, R. K., Wickramarachchi, C., Sirisena, J., Gunathilake, M. B., Muttil, N., Teo, F. Y., & Rathnayake, U. (2022). The Assessment of Climate Change Impacts and Land-use Changes on Flood Characteristics: The Case Study of the Kelani River Basin, Sri Lanka. Hydrology, 9(10), 177. https://doi.org/10.3390/hydrology9100177

