Assessment of Impacts of Climate Change on Tile Discharge and Nitrogen Yield Using the DRAINMOD Model
Abstract
1. Introduction
2. Materials and Methods
2.1. Description of Study Area
2.2. Model Formulation
2.3. Model Calibration
2.4. Climate Change Simulations
3. Results and Discussion
3.1. Model Calibration
3.2. Model Evaluation
3.2.1. Field-Scale Tile Discharge
3.2.2. Field-Scale Nitrogen Yields
3.3. Climate Change Analysis
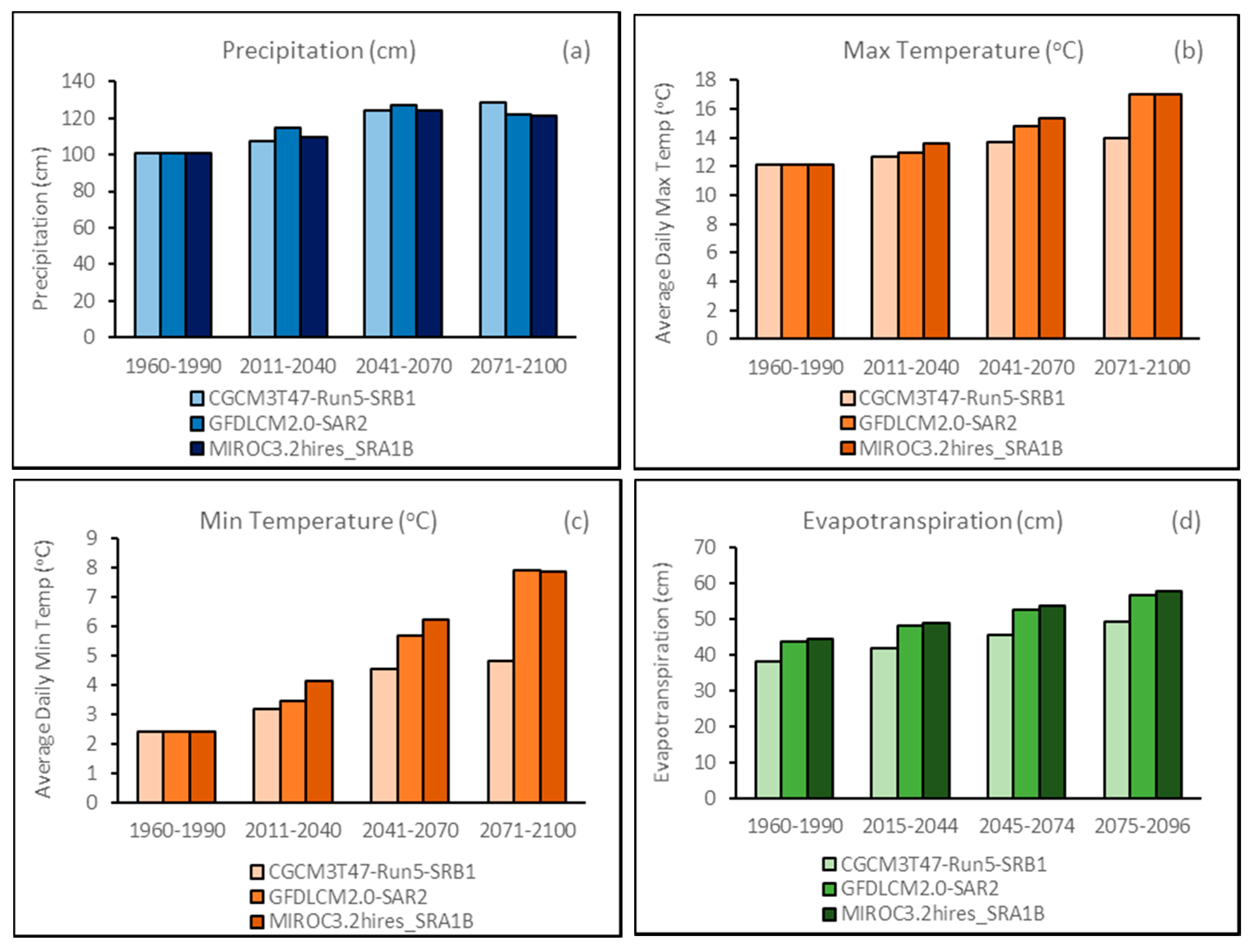
3.3.1. Comparing Past and Future Climates
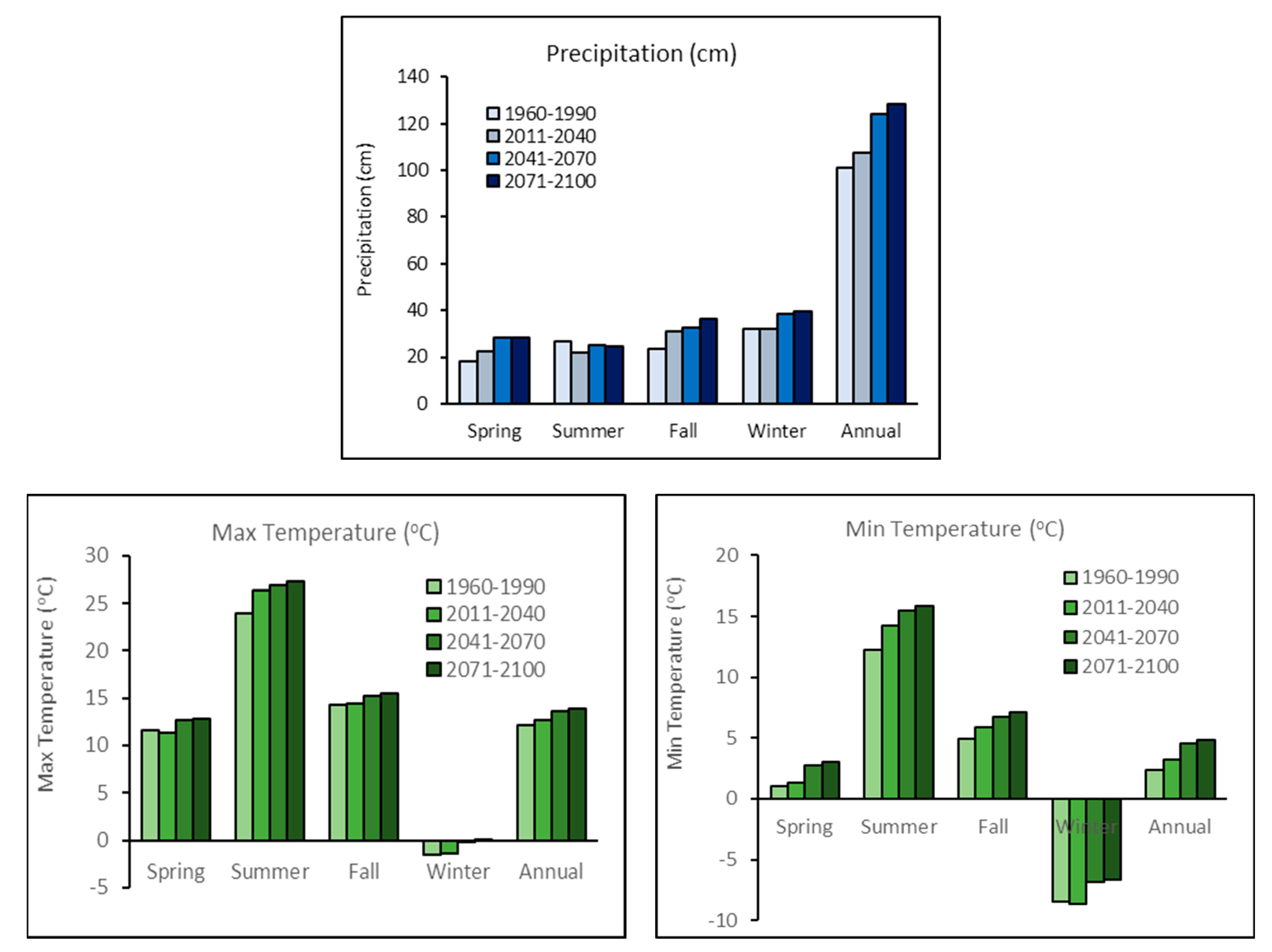
3.3.2. Effects of Climate Change on Water Balances
3.3.3. Effects of Climate Change on Tile Discharge and Nitrogen Yields
4. Conclusions
Author Contributions
Funding
Data Availability Statement
Acknowledgments
Conflicts of Interest
References
- Gorgoglione, A.; Gregorio, J.; Ríos, A.; Alonso, J.; Chreties, C.; Fossati, M. Influence of Land Use/Land Cover on Surface-Water Quality of Santa Lucía River, Uruguay. Sustainability 2020, 12, 4692. [Google Scholar] [CrossRef]
- Wang, X.; Zhang, F. Effects of land use/cover on surface water pollution based on remote sensing and 3D-EEM fluorescence data in the Jinghe Oasis. Sci. Rep. 2018, 8, 1–13. [Google Scholar] [CrossRef]
- Kändler, M.; Blechinger, K.; Seidler, C.; Pavlů, V.; Šanda, M.; Dostál, T.; Krása, J.; Vitvar, T.; Štich, M. Impact of land use on water quality in the upper Nisa catchment in the Czech Republic and in Germany. Sci. Total Environ. 2017, 586, 1316–1325. [Google Scholar] [CrossRef]
- O’Neill, P. Modelling Tile Drains under Present and Future Climate Conditions. Master’s Thesis, University of Waterloo, Waterloo, ON, Canada, 2008. [Google Scholar]
- Patni, N.K.; Masse, L.; Jui, P.Y. Tile effluent quality and chemical losses under conventional and no tillage. Part1. Flow and Nitrate. Trans. ASAE 1996, 39, 1673–1679. [Google Scholar] [CrossRef]
- Sharma, V.; Negi, S.C.; Rudra, R.P.; Yamg, S. Neural networks for predicting nitrate-nitrogen in drainage water. J. Agric. Water Manag. 2003, 63, 169–183. [Google Scholar] [CrossRef]
- Wang, Z.; Qi, Z.; Xue, L.; Bukovsky, M. RZWQM2 simulated management practices to mitigate climate change impacts on nitrogen losses and corn production. Environ. Model. Softw. 2016, 84, 99–111. [Google Scholar] [CrossRef]
- Sojka, M.; Kozłowski, M.; Kęsicka, B.; Wróżyński, R.; Stasik, R.; Napierała, M.; Jaskuła, J.; Liberacki, D. The Effect of Climate Change on Controlled Drainage Effectiveness in the Context of Groundwater Dynamics, Surface, and Drainage Outflows. Central-Western Poland Case Study. Agronomy 2020, 10, 625. [Google Scholar] [CrossRef]
- Jeong, H.; Pittelkow, C.M.; Bhattarai, R. Simulated responses of tile-drained agricultural systems to recent changes in ambient atmospheric gradients. Agric. Syst. 2019, 168, 48–55. [Google Scholar] [CrossRef]
- Quilbé, R.; Rousseau, A.; Moquet, J.; Trinh, N.; Dibike, Y.; Gachon, P.; Chaumont, D. Assessing the effect of climate change on river flow using general circulation models and hydrological modelling. Application to the Chaudiere River (Quebec, Canada). J. Can. Water Resour. 2008, 33, 73–93. [Google Scholar]
- Prodanovic, P.; Simonovic, S.P. Impacts of changing climatic conditions in the Upper Thames River Basin. Can. Water Resour. J. 2007, 32, 265–284. [Google Scholar] [CrossRef][Green Version]
- Rahman, M.; Bolisetti, T.; Balachandar, R. Hydrologic modelling to assess the climate change impacts in a southern Ontario watershed. Can. J. Civ. Eng. 2012, 39, 91–103. [Google Scholar] [CrossRef]
- Champagne, O.; Arain, M.A.; Leduc, M.; Coulibaly, P.; McKenzie, S. Future shift in winter streamflow modulated by the internal variability of climate in southern Ontario. Hydrol. Earth Syst. Sci. 2020, 24, 3077–3096. [Google Scholar] [CrossRef]
- Saleem, S.; Levison, J.; Parker, B.; Martin, R.; Persaud, E. Impacts of climate change and different crop rotation scenarios on groundwater nitrate concentrations in a sandy aquifer. Sustainability 2020, 12, 1153. [Google Scholar] [CrossRef]
- Wang, L.; Flanagan, D.C.; Wang, Z.; Cherkauer, K.A. Climate change impacts on nutrient losses of two watersheds in the Great Lakes region. Water 2018, 10, 442. [Google Scholar] [CrossRef]
- Pease, L.A.; Fausey, N.R.; Martin, J.F.; Brown, L.C. Projected climate change effects on subsurface drainage and the performance of controlled drainage in the Western Lake Erie Basin. J. Soil Water Conserv. 2017, 72, 240–250. [Google Scholar] [CrossRef]
- Mehan, S.; Aggarwal, R.; Gitau, M.W.; Flanagan, D.C.; Wallace, C.W.; Frankenberger, J.R. Assessment of hydrology and nutrient losses in a changing climate in a subsurface-drained watershed. Sci. Total Environ. 2019, 688, 1236–1251. [Google Scholar] [CrossRef]
- Golmohammadi, G.; Rudra, R.P.; Madani, A.; Goel, P.K.; Mohammadi, K. Modeling the impacts of tillage practices on water table depth, drain outflow and nitrogen losses using DRAINMOD. J. Comput. Electron. Agric. 2016, 124, 73–83. [Google Scholar] [CrossRef]
- Hanke, K. Impacts of Climate Change and Controlled Tile Drainage on Water Quality and Quantity in Southern Ontario, Canada. Master’s Thesis, University of Waterloo, Waterloo, ON, Canada, 2018. [Google Scholar]
- Skaggs, R.W. A Water Management Model for Shallow Water Table Soils; Report No. 134.; Water Resources Research Institute of the University of North Carolina: Chapel Hill, NC, USA, 1978. [Google Scholar]
- Youssef, M.A.; Skaggs, R.W.; Chescheir, G.M.; Gilliam, J.W. Field evaluation of a model for predicting nitrogen losses from drained lands. J. Environ. Qual. 2006, 35, 2026–2042. [Google Scholar] [CrossRef]
- Skaggs, R.W.; Youssef, M.A.; Chescheir, G.M. DRAINMOD: Model use, calibration, and validation. Trans. ASABE 2012, 55, 1509–1522. [Google Scholar] [CrossRef]
- Brown, D.M.; Dadfar, H.; Fallow, D.J.; Gordon, R.J.; Lauzon, J.D.; Parkin, G.W. Temporal and Spatial Variability of Water Surplus in Ontario, Canada. Isrn Soil Sci. 2013, 2013, 362895. [Google Scholar] [CrossRef]
- Malota, M.; Senzanje, A. Modelling mid-span water table depth and drainage discharge dynamics using DRAINMOD 6.1 in a sugarcane field in Pongola, South Africa. J. Water Sa 2015, 41, 325–334. [Google Scholar] [CrossRef]
- Askar, M.H.; Youssef, M.A.; Chescheir, G.M.; Negm, L.M.; King, K.W.; Hesterberg, D.L.; Amoozegar, A.; Skaggs, R.W. DRAINMOD Simulation of macropore flow at subsurface drained agricultural fields: Model modification and field testing. Agric. Water Manag. 2020, 242, 106401. [Google Scholar] [CrossRef]
- Adhikari, N.; Davidson, P.C.; Cooke, R.A.; Book, R.S. Drainmod-linked Interface for Evaluating Drainage System Response to Climate Scenarios. Appl. Eng. Agric. 2020, 36, 303–319. [Google Scholar] [CrossRef]
- Singh, M.; Prasher, S.O.; Tan, C.; Tejawat, C. Evaluation of DRAINMOD for Southern Ontario conditions. Can. Water Resour. 1994, 19, 313. [Google Scholar] [CrossRef][Green Version]
- Shukla, M.B.; Prasher, S.O.; Madani, A.; Gupta, G.P. Field validation of DRAINMOD in Atlantic Canda. J. Can. Agric. Eng. 1994, 36, 205–213. [Google Scholar]
- Luo, W.; Skaggs, R.W.; Chescheir, G.M. DRAINMOD modifications for cold conditions. Trans. ASAE 2000, 43, 1569–1582. [Google Scholar] [CrossRef]
- Luo, W.; Skaggs, R.W.; Madani, A.; Cizikci, S.; Mavi, A. Predicting field hydrology in cold conditions with DRAINMOD. Trans. ASAE 2001, 44, 825–834. [Google Scholar]
- Youssef, M.A.; Skaggs, R.W.; Reynolds, W.R.; Chescheir, G.M.; Gilliam, J.W. Field evaluation of DRAINMOD5.1 using six years of data from an artificially drained agricultural field in North Carolina. In Proceedings of the ASAE Annual International Meeting, Las Vegas, NV, USA, 27–30 July 2003. [Google Scholar]
- Yang, C.; Prasher, S.; Wang, S.; Kim, S.; Tan, C.; Drury, C.; Patel, R. Simulation of nitrate-N movement in Southern Ontario, Canada with DRAINMOD-N. Agric. Water Manag. 2007, 87, 299–306. [Google Scholar] [CrossRef]
- Salazar, O.; Wesstrom, I.; Youssef, M.A. Evaluation of DRAINMOD-N II model for predicting nitrogen losses in a loamy sand under cultivation in south-east Sweden. J. Agric. Water Manag. 2009, 96, 267–281. [Google Scholar] [CrossRef]
- Dayyani, S.; Madramootoo, C.A.; Enright, P.; Simard, G.; Gullamudi, A.; Prasher, S.O.; Madani, A. Field evaluation of DRAINMOD 5.1 under a cold climate: Simulation of daily midspan water table depths and drain outflows. J. Am. Water Resour. Assoc. 2009, 45, 779–792. [Google Scholar] [CrossRef]
- Dayyani, S.; Prasher, S.O.; Madramootoo, C.A.; Madani, A. Modeling water table depths, drain outflow, and nitrogen losses in cold climate using DRAINMOD 5.1. Trans. ASABE 2010, 53, 385–395. [Google Scholar] [CrossRef]
- Golmohammadi, G.; Prasher, S.O.; Madani, A.; Rudra, R.P.; Youssef, M.A. SWATDRAIN, a new model to simulate the hydrology of agricultural lands, model development and evaluation. J. Biosyst. Eng. 2016, 141, 31–47. [Google Scholar] [CrossRef]
- Golmohammadi, G.; Rudra, R.P.; Madani, A.; Goel, P.K.; Mohammadi, K. Modeling the effects of controlled drainage at a watershed scale using SWATDRAIN. Arab. J. Geosci. 2016, 9, 3–7. [Google Scholar] [CrossRef]
- Saadat, S.; Frankenberger, J.; Bowling, L.; Ale, S. Evaluation of Surface Ponding and Runoff Generation in a Seasonally Frozen Drained Agricultural Field. J. Hydrol. 2020, 588, 124985. [Google Scholar] [CrossRef]
- Skaggs, R.W. DRAINMOD Reference Report. Methods for Design and Evaluation of Drainage Water Management Systems for Soils with High Water Tables; USDA-SCS, South National Technical Report #329 Center; United States Department of Agriculture Soil Conservation Service: Washington, DC, USA, 1980.
- Plach, J.M.; Macrae, M.L.; Ali, G.A.; Brunke, R.R.; English, M.C.; Ferguson, G.; Opolko, G. Supply and transport limitations on phosphorus losses from agricultural fields in the lower Great Lakes region, Canada. J. Environ. Qual. 2018, 47, 96–105. [Google Scholar] [CrossRef]
- Plach, J.; Pluer, W.; Macrae, M.; Kompanizare, M.; McKague, K.; Carlow, R.; Brunke, R. Agricultural edge-of-field phosphorus losses in Ontario, Canada: Importance of the nongrowing season in cold regions. J. Environ. Qual. 2019, 48, 813–821. [Google Scholar] [CrossRef]
- Lozier, T.M.; Macrae, M.L.; Brunke, R.; Van Eerd, L.L. Release of phosphorus from crop residue and cover crops over the non-growing season in a cool temperate region. Agric. Water Manag. 2017, 189, 39–51. [Google Scholar] [CrossRef]
- Van Esbroeck, C.J.; Macrae, M.L.; Brunke, R.R.; McKague, K. Surface and subsurface phosphorus export from agricultural fields during peak flow events over the nongrowing season in regions with cool, temperate climates. J. Soil Water Conserv. 2017, 72, 65–76. [Google Scholar] [CrossRef]
- Lozier, T. Potential and Observed Release of Phosphorus from Crop Residue and Cover Crops over the Non-growing Season in a Cool Temperate Region. Master’s Thesis, University of Waterloo, Waterloo, ON, Canada, 2016. [Google Scholar]
- Pluer, W.T.; Macrae, M.; Buckley, A.; Reid, K. Contribution of preferential flow to tile drainage varies spatially and temporally. Vadose Zone J. 2020, 19, e20043. [Google Scholar] [CrossRef]
- Eimers, M.C.; Liu, F.; Bontje, J. Land Use, Land Cover, and Climate Change in Southern Ontario: Implications for Nutrient Delivery to the Lower Great Lakes; Springer: Cham, Switzerland, 2020. [Google Scholar]
- Rudra, R.P.; Mekonnen, B.A.; Shukla, R.; Shrestha, N.K.; Goel, P.K.; Daggupati, P.; Biswas, A. Currents Status, Challenges, and Future Directions in Identifying Critical Source Areas for Non-Point Source Pollution in Canadian Conditions. Agriculture 2020, 10, 468. [Google Scholar] [CrossRef]
- Van Esbroeck, C.J. Edge of Field Phosphorus Export via Tile Drainage and Overland Flow from Reduced Tillage Systems in Ontario. Master’s Thesis, University of Waterloo, Waterloo, ON, Canada, 2015. [Google Scholar]
- Hoffman, D.W.; Richards, N.R. Soil Survey of Perth County; Experimental Farms Service; Canada Department of Agriculture and the Ontario Agricultural College: Guelph, ON, Canada, 1952; Volume 15. [Google Scholar]
- Youssef, M.A.; Skaggs, R.W.; Chescheir, G.M.; Gilliam, J.W. The nitrogen simulation model, DRAINMOD-N II. Trans. ASABE 2005, 48, 611–626. [Google Scholar] [CrossRef]
- Wang, S.; Prasher, S.O.; Patel, R.M.; Yang, C.C.; Kim, S.H.; Madani, A.; Macdonald, P.M.; Robertson, S.D. Fate and transport of nitrogen compounds in a cold region soil using DRAINMOD. J. Comput. Electron. Agric. 2006, 53, 113–121. [Google Scholar] [CrossRef]
- Penrod, E.B.; Walton, W.W.; Terrel, D.V. A method to describe soil temperature variation. J. Soil Mech. ASCE 1958, 1537, 1–21. [Google Scholar]
- Gupta, H.V.; Sorooshian, S.; Yapo, P.O. Status of automatic calibration for hydrologic models: Comparison with multilevel expert calibration. J. Hydrol. Eng. 1999, 4, 135–143. [Google Scholar] [CrossRef]
- Nash, J.E.; Sutcliffe, J.V. River flow forecasting through conceptual models: Part 1. A discussion of principles. J. Hydrol. 1970, 10, 282–290. [Google Scholar] [CrossRef]
- Nakićenović, N.; Swart, R. (Eds.) Special Report on Emissions Scenarios. A Special Report of Working Group III of the Intergovernmental Panel on Climate Change; Cambridge University Press: Cambridge, UK; New York, NY, USA, 2000; p. 599. [Google Scholar]
- Das, S.; Millington, N.; Simonovic, S.P. Distribution choice for the assessment of design rainfall for the city of London (ON, Canada) under climate change. Can. J. Civ. Eng. 2013, 40, 121–129. [Google Scholar] [CrossRef]
- Chan, A.; Chow, T. Energy and economic performance of green roof system under future climatic conditions in Hong Kong. Energy Build. 2013, 64, 182–198. [Google Scholar] [CrossRef]
- Slamova, K.; Koehl, M. Measurement and GIS-based spatial modelling of copper corrosion in different environments in Europe. Mater. Corros. 2017, 68, 20–29. [Google Scholar] [CrossRef]
- Wang, X.; Gordon, H. Ontario Climate Change Data Portal. 2013. Available online: http://www.ontarioccdp.ca (accessed on 12 September 2017).
- Gebremeskel, S.; Liu, Y.B.; de Smedt, F.; Hoffmann, L.; Pfister, L. Analysing the effect of climate changes on streamflow using statistically downscaled GCM scenarios. Int. J. River Basin Manag. 2005, 2, 271–280. [Google Scholar] [CrossRef]
- Coulibaly, P.; Shi, X. Identification of the Effect of Climate Change on Future Design Standards of Drainage Infrastructure in Ontario. Ministry of Transportation of Ontario, Highway Infrastructure Innovation Funding Program. 2005. Available online: http://www.cspi.ca/sites/default/files/download/Final_MTO_Report_June2005rv.pdf (accessed on 12 September 2017).
- Chin, P.; Meyer, P. Orangeville, Mono and Amaranth Water Quantity Risk Management and Climate Change Adaptation Assessment Piolet Study. Report Prepared for Toronto and Region Conservation Authority; Matrix Solutions Inc.: Breslau, ON, Canada, 2014; Available online: https://ctcswp.ca/wp-content/uploads/2014/08/RPT_20140829_RMMEP.pdf (accessed on 11 September 2017).
- Kassenaar, D.; Wexler, E.J. Tier 3 Water Budget and Local Area Risk Assessment for the Region of York. Municipal Supplies—Risk Assessment Report. Prepared for “The Regional Municipality of York Transportation and Works Department”; Earthfx Inc.: 3363 Young St., Toronto, ON, Canada, 2013; Available online: https://www.ctcswp.ca/wp-content/uploads/2017/05/RPT_201311_Earthfx_York_Tier3WBLocAreaRiskAssFNL.pdf (accessed on 11 September 2017).
- Sunyer, M.A.; Madsen, H.; Ang, P.H. A comparison of different regional climate models and statistical downscaling methods for extreme rainfall estimation under climate change. Atmos. Res. 2012, 103, 119–128. [Google Scholar] [CrossRef]
- Coulibaly, P.; Burn, D.H.; Switzman, H.; Henderson, J.; Fausto, E. A Comparison of Future IDF Curves for Southern Ontario: A Comparison of Future IDF Curves for Southern Ontario. 2016. Available online: https://climateconnections.ca/wp-content/uploads/2014/01/IDF-Comparison-Report-and-Addendum.pdf (accessed on 12 September 2017).
- Chiotti, Q.; Tonto, F.; Perun, M. Ontario Regional Adaptation Collaborative Project- Weather and Water Information Gateway- Gaps Analysis Report. 2012. Available online: http://www.climateontario.ca/doc/ORAC_Products/WaterManagement/Gaps_Analysis_Report-Final_with_TOC.pdf (accessed on 12 September 2017).
- Moriasi, D.N.; Arnold, J.G.; Van Liew, M.W.; Bingner, R.L.; Harmel, R.D.; Veith, T.L. Model evaluation guidelines for systematic quantification of accuracy in watershed simulations. Trans. ASABE 2007, 50, 885–900. [Google Scholar] [CrossRef]
- Bosch, N.S.; Evans, M.A.; Scavia, D.; Allan, J.D. Interacting effects of climate change and agricultural BMPs on nutrient runoff entering Lake Erie. J. Great Lakes Res. 2014, 40, 581–589. [Google Scholar] [CrossRef]
- Wallace, C.W.; Flanagan, D.C.; Engel, B.A. Quantifying the effects of conservation practice implementation on predicted runoff and chemical losses under climate change. Agric. Water Manag. 2017, 186, 51–65. [Google Scholar] [CrossRef]
- Kalcic, M.M.; Muenich, R.L.; Basile, S.; Steiner, A.L.; Kirchhoff, C.; Scavia, D. Climate change and nutrient loading in the Western Lake Erie Basin: Warming can counteract a wetter future. Environ. Sci. Technol. 2019, 53, 7543–7550. [Google Scholar] [CrossRef] [PubMed]
- Gombault, C.; Madramootoo, C.A.; Michaud, A.R.; Beaudin, I.; Sottile, M.F.; Chikhaoui, M.; Ngwa, F.F. Impacts of climate change on nutrient losses from the Pike River watershed of southern Québec. Can. J. Soil Sci. 2015, 95, 337–358. [Google Scholar] [CrossRef]
- Dayyani, S.; Prasher, S.O.; Madani, A.; Madramootoo, C.A. Impact of climate change on the hydrology and nitrogen pollution in a tile-drained agricultural watershed in eastern Canada. Trans. ASABE 2012, 55, 398–401. [Google Scholar] [CrossRef]







| Soil Properties | ||||
|---|---|---|---|---|
| Depth (cm) | 0–10 | 10–20 | 20–35 | 35–150 |
| Soil hydraulic conductivity (cm/h) | 0.26 | 0.07 | 0.2 | 0.26 |
| Soil pH | 7.7 ± 0.3 | |||
| Organic matter (%) | 4.1 ± 0.7 | |||
| Crop | Date | Activity Code |
|---|---|---|
| Soybeans | Mid-October 2010 (assume 15 October 2010) | Harvest |
| Winter Wheat | Mid-October 2010 (Considered 16 October 2010) | Plant |
| April 11, 2011 | Red Clover Air Seeded | |
| Late April 2011 (Considered 25 April 2011) | Fert App | |
| Late July 2011 (Considered 25 July 2011) | Harvest | |
| Grain Corn | 5 October 2011 | Fert App |
| 5 October 2011 | Spray | |
| 11 November 2011 | Tillage | |
| 18 April 2012 | Spray | |
| 25 April 2012 | Tillage | |
| 26 April 2012 | Plant | |
| 26 April 2012 | Fert App | |
| 23 May 2012 | Fert App | |
| 9 June 2012 | Spray | |
| 21 October 2012 (estimate as no rain that day) | Harvest | |
| Soybeans | 9 November 2012 | Tillage |
| 3 May 2013 | Plant | |
| 24 May 2016 | Spray | |
| 25 September 2013 | Harvest | |
| Winter Wheat | 27 September 2013 | Plant |
| 19 April 2014 | Plant CC | |
| 26 April 2014 | Fert App | |
| 1 June 2014 | Spray | |
| 7–10 August 2014 | Harvest | |
| Grain Corn | 9 October 2014 | Fert App |
| 9 October 2014 | Spray | |
| 17 October 2014 | Tillage | |
| 19 April 2015 | Spray | |
| 27 April 2015 | Tillage | |
| 28 April 2015 | Plant | |
| 28 April 2015 | Fert App | |
| May 15/15 (estimate)—check weather station | Spray | |
| 25 May 2015 | Fert App | |
| 15 July 2015 | Spray | |
| 17 October 2015 | Harvest | |
| Soybeans | 9 November 2015 | Tillage |
| 3 May 2016 | Plant | |
| 24/05/2016 (estimate)—check weather station | Spray | |
| Harvest |
| Initial NO3-N concentration in soil (mg L−1) | |
| 0–0.15 m | 5.17 |
| 0.15–0.30 m | 2.05 |
| 0.30–0.60 m | 1.62 |
| 0.60–1.20 m | 1.58 |
| -N concentration in soil (mgl−1) | |
| 0–0.15 m | 3.22 |
| 0.15–0.30 m | 2.62 |
| 0.30–0.60 m | 1.74 |
| 0.60–1.20 m | 1.41 |
| sorption distribution coefficient (cm3g−1) | |
| 0–0.15 m | 2.17 |
| 0.15–0.30 m | 2.32 |
| 0.30–0.60 m | 2.85 |
| 0.60–1.20 m | 3.61 |
| Parameter | Value | ||
|---|---|---|---|
| Saturated hydraulic conductivity (4 layers, cm h−1) | Varies | ||
| Vertical hydraulic conductivity of restrictive layer (cm h−1) | 0.0025 | ||
| Maximum surface storage (mm) | 1.6 | ||
| Rooting depth (cm) | Month | Day | |
| 1 | 1 | 5.0 | |
| 5 | 5 | 5.0 | |
| 6 | 15 | 24.0 | |
| 7 | 15 | 36.0 | |
| 7 | 30 | 45.0 | |
| 8 | 31 | 45.0 | |
| 10 | 15 | 5.0 | |
| 12 | 31 | 5.0 | |
| Mineralization rate (d−1) | NT:0.00002 CT:0.00003 | ||
| Maximum Nitrification rate ( | NT:9.5 CT:7.7 | ||
| Nitrification optimum temperature (°C) | 20 | ||
| Nitrification half saturation constant ( | 90 | ||
| Maximum denitrification rate ( | NT:4.0 CT:3.0 | ||
| Nitrification empirical shape factor | 0.5 | ||
| Nitrification Optimum temperature (°C) | 23.0 | ||
| Nitrification half saturation constant ( | 30.0 | ||
| Statistical Index | Monthly | Daily | ||
|---|---|---|---|---|
| Calibration | Validation | Calibration | Validation | |
| R2 | 0.78 | 0.74 | 0.65 | 0.54 |
| NSE | 0.76 | 0.70 | 0.62 | 0.62 |
| PBIAS (%) | 1.2 | 1.4 | 1.1 | 1.4 |
Publisher’s Note: MDPI stays neutral with regard to jurisdictional claims in published maps and institutional affiliations. |
© 2020 by the authors. Licensee MDPI, Basel, Switzerland. This article is an open access article distributed under the terms and conditions of the Creative Commons Attribution (CC BY) license (http://creativecommons.org/licenses/by/4.0/).
Share and Cite
Golmohammadi, G.; Rudra, R.P.; Parkin, G.W.; Kulasekera, P.B.; Macrae, M.; Goel, P.K. Assessment of Impacts of Climate Change on Tile Discharge and Nitrogen Yield Using the DRAINMOD Model. Hydrology 2021, 8, 1. https://doi.org/10.3390/hydrology8010001
Golmohammadi G, Rudra RP, Parkin GW, Kulasekera PB, Macrae M, Goel PK. Assessment of Impacts of Climate Change on Tile Discharge and Nitrogen Yield Using the DRAINMOD Model. Hydrology. 2021; 8(1):1. https://doi.org/10.3390/hydrology8010001
Chicago/Turabian StyleGolmohammadi, Golmar, Ramesh P. Rudra, Gary W. Parkin, Priyantha B. Kulasekera, Merrin Macrae, and Pradeep K. Goel. 2021. "Assessment of Impacts of Climate Change on Tile Discharge and Nitrogen Yield Using the DRAINMOD Model" Hydrology 8, no. 1: 1. https://doi.org/10.3390/hydrology8010001
APA StyleGolmohammadi, G., Rudra, R. P., Parkin, G. W., Kulasekera, P. B., Macrae, M., & Goel, P. K. (2021). Assessment of Impacts of Climate Change on Tile Discharge and Nitrogen Yield Using the DRAINMOD Model. Hydrology, 8(1), 1. https://doi.org/10.3390/hydrology8010001

