Investigating the Use of Sentinel-1 for Improved Mapping of Small Peatland Water Bodies: Towards Wildfire Susceptibility Monitoring in Canada’s Boreal Forest
Abstract
1. Introduction
1.1. Hydrologic Variability and Wildfires in Peatlands
1.2. Fire Danger Monitoring with Remote Sensing
1.3. Surface Water Mapping with Remote Sensing
1.4. Research Objectives
- Determine if there is a significant difference in SAR backscatter between large and small peatland water bodies;
- Assess any relationship between peatland water body size and backscatter intensity.
2. Materials and Methods
2.1. Site Selection and Digitizing
2.2. Data Extraction
- Late May–20 May to 29 May 2021;
- Early July–1 July to 10 July 2021;
- Late September–20 September to 29 September 2021.
2.3. Analysis
2.3.1. Statistical Comparison of Backscatter
2.3.2. Statistical Comparison of Water Body Sizes
3. Results
3.1. Seasonal Patterns in Peatland Hydrology
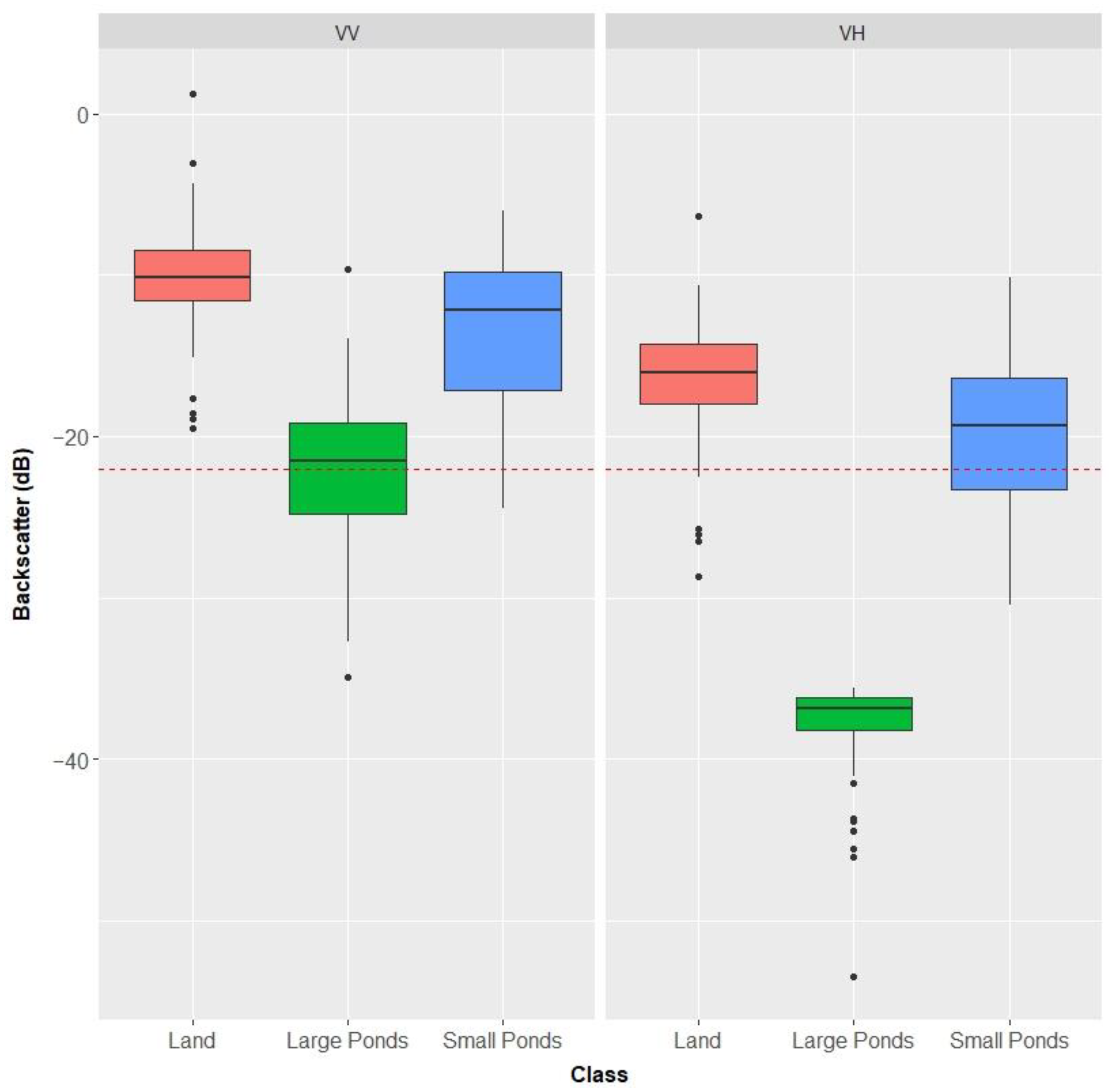
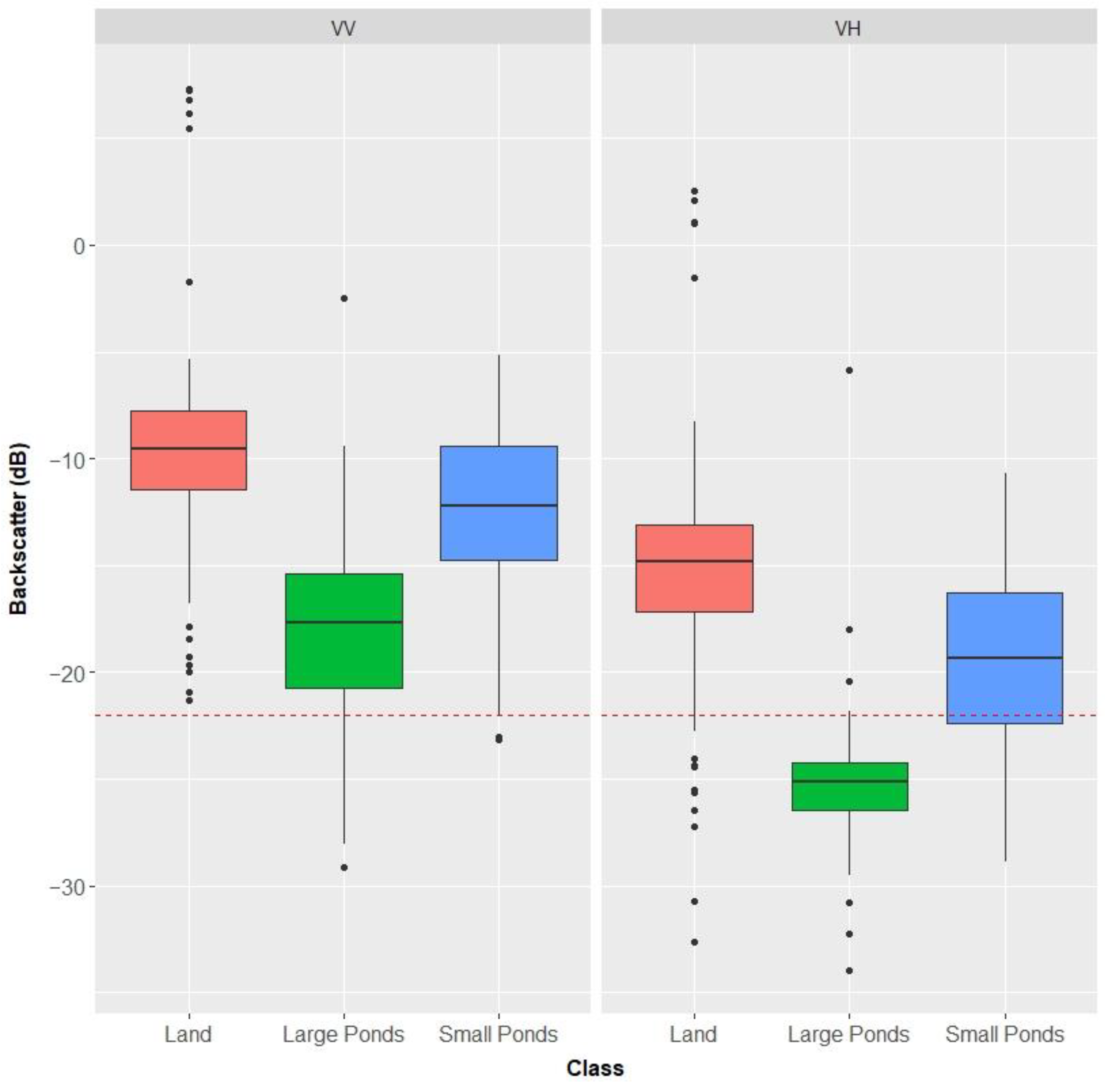
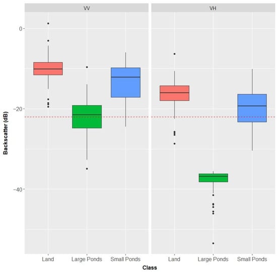
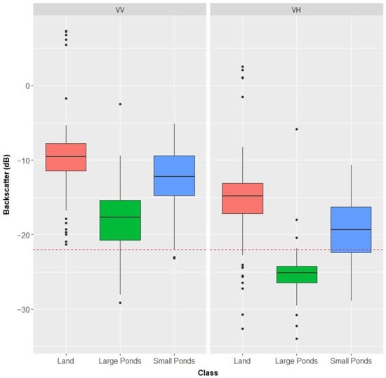
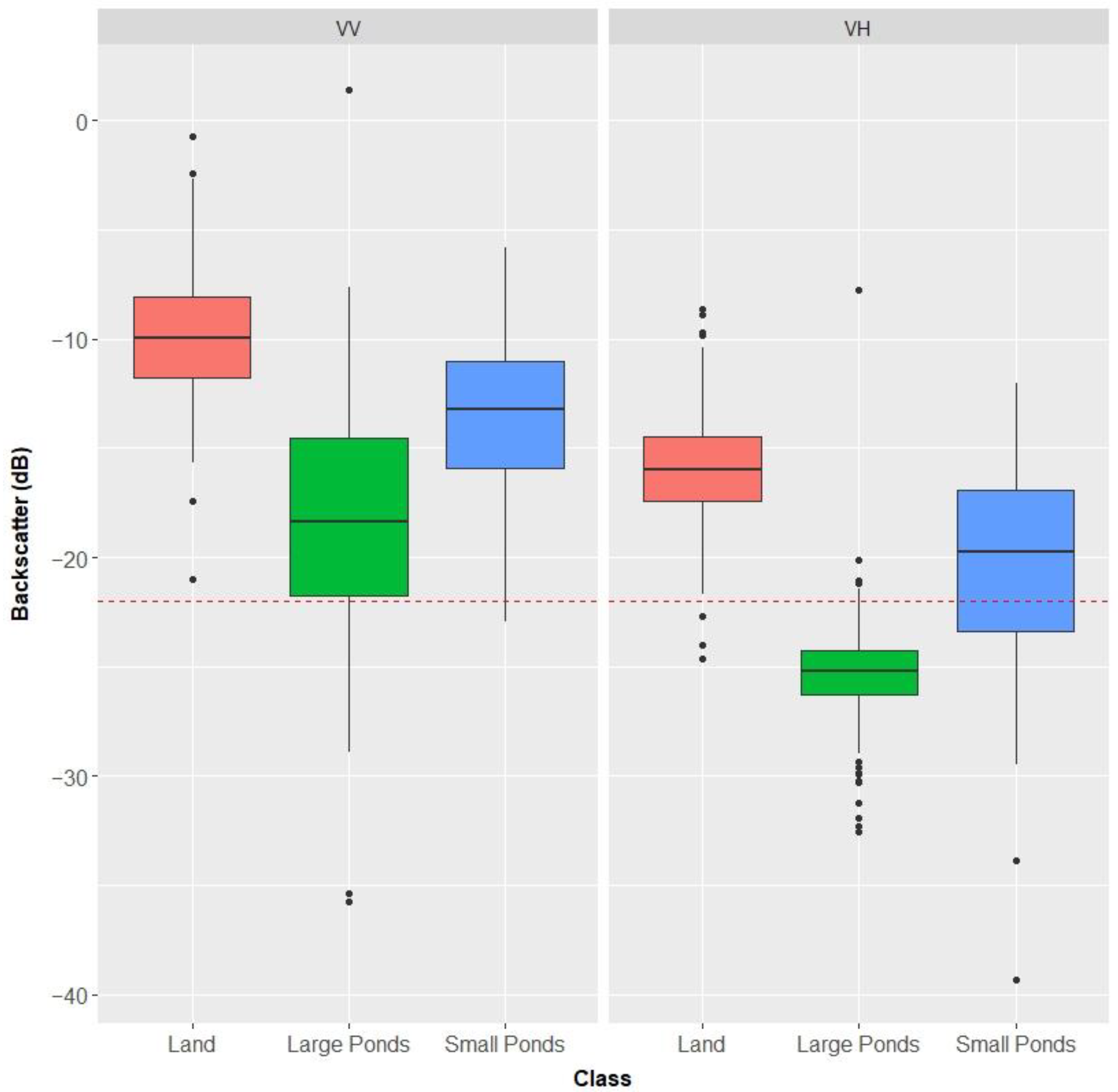
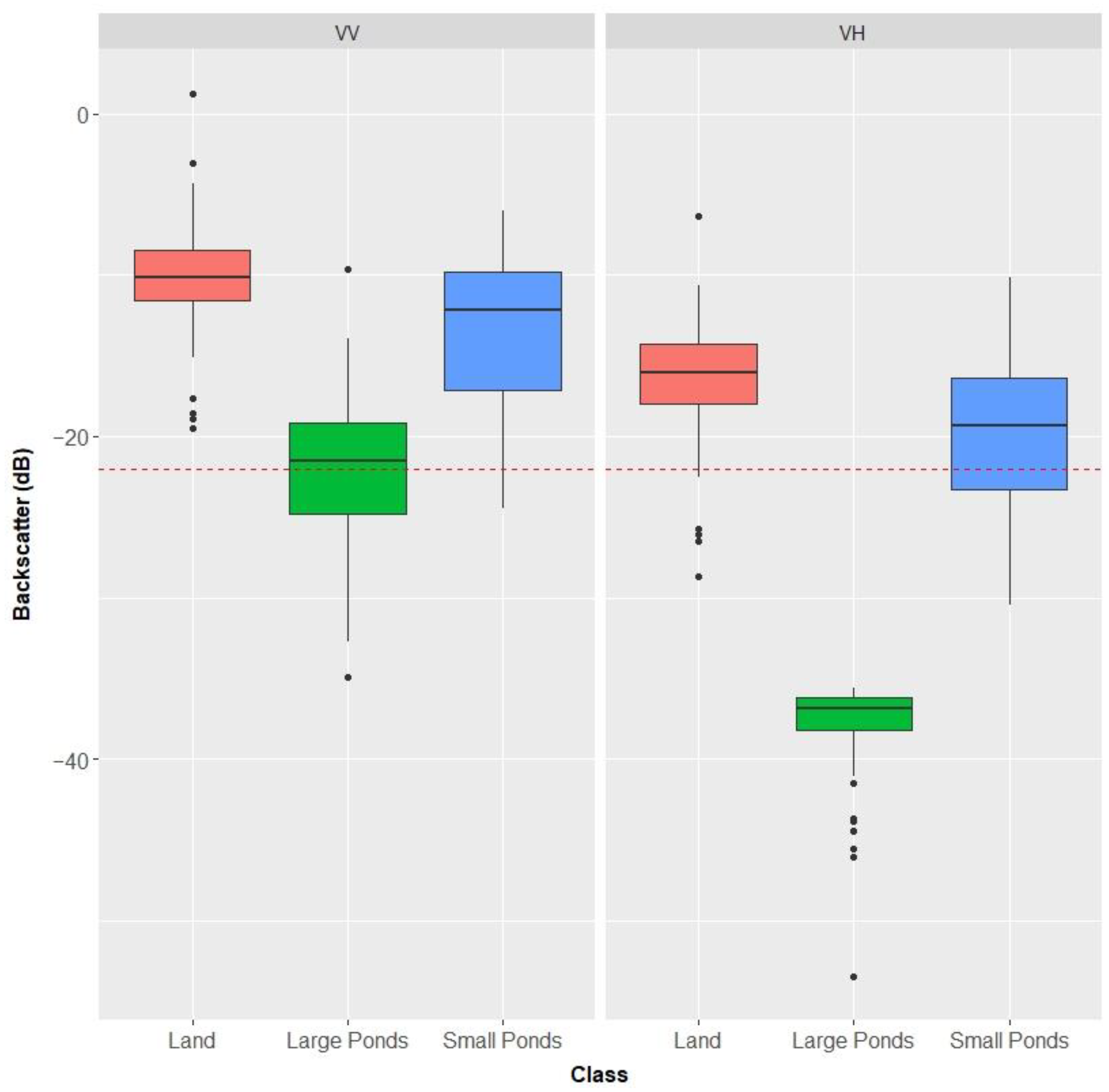
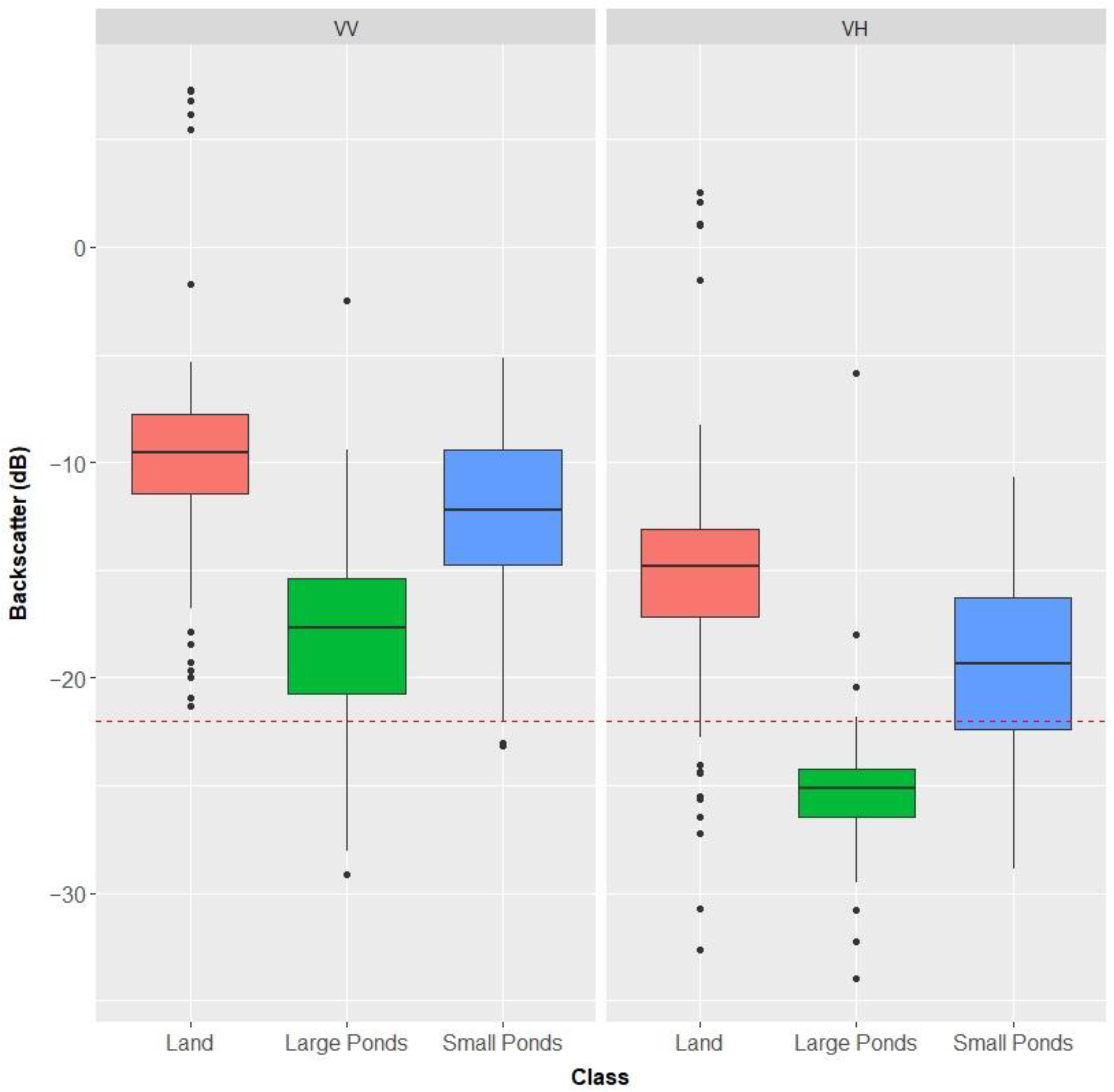
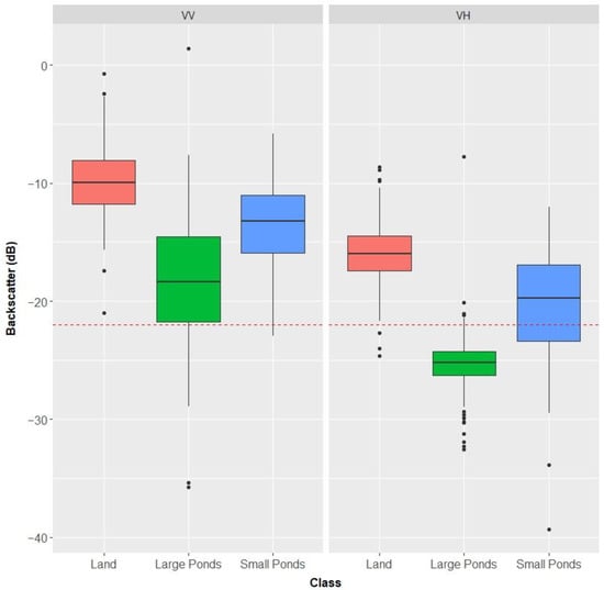
3.2. Sentinel-1 Backscatter Signatures of Small and Large Water Bodies
3.3. Water Body Size and Sentinel-1 Backscatter
4. Discussion
4.1. Temporally Variable Water Bodies
4.2. Small Water Body Backscatter Signature
4.2.1. Multiple Scattering and Geometric Effects
4.2.2. Environmental Conditions
4.3. Implications of Small Peatland Water Body Omission
4.4. Operationalizing Peatland Monitoring
5. Conclusions
Author Contributions
Funding
Data Availability Statement
Acknowledgments
Conflicts of Interest
References
- Wieder, R.K.; Vitt, D.H. Boreal peatland ecosystems. In Ecological Studies; Springer: Berlin/Heidelberg, Germany, 2006. [Google Scholar]
- Limpens, J.; Berendse, F.; Blodau, C.; Canadell, J.G.; Freeman, C.; Holden, J.; Roulet, N.; Rydin, H.; Schaepman-Strub, G. Peatlands and the carbon cycle: From local processes to global implications—A synthesis. Biogeosciences 2008, 5, 1475–1491. [Google Scholar] [CrossRef]
- Turetsky, M.R.; Benscoter, B.; Page, S.; Rein, G.; van der Werf, G.R.; Watts, A. Global vulnerability of peatlands to fire and carbon loss. Nat. Geosci. 2015, 8, 11–14. [Google Scholar] [CrossRef]
- Tarnocai, C. The impact of climate change on Canadian peatlands. Can. Water Resour. J. 2009, 34, 453–466. [Google Scholar] [CrossRef]
- Lin, S.; Liu, Y.; Huang, X. Climate-Induced Arctic-Boreal Peatland Fire and Carbon Loss in the 21st Century. Sci. Total Environ. 2021, 796, 148924. [Google Scholar] [CrossRef]
- Waddington, J.M.; Morris, P.J.; Kettridge, N.; Granath, G.; Thompson, D.K.; Moore, P.A. Hydrological feedbacks in northern peatlands. Ecohydrology 2015, 8, 113–127. [Google Scholar] [CrossRef]
- Nelson, K.; Thompson, D.; Hopkinson, C.; Petrone, R.; Chasmer, L. Peatland-fire interactions: A review of wildland fire feedbacks and interactions in Canadian boreal peatlands. Sci. Total Environ. 2021, 769, 145212–145225. [Google Scholar] [CrossRef]
- Benscoter, B.; Thompson, D.; Waddington, J.; Flannigan, M.; Wotton, M.; Groot, W.; Turetsky, M. Interactive effects of vegetation, soil moisture and bulk density on depth of burning of thick organic soils. Int. J. Wildland Fire 2011, 20, 418–429. [Google Scholar] [CrossRef]
- Keane, R.E.; Burgan, R.; van Wagtendonk, J. Mapping wildland fuels for fire management across multiple scales: Integrating remote sensing, GIS, and biophysical modeling. Int. J. Wildland Fire 2001, 10, 301–319. [Google Scholar] [CrossRef]
- Thompson, D.K.; Parisien, M.-A.; Morin, J.; Millard, K.; Larsen, C.P.S.; Simpson, B.N. Fuel accumulation in a high-frequency boreal wildfire regime: From wetland to upland. Can. J. For. Res. 2017, 47, 957–964. [Google Scholar] [CrossRef]
- Price, D.; Alfaro, R.; Brown, K.; Flannigan, M.; Fleming, R.A.; Hogg, E.H.; Girardin, M.; Lakusta, T.; Johnston, M.; McKenney, D.; et al. Anticipating the consequences of climate change for Canada’s boreal forest ecosystems. Environ. Rev. 2013, 21, 322–365. [Google Scholar] [CrossRef]
- Coogan, S.C.P.; Robinne, F.-N.; Jain, P.; Flannigan, M.D. Scientists’ warning on wildfire—A Canadian perspective. Can. J. For. Res. 2019, 49, 1015–1023. [Google Scholar] [CrossRef]
- Thompson, D.K.; Simpson, B.N.; Whitman, E.; Barber, Q.E.; Parisien, M.-A. Peatland hydrological dynamics as a driver of landscape connectivity and fire activity in the boreal plain of Canada. Forests 2019, 10, 534. [Google Scholar] [CrossRef]
- Price, C.; Rind, D. Possible implications of global climate change on global lightning distributions and frequencies. J. Geophys. Res. 1994, 99, 10823–10831. [Google Scholar] [CrossRef]
- Fill, J.M.; Davis, C.N.; Crandall, R.M. Climate change lengthens southeastern USA lightning-ignited fire seasons. Glob. Chang. Biol. 2019, 25, 3562–3569. [Google Scholar] [CrossRef] [PubMed]
- Li, Y.; Mickley, L.J.; Liu, P.; Kaplan, J.O. Trends and spatial shifts in lightning fires and smoke concentrations in response to 21st century climate over the national forests and parks of the western United States. Atmos. Chem. Phys. 2020, 20, 8827–8838. [Google Scholar] [CrossRef]
- Hu, Y.; Fernandez-Anez, N.; Smith, T.E.L.; Rein, G. Review of emissions from smouldering peat fires and their contribution to regional haze episodes. Int. J. Wildland Fire 2018, 27, 293. [Google Scholar] [CrossRef]
- Langmann, B.; Duncan, B.; Textor, C.; Trentmann, J.; Van der Werf, G.R. Vegetation fire emissions and their impact on air pollution and climate. Atmos. Environ. 2009, 43, 107–116. [Google Scholar] [CrossRef]
- Page, S.E.; Siegert, F.; Rieley, J.O.; Boehm, H.D.V.; Jaya, A.; Limin, S. The amount of carbon released from peat and forest fires in Indonesia during 1997. Nature 2002, 420, 61–65. [Google Scholar] [CrossRef]
- Liu, H.; Zak, D.; Zableckis, N.; Cossmer, A.; Langhammer, N.; Meermann, B.; Lennartz, B. Water pollution risks by smoldering fires in degraded peatlands. Sci. Total Environ. 2023, 871, 161979. [Google Scholar] [CrossRef]
- Wu, Y.; Xu, X.; McCarter, C.P.R.; Zhang, N.; Ganzoury, M.A.; Waddington, J.M.; de Lannoy, C. Assessing leached TOC, nutrients and phenols from peatland soils after lab simulated wildfires: Implications to source water protection. Sci. Total Environ. 2022, 822, 153579. [Google Scholar] [CrossRef]
- Waddington, J.M.; Thompson, D.K.; Wotton, M.; Quinton, W.L.; Flannigan, M.D.; Benscoter, B.W.; Baisley, S.A.; Turetsky, M.R. Examining the utility of the Canadian Forest Fire Weather Index System in boreal peatlands. Can. J. For. Res. 2011, 42, 47–58. [Google Scholar] [CrossRef]
- Tian, X.; Mcrae, D.J.; Boychuk, D.; Jin, J.; Gao, C.; Shu, L.; Wang, M. Comparisons and assessment of forest fire danger systems. For. Stud. China 2005, 7, 53–61. [Google Scholar] [CrossRef]
- Millard, K.; Brown, N.; Stiff, D.; Pietroniro, A. Automated surface water detection from space: A Canada-wide, open-source, automated, near-real time solution. Can. Water Resour. J. 2020, 45, 304–323. [Google Scholar] [CrossRef]
- Schlaffer, S.; Chini, M.; Dorigo, W.; Plank, S. Monitoring Surface Water Dynamics in the Prairie Pothole Region Using Dual-Polarised Sentinel-1 SAR Time Series. Hydrol. Earth Syst. Sci. 2022, 25, 841–860. [Google Scholar] [CrossRef]
- Harris, A. Spectral reflectance and photosynthetic properties of sphagnum mosses exposed to progressive drought. Ecohydrology 2008, 1, 35–42. [Google Scholar] [CrossRef]
- Pekel, J.-F.; Cottam, A.; Gorelick, N.; Belward, A.S. High-resolution mapping of global surface water and its long-term changes. Nature 2016, 540, 418–422. [Google Scholar] [CrossRef]
- Cao, H.; Zhang, H.; Wang, C.; Zhang, B. Operational Flood Detection Using Sentinel-1 SAR Data over Large Areas. Water 2019, 11, 786. [Google Scholar] [CrossRef]
- Sass, G.Z.; Creed, I.F. Characterizing hydrodynamics on boreal landscapes using archived synthetic aperture radar imagery. Hydrol. Process. 2008, 22, 1687–1699. [Google Scholar] [CrossRef]
- Bolanos, S.; Stiff, D.; Brisco, B.; Pietroniro, A. Operational surface water detection and monitoring using Radarsat 2. Remote Sens. 2016, 8, 285. [Google Scholar] [CrossRef]
- Behnamian, A.; Banks, S.; White, L.; Brisco, B.; Millard, K.; Pasher, J.; Chen, Z.; Duffe, J.; Bourgeau-Chavez, L.; Battaglia, M. Semi-Automated Surface Water Detection with Synthetic Aperture Radar Data: A Wetland Case Study. Remote Sens. 2017, 9, 1209. [Google Scholar] [CrossRef]
- Liang, J.; Liu, D. A local thresholding approach to flood water delineation using Sentinel-1 SAR imagery. ISPRS J. Photogramm. Remote Sens. 2020, 159, 53–62. [Google Scholar] [CrossRef]
- Millard, K.; Darling, S.; Pelletier, N.; Schultz, S. Seasonally-decomposed Sentinel-1 backscatter time-series are useful indicators of peatland wildfire vulnerability. Remote Sens. Environ. 2022, 283, 113329. [Google Scholar] [CrossRef]
- Ducks Unlimited Canada. Enhanced Wetland Classification. 2022. Available online: https://www.ducks.ca/resources/industry/enhanced-wetland-classification-inferred-products-user-guide/ (accessed on 5 February 2023).
- Planet Team. Planet Application Program Interface: In Space for Life on Earth; Planet Team: San Francisco, CA, USA, 2022; Available online: https://api.planet.com (accessed on 1 May 2022).
- Gorelick, N.; Hancher, M.; Dixon, M.; Ilyushchenko, S.; Thau, D.; Moore, R. Google earth engine: Planetary-scale geospatial analysis for everyone. Remote Sens. Environ. 2017, 202, 18–27. [Google Scholar] [CrossRef]
- Sentinel-1 SAR GRD: C-Band Synthetic Aperture Radar Ground Range Detected, Log Scaling. Earth Engine Data Catalog, Google. 2023. Available online: https://developers.google.com/earth-engine/datasets/catalog/COPERNICUS_S1_GRD (accessed on 18 April 2023).
- Lee, J.S.; Jurkevich, L.; Dewaele, P.; Wambacq, P.; Oosterlinck, A. Speckle filtering of synthetic aperture radar images: A review. Remote Sens. 1994, 8, 313–340. [Google Scholar] [CrossRef]
- Hogg, R.V.; Tanis, E.A. Probability and Statistical Inference, 7th ed.; Prentice Hall: Upper Saddle River, NJ, USA, 2006. [Google Scholar]
- Huang, W.; DeVries, B.; Huang, C.; Lang, M.W.; Jones, J.W.; Creed, I.F.; Carrol, M.L. Automated Extraction of Surface Water Extent from Sentinel-1 Data. Remote Sens. 2018, 10, 797. [Google Scholar] [CrossRef]
- Otsu, N. A threshold selection method from gray-level histograms. In IEEE Transactions on Systems, Man, and Cybernetics; IEEE: Washington, DC, USA, 1979; Volume 9, pp. 62–66. [Google Scholar]
- Liang, P.; Yan, C. Study on mixed pixel classification method of remote sensing image based on fuzzy theory. In Proceedings of the 2009 Joint Urban Remote Sensing Event, Shanghai, China, 20–22 May 2009; pp. 1–7. [Google Scholar]
- Rover, J.; Wylie, B.K.; Ji, L. A self-trained classification technique for producing 30 m percent-watermaps from Landsat data. Int. J. Remote Sens. 2010, 31, 2197–2203. [Google Scholar] [CrossRef]
- Xie, H.; Luo, X.; Xu, X.; Pan, H.; Tong, X. Automated Subpixel Surface Water Mapping from Heterogeneous Urban Environments Using Landsat 8 OLI Imagery. Remote Sens. 2016, 8, 584. [Google Scholar] [CrossRef]
- DeVries, B.; Huang, C.; Lang, M.W.; Jones, J.W.; Huang, W.; Creed, I.F.; Carroll, M.L. Automated Quantification of Surface Water Inundation in Wetlands Using Optical Satellite Imagery. Remote Sens. 2017, 9, 807. [Google Scholar] [CrossRef]
- Tian, H.; Wang, L.; Wu, M.; Huang, N.; Li, G.; Li, X.; Niu, Z. Dynamic Monitoring of the Largest Freshwater Lake in China Using a New Water Index Derived from High Spatiotemporal Resolution Sentinel-1A Data. Remote Sens. 2017, 9, 521. [Google Scholar] [CrossRef]
- Grimaldi, S.; Xu, J.; Li, Y.; Pauwels, V.R.N.; Walker, J.P. Flood mapping under vegetation using single SAR acquisitions. Remote Sens. Environ. 2020, 237, 111582. [Google Scholar] [CrossRef]
- Pierdicca, N.; Pulvirenti, L.; Chini, M. Flood Mapping in Vegetated and Urban Areas and Other Challenges: Models and Methods. Flood Monitoring through Remote Sensing; Refice, A., D’Addabbo, A., Capolongo, D., Eds.; Springer: Cham, Switzerland, 2018. [Google Scholar]
- Ducks Unlimited Canada and the Canadian Sphagnum Peat Moss Association Announce Partnership on World Peatlands Day. Available online: https://www.ducks.ca/news/national/peatlands-day/ (accessed on 30 September 2022).








| Month | # of Small Water Bodies | Mean Size (m2) (±σ) | Maximum Size (m2) |
|---|---|---|---|
| May | 225 | 2062 (±6685) | 73,927 |
| July | 121 | 1571 (±7493) | 64,245 |
| September | 87 | 1336 (±9425) | 70,761 |
| Month | VV | VH | Polarized Ratio | NDPI | NVHI | NVVI |
|---|---|---|---|---|---|---|
| May | <0.001 | <0.001 | <0.001 | <0.001 | <0.001 | <0.001 |
| July | <0.001 | <0.001 | <0.001 | <0.001 | <0.001 | <0.001 |
| September | <0.001 | <0.001 | 0.014 | 0.023 | 0.023 | 0.023 |
| Month | VV | VH | Polarized Ratio | NDPI | NVHI | NVVI |
|---|---|---|---|---|---|---|
| May | <0.001 | <0.001 | 0.023 | 0.023 | 0.023 | 0.023 |
| July | <0.001 | <0.001 | 0.615 | 0.485 | 0.485 | 0.485 |
| September | <0.001 | <0.001 | 0.025 | 0.025 | 0.025 | 0.025 |
Disclaimer/Publisher’s Note: The statements, opinions and data contained in all publications are solely those of the individual author(s) and contributor(s) and not of MDPI and/or the editor(s). MDPI and/or the editor(s) disclaim responsibility for any injury to people or property resulting from any ideas, methods, instructions or products referred to in the content. |
© 2023 by the authors. Licensee MDPI, Basel, Switzerland. This article is an open access article distributed under the terms and conditions of the Creative Commons Attribution (CC BY) license (https://creativecommons.org/licenses/by/4.0/).
Share and Cite
Schultz, S.; Millard, K.; Darling, S.; Chénier, R. Investigating the Use of Sentinel-1 for Improved Mapping of Small Peatland Water Bodies: Towards Wildfire Susceptibility Monitoring in Canada’s Boreal Forest. Hydrology 2023, 10, 102. https://doi.org/10.3390/hydrology10050102
Schultz S, Millard K, Darling S, Chénier R. Investigating the Use of Sentinel-1 for Improved Mapping of Small Peatland Water Bodies: Towards Wildfire Susceptibility Monitoring in Canada’s Boreal Forest. Hydrology. 2023; 10(5):102. https://doi.org/10.3390/hydrology10050102
Chicago/Turabian StyleSchultz, Samantha, Koreen Millard, Samantha Darling, and René Chénier. 2023. "Investigating the Use of Sentinel-1 for Improved Mapping of Small Peatland Water Bodies: Towards Wildfire Susceptibility Monitoring in Canada’s Boreal Forest" Hydrology 10, no. 5: 102. https://doi.org/10.3390/hydrology10050102
APA StyleSchultz, S., Millard, K., Darling, S., & Chénier, R. (2023). Investigating the Use of Sentinel-1 for Improved Mapping of Small Peatland Water Bodies: Towards Wildfire Susceptibility Monitoring in Canada’s Boreal Forest. Hydrology, 10(5), 102. https://doi.org/10.3390/hydrology10050102

