Impact Assessment of Floating Photovoltaic Systems on the Water Quality of Kremasta Lake, Greece
Abstract
1. Introduction
2. Materials and Methods
2.1. Study Area
2.2. Hydrodynamic and Water Quality Model
2.2.1. MIKE 3 FM
2.2.2. Flexible Mesh Generation
2.2.3. Input Data
2.2.4. Investigation of the FPV Impact on Kremasta Lake
3. Results
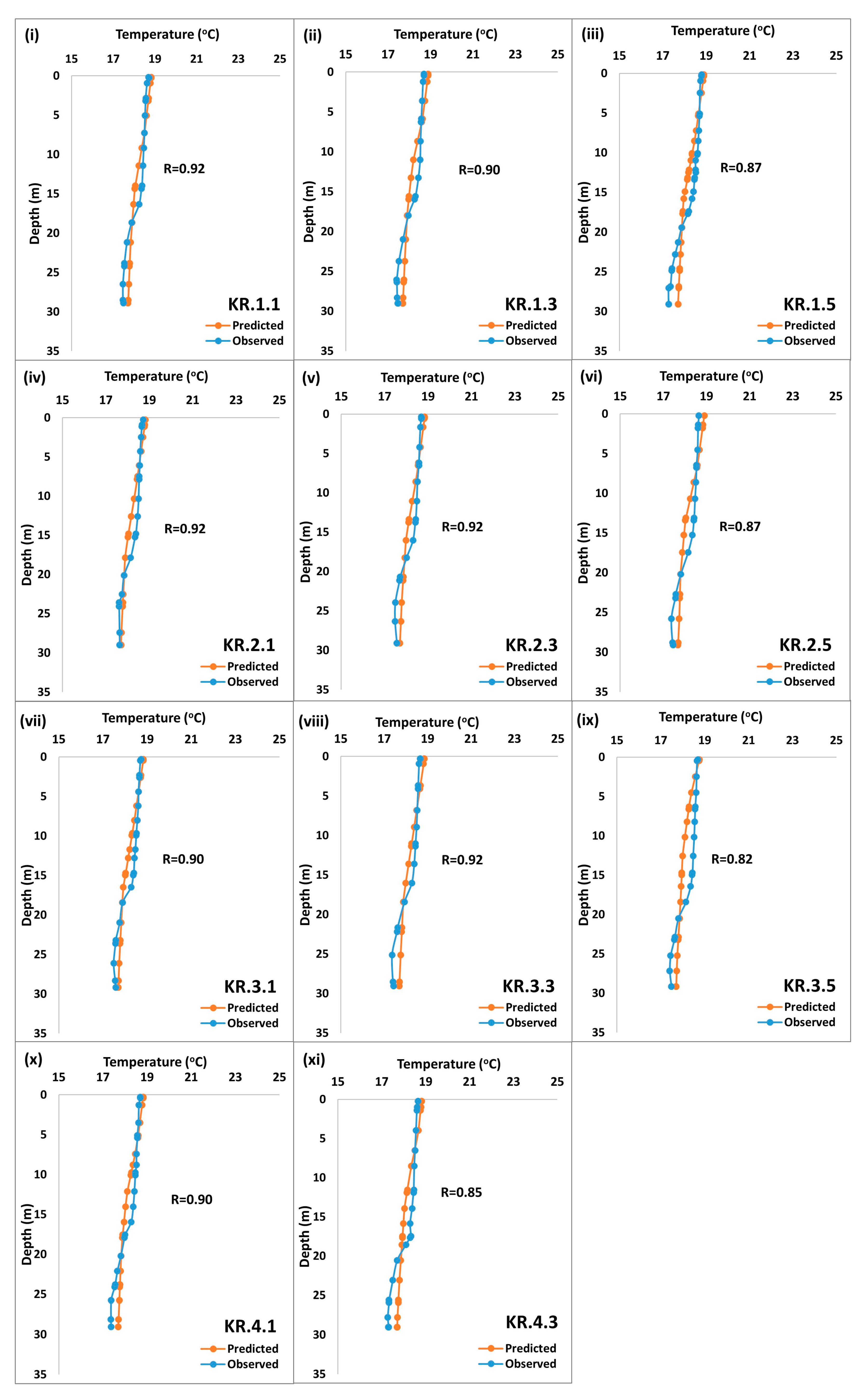
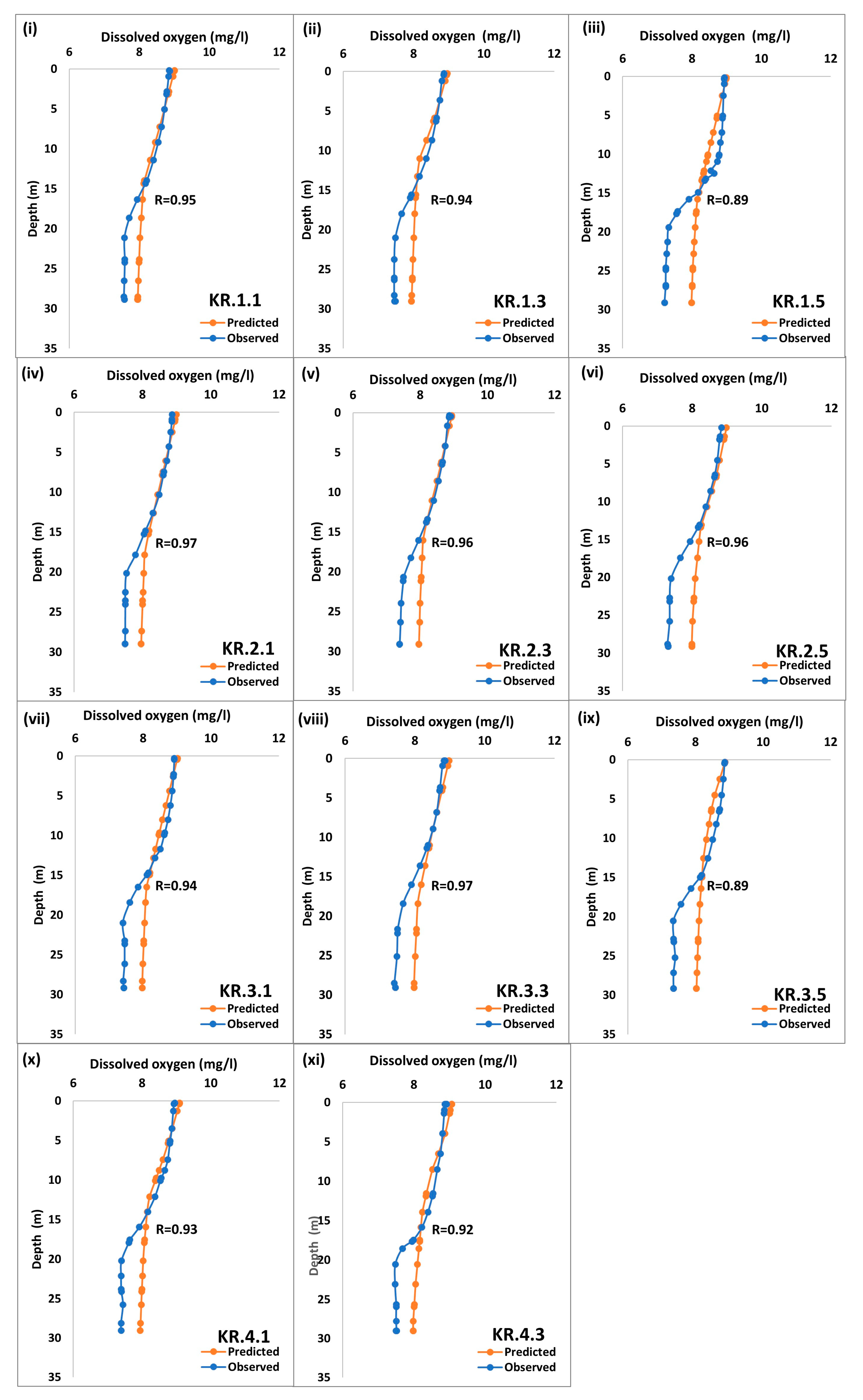
3.1. Hydrodynamic and Water Quality Model
3.2. Impact of FPV System on Kremasta Lake’s Water Quality
4. Discussion
5. Conclusions
Supplementary Materials
Author Contributions
Funding
Data Availability Statement
Acknowledgments
Conflicts of Interest
References
- Dhakal, S.; Minx, J.C.; Toth, F.L.; Abdel-Aziz, A.; Figueroa Meza, M.J.; Hubacek, K.; Jonckheere, I.G.C.; Yong-Gun, K.; Nemet, G.F.; Pachauri, S.; et al. Emissions Trends and Drivers. In Climate Change 2022: Mitigation of Climate Change. Contribution of Working Group III to the Sixth Assessment Report of the Intergovernmental Panel on Climate Change; Shukla, P.R., Skea, J., Slade, R., Al Khourdajie, A., van Diemen, R., McCollum, D., Pathak, M., Some, S., Vyas, R., Fradera, R., et al., Eds.; Cambridge University Press: Cambridge, UK; New York, NY, USA, 2022; pp. 215–294. ISBN 978-1-009-15793-3. [Google Scholar]
- Suman, A. Role of Renewable Energy Technologies in Climate Change Adaptation and Mitigation: A Brief Review from Nepal. Renew. Sustain. Energy Rev. 2021, 151, 111524. [Google Scholar] [CrossRef]
- Bölük, G.; Mert, M. Fossil & Renewable Energy Consumption, GHGs (Greenhouse Gases) and Economic Growth: Evidence from a Panel of EU (European Union) Countries. Energy 2014, 74, 439–446. [Google Scholar] [CrossRef]
- Clarke, L.; Wei, Y.-M.; De La Vega Navarro, A.; Garg, A.; Hahmann, A.N.; Khennas, S.; Azevedo, I.M.L.; Löschel, A.; Singh, A.K.; Steg, L.; et al. Energy Systems. In Climate Change 2022: Mitigation of Climate Change. Contribution of Working Group III to the Sixth Assessment Report of the Intergovernmental Panel on Climate Change; Shukla, P.R., Skea, J., Slade, R., Al Khourdajie, A., van Diemen, R., McCollum, D., Pathak, M., Some, S., Vyas, P., Fradera, R., et al., Eds.; Cambridge University Press: Cambridge, UK; New York, NY, USA, 2022; pp. 613–746. ISBN 978-1-009-15793-3. [Google Scholar]
- Sahu, A.; Yadav, N.; Sudhakar, K. Floating Photovoltaic Power Plant: A Review. Renew. Sustain. Energy Rev. 2016, 66, 815–824. [Google Scholar] [CrossRef]
- Farfan, J.; Breyer, C. Combining Floating Solar Photovoltaic Power Plants and Hydropower Reservoirs: A Virtual Battery of Great Global Potential. Energy Procedia 2018, 155, 403–411. [Google Scholar] [CrossRef]
- Pouran, H.; Padilha, M.; Lopes, C.; Nogueira, T.; Alves, D.; Branco, C.; Sheng, Y. Environmental and Technical Impacts of Floating Photovoltaic Plants as an Emerging Clean Energy Technology. iScience 2022, 25, 105253. [Google Scholar] [CrossRef]
- Rosa-Clot, M.; Tina, G.M. Floating Plants and Environmental Aspects. In Submerged and Floating Photovoltaic Systems; Elsevier: Amsterdam, The Netherlands, 2018; pp. 185–212. [Google Scholar]
- Kumar, M.; Mohammed Niyaz, H.; Gupta, R. Challenges and Opportunities towards the Development of Floating Photovoltaic Systems. Sol. Energy Mater. Sol. Cells 2021, 233, 111408. [Google Scholar] [CrossRef]
- Woolway, R.; Zhao, G.; Rocha, S.; Thackeray, S.; Armstrong, A. Decarbonization Potential of Floating Solar Photovoltaics on Lakes Worldwide. Nat. Water 2024, 2, 566–576. [Google Scholar] [CrossRef]
- Vlami, V.; Kokkoris, I.; Zogaris, S.; Kehayias, G.; Dimopoulos, P. Cultural Ecosystem Services in the Natura 2000 Network: Introducing Proxy Indicators and Conflict Risk in Greece. Land 2021, 10, 4. [Google Scholar] [CrossRef]
- Ioannidis, R.; Koutsoyiannis, D. A Review of Land Use, Visibility and Public Perception of Renewable Energy in the Context of Landscape Impact. Appl. Energy 2020, 276, 115367. [Google Scholar] [CrossRef]
- Almeida, R.; Schmitt, R.; Grodsky, S.; Flecker, A.; Gomes, C.; Zhao, L.; Barros, N.; Kelman, R.; McIntyre, B. Floating Solar Power: Evaluate Trade-Offs. Nature 2022, 606, 246–249. [Google Scholar] [CrossRef]
- Lee, N.; Grunwald, U.; Rosenlieb, E.; Mirletz, H.; Aznar, A.; Spencer, R.; Cox, S. Hybrid Floating Solar Photovoltaics-Hydropower Systems: Benefits and Global Assessment of Technical Potential. Renew. Energy 2020, 162, 1415–1427. [Google Scholar] [CrossRef]
- Pimentel Da Silva, G.; Branco, D. Is Floating Photovoltaic Better than Conventional Photovoltaic? Assessing Environmental Impacts. Impact Assess. Proj. Apprais. 2018, 36, 390–400. [Google Scholar] [CrossRef]
- Nobre, R.; Boulêtreau, S.; Colas, F.; Azemar, F.; Tudesque, L.; Parthuisot, N.; Favriou, P.; Cucherousset, J. Potential Ecological Impacts of Floating Photovoltaics on Lake Biodiversity and Ecosystem Functioning. Renew. Sustain. Energy Rev. 2023, 188, 113852. [Google Scholar] [CrossRef]
- Essak, L.; Ghosh, A. Floating Photovoltaics: A Review. Clean Technol. 2022, 4, 752–769. [Google Scholar] [CrossRef]
- Bax, V.; van de Lageweg, W.; Hoosemans, R.; van den Berg, B. Floating Photovoltaic Pilot Project at the Oostvoornse Lake: Assessment of the Water Quality Effects of Three Different System Designs. Energy Rep. 2023, 9, 1415–1425. [Google Scholar] [CrossRef]
- Abdelal, Q. Floating PV; An Assessment of Water Quality and Evaporation Reduction in Semi-Arid Regions. Int. J. Low-Carbon Technol. 2021, 16, 732–739. [Google Scholar] [CrossRef]
- Exley, G.; Page, T.; Thackeray, S.; Folkard, A.; Couture, R.; Hernandez, R.; Cagle, A.; Salk, K.; Clous, L.; Whittaker, P.; et al. Floating Solar Panels on Reservoirs Impact Phytoplankton Populations: A Modelling Experiment. J. Environ. Manag. 2022, 324, 116410. [Google Scholar] [CrossRef]
- Exley, G.; Armstrong, A.; Page, T.; Jones, I. Floating Photovoltaics Could Mitigate Climate Change Impacts on Water Body Temperature and Stratification. Sol. Energy 2021, 219, 24–33. [Google Scholar] [CrossRef]
- Liu, Z.; Ma, C.; Li, X.; Deng, Z.; Tian, Z. Aquatic Environment Impacts of Floating Photovoltaic and Implications for Climate Change Challenges. J. Environ. Manag. 2023, 346, 118851. [Google Scholar] [CrossRef]
- Benjamins, S.; Williamson, B.; Billing, S.; Yuan, Z.; Collu, M.; Fox, C.; Hobbs, L.; Masden, E.; Cottier-Cook, E.; Wilson, B. Potential Environmental Impacts of Floating Solar Photovoltaic Systems. Renew. Sustain. Energy Rev. 2024, 199, 114463. [Google Scholar] [CrossRef]
- Vigkos, S.; Kosmopoulos, P.G. Photovoltaics Energy Potential in the Largest Greek Cities: Atmospheric and Urban Fabric Effects, Climatic Trends Influences and Socio-Economic Benefits. Energies 2024, 17, 3821. [Google Scholar] [CrossRef]
- Lytopoulos, F.; Xydis, G. Harnessing Water for Solar Power: Economic and Environmental Insights from Floating Photovoltaic Systems in Greece and in Cyprus. Energy Sources Part A Recovery Util. Environ. Eff. 2025, 47, 5654–5674. [Google Scholar] [CrossRef]
- REN21. Renewables 2024 Global Status Collection: Energy Supply; REN21 Secretariat: Paris, France, 2024; ISBN 978-3-948393-15-1. [Google Scholar]
- Kakoulaki, G.; Gonzalez Sanchez, R.; Gracia Amillo, A.; Szabo, S.; De Felice, M.; Farinosi, F.; De Felice, L.; Bisselink, B.; Seliger, R.; Kougias, I.; et al. Benefits of Pairing Floating Solar Photovoltaics with Hydropower Reservoirs in Europe. Renew. Sustain. Energy Rev. 2023, 171, 112989. [Google Scholar] [CrossRef]
- Vourdoubas, J. Assessment of the Potential of Installing Floating Photovoltaic Systems in Existing Water Reservoirs in Greece. Eur. J. Energy Res. 2023, 3, 17–23. [Google Scholar] [CrossRef]
- Vourdoubas, J. Integration of Floating Solar Photovoltaic Systems with Hydropower Plants in Greece. Eur. J. Eng. Technol. Res. 2023, 8, 6–12. [Google Scholar] [CrossRef]
- Athanasiou, D.; Zafirakis, D. Assessing the Theoretical, Minimal Intervention Potential of Floating Solar in Greece: A Policy-Oriented Planning Exercise on Lentic Water Systems of the Greek Mainland. Energies 2024, 17, 2144. [Google Scholar] [CrossRef]
- Rizos, D. Technical and Technoeconomic Analysis of Floating Photovoltaics on Pumped-Storage Hydropower Dams. Master’s Thesis, Instituto Superior Técnico Lisboa, Lisbon, Portugal, 2023. [Google Scholar]
- Vourdoubas, J. Study on the Use of Floating Photovoltaics on Kourna Lake, Western Crete, Greece. Eur. J. Appl. Sci. Eng. Technol. 2024, 2, 4–13. [Google Scholar] [CrossRef]
- Vourdoubas, J. Estimation of Solar Electricity Generation from Floating Photovoltaics Installed in Water Dams in the Island of Crete, Greece. Eur. J. Environ. Earth Sci. 2023, 4, 27–33. [Google Scholar] [CrossRef]
- Bletsis, I. Installation Study of a Floating Photovoltaic Power Plant in a Dam Reservoir. Bachelor’s Thesis, Institute of Steel Structures, National Technical University of Athens, Athens, Greece, 2023. (In Greek). [Google Scholar]
- Stamou, G.; Katsiapi, M.; Moustaka-Gouni, M.; Michaloudi, E. Trophic State Assessment Based on Zooplankton Communities in Mediterranean Lakes. Hydrobiologia 2019, 844, 83–103. [Google Scholar] [CrossRef]
- Greek Committee on Large Dams. The Dams of Greece; Greek Committee on Large Dams: Athens, Greece, 2013. [Google Scholar]
- Zarris, D. Appraisal of River Sediment Deposits in Reservoirs of Hydropower Dams. Ph.D. Thesis, National Technical University of Athens, Department of Water Resources and Environmental Engineering, Athens, Greece, 2019. (In Greek). [Google Scholar]
- Varveris, A.; Panagopoulos, P.; Triantafillou, K.; Tegos, A.; Efstratiadis, A.; Mamassis, N.; Koutsoyiannis, D. Assessment of Environmental Flows of Acheloos Delta. In Proceedings of the Geophysical Research Abstracts; European Geosciences Union General Assembly, Vienna, Austria, 2 May 2010. [Google Scholar]
- Efstratiadis, A.; Tegos, A.; Varveris, A.; Koutsoyiannis, D. Assessment of Environmental Flows under Limited Data Availability—Case Study of Acheloos River, Greece. Hydrol. Sci. J. 2014, 59, 731–750. [Google Scholar] [CrossRef]
- Economou, A.; Daoulas, C.; Economidis’, P. Observations on the Biology of Leuciscus “svallize” in the Kremasta Reservoir (Greece). Hydrobiologia 1991, 213, 99–111. [Google Scholar] [CrossRef]
- Zogaris, S.; Mentzafou, A.; Karaouzas, I.; Markogianni, V.; Vavalidis, T.; Giakoumi, S.; Dimitriou, E. Environmental Impact Assessment Study of the Project Floating PV Project at Kremasta II with Capacity of 115.87968 MW. Biological and Limnological Survey; HCMR-IMBRIW, ILIAKO POWER VIΙΙ SINGLE MEMBER PC: Anavyssos, Greece, 2024. (In Greek) [Google Scholar]
- Vardakas, L.; Koutsikos, N.; Perdikaris, C.; Petriki, O.; Bobori, D.; Zogaris, S.; Giakoumi, S.; Fitoka, E.; Tompoulidou, M.; Tsiaoussi, V.; et al. Τhe Fish Fauna in Lentic Ecosystems of Greece. Mediterr. Mar. Sci 2022, 23, 223–265. [Google Scholar] [CrossRef]
- Koutsikos, N.; Vavalidis, T.; Perdikaris, C.; Zogaris, S.; Vardakas, L. Anthropogenic Influences Reshape Lentic Fish Diversity: Patterns of Homogenization and Differentiation across a Mediterranean Biodiversity Hotspot. Sci. Total Environ. 2025, 973, 179154. [Google Scholar] [CrossRef] [PubMed]
- Hellenic Republic Law 3937. Conservation of Biodiversity and Other Provisions FEK 60/A/2011. Gov. Gaz. Greece 2011, 60, 1619–1666. (In Greek) [Google Scholar]
- Hellenic Republic Law 5151. Arrangements for the Modernization of Waste Management, the Improvement of the Energy Saving Framework, the De-velopment of Energy Projects and the Address Urban Planning Issues FEK 173/A/2024. Gov. Gaz. Greece 2024, 173, 9397–9496. (In Greek) [Google Scholar]
- Tsafou, F. Environmental Impact Assessment Study of the Project Floating PV Project at Kremasta II with Capacity of 115.87968 MW. Environmental Impact Assessment Study; ILIAKO POWER IX SINGLE MEMBER PC: Athens, Greece, 2022. (In Greek) [Google Scholar]
- World Bank Group; ESMAP; Series. Where Sun Meets Water: Floating Solar Handbook for Practitioners; World Bank: Washington, DC, USA, 2019. [Google Scholar]
- DHI. MIKE 3 Flow Model FM. Hydrodynamic and Transport Module; Scientific Documentation; DHI: Hørsholm, Denmark, 2020. [Google Scholar]
- DHI. MIKE 3 Flow Model FM. ECO Lab/Oil Spill Module; User Guide; DHI: Hørsholm, Denmark, 2020. [Google Scholar]
- Smagorinsky, J. General Circulation Experiment with the Primitive Equations. Mon. Weather. Rev. 1963, 93, 99–164. [Google Scholar] [CrossRef]
- DHI. DHI Eutrophication Model 1. MIKE ECO Lab Template; Scientific Description; DHI: Hørsholm, Denmark, 2020. [Google Scholar]
- Zarris, D.; Lykoudi, E.; Koutsoyiannis, D. Appraisal of River Sediment Deposits in Reservoirs of Hydropower Dams, Final Report; Department of Water Resources, Hydraulic and Maritime Engineering—National Technical University of Athens: Athens, Greece, 2001. (In Greek) [Google Scholar]
- Penman, H.L. Natural Evaporation from Open Water, Bare Soil and Grass. Proc. R. Soc. London. Ser. A Math. Phys. Sci. 1948, 193, 120–145. [Google Scholar] [CrossRef]
- Hargreaves, G.H.; Samani, Z.A. Reference Crop Evapotranspiration from Temperature. Appl. Eng. Agric. 1985, 1, 96–99. [Google Scholar] [CrossRef]
- Allen, R.G.; Pereira, L.S.; Raes, D.; Smith, M. FAO Irrigation and Drainage Paper No. 56. Crop Evapotranspiration (Guidelines for Computing Crop Water Requirements); FAO—Food and Agriculture Organization of the United Nations: Rome, Italy, 1998; ISBN 92-5-104219-5. [Google Scholar]
- Nash, J.E.; Sutcliffe, J.V. River Flow Forecasting through Conceptual Models. Part I—A Discussion of Principles. J. Hydrol. 1970, 10, 282–290. [Google Scholar] [CrossRef]
- Gupta, H.V.; Kling, H.; Yilmaz, K.K.; Martinez, G.F. Decomposition of the Mean Squared Error and NSE Performance Criteria: Implications for Improving Hydrological Modelling. J. Hydrol. 2009, 377, 80–91. [Google Scholar] [CrossRef]
- Moriasi, D.; Gitau, M.; Pai, N.; Daggupati, P. Hydrologic and Water Quality Models: Performance Measures and Evaluation Criteria. Trans. ASABE 2015, 58, 1763–1785. [Google Scholar] [CrossRef]
- Knoben, W.J.M.; Freer, J.E.; Woods, R.A. Technical Note: Inherent Benchmark or Not? Comparing Nash-Sutcliffe and Kling-Gupta Efficiency Scores. Hydrol. Earth Syst. Sci. 2019, 23, 4323–4331. [Google Scholar] [CrossRef]
- Yang, P.; Chua, L.; Irvine, K.; Nguyen, M.; Low, W. Impacts of a Floating Photovoltaic System on Temperature and Water Quality in a Shallow Tropical Reservoir. Limnology 2022, 23, 441–454. [Google Scholar] [CrossRef]
- de Lima, R.; Paxinou, K.; Boogaard, F.; Akkerman, O.; Lin, F. In-situ Water Quality Observations under a Large-scale Floating Solar Farm Using Sensors and Underwater Drones. Sustainability 2021, 13, 6421. [Google Scholar] [CrossRef]
- Ilgen, K.; Schindler, D.; Wieland, S.; Lange, J. The Impact of Floating Photovoltaic Power Plants on Lake Water Temperature and Stratification. Sci. Rep. 2023, 13, 7932. [Google Scholar] [CrossRef] [PubMed]
- Hinkle, D.; Wiersma, W.; Jurs, S. Applied Statistics for the Behavioral Sciences, 5th ed.; Houghton Mifflin: Boston, MA, USA, 2003; ISBN 978-0618124053. [Google Scholar]
- Richardson, D.; Carey, C.; Bruesewitz, D.; Weathers, K. Intra- and Inter-Annual Variability in Metabolism in an Oligotrophic Lake. Aquat. Sci. 2017, 79, 319–333. [Google Scholar] [CrossRef]
- El Baradei, S.; Al Sadeq, M. Effect of Solar Canals on Evaporation, Water Quality, and Power Production: An Optimization Study. Water 2020, 12, 2103. [Google Scholar] [CrossRef]
- Bax, V.; van de Lageweg, W.; van den Berg, B.; Hoosemans, R.; Terpstra, T. Will It Float? Exploring the Social Feasibility of Floating Solar Energy Infrastructure in the Netherlands. Energy Res. Soc. Sci. 2022, 89, 102569. [Google Scholar] [CrossRef]
- Hellenic Republic. National Energy and Climate Plan of Greece-Revised Edition; Ministry of Environment and Energy: Athens, Greece, 2024. [Google Scholar]
- Sargentis, F.; Siamparina, P.; Sakki, G.; Efstratiadis, A.; Chiotinis, M.; Koutsoyiannis, D. Agricultural Land or Photovoltaic Parks? The Water–Energy–Food Nexus and Land Development Perspectives in the Thessaly Plain, Greece. Sustainability 2021, 13, 8935. [Google Scholar] [CrossRef]






| Sampling Site | Parameter | N | MAE | R | p-Value | R2 | NSE | KGE | RMSE | PBIAS |
|---|---|---|---|---|---|---|---|---|---|---|
| Dam | Water level | 12 | 1.41 | 0.97 | <0.00001 * | 0.94 | 0.61 | 0.49 | 1.92 | 0.21% |
| KR.1.1 | Water temperature | 20 | 0.18 | 0.92 | <0.00001 * | 0.84 | 0.82 | 0.84 | 0.20 | −0.31% |
| KR.1.3 | 20 | 0.21 | 0.90 | <0.00001 * | 0.81 | 0.79 | 0.82 | 0.24 | −0.39% | |
| KR.1.5 | 29 | 0.24 | 0.87 | <0.00001 * | 0.76 | 0.74 | 0.71 | 0.28 | 0.08% | |
| KR.2.1 | 20 | 0.14 | 0.92 | <0.00001 * | 0.85 | 0.84 | 0.91 | 0.17 | 0.15% | |
| KR.2.3 | 20 | 0.16 | 0.92 | <0.00001 * | 0.84 | 0.84 | 0.88 | 0.19 | −0.13% | |
| KR.2.5 | 19 | 0.21 | 0.87 | <0.00001 * | 0.75 | 0.75 | 0.83 | 0.24 | −0.14% | |
| KR.3.1 | 22 | 0.17 | 0.90 | <0.00001 * | 0.82 | 0.81 | 0.83 | 0.20 | 0.21% | |
| KR.3.3 | 18 | 0.19 | 0.92 | <0.00001 * | 0.84 | 0.81 | 0.83 | 0.21 | −0.38% | |
| KR.3.5 | 20 | 0.27 | 0.82 | <0.00001 * | 0.67 | 0.60 | 0.64 | 0.30 | 0.58% | |
| KR.4.1 | 23 | 0.18 | 0.90 | <0.00001 * | 0.81 | 0.81 | 0.82 | 0.21 | −0.13% | |
| KR.4.3 | 23 | 0.27 | 0.85 | <0.00001 * | 0.72 | 0.70 | 0.73 | 0.30 | −0.37% | |
| KR.1.1 | Dissolved oxygen | 20 | 0.21 | 0.95 | <0.00001 * | 0.92 | 0.76 | 0.74 | 0.26 | −2.13% |
| KR.1.3 | 20 | 0.27 | 0.94 | <0.00001 * | 0.88 | 0.65 | 0.65 | 0.33 | −2.70% | |
| KR.1.5 | 29 | 0.38 | 0.89 | <0.00001 * | 0.80 | 0.54 | 0.47 | 0.48 | −2.52% | |
| KR.2.1 | 20 | 0.22 | 0.97 | <0.00001 * | 0.94 | 0.71 | 0.66 | 0.30 | −2.56% | |
| KR.2.3 | 20 | 0.21 | 0.96 | <0.00001 * | 0.92 | 0.71 | 0.64 | 0.32 | −2.39% | |
| KR.2.5 | 19 | 0.33 | 0.96 | <0.00001 * | 0.92 | 0.48 | 0.58 | 0.44 | −4.12% | |
| KR.3.1 | 22 | 0.27 | 0.94 | <0.00001 * | 0.89 | 0.67 | 0.59 | 0.35 | −2.25% | |
| KR.3.3 | 18 | 0.26 | 0.97 | <0.00001 * | 0.95 | 0.62 | 0.65 | 0.34 | −3.25% | |
| KR.3.5 | 20 | 0.36 | 0.89 | <0.00001 * | 0.80 | 0.45 | 0.42 | 0.46 | −2.81% | |
| KR.4.1 | 23 | 0.29 | 0.93 | <0.00001 * | 0.86 | 0.67 | 0.64 | 0.36 | −2.59% | |
| KR.4.3 | 23 | 0.28 | 0.92 | <0.00001 * | 0.85 | 0.66 | 0.70 | 0.34 | −2.69% |
Disclaimer/Publisher’s Note: The statements, opinions and data contained in all publications are solely those of the individual author(s) and contributor(s) and not of MDPI and/or the editor(s). MDPI and/or the editor(s) disclaim responsibility for any injury to people or property resulting from any ideas, methods, instructions or products referred to in the content. |
© 2025 by the authors. Licensee MDPI, Basel, Switzerland. This article is an open access article distributed under the terms and conditions of the Creative Commons Attribution (CC BY) license (https://creativecommons.org/licenses/by/4.0/).
Share and Cite
Mentzafou, A.; Dimitriou, E.; Karaouzas, I.; Zogaris, S. Impact Assessment of Floating Photovoltaic Systems on the Water Quality of Kremasta Lake, Greece. Hydrology 2025, 12, 92. https://doi.org/10.3390/hydrology12040092
Mentzafou A, Dimitriou E, Karaouzas I, Zogaris S. Impact Assessment of Floating Photovoltaic Systems on the Water Quality of Kremasta Lake, Greece. Hydrology. 2025; 12(4):92. https://doi.org/10.3390/hydrology12040092
Chicago/Turabian StyleMentzafou, Angeliki, Elias Dimitriou, Ioannis Karaouzas, and Stamatis Zogaris. 2025. "Impact Assessment of Floating Photovoltaic Systems on the Water Quality of Kremasta Lake, Greece" Hydrology 12, no. 4: 92. https://doi.org/10.3390/hydrology12040092
APA StyleMentzafou, A., Dimitriou, E., Karaouzas, I., & Zogaris, S. (2025). Impact Assessment of Floating Photovoltaic Systems on the Water Quality of Kremasta Lake, Greece. Hydrology, 12(4), 92. https://doi.org/10.3390/hydrology12040092

