Simulating Phosphorus Load Reductions in a Nested Catchment Using a Flow Pathway-Based Modeling Approach
Abstract
:1. Introduction
1.1. Mitigation Studies
1.2. Catchment Modeling
2. Materials and Methods
2.1. Description of Study Site

2.2. Load Reduction Methods
2.3. Catchment Modeling
2.4. CRAFT Model Overview
2.4.1. Description of the CRAFT Model
2.4.2. DynamicCRAFT Overview
2.4.3. MultiCRAFT Modeling Approach
2.4.4. CRAFT Modeling Steps
- Step 1.
- A parameter set for the entire Blackwater was obtained by running the OCM on the 3 smaller sub-catchments with both observed WQ data and Q measured at an NRFA gauging station, with the WQ monitoring points and gauging stations located either at or close to each other, i.e., CALL, OOSM, BWDM (refer to Table 1 for the sub-catchment acronyms) and calibrating the model in turn for discharge and then SRP against the monthly monitoring data. The homogeneous nature of the land use in the Blackwater sub-catchments means that parameter sets did not need to be allocated for each land use individually (e.g., the Hydrological Response Unit (HRU) approach used by many catchment models [43]) but were just “lumped” for each of the modeled catchments, assuming the land use and other model parameters are homogeneous within it. In this step and subsequent assessments, the evaluation metrics and suggested acceptable values of these suggested by Moriasi et al. [44,45] are used, whereby Q is assessed by two metrics: (1) the well-known Nash and Sutcliffe Efficiency (NSE) and (2) PBIAS (a measure of the percentage bias of the simulation results where a positive value indicates the model underpredicts the observed variable and a negative value the reverse case). Water quality variables (only TP and SRP are reported here), either concentrations or loads are assessed by: (1) PBIAS (as above); (2) the normalized root-mean-square error (NRMSE) (where the normalization involves dividing the estimate by the standard deviation of the observation, as reviewed by Moriasi et al. [44]). “Satisfactory” values [45] for daily discharge are NSE > 0.5 (50) and PBIAS ± 15% for monthly streamflow. For water quality (N and P) a PBIAS of ± 70% was suggested for “Satisfactory” performance for monthly data [44], so for daily concentration data, a PBIAS of ±70% would indicate more than satisfactory performance. A split-sample approach has been taken where the full period modeling has been divided into separate calibration followed by validation (no further adjustment of model parameters allowed) periods.
- Here, a “donor” approach was used to transfer parameters from the nearest gauged catchment with similar soils and vegetation types to ungauged sub-catchment models. This process created 4 parameter sets in all, one obtained from each of the gauged sub-catchments and one “High WFD” set obtained using observed SRP concentration data in a headwater sub-catchment without discharge measurements.
- Runoff was divided into low and high classes (based on annual mean Prec ≥ 1070 mmyr−1 as “High”), where Prec is the average annual rainfall from WY 2005 to 2017, calculated from the CEH-GEAR gridded rainfall data (recall that runoff ≈ Prec − AET).
- Therefore, set 2 represents a parameter set reflecting high runoff and “Moderate” (i.e., the WFD status assessed for SRP) water quality. Set 4 also represents high runoff and was used for sub-catchments achieving “Good” or better water quality. This idealized “High WQ” parameter set was created to represent the best possible conditions which were achieved between 2015 and 2019 in the upper Blackwater headwater sub-catchments, using SRP data from one of the headwater sub-catchments with observed P data (but no discharge) to calibrate the model’s SRP component parameters, water flow parameters were identical to set 2 parameters. Sets 1 and 3 were created for low runoff sub-catchments with set 1 representing “Moderate” to “Good” water quality and set 3 “Bad” to “Poor” water quality. There were no sub-catchments combining high runoff with “Poor” or worse water quality.
- Step 2.
- The OCM was used to model discharge from the larger Maydown Bridge (BWMB) catchment, which contains two of the three nested catchments modeled in Step 1. To assess the performance of the OCM, the daily model results were then compared with the weekly observed nutrient data to check the performance of the OCM’s phosphorus sub-model. The OCM’s P parameters were calibrated using values obtained in Step 1 as a first approximation to a best-fit “Expert” set. The model performance was assessed against the weekly SRP and TP data, allowing the parameters controlling PP generation in the model to be adjusted, if necessary, since PP will have a direct influence on modeled TP concentrations, these were not calibrated in Step 1 as there were no TP data available in the monthly monitoring dataset.
- Step 3.
- The DCM was evaluated on the same weekly nutrient data used in Step 2 and the results were compared against the OCM results (from Step 2) for SRP and TP, to see which model formulation worked the best in performance terms (reproducing observed TP and SRP loads, and concentrations). Importantly, the flow (runoff generation) components of the two models are identical so the model results for nutrients but not discharge differ between versions. Regarding model choice, a decision was taken following the simulations in Step 3 using a Minimum Information Requirement (MIR) philosophy [2], i.e., as to whether having the additional complexity in adopting the DCM was justified in this case.
- Step 4.
- A selected set of Mitigation scenarios was evaluated on the BWMB catchment using the chosen variant of the model, assuming that the mitigation measures such as sediment and nutrient traps cover the whole area. This is not feasible to achieve due to a limitation on available land use and realistic stakeholder take-up of the measures but was used as a sensitivity analysis. These scenarios are described in more detail below.
- Step 5.
- The MultiCRAFT model was set up using a nested approach with the selected variant (Original or Dynamic) as the sub-catchment CRAFT model, to simulate all 55 sub-catchments individually, each using a parameter set with categories assigned from Step 1 according to observed SRP concentrations and runoff.
- Step 6.
- The best-performing mitigation options from Step 4 were evaluated at the sub-catchment level, where an LR was required, to see how well the mitigation scenario(s) work at a local level, using MultiCRAFT to run all 55 sub-catchments again but with mitigation features adopted covering part of the sub-catchment area.
2.5. Mitigation Scenarios
3. Results
3.1. Load Reductions
3.2. Water Quality Modeling
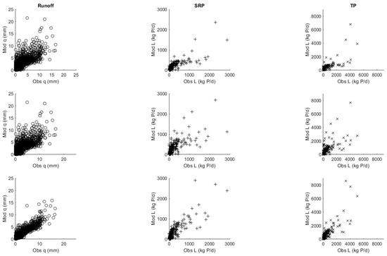
3.2.1. Model Results: Steps 1–3 and 5
3.2.2. Model Results: Mitigation Scenarios (Steps 4 and 6)
| Scenario | PInitial (kg P ha−1) | P Removal Efficiency RE (-) | Other Parameters: Abbreviation (Value/Percentage Change) |
|---|---|---|---|
| Baseline | 1 | 0 | N/A |
| 1A | 0.5 | 0 | None |
| 1B | 1 | 0 | KD (0.05) |
| 1C | 1 | 0 | PDIST (0.99) |
| 2A | 1 | 0 | SDMAX (+50%) |
| 2B | 1 | 0 | SDMAX (+50%) PDIST (0.94) |
| 3A | 1 | 0.6 | None |
| C1 (Combined) 2A + 3A | 1 | 0.6 | PDIST (0.94) SDMAX (+50%) |
| C2 (Combined) 1A + 3A | 0.5 | 0.6 | None |
4. Discussion and Conclusions
4.1. Model Variants and Performance
4.2. Load Reductions and Mitigation Requirements
Supplementary Materials
Author Contributions
Funding
Data Availability Statement
Conflicts of Interest
References
- Mockler, E.M.; Deakin, J.; Archbold, M.; Daly, D.; Bruen, M. Nutrient load apportionment to support the identification of appropriate water framework directive measures. Boil. Environ. Proc. R. Ir. Acad. 2016, 116B, 245. [Google Scholar] [CrossRef]
- Mockler, E.M.; Deakin, J.; Archbold, M.; Gill, L.; Daly, D.; Bruen, M. Sources of nitrogen and phosphorus emissions to Irish rivers and coastal waters: Estimates from a nutrient load apportionment framework. Sci. Total Environ. 2017, 601–602, 326–339. [Google Scholar] [CrossRef]
- EC Directive. Directive 2000/60/EC of the European Parliament and of the Council Establishing a Framework for Community Action in the Field of Water Policy. Official Journal, L 327, 22.12.2000. 2000. Available online: https://www.eea.europa.eu/policy-documents/directive-2000-60-ec-of (accessed on 29 August 2023).
- Reid, C.T. Mapping post-Brexit environmental law. ERA Forum 2020, 21, 655–665. [Google Scholar] [CrossRef]
- Fraser, C.M.; Brickell, J.; Kalin, R.M. Post-Brexit implications for transboundary groundwater management along the Northern Ireland and the Republic of Ireland border. Environ. Res. Lett. 2020, 15, 044022. [Google Scholar] [CrossRef]
- Evans, A.E.; Mateo-Sagasta, J.; Qadir, M.; Boelee, E.; Ippolito, A. Agricultural water pollution: Key knowledge gaps and research needs. Curr. Opin. Environ. Sustain. 2019, 36, 20–27. [Google Scholar] [CrossRef]
- Mateo-Sagasta, J.; Zadeh, S.M.; Turral, H. Water Pollution from Agriculture: A Global Review. Executive Summary; FAO: Rome, Italy; IMWI: Colombo, Sri Lanka, 2017. [Google Scholar]
- EPA. 3rd Cycle Draft Lough Neagh-Lower Bann Catchment Report (HA 03); Catchment Science and Management Unit: Dublin, Ireland, 2021; p. 35.
- DAERA. Draft 3rd Cycle River Basin Management Plan: For the North Western, Neagh Bann and North Eastern River Basin Districts 2021–2027; DAERA: Lisburn, UK, 2021; p. 138.
- DAERA. Neagh Bann Draft River Basin Management Plan 2008; DAERA: Lisburn, UK, 2008; p. 128.
- Wood, R.; Smith, R. Lough Neagh: The Ecology of a Multipurpose Water Resource; Springer Science & Business Media: Berlin/Heidelberg, Germany, 2013; Volume 69. [Google Scholar]
- Foy, R.H.; Lennox, S.D. Evidence for a delayed response of riverine phosphorus exports from increasing agricultural catchment pressures in the Lough Neagh catchment. Limnol. Oceanogr. 2006, 51 Pt 2, 655–663. [Google Scholar] [CrossRef]
- WFD-UKTAG. UKTAG River Assessment Method—Phosphorus: River Phosphorus Standards; c/o SEPA: Stirling, UK, 2014; p. 13. [Google Scholar]
- Schoumans, O.; Chardon, W.J.; Bechmann, M.E.; Gascuel-Odoux, C.; Hofman, G.; Kronvang, B.; Rubæk, G.H.; Ulén, B.; Dorioz, J.-M. Mitigation options to reduce phosphorus losses from the agricultural sector and improve surface water quality: A review. Sci. Total Environ. 2014, 468–469, 1255–1266. [Google Scholar] [CrossRef] [PubMed]
- Bieroza, M.; Bergström, L.; Ulén, B.; Djodjic, F.; Tonderski, K.; Heeb, A.; Svensson, J.; Malgeryd, J. Hydrologic Extremes and Legacy Sources Can Override Efforts to Mitigate Nutrient and Sediment Losses at the Catchment Scale. J. Environ. Qual. 2019, 48, 1314–1324. [Google Scholar] [CrossRef]
- Zhang, Y.; Collins, A.; Johnes, P.; Jones, J. Projected impacts of increased uptake of source control mitigation measures on agricultural diffuse pollution emissions to water and air. Land Use Policy 2017, 62, 185–201. [Google Scholar] [CrossRef]
- Barber, N. Sediment, Nutrient and Runoff Management and Mitigation in Rural Catchments. Ph.D. Thesis, Newcastle University, Newcastle Upon Tyne, UK, 2014. [Google Scholar]
- Adams, R.; Quinn, P.; Barber, N.; Reaney, S. The Role of Attenuation and Land Management in Small Catchments to Remove Sediment and Phosphorus: A Modelling Study of Mitigation Options and Impacts. Water 2018, 10, 1227. [Google Scholar] [CrossRef]
- Old, G.; Hutchins, M.; Miller, J.; Acreman, M.; Bowes, M.; Redhead, J.; Trill, E.; Blackstock, K.; Kuhfuss, L. Evaluation of Knowledge Gained from the National Demonstration Test Catchment; DEFRA: London, UK, 2020; p. 181.
- Adams, R.; Quinn, P.; Barber, N.; Burke, S. Identifying Flow Pathways for Phosphorus Transport Using Observed Event Forensics and the CRAFT (Catchment Runoff Attenuation Flux Tool). Water 2020, 12, 1081. [Google Scholar] [CrossRef]
- Adams, R.; Quinn, P.F.; Perks, M.; Barber, N.J.; Jonczyk, J.; Owen, G.J. Simulating high frequency water quality monitoring data using a catchment runoff attenuation flux tool (CRAFT). Sci. Total Environ. 2016, 572, 1622–1635. [Google Scholar] [CrossRef] [PubMed]
- Foy, R.; Lennox, S.; Gibson, C. Changing perspectives on the importance of urban phosphorus inputs as the cause of nutrient enrichment in Lough Neagh. Sci. Total Environ. 2003, 310, 87–99. [Google Scholar] [CrossRef]
- Heaney, S.I.; Foy, R.H.; Kennedy, G.J.A.; Crozier, W.W.; Connor, W.C.K.O. Impacts of agriculture on aquatic systems: Lessons learnt and new unknowns in Northern Ireland. Mar. Freshw. Res. 2001, 52, 151–163. [Google Scholar] [CrossRef]
- Barry, C.D.; Foy, R.H. Assessing the Success of Regional Measures for Lowering Agricultural Nutrient Pollution in Headwater Streams. J. Environ. Qual. 2016, 45, 1329–1343. [Google Scholar] [CrossRef]
- Doody, D.; Foy, R.; Barry, C. Accounting for the role of uncertainty in declining water quality in an extensively farmed grassland catchment. Environ. Sci. Policy 2012, 24, 15–23. [Google Scholar] [CrossRef]
- DAERA. Environmental Statistics Report; DAERA: Belfast, UK, 2022; p. 60.
- Jordan, P.; Arnscheidt, A.; McGrogan, H.; McCormick, S. Characterising phosphorus transfers in rural catchments using a continuous bank-side analyser. Hydrol. Earth Syst. Sci. 2007, 11, 372–381. [Google Scholar] [CrossRef]
- Monaghan, R.; Smith, L.; Muirhead, R. Pathways of contaminant transfers to water from an artificially-drained soil under intensive grazing by dairy cows. Agric. Ecosyst. Environ. 2016, 220, 76–88. [Google Scholar] [CrossRef]
- Mellander, P.E.; Jordan, P.; Shore, M.; McDonald, N.T.; Wall, D.P.; Shortle, G.; Daly, K. Identifying contrasting controls and surface water signals from groundwater phosphorus flux. Sci. Total Environ. 2016, 541, 292–302. [Google Scholar] [CrossRef]
- Edwards, A.C.; Kay, D.; McDonald, A.T.; Francis, C.; Watkins, J.; Wilkinson, J. Wyer Farmyards, an overlooked source for highly contaminated runoff. J. Environ. Manag. 2008, 87, 551–559. [Google Scholar] [CrossRef]
- Stutter, M.; Glendell, M.; Ibiyemi, A.; Palarea-Albaladejo, J.; May, L. Can prediction and understanding of water quality variation be improved by combining phosphorus source and waterbody condition parameters? Front. Water 2022, 4, 852883. [Google Scholar] [CrossRef]
- Fenton, O.; Tuohy, P.; Daly, K.; Moloney, T.; Rice, P.; Murnane, J.G. A Review of On-farm Roadway Runoff Characterisation and Potential Management Options for Ireland. Water Air Soil Pollut. 2021, 232, 1–22. [Google Scholar] [CrossRef]
- Cassidy, R.; Jordan, P. Limitations of instantaneous water quality sampling in surface-water catchments: Comparison with near-continuous phosphorus time-series data. J. Hydrol. 2011, 405, 182–193. [Google Scholar] [CrossRef]
- Douglas, R.W.; Menary, W.; Jordan, P. Phosphorus and sediment transfers in a grassland river catchment. Nutr. Cycl. Agroecosyst. 2007, 77, 199–212. [Google Scholar] [CrossRef]
- Tanguy, M.; Dixon, H.; Prosdocimi, I.; Morris, D.G.; Keller, V.D.J. Gridded Estimates of Daily and Monthly Areal Rainfall for the United Kingdom (1890–2019) [CEH-GEAR]; NERC EDS Environmental Information Data Centre: Wallingford, UK, 2021.
- Tanguy, M.; Prudhomme, C.; Smith, K.; Hannaford, J. Historical gridded reconstruction of potential evapotranspiration for the UK. Earth Syst. Sci. Data 2018, 10, 951–968. [Google Scholar] [CrossRef]
- Jordan, C.; Higgins, A.; Wright, P. Slurry acceptance mapping of Northern Ireland for run-off risk assessment. Soil Use Manag. 2007, 23, 245–253. [Google Scholar] [CrossRef]
- Hayes, E.; Higgins, S.; Geris, J.; Nicholl, G.; Mullan, D. Weighted risk assessment of critical source areas for soil phosphorus losses through surface runoff mechanisms. CATENA 2023, 225, 107027. [Google Scholar] [CrossRef]
- Jordan, C.; McGuckin, S.; Smith, R. Increased predicted losses of phosphorus to surface waters from soils with high Olsen-P concentrations. Soil Use Manag. 2006, 16, 27–35. [Google Scholar] [CrossRef]
- Bárdossy, A. Calibration of hydrological model parameters for ungauged catchments. Hydrol. Earth Syst. Sci. 2007, 11, 703–710. [Google Scholar] [CrossRef]
- Quinn, P.F.; Hewett, C.J.M.; Dayawansa, N.D.K. TOPCAT-NP: A minimum information requirement model for simulation of flow and nutrient transport from agricultural systems. Hydrol. Process. 2007, 22, 2565–2580. [Google Scholar] [CrossRef]
- Sharpley, A.; Menzel, R. The Impact of Soil and Fertilizer Phosphorus on the Environment. Adv. Agron. 1987, 41, 297–324. [Google Scholar]
- Flügel, W. Delineating hydrological response units by geographical information system analyses for regional hydrological modelling using PRMS/MMS in the drainage basin of the River Bröl, Germany. Hydrol. Process. 1995, 9, 423–436. [Google Scholar] [CrossRef]
- Moriasi, D.N.; Arnold, J.G.; van Liew, M.W.; Bingner, R.L.; Harmel, R.D.; Veith, T.L. Model evaluation guidelines for systematic quantification of accuracy in watershed simulations. Trans. ASABE 2007, 50, 885–900. [Google Scholar] [CrossRef]
- Moriasi, D.N.; Gitau, M.W.; Pai, N.; Daggupati, P. Hydrologic and Water Quality Models: Performance Measures and Evaluation Criteria. Trans. ASABE 2015, 586, 1763–1785. [Google Scholar]
- EPA. 2nd Cycle Blackwater (Lough Neagh–Lower Bann) Catchment 2010–2015. Assessment (HA 03); Catchment Science and Management Unit: Dublin, Ireland, 2018; p. 32.
- Lemm, J.U.; Venohr, M.; Globevnik, L.; Stefanidis, K.; Panagopoulos, Y.; Gils, J.; Posthuma, L.; Kristensen, P.; Feld, C.K.; Mahnkopf, J.; et al. Multiple stressors determine river ecological status at the European scale: Towards an integrated understanding of river status deterioration. Glob. Change Biol. 2021, 27, 1962–1975. [Google Scholar] [CrossRef]
- Mellander, P.-E.; Jordan, P. Charting a perfect storm of water quality pressures. Sci. Total Environ. 2021, 787, 147576. [Google Scholar] [CrossRef]







| Catchment (and Abbreviated Form) | NRFA ID 1 | Gauged Area (km2) | % Area (Grassland) | % Area (Non-Agricultural) | Mean Annual Rainfall (mm) | Mean Annual Runoff (mm) | Measured SRP Conc. (2014–2019) (mg P L−1) |
|---|---|---|---|---|---|---|---|
| Blackwater@Derrymeen Br (BWDM) | 203022 | 182.9 | 75.9 | 22.3 | 1142 | 826.4 | 0.056 |
| Blackwater@Maydown Br (BWMB) | 203010 | 970.1 | 83.6 | 10.9 | 1008 | 584.8 | 0.068 |
| Oona (OOSM) | 203043 | 94.1 | 92.6 | 4.3 | 1003 | 596 | 0.10 |
| Callan (CALL) | 203025 | 166.9 | 82.3 | 7.6 | 933 | 403 | 0.136 |
| Catchment | Step 1 | Q | SRP (C) | ||||
| Phase | NSE | PBIAS | NRMSE | PBIAS | |||
| BWDM | Cal | 76 | 12.5 | 1.40 | −9.4 | ||
| Val | 74 | 9.7 | 1.77 | 16.0 | |||
| BWMB/BWVB | Cal | 88 | −7.5 | 1.65 | −7.69 | ||
| Val | 87 | −4.7 | 1.36 | −2.9 | |||
| CALL | Cal | 78 | 3.2 | 1.64 | 8.39 | ||
| Val | 78 | −0.8 | 2.20 | −9.2 | |||
| OOSM | Cal | 75 | −13.3 | 1.39 | −3.6 | ||
| Val | 71 | −11.1 | 1.14 | 12.2 | |||
| Catchment: BWMB (Q), BWVB (P) | Steps 2, 3, 5 | Q | SRP (C) | TP (C) | |||
| Variant | Phase | NSE | PBIAS | NRMSE | PBIAS | NRMSE | PBIAS |
| OCM | Cal | 87 | −4.7 | 1.66 | −7.88 | 1.95 | −13.2 |
| Val | 88 | −7.5 | 1.37 | 5.5 | 1.63 | 10.4 | |
| DCM | Cal | 87 | −4.7 | 1.56 | −11.38 | 1.79 | −18.91 |
| Val | 88 | −7.5 | 1.51 | 7.7 | 1.75 | −5.47 | |
| MultiCRAFT + DCM | Cal | 82 | −0.4 | 1.44 | −8.1 | 1.54 | −4.89 |
| Val | 85 | −0.1 | 1.35 | 5.4 | 1.49 | 8.8 | |
| Scenario | Evaluation Point | Area Mitigated (%) | Load Reductions (t P Year−1 (%)) | Time in “Good” Status (SRP) (%) | ||
|---|---|---|---|---|---|---|
| SRP | TP | Baseline | Scenario | |||
| C1 | BWMB | 18 | −0.4 (−0.4) | 3.5 (2.10) | 41.5 | 41.6 |
| C2 | Oona 1 | 51 | 3.8 (33.2) | 7.8 (34.8) | 40.3 | 52.2 |
| C2 | BWMB | 20 | 12.4 (14.5) | 25.1 (15.0) | 41.5 | 45.5 |
| C2 | BWBB | 24 | 19.8 (16.5) | 41.4 (17.2) | 39.7 | 43.6 |
Disclaimer/Publisher’s Note: The statements, opinions and data contained in all publications are solely those of the individual author(s) and contributor(s) and not of MDPI and/or the editor(s). MDPI and/or the editor(s) disclaim responsibility for any injury to people or property resulting from any ideas, methods, instructions or products referred to in the content. |
© 2023 by the authors. Licensee MDPI, Basel, Switzerland. This article is an open access article distributed under the terms and conditions of the Creative Commons Attribution (CC BY) license (https://creativecommons.org/licenses/by/4.0/).
Share and Cite
Adams, R.; Quinn, P. Simulating Phosphorus Load Reductions in a Nested Catchment Using a Flow Pathway-Based Modeling Approach. Hydrology 2023, 10, 184. https://doi.org/10.3390/hydrology10090184
Adams R, Quinn P. Simulating Phosphorus Load Reductions in a Nested Catchment Using a Flow Pathway-Based Modeling Approach. Hydrology. 2023; 10(9):184. https://doi.org/10.3390/hydrology10090184
Chicago/Turabian StyleAdams, Russell, and Paul Quinn. 2023. "Simulating Phosphorus Load Reductions in a Nested Catchment Using a Flow Pathway-Based Modeling Approach" Hydrology 10, no. 9: 184. https://doi.org/10.3390/hydrology10090184
APA StyleAdams, R., & Quinn, P. (2023). Simulating Phosphorus Load Reductions in a Nested Catchment Using a Flow Pathway-Based Modeling Approach. Hydrology, 10(9), 184. https://doi.org/10.3390/hydrology10090184

