Abstract
Background: The genus Stachys L. (Lamiaceae) includes about 300 species as annual or perennial herbs or small shrubs, spread in temperate regions of Mediterranean, Asia, America and southern Africa. Several species of this genus are extensively used in various traditional medicines. They are consumed as herbal preparations for the treatment of stress, skin inflammations, gastrointestinal disorders, asthma and genital tumors. Previous studies have investigated the chemical constituents and the biological activities of these species. Thus, the present review compiles literature data on ethnomedicine, phytochemistry, pharmacological activities, clinical studies and the toxicity of genus Stachys. Methods: Comprehensive research of previously published literature was performed for studies on the traditional uses, bioactive compounds and pharmacological properties of the genus Stachys, using databases with different key search words. Results: This survey documented 60 Stachys species and 10 subspecies for their phytochemical profiles, including 254 chemical compounds and reported 19 species and 4 subspecies for their pharmacological properties. Furthermore, 25 species and 6 subspecies were found for their traditional uses. Conclusions: The present review highlights that Stachys spp. consist an important source of bioactive phytochemicals and exemplifies the uncharted territory of this genus for new research studies.
1. Introduction
The genus Stachys L., a large member of the Lamiaceae family, comprises more than 300 species, dispersing in temperate and tropical regions of Mediterranean, Asia, America and southern Africa [1,2,3]. Up to now, the most established and comprehensive classification of the genus is introduced by Bhattacharjee (1980), categorizing into two subgenera Betonica L. and Stachys L. [2,3]. The subgenus Stachys includes 19 sections, while the subgenus Betonica comprises 2 sections [1]. However, the two subgenera present important botanical and phytochemical differences which differentiate them [1,4,5].
Stachys species grow as annual or perennial herbs or small shrubs with simple petiolate or sessile leaves. The number of verticillate ranges from four to many-flowered, usually forming a terminal spike-like inflorescence. Calyx tubes are tubular-campanulate, 5 or 10 veined, regular or weakly bilabiate with five subequal teeth. Corolla has a narrow tube, 2-lipped; upper lip flat or hooded and generally hairy, while the lower lip is 3-lopped and glabrous to hairy. The nutlets are oblong to ovoid, rounded at apex [6].
The genus name derived from the Greek word «stachys (=στάχυς) », referring to the type of the inflorescence which is characterized as “spike of corn” and resembles to the inflorescences of the species of genus Triticum L. (Gramineae). In ancient times, the name “stachys” referred mainly to the species Stachys germanica L. whose inflorescence is like an ear and is covered with off-white trichome [7]. The Latin name of the genus is trifarium (=tomentose) [8].
Historically, Dioscorides mentioned the species S. germanica L. with the name “stachys” [9]. However, in late Byzantine era, ‘Nikolaos Myrepsos’ included some species of the genus Stachys (S. germanica L., S. officinalis (L.) Travis, S. alopecuros (L.) Benth.) in his medical manuscript “Dynameron”. Precisely, S. officinalis and S. alopecuros were probably included in 11 recipes, under the names vetoniki, drosiovotanon, lauriole, kakambri, while S. germanica was added in 1 recipe referred as stachys [10].
Many species of the genus are extensively used in traditional medicine of several countries, having various names. For instance, the species S. recta, known as yellow woundwort, is called as “erba della paura” (=“herb that keeps away fear”) in Italy, attributing to the anxiolytic properties of its herbal tea, while S. lavandulifolia Vahl is called as “Chaaye Koohi” in Iran [11,12,13]. In addition, herbal preparations of Stachys spp. are widely consumed in folk medicine to treat a broad array of disorders and diseases, including stress, skin inflammations, stomach disorders and genital tumors [3,14,15]. Specially, the herbal teas of these plants, known as “mountain tea”, are used for skin and stomach disorders [12,16]. The latter common name could lead to a misinterpretation since the herbal remedies of any Sideritis species are globally known with the same name.
In the international literature, Stachys species have been broadly studied through several phytochemical and pharmacological investigations, justifying their ethnopharmacological uses. Of special pharmacological interest are considered the anti-inflammatory, antioxidant, analgesic, renoprotective, anxiolytic and antidepressant activity [3,17,18,19]. The range of the therapeutic properties attributed to these species have been associated to their phytochemical content. Therefore, genus Stachys has received much attention for the screening of its bioactive secondary metabolites from different plant parts. In general, more than 200 compounds have been isolated from this genus, belonging to the following important chemical groups; terpenes (e.g., triterpenes, diterpenes, iridoids), polyphenols (e.g., flavone derivatives, phenylethanoid glycosides, lignans), phenolic acids and essential oils [3,5,14,20,21,22].
Consequently, plants of genus Stachys are considered a great source of phytochemicals with therapeutic and economic applications. Given the increasing demand for natural products, many Stachys species have been cultivated for uses in traditional medicine, in food market, in cosmetic industry and for ornamental reasons [21,22]. Despite the widely uses of the specific species and the large amount of research studies, there has been no recent comprehensive review including all the latest data of the specific genus and its contribution in medicine. Up to now, the available reviews are centered to the phytochemical profile and biological activities of Stachys spp. in correlation to chemotaxonomy approach [3,21,22,23]. Thus, this review summarizes the current state of knowledge on the traditional uses, phytochemistry, pharmacological activities, clinical studies and toxicity of the genus Stachys L.
2. Materials and Methods
A comprehensive search on previous studies was conducted on scientific databases such as PubMed, Scopus, Google scholar and Reaxys, including the years 1969–2020. The search terms “Stachys”, “Stachys compounds”, “Stachys phytochemicals”, “Stachys pharmacological” and “Stachys traditional uses” were used for data collection. Searches were performed for other potential studies by manual screening references in the identified studies. In total, 161 publications describing the traditional uses, bioactive compounds, pharmacological properties and the toxicity of the genus Stachys were included, excluding articles focuses on taxonomy, botany and agronomy. The traditional medicinal uses of Stachys species were reported in Table 1, while the isolated specialized products were categorized by species in Table 2, Table 3, Table 4, Table 5, Table 6, Table 7, Table 8, Table 9, Table 10, Table 11, Table 12, Table 13, Table 14 and Table 15, with the attempt of the discrimination between publications describing metabolites′ isolation (including NMR data) or identification/screening (by means of HPLC, LC-MS, etc.). The chemical structures of the bioactive compounds were showed in Table 16, Table 17, Table 18, Table 19, Table 20, Table 21, Table 22, Table 23, Table 24, Table 25, Table 26, Table 27, Table 28 and Table 29. The reported biological activities of extracts/compounds of the last five years were mentioned by Stachys species in Table 30. The general characteristics of the analyzed studies in the current review are showed in Table 31. According to recent publications which support the division of the genus Stachys based on Bhattacharjee (1980), the classification in the present review is formed on this latter study. The species name and their synonyms are quoted as reporting in databases “Plant list” or “Euro + Med” or “IPNI” [24,25,26].
Table 1.
Stachys species with reported traditional medicinal uses.
Table 2.
Flavones isolated from Stachys spp.
Table 3.
Poly-methylated flavonoids from Stachys spp.
Table 4.
Flavonols from Stachys spp.
Table 5.
Flavanones from Stachys spp.
Table 6.
Biflavonoid from Stachys spp.
Table 7.
Phenolic derivatives from Stachys spp.
Table 8.
Acetophenone glycosides from Stachys spp.
Table 9.
Lignans from Stachys spp.
Table 10.
Phenylethanoid glycosides from Stachys spp.
Table 11.
Phenylpropanoid glucosides from Stachys spp.
Table 12.
Iridoids from Stachys spp.
Table 13.
Diterpenes from Stachys spp.
Table 14.
Triterpene derivatives, Phytosterols and Phytoecdysteroids from Stachys spp.
Table 15.
Megastigmane derivatives from Stachys spp.
Table 16.
Chemical structures of flavones isolated from Stachys spp.
Table 17.
Chemical structures of poly-methylated flavonoids from Stachys spp.
Table 18.
Chemical structures of flavonols from Stachys spp.
Table 19.
Chemical structures of flavanones from Stachys spp.
Table 20.
Chemical structure of biflavonoid from Stachys spp.
Table 21.
Chemical structures of phenolic derivatives from Stachys spp.
Table 22.
Chemical structures of acetophenone glycosides from Stachys spp.
Table 23.
Chemical structures of lignans from Stachys spp.
Table 24.
Chemical structures of phenylethanoid glycosides from Stachys spp.
Table 25.
Chemical structures of phenylpropanoid glucosides from Stachys spp.
Table 26.
Chemical structures of iridoids from Stachys spp.
Table 27.
Diterpenes from Stachys spp.
Table 28.
Triterpene derivatives, Phytosterols and Phytoecdysteroids from Stachys spp.
Table 29.
Chemical structures of megastigmane derivatives from Stachys spp.
Table 30.
Pharmacological activities of Stachys spp.
Table 31.
General characteristics of the analyzed studies in the current review.
3. Traditional Medicinal Uses of Genus Stachys
Several Stachys spp. have been used in various ethnomedicines for thousands of years. A plethora studies mentioned their diverse traditional medicinal uses. In the current review, a detailed description of the available data of the traditional uses of Stachys spp. is shown in Table 1, reporting 25 species and 6 subspecies of this genus. A careful overview of the specific table reveals that the ethnomedicinal use of Stachys spp. is particularly in the area covering of Mediterannean to Iran. Most of the species are consumed as herbal teas for the treatment of infections, common cold, gastrointestinal disorders, inflammation, skin disorders/wounds, asthma and anxiety.
The species S. affinis is widely used in Chinese traditional medicine for several uses such as common cold, heart disease, pain relief, antioxidant activity, ischemic brain injury, dementia and gastrointestinal related diseases [27,28,29,30]. Another species applied in Chinese folk medicine is S. geobombycis, known as DongChongXiaCao, which is recommended as tonic and interestingly, this species is also used in Europe and Japan [22].
In Iran, several species are applied as traditional therapeutic agents in various conditions, including S. acerosa [31], S. fruticulosa [32], S. byzantina (known in Farsi as “lamb’s ear” or “lamb’s tongue” or “sonbolehe noghrehi” or “zabanehe bare”) [33,34,35], S. inflata (local names; ′′poulk′′ or “Ghol-e-Argavan”) [31,36,37], S. lavandulifolia (known as “Chaaye Koohi”) [12,13,31,38,39,40,41,42,43,44], S. pilifera [31,45], S. schtschegleevii [32,34,46], S. sylvatica [47] and S. turcomanica [34]. Of considerable interest, S. sylvatica (common name “hedge woundwort”) is recommended for the treatment of women with polycystic ovary syndrome (PCOS) [47].
Furthermore, in Turkish folk medicine, the species S. cretica subsp. anatolica, S. cretica subsp. mersinaea, S. iberica subsp. georgica, S. iberica subsp. stenostachya, S. kurdica, S. lavandulifolia and S. obliqua are used mainly to treat colds, cough, stomach ache and as antipyretic agents, while S. sylvatica is applied in cardiac disorders [22,48,49,50].
In Italy, the infusions of the leaves of S. annua and S. recta are used to wash the face to reveal headache [51], whereas the aerial parts of the subspecies S. annua subsp. annua, known as “stregona annual” or “erba strega”, are consumed as anti-catarrhal, febrifuge, tonic and vulnerary [52]. The decoction of the aerial parts of S. recta is also consumed as purative and for bad luck/spirit [53,54]. Interestingly, S. annua and S. arvensis, as well as the subspecies S. recta subsp. recta are applied against evil eye [11,51,52,55]. Moreover, in an area of central Italy, the species S. officinalis is used as oily extract to treat wounds and to dye wood yellow [29,54]. To be mentioned that S. recta is listed in the European Pharmacopeia, as well as S. officnalis is mentioned in Anthroposophic Pharmaceutical Codex (APC) [22]. However, Gören (2011) reported that some species (e.g., S. annua, S. recta and S. sylvatica) have been mentioned to be poisonous [22].
In North Greece, the infusion and decoction of S. iva are consumed against common cold and gastrointestinal disorders [56]. In addition, Fazio et al. (1994) reported different formulations of the Greek species S. mucronata applied in Greek tradition medicine. Precisely, the decoction of this species is consumed as an antirheumatic and antineuralgic agent, as well as the juice of fresh leaves is applied in wounds and ulcers. Moreover, the infusion of fresh leaves has antidiarrhoic effect, while the infusion of roots is purgative [57].
In addition to traditional medicinal uses, some species of genus Stachys are also consumed as edible plants, vegetables and food additives like the tubers of S. affinis (known as Chinese artichoke/chorogi; China/Japan) in China and Japan [22,27], the aerial parts of S. lavandulifolia in Iran [31], or the S. palustris in Poland [22,58]. The latter species is also included in the diet in Sweden, Ukraine and Great Britain [22]. Moreover, the dried powder of S. palustris is used as an additive for bread in Europe, thus it is known as “mayday flour” [22].
The infusion of the aerial parts of Stachys sp. LAM is used as traditional remedy for colic, gases and swollen stomach in Peru [22,59]. It is noteworthy to mention that a few species have been used in veterinary such as S. germanica and S. officinalis [30,54].
4. Chemical Composition
Various non-volatile chemical constituents have been reported from different species of genus Stachys, categorizing into important chemical groups including fatty acids, alkaloids (e.g., stachydrine, turiaine), triterpenes, phytosterols, phytoecdysteroids, diterpenes, iridoids, flavonoids, phenylpropanoid glucosides, acetophenones, phenylethanoid glycosides, lignans, phenolic acids, megastigmanes and polysaccharides [3,20,21,23,67]. The present survey was focused on all the above groups, excluded fatty acids and alkaloids due to the limited available studies. This section summarizes the phytochemicals from the genus Stachys which are mainly responsible for its pharmacological benefits, presented in Table 2, Table 3, Table 4, Table 5, Table 6, Table 7, Table 8, Table 9, Table 10, Table 11, Table 12, Table 13, Table 14 and Table 15. To be mentioned that large number of phytochemicals were mainly discovered from the aerial parts, leaves and a few were found in stems and roots.
4.1. Flavonoids
The genus Stachys consists a rich source of flavonoids. Accumulating studies have reported the several types of flavonoids occurring in Stachys spp., including flavones (Table 2 and Table 16), poly-methylated flavones (Table 3 and Table 17), flavonols (Table 4 and Table 18), flavanones (Table 5 and Table 19) and one biflavonoid (Table 6 and Table 20).
Regarding the flavone derivatives (Table 2 and Table 16), 18 flavone 7-O-acetylallosylglucosides were mentioned in the most species of subgenus Stachys (31 species). The flavone 7-O-glucosides were also found in many species through the two subgenera. Marin et al. (2004) reported that tricetin 3′,4′,5′-trimethyl-7-O-glucoside (62) consists a chemotaxonomic marker for the subgenus Betonica [5]. Precisely, selgin 7-O-glucoside (59), tricin 7-O-glucoside (61) and tricetin 3′,4′,5′-trimethyl-7-O-glucoside (62) were identified from the leaves of three species of the latter subgenus; S. alopecuros (section Betonica), S. officinalis (section Betonica) and S. scardica (section Macrostachya) [5]. Furthermore, derivatives of apigenin p-coumaroyl glucosides and chrysoeriol p-coumaroyl glucosides were reported in Stachys species, though some p-coumaroyl glucosides (not determined) were also identified [5,75]. To be mentioned that chrysoeriol 7-O-glucoside (43), chrysoeriol p-coumaroyl glucosides (46,47) and chrysoeriol 7-O-[6″′-O-acetyl-allosyl]-(1→2)-glucoside (stachyspinoside) (44) were mainly isolated from wild Greek taxa of the subgenus Stachys [3,77,98,99,102], apart from the Greek species S. ionica [20], S. tetragona [100] and the cultivated species S. iva [56]. Nazemiyeh et al. (2006) investigated the phytochemical profile of the stems of S. schtschegleevii, reporting four flavonoids, among them were also two p-coumaroyl derivatives of apigenin and chrysoeriol [74]. Moreover, flavone 7-O-mannosylglucosides were reported from the two species S. atherocalyx (section Eriostomum) and S. spectabilis (section Olisia) [72,89,90]. Few flavone C-glucosides were mentioned in the species S. aegyptiaca (subg. Stachys; sect. Ambleia), S. officinalis (subg. Betonica; sect. Betonica), and S. scardica (subg. Betonica; sect. Macrostachya) [5,68,104]. Zinchenko (1973) reported the existence of two derivatives of methoxybaicalein, namely palustrin (63) and palustrinoside (64), from the species S. palustris of subgenus Stachys (section Stachys) [104]. Notably, the subterranean organs of S. annua were investigated and the isolation of two flavone derivatives was reported, namely 4′-O-methyl-isoscutellarein (12) and 4′-O-methyl-isoscutellarein-7-O-(6″′-O-acetyl)allopyranosyl-(1→2)-glucopyranoside (21) [95].
Furthermore, our survey revealed the presence of poly-methylated flavones in the genus Stachys (Table 3 and Table 17). Precisely, six species and four subspecies from subgenus Stachys, as well as one species from subgenus Betonica, are found to contain poly-methylated flavones. The most common representative was xanthomicrol (69) which was mentioned in seven Stachys species and subspecies of different sections from the subgenus Stachys [20,68,74,77,78,102,107]. In the stems of the species S. schtschegleevii, apart from xanthomicrol (69), was also found circimaritin (66) [74].
A few studies mentioned the existence of flavonols in Stachys spp. (Table 4 and Table 18), mainly in species occurred in Greece. Afouxenidi and colleagues (2018) isolated kaempferol (91) from the n-butanol residue of the aerial parts of S. tetragona [100], which was also identified in the aerial parts of S. cretica subsp. smyrnaea [81]. Moreover, isorhamnetin (92) was isolated from the methanol extract of the aerial parts of S. swainsonii subsp. swainsonii and S. swainsonii subsp. argolica [102]. A study conducted by Marin et al. (2004) identified the presence of quercetin 3-O-rutinoside (93) and isorhamnetin 3-O-glucoside (94) from the aerial parts of S. palustris [5].
In addition, three flavanones were isolated from three species of the genus Stachys (Table 5 and Table 19). Eriodictyol (95) was mentioned in S. cretica [108] and in one subspecies of S. swainsonii [102], while naringenin (96) was isolated from the aerial parts of the species S. aegyptiaca [104]. A flavanone rutinoside, known as hesperidin (97), was identified as one of the major compounds of the aerial parts of S. cretica subsp. smyrnaea [81].
Of great interest is the isolation of a rare diflavone ester of μ-truxinic acid, namely stachysetin (98). It is well-known that diglycoside flavone esters of dicarboxylic acids are rare compounds in plant kingdom. Stachysetin was firstly isolated from the ethanol extract (70% v/v) of the aerial parts of S. aegyptiaca [69]. Then, Murata and co-workers (2008) reported it in the methanol residue (80% v/v) of the aerial parts of S. lanata [82]. In a current study carried out by Pritsas et al. (2020), stachysetin was isolated from the methanol: aqueous (5:1) extract from the flowering aerial parts of the cultivated S. iva (Table 6 and Table 20) [56]. Up to now, there is no report of this secondary metabolite in the species of the subgenus Betonica. The presence of this rare natural compound in the sections Ambleia, Eriostomum and Candida of the subgenus Stachys might be considered as a chemotaxonomic marker among the two subgenera and of the genus Stachys.
4.2. Phenolic Derivatives; Acetophenone Derivatives
Regarding the phenolic derivatives of genus Stachys (Table 7 and Table 21), mainly chlorogenic acid (103) was appeared in nine Stachys species; S. candida [78], S. iva [56], S. cretica (S. cretica subsp. smyrnaea [81], S. cretica subsp. mersinaea [108], S. cretica subsp. vacillans [112]), S. lanata [82], S. tmolea [85], S. thirkei [84], S. recta [14], S. palustris [104] and S. officinalis [111]. The isomers of chlorogenic acid (102, 104, 105) also reported in S. atherocalyx [110], S. recta [14] and S. palustris [23,104]. Caffeic (108) and p-coumaric (106) acids were found in two Stachys spp. [104,110]. Moreover, Kirkan (2019) identified vanillic (100) and syringic (101) acids from the aerial parts of S. cretica subsp. vacillans [112]. Though, 4-hydroxybenzoic acid (99) was reported from S. tmolea [85]. Arbutin (107) was also identified in the aerial parts of S. germanica subsp. salviifolia [109]. One study also reported the presence of acetophenone derivatives from the roots of S. lanata, namely androsin (109), neolloydosin (110) and glucoacetosyringone (111) (Table 8 and Table 22) [82]. The isolation of the latter compounds might be attributed to the different investigated plant parts (roots).
4.3. Lignans
Lignans are types of polyphenols with diverse structures. Although these bioactive compounds were presented in Lamiaceae family [149], a few studies reported their existence in plants of genus Stachys. Specifically, three lignans categorizing into two furanofuran-type derivatives (sesamin and paulownin) and one benzofuran-type lignan (urolignoside) were reported in two species of the subgenus Stachys (Table 9 and Table 23). Laggoune et al. (2016) isolated sesamin (112) and paulownin (113) from the aerial parts of S. mialhesii [103], while urolignoside (114) was isolated from the aerial parts of S. tetragona [100]. Given that up to now there is no study reported the presence of lignans in the subgenus Betonica, the identification of lignans might be considered as a chemotaxonomic difference between the two subgenera Stachys and Betonica.
4.4. Phenylethanoid Glycosides; Phenylpropanoid Glucosides
The present review unveiled 29 phenylethanoid glycosides in 17 Stachys species (Table 10 and Table 24). Acteoside or verbascoside (118) was the most abundant found in 16 Stachys spp. of all sections through this survey. Additional phenylethanoid glycosides isolated and identified from this genus includes martynoside, leucosceptoside A and lavandulifoliosides. Lavandulifolioside A (or stachysoside A) (129) was firstly isolated from the methanol extract of the aerial parts of S. lavandulifolia in 1988 [115], while in 2011 Delazar et al. (2011) isolated lavandulifolioside B (130) from the same plant, for the first time [12]. Moreover, three phenylethanoid glycosides were reported from the aerial parts of S. byzantina (section Eriostomum), including verbascoside (118), 2′-O-arabinosyl verbascoside (122) and aeschynanthoside C (133) [35]. Among them, the first and the last compound has been isolated only from the specific species. A survey conducted by Murata and co-workers (2008) reported ten phenylethanoid glycosides from different plant parts [82]. In the aforementioned study, leonoside B (or stachysoside D) (134) and martynoside (135) were mentioned from the aerial parts of S. lanata, while from the roots of the specific species were reported eight phenylethanoid glycosides, namely rhodioloside (115), verbasoside (116), 2-phenylethyl-D-xylopyranosyl-(1→6)-D-glucopyranoside (117), verbascoside (118), isoacteoside (119), darendoside B (120), campneoside II (121) and campneoside I (136). It is remarkable to point out that compounds 115, 117 and 120 haven′t been reported in other Stachys species. This might be attributed to the fact that the plant material was roots. Another study carried out by Karioti et al. (2010) focused on the phenolic compounds from the aerial parts of S. recta, and reported many phenylethanoid glycosides from its aerial parts, including acteoside (118), isoacteoside (119), β-OH-acteoside (121), betunyoside E (127), campneoside I (136), forsythoside B (137), β-OH-forsythoside B methyl ether (138) [14]. Furthermore, lamiophloside A (141) was isolated with some other phenylethanoid glycosides from the aerial parts of S. tetragona [100]. Of great interest is that our survey revealed that this constituent is mentioned only in the specific species. Two rare phenylethanoid glycosides, parviflorosides A-B (142–143) were isolated from the whole plant of S. parviflora [120]. These two compounds are characterised by the presence of a third saccharide (rhamnose) linked to the proton H-2′ of glucose, comparing to others common phenylethanoid glycosides where the connection of the third saccharide is in proton H-3′ of glucose. Of great interest is that S. parviflora is now considered as the monotypic genus Phlomidoschema (only P. parviflorum (Benth.) Vved.) [2]. Furthermore, leonoside A (or stachysoside B) (139) was isolated with other three phenylethanoid glucosides from the whole plant of S. riederi [114]. To be mentioned that phenylethanoid glycosides were reported in both subgenera of genus Stachys.
Apart from phenylethanoid glucosides, Murata et al. (2008) mentioned two phenylpropanoid glucosides in the roots of S. lanata (subg. Stachys; sect. Eriostomum), coniferin (144) and syringin (145) (Table 11 and Table 25) [82]. It is worth to mention that the isolation of phenylpropanoid glucosides only from the specific plant, might be assigned to the different studied plant material (roots).
4.5. Iridoids
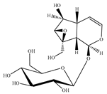
Iridoids are among the major chemical compounds found in genus Stachys. According to Tundis et al. (2014), iridoids are considered as good chemotaxonomic markers of this genus [3]. Accumulating phytochemical studies have reported diverse types of iridoids [3]. The present review summarises all these studies, exemplifying 38 Stachys species which their iridoid cargo has been investigated (Table 12 and Table 26). Harpagide (148; 31 species) and its acetyl derivative; 8 acetyl-harpagide (150; 28 species) are of common occurrence in genus Stachys and might be considered as characteristic iridoids of these plants. Furthermore, ajugol (146; 18 species), ajugoside (147; 18 species), melittoside (166; 17 species), monomelittoside (165; 4 species) and 5-allosyloxy-aucubin or 5-O-allopyranosyl-monomelittoside (167; 4 species/1 subsp.) were also mentioned in various species. Allobetonicoside (161) was firstly isolated from the aerial parts of S. officinalis [127] and then from the aerial parts of S. glutinosa [122] and of S. macrantha [117]. The latter study also mentioned the isolation of cinnamoyl-harpagide derivative, macranthoside (156), for the first time. To be mentioned that Jeker et al. (1989) also isolated 6-O-acetylmioporoside (155) from the aerial parts of S. officinalis [127]. In addition, two species revealed the presence of 8-epi-loganic acid (157), 8-epi-loganin (159) and gardoside (160) [20,56], as well as 7-O-acetyl-8-epi-loganic acid (158) was only mentioned from the aerial parts of S. spinosa [98]. Of note, Iannuzzi et al. (2019) isolated from the leaves of S. ocymastrum (syn. S. hirta L.) five iridoids which haven′t been documented in other species, namely 6β-acetoxyipolamiide (172) 6β-hydroxyipolamiide (173), ipolamiide (174), ipolamiidoside (175) and lamiide (176) [123]. A study conducted by Háznagy-Radnai (2006) examined the phytochemical profiles of Stachys spp. growing in Hungary, reporting the iridoid content of ten taxa [124]. Murata and co-workers (2008) isolated five new esters of monomelittoside from the aerial parts and roots of S. lanata [82]. In particular, stachysosides E (168), G-H (170–171) were found in roots, while stachysosides E (168) and F (169) were discovered from the aerial parts of the specific species. It is important to be mentioned the detection of a new iridoid diglycoside, 4′-O-β-D-galactopyranosyl-teuhircoside (162), which was isolated from the flowering aerial parts of S. alopecuros subsp. divulsa [119]. Muñoz et al. (2001) reported the presence of 5-desoxy-harpagide (151) and 5-desoxy-8-acetyl-harpagide (152) from the aerial parts of S. grandidentata [129]. Notably, this review unveiled some differences in iridoids among subgenera Stachys and Betonica. Firstly, it was observed that there is no report for the presence of monomelittoside or melittoside derivatives in the subgenus Betonica. Secondly, reptoside (153) was found in two species of subgenus Betonica (S. macrantha and S. officinalis) and not in the plants of subgenus Stachys.
4.6. Diterpenes
A landmark study for diterpenes of genus Stachys is the review article of Piozzi and Bruno (2011), including all the reported diterpenoids from roots and aerial parts of Stachys spp [21]. Up to now, several types of diterpenes have been mentioned, comprising types of neo-clerodane, labdane, rosane and ent-kaurene skeleton (Table 13 and Table 27). The most common type is the neo-clerodane skeleton derivates, as they were found in various species. S. aegyptiaca has thoroughly studied for its phytochemical profile. A study conducted by Hegazy et al. (2017) reported the discovery of three new neo-clerodane diterpenoids from the aerial parts of the aforementioned plant, namely stachaegyptins A-C (190–192) [106]. One year later, two new compounds were mentioned; stachaegyptins D-E (193–194) [131], while in a current work stachaegyptins F-H were isolated (195–197) [133]. Moreover, stachysperoxide (189) was isolated from the S. aegyptiaca [132]. These stachaegyptin derivatives and stachysperoxide reported only in the species S. aegyptiaca and might be a characteristic chemical compound of the specific plant of the section Ambleia. Derkach (1998) mentioned the compounds annuanone (cis-clerodane type) (181), stachylone (182) and stachone (183) in five species of the subgenus Stachys; S. atherocalyx, S. inflata, S. iberica and S. sylvatica [134]. Other neo-clerodane type diterpenes which were found in many species are roseostachenone (184), roseostachone (185), roseostachenol (186) and roseotetrol (187). Ruiu and co-workers (2015) explored the aerial parts of S. glutinosa, isolating roseostachenone and the new neo-clerodane diterpene, 3α,4α-epoxyroseostachenol (188) [107]. Furthermore, labdane type derivatives were occurred in the genus Stachys. Fazio et al. (1994) investigated the aerial parts of S. mucronata and isolated three labdane skeleton compounds; ribenone (198), ribenol (199) and 13-epi-sclareol (200) [57]. The latter compound has also been found in S. rosea [141]. Paternostro et al. (2000) studied the aerial parts of S. plumosa, determining the following labdane type derivatives (+)-6-deoxyandalusol (201), 13-epi-jabugodiol (202) and (+)-plumosol (203) [144]. The compound (+)-6-deoxyandalusol were also found in S. distans and S. ionica [139]. Some ent-kaurene derivatives were reported in S. aegyptiaca [130], S. lanata [135] and S. sylvatica [142]. Moreover, one abietane diterpenoid, horminone (211), was isolated from the aerial parts of S. mialhesii [103]. It is noteworthy to be underlay the presence of two rare rosane type diterpenes in the aerial parts of S. parviflora, namely stachyrosanes 1 (212) and 2 (213) [134]. In addition, six diterpene lactone derivatives, i.e., betolide (214), betonicolide (215) and betonicosides A-D (216–219) were found in the species S. officinalis [143,145] and S. scardica [143] of the subgenus Betonica.
In the context of chemotaxonomic significance, it could be observed that species of subgenus Stachys product mainly neo-clerodane and labdane type derivatives, while the plants of subgenus Betonica biosynthesized diterpene lactone derivatives. Thus, the latter derivatives might be recognised as characteristic chemotaxonomic markers of subgenus Betonica. Another important chemotaxonomic point is reported by Piozzi et al. (2002), mentioning that (+)-6-deoxyandalusol has been determined only in three Stachys species of eastern part of the Mediterranean region [139].
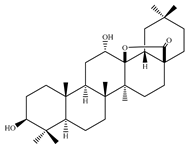
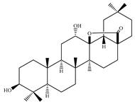
4.7. Triterpene Derivatives, Phytosterols and Phytoecdysteroids
Triterpene derivatives and phytosterols are major secondary metabolites of Lamiaceae family. In genus Stachys, five phytosterol derivatives (220–224) were found in S. byzantina [17,35], S. annua [95], S. spinosa [99], S. tetragona [100], S. palustris [146] and S. alopecuros subsp. divulsa [119] (Table 14 and Table 28). Furthermore, the triterpenoids; ursolic (226) and oleanolic (227) acids were only reported from the section Olisia (subg. Stachys) [95,99,100]. Kotsos et al. (2007) isolated an oleanolic lactone derivative (228) of the aerial parts of S. spinosa [99]. It is noteworthy to be mentioned the presence of saponin derivatives in genus Stachys (Table 14 and Table 28). The first saponins isolated from this genus were from the water extract of the whole plant of S. riederi, including 8 stachyssaponins (I-VIII, 231–238) [147]. Afterwards, stachyssaponins A-B (229–230) were found from the methanol extract of the aerial parts of S. parviflora [63].
4.8. Other Chemical Categories
Notable among the above-mentioned classes of compounds are the megastigmane derivatives from Stachys spp. (Table 15 and Table 29). Takeda and colleagues (1997) isolated from the aerial parts of S. byzantina five bioactive compounds from this group, including byzantionosides A-B (244,245), icariside B2 (246), (6R, 9R)- and (6R, 9S)-3-oxo-α-ionol glucosides (247) and blumeol C glucoside (248) [148]. Furthermore, vomifoliol (249) and dehydrovomifoliol (250) were reported from the aerial parts of S. lanata, while citroside A (251) was isolated from the roots of this species [82]. This study also mentioned the presence of sugar ester (cistanoside F) from the roots of S. lanata [82]. At this point, we should note that few studies reported some oligosaccharides from Stachys spp. [3]. For instance, stachyose is a tetrasaccharide which consists one of the most common oligosaccharides in genus Stachys and shows beneficial effects for the gastrointestinal system as it can be directly consumed [3,23,119,150]. Precisely, the species S. sieboldii is a major source of this constituent [27,151,152]. Stachyose is an oligosaccharide, which can be directly consumed for the benefit of gastrointestinal system [150]. Furthermore, Yin and colleagues (2006) mentioned that the bitter taste of some Stachys species, such as S. annua and S. balansae, might be attributed to their bitter diterpene derivatives, like stachylone [22,151].
5. Pharmacological Activities
This section includes the most interesting pharmacological data of the last five years (from 2015 to 2020). Many studies exemplified the great antimicrobial, antioxidant and cytotoxic effects of the essential oils of these plants [3,15]. Tundis et al. (2014) described in detail the biological studies (in vitro and in vivo) of the essential oils, extracts and compounds [3]. Thus, in the present review, we focused on the current available pharmacological researches of the extracts and isolated compounds from Stachys spp. as they are presented in Table 30.
5.1. Antioxidant Activity/Cytoprotective
Tundis et al. (2015) evaluated five extracts (n-hexane, dichloromethane, methanol, methanol with Soxhlet apparatus and ethanol 70% extract) from the aerial parts of S. lavandulifolia for their antioxidant activity, using β-carotene bleaching test, 2,2′-azino-bis(3-ethylbenzothiazoline-6-sulphonic acid (ABTS), 1,1-Diphenyl-2-picrylhydrazyl (DPPH), and Ferric Reducing Antioxidant Power (FRAP) assays [116]. The most polar extracts, ethanol 70% and methanol extracts, showed the highest radical scavenging activity against ABTS radical (IC50 values of 19.9 and 22.8 μg/mL, respectively), whereas the methanol extract Soxhlet apparatus was the most active in the DPPH method (IC50 of 25.0 μg/mL). In the β-carotene bleaching test, the methanol and ethanol extract demonstrated the stronger activity after 30 min of incubation (IC50 = 29.3 and 33.0 µg/mL, respectively) and the IC50 values were of 60.3 and 34.6 µg/mL, respectively after 60 min of incubation. Moreover, they studied the antioxidant activity of bioactive secondary metabolites; arbutin (107), acteoside (118), monomelittoside (165), melittoside (166), 5-allosyloxy-aucubin (167), and stachysolone (177), reporting that in both DPPH and ABTS assays the most active compounds was arbutin (107) with IC50 values of 62.5 and 45.7 μg/mL, respectively [116]. Another work investigated the antioxidant activity of three extracts of S. guyoniana, through β-carotene–linoleic acid, DPPH, ABTS, CUPric Reducing Antioxidant Capacity (CUPRAC) and metal chelating assays [155]. The chloroform extract had the highest antioxidant activity (IC50 = 2.3 ± 1.27 μg/mL) in β-carotene–linoleic acid and in ABTS method (IC50 = 7.29 ± 0.23 μg/mL). The n-butanol extract showed the better antioxidant capacity in DPPH test (IC50 = 2.91 ± 0.14 μg/mL) compared to other extracts and to the reference compound α-tocopherol (IC50 = 7.31 ± 0.17 μg/mL), as well as it demonstrated highest activity in CUPRAC method (A0.50 = 0.15 ± 0.05 μg/mL) and in metal cheating assay (inhibition at 100 μg/mL: 48%). In addition, Laggoune et al. (2016) demonstrated the great antioxidant properties in vivo of S. mialhesii [103]. Particularly, the n-butanol extract of the specific plant showed IC50 value of 0.047 mg/mL in DPPH assay, while the IC50 value of the isolated compound isoscutellarein-7-O-[6″′-O-acetyl]-β-D-allopyranosyl-(1→2)-β-D-glucoside (15) was 0.066 mg/mL and the reference compound quercetin was 0.012 mg/mL. Notably, they also mentioned that the extract (up to 10 g/kg) did not show any toxicity in mice during 24 h after administration. In addition, the antioxidant activity of three subspecies of S. cretica (i.e., S. cretica subsp. mersinaea; S. cretica subsp. smyrnaea; S. cretica subsp. vacillans) were investigated in different works [81,108,112]. The antioxidant capacity of the methanol extract of S. parviflora was measured, exhibiting an IC50 value of 76.87 ± 0.57 μg/mL (DPPH method) and of 188.47 ± 0.76 μg/mL (β-carotene bleaching test; BCB), while the standard compound, butylated hydroxytoluene (BHT), had stronger activity in both tests (DPPH test: IC50 = 1.23 ± 0.02 μg/mL; BCB test: 34.31 ± 0.40 μg/mL) [64]. Guo et al. (2018) examined the antioxidant activity of five fractions from the 70% ethanol extract of tubers of S. affinis by DPPH assay and superoxide radical scavenging activity [28]. The ethyl acetate fraction showed extremely high antioxidant activity in DPPH method (IC50 = 0.85 ± 0.04 μg/mL) with α-tocopherol as positive control (IC50 = 18.68 ± 0.51 μg/mL). They reported that this great antioxidant activity was attributed to the high content in phenolics and flavonoids of this fraction and confirmed the use of this plant as a natural antioxidant. Another work studied the antioxidant activity of the extracts and fractions of the same Stachys species on reactive oxygen species (ROS) production induced by H2O2 in HT-1080 cells [29]. In particular, the n-hexane fraction decreased H2O2-induced ROS and oxidative stress-induced DNA damage, as well as it increased glutathione (GSH) production. The species S. mucronata demonstrated strong anti-radical activity due to the high content in polyphenols [156]. A recent study conducted by Aminfar et al. (2019) described a chemometric-based approach in order to classify S. lanata by Gas Chromatography-Mass Spectrometry (GC-MS) fingerprints and to correlate their chemical constituents with their antioxidant capacity [35]. They identified eight antioxidant markers which could also serve as volatile markers. In addition, Elfalleh and co-workers (2019) demonstrated the differences of the antioxidant properties of the extracts of S. tmolea, reporting that water extract exhibited highest activity than methanol extract, using DPPH, ABTS, CUPRAC, FRAP, phosphomolybdenum and ferrous ion chelating methods [85]. A survey conducted by Hwang et al. (2019) demonstrated that the ethanol extract of S. riederi var. japonica exhibited antioxidant effects on ultraviolet A (UVA)-irradiated human dermal fibroblasts (HDFs), through suppression of ROS generation [160]. The antioxidant activity of the methanol extract of the Lebanese species S. ehrenbergii was measured by ABTS radical cation decolorization assay and the methanol extract showed an IC50 value of 52 ± 7.5 mg/mL [154]. Furthermore, the chemical profile and some biological activities of three herbal teas in Anatolia were examined [84]. Among them, the methanol extract of S. thirkei showed strongest antioxidant capacity, through β-carotene (IC50 = 47.79 ± 0.59 μg/mL), DPPH (IC50 = 49.31 ± 0.38 μg/mL), ABTS (IC50 = 13.34 ± 0.02 μg/mL) and CUPRAC (absorbance%: 1.88 ± 0.02 μg/mL) assays. Sadeghi et al. (2020) assessed the the antioxidant properties of hydroalcoholic extract of S. pilifera on nephrotoxicity induced with cisplatin (CP) in vivo (in rats), showing that the specific extract restored the antioxidant capacity, as well as it had renoprotective activity [19].
5.2. Cytotoxicity and Antiproliferative Activity
Venditti et al., (2017) investigated the cytotoxic activity and the anti-reactive oxygen species activity of the ethanol extract from tubers of the Chinese artichock (S. affinis) [27]. Regarding the cytotoxicity, the specific extract didn′t demonstrate any activity in K562, SH-SY5Y and Caco-2 cell lines, even at the highest concentrations (1.0 mg/mL). The cytotoxic activity of extracts and isolated flavonoids from the aerial parts of S. lavandulifolia were studied by Delnavazi et al. (2018) through the 3-(4,5-dimethylthiazol-2-yl)-2,5-diphenyltetrazolium bromide (MTT) assay [13]. The dichloromethane extract showed the highest cytotoxic activity in brine shrimp lethality test (BSLT) (LD50 = 121.8 ± 5.6 μg/mL), while as a positive control was used podophyllotoxin (LD50 = 3.1 ± 0.6 μg/mL). Afterwards, they explored the cytotoxic activity of isolated flavonoids in three cancer cell lines (MDA-MB-231, HT-29 and MRC-5), using as reference compound tamoxifen. All the nine isolated flavonoids moderated the cytotoxicity activated on the studied cell lines. However, chrysosplenetin (84) was reported as the most active compound in the first two cell lines. In MRC-5 cell line, apigenin (1) exhibited the greatest activity. It is remarkable to point out that the specific study also mentioned the selective activity against cancer cells, reporting that chrysosplenetin (84), kumatakenin (79) and viscosine (78) exhibited higher selective toxicity against MDA-MB-231 cell line than tamoxifen. At this point, we should underlie that the great cytotoxic activity of these compounds is attributed to their substitutions with (poly)-methylated groups which increase this effect. Another study evaluated the methanol extract, the alkaloid and the terpenoid fractions of S. pilifera for their cytotoxic and antiproliferative activity in vitro (HT-29 cell line), indicating great results [45]. The terpenoid fraction was found to have the best cytotoxic activity compared to the other fractions and as reference compound was used cisplatin. Moreover, they investigated the antiproliferative activity, studying the effects on the activity of caspase-8 and caspase-9, Nuclear factor-κB (NF-κB) and Nitric Oxide (ΝO), reporting that the extract/fractions increased the activity of caspase-8/-9 and decreased NF-κB and subsequently NO level. Of note, they compared their results with previous data of cytotoxic activity in vitro of other Stachys species such as S. acerosa, S. benthamiana, S. floridana, S. lavandulifolia, S. obtusicrena, S. persica, S. pubescens and S. spectabilis. Three isolated compounds from the extract (CH2Cl2:MeOH 1:1) of the aerial parts of S. aegyptiaca were investigated for the cytotoxic activity in HepG2 cell line, using MTT assay [132]. Precisely, the IC50 values of stachaegyptin D (193), stachysolon monoacetate (178) and stachysolon diacetate (180) were 94.7, 63.4 and 59.5 μM, respectively, with stachysolone diacetate being the most active. In another study, the cytotoxic effect of the ethanol extract of S. riederi var. japonica on UVA-irradiated HDFs was evaluated at different concentrations for 48 h by MTT assay, showing no or little cytotoxicity [160]. Shakeri et al. (2019) mentioned that the methanol extract of S. parviflora demonstrated no cytotoxic activity toward the cancer cell lines, namely A2780, HCT, and B16F10 in all tested concentrations (>100 µg/mL) [64]. Moreover, the genotoxic activity of the extracts from four different plants were investigated by Slapšytė and colleagues (2019) [157]. They reported that all the plant extracts induced DNA damage, using the comet assay, whereas the extract of S. officinalis induced the increase of sister chromatid exchange value. The methanol extract of the Lebanese species S. ehrenbergii was investigated for its antioxidant and cytotoxic activity [154]. The cytotoxicity was examined by MTT assay where the methanol extract showed the highest cytotoxicity (IC50 = 420 ± 104 μg/mL) at a concentration of 3000 mg/mL.
5.3. Polycystic Ovary Syndrome (PCOS)
In Iran, S. sylvatica is used for the treatment of women with polycystic ovary syndrome (PCOS). A current study carried out by Alizadeh et al. (2020) evaluated the hydroalcoholic extract of this plant in a rat model of PCOS [47]. It was observed that the extract at the dose of 500 mg/kg increased gonadotropins FSH and LH (5.95 ± 0.02 mIU/mL; 6.48 ± 0.09 mIU/mL) and reduced the level of estrogen (0.9 ± 0.07 mIU/mL) compared to the PCOS group (FSH level: 1.69 ± 0.08 mIU/mL; LH level: 6.29 ± 0.04 mIU/mL; estrogen level: 1.42 ± 0.05 mIU/mL), causing the ratio of LH/FSH to be close to 1:1 (6.48/5.59). According to the literature, this ratio LH/FSH is almost 1:1 in normal cases, while in PCOS women is higher e.g., 2:1 or 3:1. They also mentioned that these great results of the extract of S. sylvatica could be correlated to the flavonoid content of the plant. Previous studies showed that flavonoids could decrease the level of estrogen and could also act as GABA receptor agonists, regulating gonadotropins. Given that women with PCOS showed high concentrations of inflammation factors, they assumed that the extract could act as anti-inflammatory and antioxidant agent as flavonoids and iridoids demonstrated antioxidant and anti-inflammatory properties.
5.4. Anticholinesterase and Anti-Alzheimer’s Activity/Neuroprotective Activity
The aqueous extract from the tubers of S. sieboldii (“chorogi”) was studied in vivo in mice model for its neuroprotective potential [152]. Specifically, the study examined the effects of chorogi’s extract on celebral ischemia and scopolamine-induced memory impairment, using as positive control the extract of Gingko biloba, proving that S. sieboldii improves the learning and memory dysfunction correlated with ischemic brain injury. Another work examined the cholinesterase inhibitory activity of S. lavandulifolia extracts and isolated compounds [116]. Specifically, the most active extract against anticholinesterase (AChE) was the n-hexane extract with an IC50 value of 13.7 μg/mL. However, the dichloromethane extract was the most effective against butyrylcholinesterase (BChE) (IC50 = 143.9 μg/mL) where its major constituent, stachysolone (177), inhibited the activity of this enzyme with a percentage of inhibition of 50% at 0.06 mg/mL. Among the studied polar extracts, the methanol extract exhibited a selective inhibitory activity against AChE with an IC50 value of 211.4 μg/mL and the isolated compounds, arbutin (107) and 5-allosyloxy-aucubin (167), showed a percentage of inhibition of 50 and 23.1% at 0.06 mg/mL, respectively, against AChE. Notably, the other constituents of this species were inactive at the maximum concentration tested of 0.25 mg/mL. Ferhat et al. (2016) examined the AChE activity of n-butanol, the ethyl acetate and the chloroform extracts of the aerial parts of S. guyoniana, demonstrating that the n-butanol extract (IC50 = 5.78 ± 0.01 μg/mL) was a little less active than the used standard drug against Altzheimer’s disease; galantamine (IC50 = 5.01 ± 0.10 μg/mL). Furthermore, they exhibited that this extract inhibited the BChE, having an IC50 value of 39.1 ± 1.41 μg/mL which was better than the standard (IC50 = 39.10 ± 1.41 μg/mL) [155]. Moreover, the anti-Alzheimer’s activity of two subspecies of S. cretica (S. cretica subsp. smyrnaea; S. cretica subsp. mersinaea) were evaluated in different works [81,108]. In addition, the potential effects of 20% ethanol extract of S. sieboldii was evaluated against oxidative stress induced by H2O2 in SK-N-SH cells and memory enhancement in ICR mice [162]. This study showed that the daily intake of the extract (dose: 500 mg/kg) through dietary supplementation produced memory enhancing effects in animals. Recently, Ertas and Yener (2020) reported that the acetone extract of S. thirkei demonstrated good activity against AChE and BChE with a percentage of inhibition of 52.46 ± 1.26% and 75.04 ± 1.91%, respectively [84].
5.5. Anti-tyrosinase Activity
The anti-tyrosinase activity of the ethanol and methanol Soxhlet apparatus extracts of the aerial parts of S. lavandulifolia exhibited the best activity with IC50 values of 33.4 ± 0.8 and 42.8 ± 1.1 μg/mL [116]. They underlay that the specific extracts were characterized by the phenolic compounds, acteoside (118) and arbutin (107), which are recognised as tyosinase inhibitors. Moreover, they evaluated the anti-tyrosinase activity of the isolated iridoids among which monomelittoside (165) and melittoside (166) showed IC50 values of 119.6 ± 2.2 and 163.1 ± 3.1 μg/mL respectively, while 5-allosyloxy-aucubin (167) inhibited the enzyme with a percentage of 22.4% at a concentration of 200 μg/mL. In addition, current works investigated the anti-tyrosinase activity of three subspecies of S. cretica (S. cretica subsp. smyrnaea; S. cretica subsp. mersinaea; S. cretica subsp. vacillans), reporting that the ethyl actetate extract was the most effective in the first two susbspecies (2.45 mg KAEs/g; 16 mg KAEs/g, respectively) [81,108]. Though, the methanol extract of S. cretica subsp. vacillans had the higher activity against tyrosinase (314.04 ± 2.05 mg KAE/g extract) [112].
5.6. Anti-diabetic Activity
Bahadori et al. (2018) evaluated the anti-diabetic activity of the extracts of S. cretica subsp. smyrnaea [81]. Specifically, the methanol extract demonstrated strong anti-diabetic activity against α-amylase (61.4 mg ACEs/g dry plant) and α-glucosidase (47.8 mg ACEs/g dry plant), following by ethyl acetate extract. They assumed that the above good properties were attributed to the phenolic constituents of the methanol extract since the anti-glucosidase activity is associated with caffeic acid, trans-cinnamic acid, and vanillin, whereas the amylase inhibitory activity is related to kaempferol and p-hydroxybenzoic acid. A year later, the anti-diabetic activity of the extracts of S. cretica subsp. mersinaea was studied, reporting that the ethyl acetate extract had best activity against α-amylase (396.50 mgACEs/g), while the methanol extract exerted strong activity against α-glucosidase (734 mg ACEs/g) [108]. Furthermore, the α-amylase inhibition of the methanol and water extract of S. cretica subsp. vacillans was evaluated, with the methanol extract exhibited stronger activity (433.99 ± 5.10 mg ACE/g extract) [112]. Currently, Pritsas et al. (2020) studied the anti-diabetic activity in silico of 17 isolated compounds from the cultivated S. iva, mentioning that stachysetin (98) interacted with five out of ten proteins implicated in diabetes [56]. This is the only study reported a pharmacological activity of this rare compound.
5.7. Antimicrobial Activity
Regarding the antibacterial activity, the n-butanol extract of S. guyoniana showed strong activity against Staphylococcus aureus (MIC = 32 ± 0.90 μg/mL) and Enterobacter aerogenes (MIC = 32 ± 0.70 μg/mL), while it was not active against Pseudomonas aeruginosa and Morganella morganii [155]. The ethyl acetate extract demonstrated the best inhibition against Escherichia coli (MIC = 64 ± 0.60 μg/mL), whereas it didn′t show any activity against P. aeruginosa and M. morganii. Shakeri et al. (2019) reported the antimicrobial activity of the methanol extract of the aerial parts of S. parviflora which exerted the highest activity against the Gram-positive bacterium, Bacillus cereus, with a MIC of 0.12 mg/mL [64]. Furthermore, the antimicrobial activity of extracts of S. thirkei against different microorganisms were studied according to inhibition zone diameter and MIC value [84]. The acetone and methanol extract demonstrated good activity against S. aureus, Streptococcus pyogenes and E. coli. Intriguingly, S. thirkeis′ extracts were not active against P. aeruginosa (Gram-negative bacterium) and Candida albicans (yeast).
5.8. Hepatoprotective
The hepatoprotective property of the ethanol extract of S. pilifera was studied in carbon tetrachloride (CCl4)-induced hepatotoxicity in rats and indicated that this extract could act as hepatoprotective agent [158]. They assumed that this property might be also related to the strong antioxidant activity of the species. Later, Mansourian et al. (2019) exhibited the hepatoprotective and antioxidant activity of hydroalcoholic extract of S. pilifera on hepatotoxicity induced by acetaminophen (APAP) in male rats [159]. Precisely, the extract reduced hepatotoxicity by decreasing liver function markers/enzymes, aspartate aminotransferase (AST) and alanine aminotransferase (ALT) and protein carbonyl (PCO) compared to the APAP group. It also diminished the oxidative stress through inhibiting protein oxidation and inducing the activity of glutathione peroxidase (GPX) enzyme. So, they assumed that this great activity was attributed to the antioxidant activity of this plant.
5.9. Others
Ruiu et al. (2015) investigated the phytochemical profile of the dichloromethane extract of S. glutinosa and studied the binding affinity to μ and δ opioid receptors (MOR and DOR) [107]. The extract showed an interesting binding affinity for MOR (Ki values of 10.3 μg/mL) and DOR (Ki values of 9.0 μg/mL), while xanthomicrol (69) demonstrated the strongest opioid binding affinity to both opioid receptors (Ki for MOR = 0.83 μM, Ki for DOR = 3.6 μM) with the highest MOR selectivity with a ratio Ki (DOR)/Ki (MOR) = 4.4. Notably, they reported that the existence of a further hydroxy group at the 3′ position like in sideritoflavone (70) reduced the binding affinity for MOR (Ki = 18.5 μM), whereas the replacement of this group with a methoxy moiety, as in 8-methoxycirsilineol (71), eliminated the affinity for MOR (Ki > 50 μM). Furthermore, they evaluated the antinociceptive activity of xanthomicrol in an animal model (in mice) of acute pain (tail-flick test). In another study, the n-butanol extract of S. mialhesii exhibited significant anti-inflammatory activity in vivo, reducing the weight of edema: 52.03% induced by carrageenan in the rat’s paw, whereas indomethacin (dose: 5 mg/kg; decrease 83.36%) was used as a reference drug [103]. In the same study, the n-butanol extract exerted antinociceptive effect at dose-dependent manner. Ramazanov et al. (2016) evaluated the wound healing activity of the extract of S. hissarica on rats, showing that the extract improved the healing process of linear skin wounds at an oral dose of 10 mg/kg [67]. Of note, the wound healing activity of the extract was more effective than the known drug methyluracil (2,4-dioxo-6-methyl-1,2,3,4- tetrahydropyrimidine), especially in case of alloxan induced diabetic animals. A study carried out by Iannuzzi et al. (2019) studied the antiangiogenic activity in two in vivo models (zebrafish embryos and chick chorioallantoic membrane assays) of the isolated compounds of the leaf extract of S. ocymastrum. The isolated compounds with the best antiangiogenic activity in both assays were β-hydroxyipolamiide (173) and ipolamiide (174) [123]. Recently, Lee et al. (2020) studied the anti-obesity and anti-dyslipidemic property of the roots powder of S. sieboldii in rats, following a high-fat and high-cholesterol diet (HFC) [161]. This powder demonstrated the anti-adipogenic and lipid-lowering effects through enhancing lipid metabolism.
Taken together all the above pharmacological studies, we could observe that these findings confirmed most of the traditional medicinal uses of Stachys spp. However, the present review unveiled that there are still species pharmacologically uncharted.
6. Clinical Studies
Through our literature survey, four clinical studies for the species S. lavandulifolia were revealed. The first clinical study carried out by Rahzani et al. (2013) reported the effects of the aqueous extract of the specific plant (dose; infusion from 3 g aerial parts of plant, twice daily) on the oxidative stress in 26 healthy humans, underlying that the participants demonstrated a significant reduction in oxidative stress [163]. In parallel, another randomized clinical trial (33 women) examined the effects of S. lavandulifolia and medroxyprogesterone acetate (MPA) in abnormal uterine bleeding (AUB) in PCOS [164]. This study exemplified that the infusion of the aerial parts of wood betony (dose; 5 g of plant in 100 mL boiling water; duration 3 months) showed a reduction of AUB, recommending its consumption for the treatment of AUB related to PCOS. They also mentioned that this result might be attributed to the flavonoid content of the plant and mainly to apigenin. In addition, Monji et al. (2018) evaluated on a clinical trial the therapeutic effects of standardized formulation of S. lavandulifolia on primary dysmenorrhea, indicating that the standardized capsules of plant’s extract could diminuish the menstrual pain, and might be recommended as an auxiliary therapy or an alternative remedy to nonsteroidal antiinflammatory drugs (NSAIDs) with fewer side effects in primary dysmenorrhea [165]. Recently, a double-blind randomized clinical study mentioned the analgesic activity of the herbal tea of S. lavandulifolia (10 g in 200 cc of boiling water) in 50 patients with migraine [166], showing the capability of this herbal tisane to decrease and also improve the pain intensity in these patients. In addition, Ashtiani et al. (2019) considered that the therapeutic properties of this plant associated with its rich phytochemical profile which include iridoids, flavonoids and phenylethanoid glucosides [166].
To sum up, the above clinical studies confirm the ethnomedicinal uses of S. lavandulifolia as a traditional medicine. Although these promising results, more clinical studies should be performed for obtaining data for diverse Stachys spp. As a future prospective, further studies should strengthen the research of bioavailability, dosage, toxicity and potential drug interactions in order to endorse the observed pharmacological activities of these plants.
7. Toxicity
S. lavandulifolia is popularly claimed as an abortifacient agent by Iranian women. The effect of its hydroalcoholic extract on fertility was investigated, revealing that the extract had a dose dependent abortifacient activity. Thus, its use during pregnancy may cause abortion and consequently, the plant should be considered as contraindicated or be used with caution [167]. In addition, the nephrotoxicity of the same extract was studied on male Wistar rats and a mild degeneration of renal tubular epithelial cell after one month was observed, while in the second month the histologic lesions were significantly more. However, further studies need to evaluate renal complications of this plant in human [168]. Moreover, the acute and subchronic toxicological evaluation of S. lavandulifolia aqueous extract in rats indicated that the high dose (2 g/kg) did not produce any symptoms of toxicity and there was no significant difference in body weights between the control and treatment groups of the animals [169].
8. Conclusions
In the present review, we attempted to describe in detail all the current knowledge and research advances of genus Stachys, focusing on pointing the significance of this genus as herbal supplement and medicine.
Taken together with all the analyzed studies in the current review, we categorized the used literature data into four categories according to their general characteristics; ethnobotanical (no of used studies: 48), phytochemical (no of used studies: 91), pharmacological (no of in vitro studies: 22, no of in vivo studies: 8 and 2 in silico study), clinical studies (no of used studies: 4) and reviews (no of used studies: 4). The general characteristics of the analyzed studies in the current review are showed in Table 31.
Several Stachys spp. have been used as traditional herbal medicines for thousands of years. Therefore, accumulating studies have been performed in order to explore the chemical compounds and the pharmacological properties of these species to validate their claimed ethnomedicinal properties. However, the present review data shows that there are still species phytochemically and pharmacologically unexplored. This comprehensive survey could serve as useful tool for scientists searching uncharted and interesting species to study, as well as it could be an informative guide for researchers aimed to identify leads for developing novel drugs. Although many pharmacological studies have demonstrated the great properties of these plants, only the clinical effects of one species have been investigated. As a result, further studies should be performed to validate the clinical efficiency of several Stachys spp. and if there is any potential toxicity. To be mentioned that there are still yet much to be done on the detailed documentation (safety and efficacy data) of genus Stachys in order to be developed an official monograph as a traditional use or well-established use plants.
Author Contributions
Conceptualization and supervision: H.S.; writing—original draft preparation: E.-M.T. & C.B.; writing—review and editing: all authors. All authors have read and agreed to the published version of the manuscript.
Funding
This research received no external funding.
Conflicts of Interest
The authors declare no conflict of interest.
References
- Bhattacharjee, R. Taxonomic studies in Stachys II. A new infragenic classification of Stachys L. [1980]. Notes R. Bot. Gard. Edinbourgh 2008, 38, 65–96. [Google Scholar]
- Salmaki, Y.; Heubl, G.; Weigend, M. Towards a new classification of tribe Stachydeae (Lamiaceae): Naming clades using molecular evidence. Bot. J. Linn. Soc. 2019, 190, 345–358. [Google Scholar] [CrossRef]
- Tundis, R.; Peruzzi, L.; Menichini, F. Phytochemical and biological studies of Stachys species in relation to chemotaxonomy: A review. Phytochemistry 2014, 102, 7–39. [Google Scholar] [CrossRef] [PubMed]
- Koeva-Todorovska, J. The genus Stachys L. and the genus Betonica L. Flora of PR Bulgaria; BAS Publishing House: Sofia, Bulgaria, 1979; Volume 9, pp. 388–416. [Google Scholar]
- Marin, P.; Grayer, R.; Grujic-Jovanovic, S.; Kite, G.; Veitch, N. Glycosides of tricetin methyl ethers as chemosystematic markers in Stachys subgenus Betonica. Phytochemistry 2004, 65, 1247–1253. [Google Scholar] [CrossRef]
- Strid, A.; Tan, K. Mountain Flora of Greece. II; Edinburgh University Press: Edinburgh, UK, 1991; Volume 2, pp. 97–107. [Google Scholar]
- Carnoy, A. Dictionnaire Étymologique des Noms Grecs de Plantes; Bibliothèque du Muséon: Louvain, Paris, 1959; p. 70. [Google Scholar]
- André, J. Lexique des termes de botanique en latin. In Etudes et Commentaires; Librairie, C., Ed.; Klincksieck: Paris, France, 1956; p. 79. [Google Scholar]
- Leonis, P. Lexicon Phytologicon; Librairie, C., Ed.; Athens, Greek, 1914; p. 912. (In Greek) [Google Scholar]
- Valiakos, E.; Marselos, M.; Sakellaridis, N.; Constantinidis, T.; Skaltsa, H. Ethnopharmacological approach to the herbal medicines of the “Antidotes” in Nikolaos Myrepsos’ Dynameron. J. Ethnopharmacol. 2015, 163, 68–82. [Google Scholar] [CrossRef]
- Camangi, F.; Stefani, A. Le piante nella magia e nella superstizione: Alcuni esempi di pratiche popolari in Toscana. Riv. Preist. Etnogr. Stor. Nat. 2003, 1, 1–5. [Google Scholar]
- Delazar, A.; Delnavazi, M.R.; Nahar, L.; Moghadam, S.B.; Mojarab, M.; Gupta, A.; Williams, A.S.; Rahman, M.M.; Sarker, S.D.; Mojarrab, M. Lavandulifolioside B: A new phenylethanoid glycoside from the aerial parts of Stachys lavandulifolia Vahl. Nat. Prod. Res. 2011, 25, 8–16. [Google Scholar] [CrossRef]
- Delnavazi, M.-R.; Saiyarsarai, P.; Jafari-Nodooshan, S.; Khanavi, M.; Tavakoli, S.; Hadavinia, H.; Yassa, N. Cytotoxic flavonoids from the aerial parts of Stachys lavandulifolia Vahl. Pharm. Sci. 2018, 24, 332–339. [Google Scholar] [CrossRef]
- Karioti, A.; Bolognesi, L.; Vincieri, F.F.; Bilia, A.R. Analysis of the constituents of aqueous preparations of Stachys recta by HPLC–DAD and HPLC–ESI-MS. J. Pharm. Biomed. Anal. 2010, 53, 15–23. [Google Scholar] [CrossRef]
- Gören, A.C.; Piozzi, F.; Akçiçek, E.; Kılıç, T.; Çarıkçı, S.; Mozioğlu, E.; Setzer, W.N. Essential oil composition of twenty-two Stachys species (mountain tea) and their biological activities. Phytochem. Lett. 2011, 4, 448–453. [Google Scholar] [CrossRef]
- Öztürk, M.; Duru, M.E.; Aydoğmuş-Öztürk, F.; Harmandar, M.; Mahlıçlı, M.; Kolak, U.; Ulubelen, A. GC-MS analysis and antimicrobial activity of essential oil of Stachys cretica subsp. smyrnaea. Nat. Prod. Commun. 2009, 4, 109–114. [Google Scholar] [CrossRef] [PubMed]
- Khanavi, M.; Sharifzadeh, M.; Hadjiakhoondi, A.; Shafiee, A. Phytochemical investigation and anti-inflammatory activity of aerial parts of Stachys byzanthina C. Koch. J. Ethnopharmacol. 2005, 97, 463–468. [Google Scholar] [CrossRef] [PubMed]
- Jahani, R.; Khaledyan, D.; Jahani, A.; Jamshidi, E.; Kamalinejad, M.; Khoramjouy, M.; Faizi, M. Evaluation and comparison of the antidepressant-like activity of Artemisia dracunculus and Stachys lavandulifolia ethanolic extracts: An in vivo study. Res. Pharm. Sci. 2019, 14, 544. [Google Scholar] [CrossRef] [PubMed]
- Sadeghi, H.; Mansourian, M.; Kokhdan, E.P.; Salehpour, Z.; Sadati, I.; Abbaszadeh-Goudarzi, K.; Asfaram, A.; Doustimotlagh, A.H. Antioxidant and protective effect of Stachys pilifera Benth against nephrotoxicity induced by cisplatin in rats. J. Food Biochem. 2020, 44, e13190. [Google Scholar] [CrossRef] [PubMed]
- Meremeti, A.; Karioti, A.; Skaltsa, H.; Heilmann, J.; Sticher, O. Secondary metabolites from Stachys ionica. Biochem. Syst. Ecol. 2004, 32, 139–151. [Google Scholar] [CrossRef]
- Piozzi, F.; Bruno, M. Diterpenoids from roots and aerial parts of the genus Stachys. Rec. Nat. Prod. 2011, 5, 1–11. [Google Scholar]
- Gören, A.C. Use of Stachys species (Mountain tea) as herbal tea and food. Rec. Nat. Prod. 2014, 8, 71–82. [Google Scholar]
- Kartsev, V.G.; Stepanichenko, N.N.; Auelbekov, S.A. Chemical composition and pharmacological properties of plants of the genus Stachys. Chem. Nat. Compd. 1994, 30, 645–654. [Google Scholar] [CrossRef]
- Plant List. 2013. Available online: http://www.theplantlist.org/tpl1.1/record/kew-195205 (accessed on 4 August 2020).
- The Euro + Med Plantbase. The Information Resource for Euro-Mediterranean Plant Diversity. Available online: http://ww2.bgbm.org/EuroPlusMed/query.asp (accessed on 4 August 2020).
- International Plant Name Index (IPNI). Available online: https://www.ipni.org/n/459647-1 (accessed on 4 August 2020).
- Venditti, A.; Frezza, C.; Celona, D.; Bianco, A.; Serafini, M.; Cianfaglione, K.; Fiorini, D.; Ferraro, S.; Maggi, F.; Lizzi, A.R.; et al. Polar constituents, protection against reactive oxygen species, and nutritional value of Chinese artichoke (Stachys affinis Bunge). Food Chem. 2017, 221, 473–481. [Google Scholar] [CrossRef]
- Guo, H.; Saravanakumar, K.; Wang, M.-H. Total phenolic, flavonoid contents and free radical scavenging capacity of extracts from tubers of Stachys affinis. Biocatal. Agric. Biotechnol. 2018, 15, 235–239. [Google Scholar] [CrossRef]
- Lee, J.W.; Wu, W.; Lim, S.Y. Effect of extracts from Stachys sieboldii Miq. on cellular reactive oxygen species and glutathione production and genomic DNA oxidation. Asian Pac. J. Trop. Biomed. 2018, 8, 485. [Google Scholar] [CrossRef]
- Huang, W.; Gao, X.; Zhang, Y.; Jin, C.; Wang, X. The complete chloroplast genome sequence of Stachys sieboldii Miquel. (Labiatae), a kind of vegetable crop and Chinese medicinal material plant. Mitochondrial DNA Part B 2020, 5, 1832–1833. [Google Scholar] [CrossRef]
- Asghari, G.; Akbari, M.; Asadi-Samani, M. Phytochemical analysis of some plants from Lamiaceae family frequently used in folk medicine in Aligudarz region of Lorestan province. Marmara Pharm. J. 2017, 21, 506. [Google Scholar] [CrossRef]
- Lotfipour, F.; Nazemiyeh, H.; Fathi-Azad, F.; Garaei, N.; Arami, S.; Talat, S.; Sadegpour, F.; Hasanpour, R. Evaluation of antibacterial activities of some medicinal plants from North-West Iran. Iran. J. Basic Med. Sci. 2008, 11, 80–85. [Google Scholar]
- Asnaashari, S.; Delazar, A.; Alipour, S.; Nahar, L.; Williams, A.; Pasdaran, A.; Mojarab, M.; Azad, F.; Sarker, S.D. Chemical composition, free-radical-scavenging and insecticidal activities of the aerial parts of Stachys byzantina. Arch. Biol. Sci. 2010, 62, 653–662. [Google Scholar] [CrossRef]
- Naghibi, F.; Mosaddegh, M.; Motamed, M.M.; Ghorbani, A. Labiatae family in folk medicine in Iran: From ethnobotany to pharmacology. Iran. J. Pharm. Res. 2005, 2, 63–79. [Google Scholar]
- Aminfar, P.; Abtahi, M.; Parastar, H. Gas chromatographic fingerprint analysis of secondary metabolites of Stachys lanata (Stachys byzantine C. Koch) combined with antioxidant activity modelling using multivariate chemometric methods. J. Chromatogr. A 2019, 1602, 432–440. [Google Scholar] [CrossRef]
- Maleki, N.; Garjani, A.; Nazemiyeh, H.; Nilfouroushan, N.; Sadat, A.E.; Allameh, Z.; Hasannia, N. Potent anti-inflammatory activities of hydroalcoholic extract from aerial parts of Stachys inflata on rats. J. Ethnopharmacol. 2001, 75, 213–218. [Google Scholar] [CrossRef]
- Lazarević, J.; Palić, R.; Radulović, N.S.; Ristic, N.; Stojanovic, G. Chemical composition and screening of the antimicrobial and anti-oxidative activity of extracts of Stachys species. J. Serb. Chem. Soc. 2010, 75, 1347–1359. [Google Scholar] [CrossRef]
- Amin, G. Popular medicinal plants of Iran, Iranian Research Institute of medicinal plants. Tehran 1991, 80, 1–66. (In Persian) [Google Scholar]
- Rabbani, M.; Sajjadi, S.E.; Zarei, H. Anxiolytic effects of Stachys lavandulifolia Vahl on the elevated plus-maze model of anxiety in mice. J. Ethnopharmacol. 2003, 89, 271–276. [Google Scholar] [CrossRef] [PubMed]
- Rabbani, M.; Sajjadi, S.-E.; Karimi-Firozjai, M.; Ghannadian, M. Bioactivity guided isolation of apigenin from Stachys lavandulifolia Vahl. in mice with anxiolytic effects. J. Herbmed Pharmacol. 2018, 7, 74–78. [Google Scholar] [CrossRef]
- Hajhashemi, V.; Ghannadi, A.; Sedighifar, S. Analgesic and anti-inflammatory properties of the hydroalcoholic, polyphenolic and boiled extracts of Stachys lavandulifolia. Res. Pharm. Sci. 2007, 2, 92–98. [Google Scholar]
- Arabsalehi, F.; Rahimmalek, M.; Ehtemam, M.H. Phytochemical and morphological variation of Stachys lavandulifolia Vahl. populations as affected by genotype × year interaction. Ind. Crop. Prod. 2018, 112, 342–352. [Google Scholar] [CrossRef]
- Veisi, H.; Kazemi, S.; Mohammadi, P.; Safarimehr, P.; Hemmati, S. Catalytic reduction of 4-nitrophenol over Ag nanoparticles immobilized on Stachys lavandulifolia extract-modified multi walled carbon nanotubes. Polyhedron 2019, 157, 232–240. [Google Scholar] [CrossRef]
- Fooladvand, Z.; Fazeli-nasab, B. Antibacterial activities of Stachys lavandulifolia Vahl. extract against eight bacteria. J. Herb. Drugs 2014, 5, 13–18. [Google Scholar]
- Kokhdan, E.P.; Sadeghi, H.; Ghafoori, H.; Sadeghi, H.; Danaei, N.; Javadian, H.; Aghamaali, M.R. Cytotoxic effect of methanolic extract, alkaloid and terpenoid fractions of Stachys pilifera against HT-29 cell line. Res. Pharm. Sci. 2018, 13, 404–412. [Google Scholar] [CrossRef]
- Maleki, F.; Valilou, M.M.S. Poulk plant (Stachys schtschegleevii) and its antibacterial specifications. Asian J. Res. Bot. 2019, 2, 1–13. [Google Scholar]
- Alizadeh, F.; Ramezani, M.; Piravar, Z. Effects of Stachys sylvatica hydroalcoholic extract on the ovary and hypophysis-gonadal axis in a rat with polycystic ovary syndrome. Middle East Fertil. Soc. J. 2020, 25, 1–7. [Google Scholar] [CrossRef]
- Polat, R.; Cakilcioglu, U.; Kaltalioğlu, K.; Ulusan, M.D.; Türkmen, Z. An ethnobotanical study on medicinal plants in Espiye and its surrounding (Giresun-Turkey). J. Ethnopharmacol. 2015, 163, 1–11. [Google Scholar] [CrossRef]
- Altundag, E.; Öztürk, M. Ethnomedicinal studies on the plant resources of east Anatolia, Turkey. Procedia Soc. Behav. Sci. 2011, 19, 756–777. [Google Scholar] [CrossRef]
- Mükemre, M.; Behçet, L.; Çakılcıoğlu, U.; Cakilcioglu, U. Ethnobotanical study on medicinal plants in villages of Çatak (Van-Turkey). J. Ethnopharmacol. 2015, 166, 361–374. [Google Scholar] [CrossRef]
- Lucchetti, L.; Zitti, S.; Taffetani, F. Ethnobotanical uses in the Ancona district (Marche region, Central Italy). J. Ethnobiol. Ethnomed. 2019, 15, 1–33. [Google Scholar] [CrossRef] [PubMed]
- Venditti, A.; Bianco, A.; Quassinti, L.; Bramucci, M.; Lupidi, G.; Damiano, S.; Papa, F.; Vittori, S.; Bini, L.M.; Giuliani, C.; et al. Phytochemical analysis, biological activity, and secretory structures of Stachys annua (L.) L. subsp. annua (Lamiaceae) from Central Italy. Chem. Biodivers. 2015, 12, 1172–1183. [Google Scholar] [PubMed]
- Cornara, L.; La Rocca, A.; Marsili, S.; Mariotti, M.G. Traditional uses of plants in the Eastern Riviera (Liguria, Italy). J. Ethnopharmacol. 2009, 125, 16–30. [Google Scholar] [CrossRef]
- Cornara, L.; La Rocca, A.; Terrizzano, L.; Dente, F.; Mariotti, M.G. Ethnobotanical and phytomedical knowledge in the North-Western Ligurian Alps. J. Ethnopharmacol. 2014, 155, 463–484. [Google Scholar] [CrossRef]
- Mulas, M. Traditional uses of labiatae in the mediterranean area. Acta Hortic. 2006, 723, 25–32. [Google Scholar] [CrossRef]
- Pritsas, A.; Tomou, E.-M.; Tsitsigianni, E.; Papaemmanouil, C.D.; Diamantis, D.A.; Chatzopoulou, P.; Tzakos, A.G.; Skaltsa, H. Valorisation of stachysetin from cultivated Stachys iva Griseb. as anti-diabetic agent: A multi-spectroscopic and molecular docking approach. J. Biomol. Struct. Dyn. 2020, 1–15. [Google Scholar] [CrossRef]
- Fazio, C.; Passannanti, S.; Paternostro, M.; Arnold, N. Diterpenoids from Stachys mucronata. Planta Med. 1994, 60, 499. [Google Scholar] [CrossRef]
- Łuczaj, Ł.; Svanberg, I.; Köhler, P. Marsh woundwort, Stachys palustris L. (Lamiaceae): An overlooked food plant. Genet. Resour. Crop. Evol. 2011, 58, 783–793. [Google Scholar] [CrossRef]
- Monigatti, M.; Bussmann, R.W.; Weckerle, C.S. Medicinal plant use in two Andean communities located at different altitudes in the Bolívar Province, Peru. J. Ethnopharmacol. 2013, 145, 450–464. [Google Scholar] [CrossRef] [PubMed]
- Duarte, M.C.T.; Figueira, G.M.; Sartoratto, A.; Rehder, V.L.G.; Delarmelina, C. Anti-Candida activity of Brazilian medicinal plants. J. Ethnopharmacol. 2005, 97, 305–311. [Google Scholar] [CrossRef] [PubMed]
- Gruenwald, J.; Brendleer, T.; Jaenicke, T. PDR for Herbal Medicines; Medical Economics Company: Montvale, NJ, USA, 2000; p. 832. [Google Scholar]
- Rustaiyan, A.; Masoudi, S.; Ameri, N.; Samiee, K.; Monfared, A. Volatile constituents of Ballota aucheri Boiss., Stachys benthamiana Boiss. and Perovskia abrotanoides Karel. Growing wild in Iran. J. Essent. Oil Res. 2006, 18, 218–221. [Google Scholar] [CrossRef]
- Ahmad, V.U.; Arshad, S.; Bader, S.; Iqbal, S.; Khan, A.; Khan, S.S.; Hussain, J.; Tareen, R.B.; Ahmed, A. New terpenoids from Stachys parviflora Benth. Magn. Reson. Chem. 2008, 46, 986–989. [Google Scholar] [CrossRef]
- Shakeri, A.; D’Urso, G.; Taghizadeh, S.F.; Piacente, S.; Norouzi, S.; Soheili, V.; Asili, J.; Salarbashi, D. LC-ESI/LTQOrbitrap/MS/MS and GC–MS profiling of Stachys parviflora L. and evaluation of its biological activities. J. Pharm. Biomed. Anal. 2019, 168, 209–216. [Google Scholar] [CrossRef] [PubMed]
- Kepekçi, R.A.; Polat, S.; Çoşkun, G.; Celik, A.; Bozkurt, A.S.; Yumrutaş, Ö.; Pehlivan, M. Preliminary characterization of phenolic acid composition and hepatoprotective effect of Stachys pumila. J. Food Biochem. 2016, 41, 12286. [Google Scholar] [CrossRef]
- Kumar, D.; Bhat, Z.A. Apigenin 7-glucoside from Stachys tibetica Vatke and its anxiolytic effect in rats. Phytomedicine 2014, 21, 1010–1014. [Google Scholar] [CrossRef]
- Ramazanov, N.S.; Bobayev, I.D.; Yusupova, U.Y.; Aliyeva, N.K.; Egamova, F.R.; Yuldasheva, N.Y.; Syrov, V.N. Phytoecdysteroids-containing extract from Stachys hissarica plant and its wound-healing activity. Nat. Prod. Res. 2016, 31, 593–597. [Google Scholar] [CrossRef]
- El–Ansari, M.A.; Abdalla, M.F.; Saleh, N.A.M.; Barron, D.; Le Quere, J.L. Flavonoid constituents of Stachys aegyptiaca. Phytochemistry 1991, 30, 1169–1173. [Google Scholar] [CrossRef]
- El-Ansari, M.A.; Nawwar, M.A.; Saleh, N.A.M. Stachysetin, a diapigenin-7-glucoside-p, p′-dihydroxy-truxinate from Stachys aegyptiaca. Phytochemistry 1995, 40, 1543–1548. [Google Scholar] [CrossRef]
- El-Desoky, S.K.; Hawas, W.U.; Sharaf, M. A new flavone glycoside from Stachys aegyptiaca. Chem. Nat. Compd. 2007, 43, 542–543. [Google Scholar] [CrossRef]
- Sharaf, M. Isoscutellarein 8-O-(6″-trans-p-coumaroyl)-β-D-glucoside from Stachys aegyptiaca. Fitoterapia 1998, 69, 355–357. [Google Scholar]
- Komissarenko, N.F.; Sheremet, I.P.; Derkach, A.I.; Pakaln, D.A. Stachyflaside from Stachys inflata and St. atherocalyx. Chem. Nat. Compd. 1976, 12, 88. [Google Scholar] [CrossRef]
- Komissarenko, N.F.; Derkach, A.I.; Sheremet, I.P.; Kovalev, I.P.; Gordienko, V.G.; Pakaln, D.A. Flavonoids of Stachys inflata. Chem. Nat. Compd. 1978, 14, 445–446. [Google Scholar] [CrossRef]
- Nazemiyeh, H.; Shoeb, M.; Movahhedin, N.; Kumarasamy, Y.; Talebpour, A.; Delazar, A.; Lutfun, N.; Sarker, S. Phenolic compounds and their glycosides from Stachys schtscheglevii (Lamiaceae). Biochem. Syst. Ecol. 2006, 34, 721–723. [Google Scholar] [CrossRef]
- Tomás-Barberán, F.A.; Gil, M.I.; Ferreres, F.; Tomás-Lorente, F. Flavonoid p-coumaroylglucosides and 8-hydroxyflavone allosylglucosides in some Labiatae. Phytochemistry 1992, 31, 3097–3102. [Google Scholar] [CrossRef]
- Lakhal, H.; Boudiar, T.; Kabouche, A.; Laggoune, S.; Kabouche, Z.; Topçu, G. Antioxidant activity and flavonoids of Stachys ocymastrum. Chem. Nat. Compd. 2011, 46, 964–965. [Google Scholar] [CrossRef]
- Skaltsa, H.; Bermejo, P.; Lazari, D.; Silván, A.M.; Skaltsounis, A.-L.; Sanz, A.; Abad, M.J. Inhibition of prostaglandin E2 and leukotriene C4 in mouse peritoneal macrophages and thromboxane B2 production in human platelets by flavonoids from Stachys chrysantha and Stachys candida. Biol. Pharm. Bull. 2000, 23, 47–53. [Google Scholar] [CrossRef][Green Version]
- Michailidou, A.-M. Phytochemical study of Stachys candida Bory & Chaub. Master’s Thesis, National and Kapodistrian University of Athens, Athens, Greece, 2018. [Google Scholar]
- Serrilli, A.; Ramunno, A.; Piccioni, F.; Serafini, M.; Ballero, M. Flavonoids and iridoids from Stachys corsica. Nat. Prod. Res. 2005, 19, 561–565. [Google Scholar] [CrossRef]
- Demirtaş, I.; Gecibesler, I.H.; Yaglioglu, A.S.; Yaglioglu, A.S. Antiproliferative activities of isolated flavone glycosides and fatty acids from Stachys byzantina. Phytochem. Lett. 2013, 6, 209–214. [Google Scholar] [CrossRef]
- Bahadori, M.B.; Kirkan, B.; Sarikurkcu, C. Phenolic ingredients and therapeutic potential of Stachys cretica subsp. smyrnaea for the management of oxidative stress, Alzheimer’s disease, hyperglycemia, and melasma. Ind. Crop. Prod. 2019, 127, 82–87. [Google Scholar] [CrossRef]
- Murata, T.; Endo, Y.; Miyase, T.; Yoshizaki, F. Iridoid glycoside constituents of Stachys lanata. J. Nat. Prod. 2008, 71, 1768–1770. [Google Scholar] [CrossRef]
- Derkach, A.I.; Komissarenko, N.F.; Gordienko, V.G.; Sheremet, I.P.; Kovalev, I.P.; Pakaln, D.A. Flavonoids of Stachys spectabilis. Chem. Nat. Compd. 1980, 16, 128–130. [Google Scholar] [CrossRef]
- Ertas, A.; Yener, I. A comprehensive study on chemical and biological profiles of three herbal teas in Anatolia; rosmarinic and chlorogenic acids. S. Afr. J. Bot. 2020, 130, 274–281. [Google Scholar] [CrossRef]
- Elfalleh, W.; Kirkan, B.; Sarikurkcu, C. Antioxidant potential and phenolic composition of extracts from Stachys tmolea: An endemic plant from Turkey. Ind. Crop. Prod. 2019, 127, 212–216. [Google Scholar] [CrossRef]
- Venditti, A.; Bianco, A.; Nicoletti, M.; Quassinti, L.; Bramucci, M.; Lupidi, G.; Vitali, L.A.; Papa, F.; Vittori, S.; Petrelli, D.; et al. Characterization of secondary metabolites, biological activity and glandular trichomes of Stachys tymphaea hausskn. from the Monti Sibillini National Park (Central Apennines, Italy). Chem. Biodivers. 2014, 11, 245–261. [Google Scholar] [CrossRef] [PubMed]
- Sen, A.; Göğer, F.; Dogan, A.; Bitis, L. Two acylated isoscutellarein glucosides with anti-inflammatory and antioxidant activities isolated from endemic Stachys subnuda Montbret & Aucher ex Benth. Acta Chim. Slov. 2019, 66, 831–838. [Google Scholar] [CrossRef]
- Kostyuchenko, O.I.; Komissarenko, N.F.; Zinchenko, T.V.; Derkach, A.I. Diacetylstachyflaside from Stachys atherocalyx. Khim. Prir. Soedin. 1981, 3, 389–390. [Google Scholar]
- Kostyuchenko, O.I.; Komissarenko, N.F.; Kovalev, I.P.; Derkach, A.I.; Gordienko, V.G. Acetylspectabiflaside from Stachys atherocalyx. Chem. Nat. Compd. 1982, 18, 170–172. [Google Scholar] [CrossRef]
- Kostyuchenko, O.I.; Komissarenko, N.F.; Zinchenko, T.V.; Derkach, A.I.; Gordienko, V.G. Diacetylisostachyflaside and acetylisostachyflaside from Stachys atherocalyx. Chem. Nat. Compd. 1982, 18, 235–236. [Google Scholar] [CrossRef]
- Lenherr, A.; Lahloub, M.F.; Sticher, O. Three flavonoid glucosides containing acetylated allose from Stachys recta. Phytochemistry 1984, 23, 2343–2345. [Google Scholar] [CrossRef]
- Lenherr, A.; Meier, B.; Sticher, O. Modern HPLC as a tool for chemotaxonomical investigations: Iridoid glucosides and acetylated flavonoids in the group of Stachys recta. Planta Med. 1984, 50, 403–409. [Google Scholar] [CrossRef] [PubMed]
- Sheremet, I.P.; Komissarenko, N.F. Flavonoid glucosides of Stachys annua. Khim. Prir. Soedin 1971, 5, 583. [Google Scholar]
- Movsumov, I.S.; Yusifova, D.Y.; Suleimanov, T.A.; Mahiou-Leddet, V.; Herbette, G.; Baghdikian, B.; Ollivier, E.; Garayev, E.E.; Garayev, E.A. Biologically active compounds from chamaenerion angustifolium and Stachys annua growing in Azerbaidzhan. Chem. Nat. Compd. 2016, 52, 324–325. [Google Scholar] [CrossRef]
- Movsumov, I.S.; Garayev, E.A.; Baghdikian, B.; Mabrouki, F.; Herbette, G.; Ollivier, E.; Suleimanov, T.A.; Garayev, E.E. Flavonoids from Stachys annua growing in Azerbaijan. Chem. Nat. Compd. 2018, 54, 261–262. [Google Scholar] [CrossRef]
- Delazar, A.; Celik, S.; Göktürk, R.S.; Unal, O.; Nahar, L.; Sarker, S.D. Two acylated flavonoid glycosides from Stachys bombycina, and their free radical scavenging activity. Die Pharm. 2005, 60, 878–880. [Google Scholar] [CrossRef]
- Zinchenko, T.V. Flavonoids of Stachys neglecta. Farm. Zhurnal 1969, 24, 28804. [Google Scholar]
- Kotsos, M.; Aligiannis, N.; Mitaku, S.; Skaltsounis, A.-L.; Charvala, C. Chemistry of plants from Crete: Stachyspinoside, a new flavonoid glycoside and iridoids from Stachys spinosa. Nat. Prod. Lett. 2001, 15, 377–386. [Google Scholar] [CrossRef]
- Kotsos, M.P.; Aligiannis, N.; Mitakou, S. A new flavonoid diglycoside and triterpenoids from Stachys spinosa L. (Lamiaceae). Biochem. Syst. Ecol. 2007, 35, 381–385. [Google Scholar] [CrossRef]
- Afouxenidi, A.; Milošević-Ifantis, T.; Skaltsa, H. Secondary metabolites from Stachys tetragona Boiss. & Heldr. ex Boiss. and their chemotaxonomic significance. Biochem. Syst. Ecol. 2018, 81, 83–85. [Google Scholar] [CrossRef]
- Lenherr, A.; Mabry, T.J. Acetylated allose-containing flavonoid glucosides from Stachys anisochila. Phytochemistry 1987, 26, 1185–1188. [Google Scholar] [CrossRef]
- Skaltsa, H.; Georgakopoulos, P.; Lazari, D.; Karioti, A.; Heilmann, J.; Sticher, O.; Constantinidis, T. Flavonoids as chemotaxonomic markers in the polymorfic Stachys swainsonii (Lamiaceae). Biochem. Syst. Ecol. 2007, 35, 317–320. [Google Scholar] [CrossRef]
- Laggoune, S.; Zeghib, A.; Kabouche, A.; Kabouche, Z.; Maklad, Y.A.; Leon, F.; Brouard, I.; Bermejo, J.; Calliste, C.A.; Duroux, J.L. Components and antioxidant, anti-inflammatory, anti-ulcer and antinociceptive activities of the endemic species Stachys mialhesii de Noé. Arab. J. Chem. 2016, 9, S191–S197. [Google Scholar] [CrossRef]
- Zinchenko, T.V. Phenolic compounds of Stachys palustris. Chem. Nat. Compd. 1973, 6, 261–262. [Google Scholar] [CrossRef]
- Litvinenko, V.I.; Aronova, B.N. Phenolic compounds of Betonica foliosa. Chem. Nat. Compd. 1968, 4, 270. [Google Scholar] [CrossRef]
- Hegazy, M.-E.F.; Hamed, A.R.; El-Kashoury, E.-S.A.; Shaheen, A.M.; Tawfik, W.A.; Paré, P.W.; Abdel-Sattar, E.A. Stachaegyptin A–C: Neo clerodane diterpenes from Stachys aegyptiaca. Phytochem. Lett. 2017, 21, 151–156. [Google Scholar] [CrossRef]
- Ruiu, S.; Anzani, N.; Orruù, A.; Floris, C.; Caboni, P.; Alcaro, S.; Maccioni, E.; Distinto, S.; Cottiglia, F. Methoxyflavones from Stachys glutinosa with binding affinity to opioid receptors: In Silico, in vitro, and in vivo studies. J. Nat. Prod. 2015, 78, 69–76. [Google Scholar] [CrossRef]
- Bahadori, M.B.; Kirkan, B.; Sarikurkcu, C.; Ceylan, O. Metabolite profiling and health benefits of Stachys cretica subsp. mersinaea as a medicinal food. Ind. Crop. Prod. 2019, 131, 85–89. [Google Scholar] [CrossRef]
- Venditti, A.; Serrilli, A.; Di Cecco, M.; Ciaschetti, G.; Andrisano, T.; Bianco, A. Phytochemical composition of polar fraction of Stachys germanica L. subsp. salviifolia (Ten.) Gams, a typical plant of Majella National Park. Nat. Prod. Res. 2013, 27, 190–193. [Google Scholar] [CrossRef]
- Litvinenko, V.I. Some Questions of the Chemistry and Taxonomy of the Labiatae Family, the Plant Resources of the Ukraine, Their Isolation and Rational Use; Naukova Dumka: Kiev, Ukraine, 1973; p. 128. [Google Scholar]
- Šliumpaitė, I.; Venskutonis, P.; Murkovic, M.; Ragažinskienė, O. Antioxidant properties and phenolic composition of wood betony (Betonica officinalis L., syn. Stachys officinalis L.). Ind. Crop. Prod. 2013, 50, 715–722. [Google Scholar] [CrossRef]
- Kirkan, B. Antioxidant potential, enzyme inhibition activity, and phenolic profile of extracts from Stachys cretica subsp. vacillans. Ind. Crop. Prod. 2019, 140, 111639. [Google Scholar] [CrossRef]
- Nishimura, H.; Sasaki, H.; Inagaki, N.; Chin, M.; Mitsuhashi, H.; Masao, C.; Chen, Z. Nine phenethyl alcohol glycosides from Stachys sieboldii. Phytochemistry 1991, 30, 965–969. [Google Scholar] [CrossRef]
- Ikeda, T.; Miyase, T.; Ueno, A. Phenylethanoid glycosides from Stachys riederi. Nat. Med. 1994, 48, 32–38. (In Japanese) [Google Scholar]
- Başaran, A.A.; Calis, I.; Anklin, C.; Nishibe, S.; Sticher, O. Lavandulifolioside: A new phenylpropanoid glycoside from Stachys lavandulifolia. Helv. Chim. Acta 1988, 71, 1483–1490. [Google Scholar] [CrossRef]
- Tundis, R.; Bonesi, M.; Pugliese, A.; Nadjafi, F.; Menichini, F.; Loizzo, M.R. Tyrosinase, Acetyl- and Butyryl-cholinesterase inhibitory activity of Stachys lavandulifolia Vahl (Lamiaceae) and its major constituents. Rec. Nat. Prod. 2015, 9, 81–93. [Google Scholar]
- Çalis, I.; Basaran, A.; Saracoglu, C.; Sticher, O. Iridoid and phenylopropanoid glycosides from Stachys macrantha. Phytochemistry 1992, 31, 167–169. [Google Scholar] [CrossRef]
- Miyase, T.; Yamamoto, R.; Ueno, A. Phenylethanoid glycosides from Stachys officinalis. Phytochemistry 1996, 43, 475–479. [Google Scholar] [CrossRef]
- Venditti, A.; Bianco, A.; Nicoletti, M.; Quassinti, L.; Bramucci, M.; Lupidi, G.; Vitali, L.A.; Petrelli, D.; Papa, F.; Vittori, S.; et al. Phytochemical analysis, biological evaluation and 2 micromorphological study of Stachys alopecuros (L.) Benth. subsp. divulsa (Ten.) Grande endemic to central Apennines, Italy. Fitoterapia 2013, 90, 94–103. [Google Scholar]
- Ahmad, V.U.; Arshad, S.; Bader, S.; Ahmed, A.; Iqbal, S.; Tareen, R.B. New phenethyl alcohol glycosides from Stachys parviflora. J. Asian Nat. Prod. Res. 2006, 8, 105–111. [Google Scholar] [CrossRef]
- Komissarenko, N.F.; Derkach, A.I.; Sheremet, I.P.; Pakaln, D.A. Iridoids of Stachys inflata and St. iberica. Khim. Prir. Soedin. 1979, 1, 99–100. [Google Scholar]
- Serrilli, A.M.; Ramunno, A.; Piccioni, F.; Serafini, M.; Ballero, M.; Bianco, A. Monoterpenoids from Stachys glutinosa L. Nat. Prod. Res. 2006, 20, 648–652. [Google Scholar] [CrossRef] [PubMed]
- Iannuzzi, A.M.; Camero, C.M.; D’ambola, M.; D’angelo, V.; Amira, S.; Bader, A.; Braca, A.; De Tommasi, N.; Germanò, M.P. Antiangiogenic Iridoids from Stachys ocymastrum and Premna resinosa. Planta Med. 2019, 85, 1034–1039. [Google Scholar] [CrossRef] [PubMed]
- Háznagy-Radnai, E.; Czigle, S.; Janicsák, G.; Máthé, I. Iridoids of Stachys species growing in Hungary. J. Planar Chromatogr. Mod. TLC 2006, 19, 187–190. [Google Scholar] [CrossRef]
- Derkach, A.I.; Komissarenko, N.F.; Pakaln, D.A. Iridoids from some Stachys L. species. Rast Nye Resur. 1987, 23, 92–95. [Google Scholar]
- Litvinenko, V.I.; Aronova, B.N. Iridoids of Betonica foliosa. Chem. Nat. Compd. 1968, 4, 269–270. [Google Scholar] [CrossRef]
- Jeker, M.; Sticher, O.; Calis, I.; Rüedi, P. Allobetonicoside and 6-O-Acetylmioporoside: Two new iridoid glycosides from Betonica officinalis L. Helv. Chim. Acta 1989, 72, 1787–1791. [Google Scholar] [CrossRef]
- Zinchenko, T.V. Stachys and Betonica iridoids. Farm. Zhurnal 1972, 27, 86–87. [Google Scholar]
- Muñoz, O.; Peña, R.C.; Montenegro, G. Iridoids from Stachys grandidentata. Z. Nat. C 2001, 56, 902–903. [Google Scholar] [CrossRef][Green Version]
- Melek, F.R.; Radwan, A.S.; El-Ansari, M.A.; El-Gindi, O.D.; Hilal, S.H.; Genenah, A.A. Diterpenes from Stachys aegyptiaca. Fitoterapia 1992, 63, 276. [Google Scholar]
- Mohamed, A.E.-H.H.; Mohamed, N.S. A new trans-neo clerodane diterpene from Stachys aegyptiaca. Nat. Prod. Res. 2013, 28, 30–34. [Google Scholar] [CrossRef]
- Mohamed, T.A.; ElShamy, A.I.; Hamed, A.R.; Shams, K.A.; Hegazy, M.-E.F. Cytotoxic neo-clerodane diterpenes from Stachys aegyptiaca. Phytochem. Lett. 2018, 28, 32–36. [Google Scholar] [CrossRef]
- Hussien, T.A.; Mahmoud, A.A.; Mohamed, N.S.E.-D.; Shahat, A.A.; El-Seedi, H.R.; Hegazy, M.-E.F. New rare ent-clerodane diterpene peroxides from Egyptian Mountain Tea (Qourtom) and its chemosystem as herbal remedies and phytonutrients agents. Molecules 2020, 25, 2172. [Google Scholar] [CrossRef] [PubMed]
- Derkach, A.I. Biologically active substances of some species of the genus Stachys L. of the flora of the Ukraine. Rastit. Nye Resur. 1998, 34, 57–61. [Google Scholar]
- Piozzi, F.; Savona, G.; Hanson, J.R. Kaurenoid diterpenes from Stachys lanata. Phytochemistry 1980, 19, 1237–1238. [Google Scholar] [CrossRef]
- Orgiyan, T.M.; Popa, D.P. Diterpenoids from Stachys annua. Khim. Prir. Soedin. 1969, 5, 5–6. [Google Scholar] [CrossRef]
- Popa, D.P.; Orgiyan, T.M. The stereochemistry of stachysolone. Khim. Prir. Soedin. 1972, 8, 717–719. [Google Scholar] [CrossRef]
- Popa, D.P.; Orgiyan, T.M. Minor diterpenoids of Stachys annua. Chem. Nat. Compd. 1974, 10, 410. [Google Scholar] [CrossRef]
- Piozzi, F.; Paternostro, M.; Servettaz, O.; Arnold, N. Occurrence of (+)-6-desoxyandalusol in Stachys ionica and Stachys distans. Biochem. Syst. Ecol. 2002, 30, 887–889. [Google Scholar] [CrossRef]
- Adinolfi, M.; Barone, G.; Lanzetta, R.; Laonigro, G.; Mangoni, L.; Parrilli, M. Diterpenes from Stachys recta. J. Nat. Prod. 1984, 47, 541–543. [Google Scholar] [CrossRef]
- Fazio, C.; Paternostro, M.P.; Passannanti, S.; Piozzi, F. Further neo-clerodane diterpenoids from Stachys rosea. Phytochemistry 1994, 37, 501–503. [Google Scholar] [CrossRef]
- Popa, D.P.; Pasechnik, G.S. Structure of stachysic acid—A new diterpenoid of the kaurane series. Chem. Nat. Compd. 1974, 10, 454–457. [Google Scholar] [CrossRef]
- Bankova, V.; Koeva-Todorovska, J.; Stambolijska, T.; Ignatova-Groceva, M.-D.; Todorova, D.; Popov, S. Polyphenols in Stachys and Betonica species (Lamiaceae). Z. Nat. C 1999, 54, 876–880. [Google Scholar] [CrossRef]
- Paternostro, M.P.; Maggio, A.M.; Piozzi, F.; Servettaz, O. Lavdane diterpenes from Stachys plumose. J. Nat. Prod. 2000, 63, 1166–1167. [Google Scholar] [CrossRef] [PubMed]
- Miyase, T.; Yamamoto, R.; Ueno, A. Betonicosides A–D and betonicolide, diterpenoids from the roots of Stachys officinalis. Chem. Pharm. Bull. 1996, 44, 1610–1613. [Google Scholar] [CrossRef]
- Ross, S.A.; Zinchenko, T.V. Triterpenoids and steroids from Stachys palustris. Farm. Zhurnal 1975, 30, 91–92. [Google Scholar] [PubMed]
- Yamamoto, R.; Miyase, T.; Ueno, A. Stachyssaponins I-VIII, new oleanane-type triterpene saponins from Stachys riederi CHAMISSO. Chem. Pharm. Bull. 1994, 42, 1291–1296. [Google Scholar] [CrossRef]
- Takeda, Y.; Zhang, H.-J.; Masuda, T.; Honda, G.; Otsuka, H.; Sezik, E.; Yesilada, E.; Sun, H. Megastigmane glucosides from Stachys byzantina. Phytochemistry 1997, 44, 1335–1337. [Google Scholar] [CrossRef]
- Rodríguez-García, C.; Sánchez-Quesada, C.; Toledo, E.; Delgado-Rodríguez, M.; Gaforio, J.J. Naturally lignan-rich foods: A dietary tool for health promotion? Molecules 2019, 24, 917. [Google Scholar] [CrossRef]
- Sørensen, M.; Penn, M.; El Mowafi, A.; Storebakken, T.; Chunfang, C.; Øverland, M.; Krogdahl, Å. Effect of stachyose, raffinose and soya-saponins supplementation on nutrient digestibility, digestive enzymes, gut morphology and growth performance in Atlantic salmon (Salmo salar, L.). Aquaculture 2011, 314, 145–152. [Google Scholar] [CrossRef]
- Yin, J.; Yang, G.; Wang, S.; Chen, Y. Purification and determination of stachyose in Chinese artichoke (Stachys sieboldii Miq.) by high-performance liquid chromatography with evaporative light scattering detection. Talanta 2006, 70, 208–212. [Google Scholar] [CrossRef]
- Harada, S.; Tsujita, T.; Ono, A.; Miyagi, K.; Mori, T.; Tokuyama, S. Stachys sieboldii (Labiatae, Chorogi) protects against learning and memory dysfunction associated with ischemic brain injury. J. Nutr. Sci. Vitaminol. 2015, 61, 167–174. [Google Scholar] [CrossRef] [PubMed]
- Sarikurkcu, C.; Kocak, M.S.; Uren, M.C.; Calapoglu, M.; Tepe, A.S. Potential sources for the management global health problems and oxidative stress: Stachys byzantina and S. iberica subsp. iberica var. densipilosa. Eur. J. Integr. Med. 2016, 8, 631–637. [Google Scholar] [CrossRef]
- Abi-Rizk, A.; El Rayess, Y.; Iriti, M.; Tabet, E.; Mezher, R.; El Beyrouthy, M. Chemical composition, antitumor and antioxidant effects of four lebanese plants extracts on human pulmonary adenocarcinoma. Nat. Prod. Res. 2020, 1–4. [Google Scholar] [CrossRef] [PubMed]
- Ferhat, M.; Erol, E.; Beladjila, K.A.; Çetintaş, Y.; Duru, M.E.; Öztürk, M.; Kabouche, A.; Kabouche, Z. Antioxidant, anticholinesterase and antibacterial activities of Stachys guyoniana and Mentha aquatica. Pharm. Biol. 2016, 55, 324–329. [Google Scholar] [CrossRef] [PubMed]
- Grigorakis, S.; Makris, D.P. Characterisation of polyphenol-containing extracts from Stachys mucronata and evaluation of their antiradical activity. Medicines 2018, 5, 14. [Google Scholar] [CrossRef]
- Slapšytė, G.; Dedonytė, V.; Adomėnienė, A.; Lazutka, J.R.; Kazlauskaitė, J.; Ragažinskienė, O.; Venskutonis, P.R. Genotoxic properties of Betonica officinalis, Gratiola officinalis, Vincetoxicum luteum and Vincetoxicum hirundinaria extracts. Food Chem. Toxicol. 2019, 134, 110815. [Google Scholar] [CrossRef]
- Kokhdan, E.P.; Ahmadi, K.; Sadeghi, H.; Sadeghi, H.; Dadgary, F.; Danaei, N.; Aghamaali, M.R. Hepatoprotective effect of Stachys pilifera ethanol extract in carbon tetrachloride-induce hepatotoxicity in rats. Pharm. Biol. 2017, 55, 1389–1393. [Google Scholar] [CrossRef]
- Mansourian, M.; Mirzaei, A.; Azarmehr, N.; Vakilpour, H.; Kokhdan, E.P.; Doustimotlagh, A.H. Hepatoprotective and antioxidant activity of hydroalcoholic extract of Stachys pilifera. Benth on acetaminophen-induced liver toxicity in male rats. Heliyon 2019, 5, e03029. [Google Scholar] [CrossRef]
- Hwang, J.Y.; Yadav, A.K.; Jang, B.C.; Kim, Y.C. Antioxidant and cytoprotective effects of Stachys riederi var. japonica ethanol extract on UVA-irradiated human dermal fibroblasts. Int. J. Mol. Med. 2019, 43, 1497–1504. [Google Scholar]
- Lee, J.K.; Lee, J.; Kim, Y.-K.; Lee, Y.; Ha, J.-H. Stachys sieboldii Miq. root attenuates weight gain and dyslipidemia in rats on a high-fat and high-cholesterol diet. Nutrients 2020, 12, 2063. [Google Scholar] [CrossRef]
- Ravichandran, V.A.; Kim, M.; Han, S.K.; Cha, Y. Stachys sieboldii extract supplementation attenuates memory deficits by modulating BDNF-CREB and its downstream molecules, in animal models of memory impairment. Nutrients 2018, 10, 917. [Google Scholar] [CrossRef]
- Rahzani, K.; Malekirad, A.A.; Zeraatpishe, A.; Hosseini, N.; Seify, S.M.R.; Abdollahi, M. Anti-oxidative stress activity of Stachys lavandulifolia aqueous extract in human. Cell J. 2013, 14, 314–317. [Google Scholar] [PubMed]
- Jalilian, N.; Modarresi, M.; Rezaei, M.; Ghaderi, L.; Bozorgmanesh, M. Phytotherapeutic management of polycystic ovary syndrome: Role of aerial parts of wood betony (Stachys lavandulifolia). Phytother. Res. 2013, 27, 1708–1713. [Google Scholar] [CrossRef] [PubMed]
- Monji, F.; Hashemian, F.; Surmaghi, M.-H.S.; Mohammadyari, F.; Ghiyaei, S.; Soltanmohammadi, A. Therapeutic effects of standardized formulation of Stachys lavandulifolia Vahl on primary dysmenorrhea: A randomized, double-blind, crossover, placebo-controlled pilot study. J. Altern. Complement. Med. 2018, 24, 1092–1098. [Google Scholar] [CrossRef] [PubMed]
- Ashtiani, A.R.; Jadidi, A.; Hezave, A.; Safarabadi, M.; Pour, S.A.; Ghassami, K.; Mohammadbeigi, A. An analgesic effect of Stachys lavandulifolia in patients with migraine: A double-blind randomised clinical trial study. Adv. Hum. Biol. 2019, 9, 76. [Google Scholar] [CrossRef]
- Jafarzadeh, L.; Rafieian-Kopaei, M.; Samani, R.A.; Asgari, A. The effect of hydroalcoholic extract of Stachys lavandulifolia Vahl on pregnant mice. EXCLI J. 2012, 11, 357–362. [Google Scholar]
- Taghikhani, M.; Nasri, H.; Asgari, A.; Afrough, H.; Namjoo, A.; Ansari-Samani, R.; Shahinfard, N.; Rafieian-Kopaei, M. The renal toxicity of hydroalcoholic extract of Stachys lavandulifolia Vahl in Wistar rats. Life Sci. J. 2012, 9, 3025–3031. [Google Scholar]
- Modarresi, M.; Hosseinzadeh, L.; Nematy, N.; Siavash-Haghighi, Z.; Ghanbari, K. Acute and subchronic toxicological evaluation of Stachys lavandulifolia aqueous extract in Wistar rats. Res. Pharm. Sci. 2015, 9, 165. [Google Scholar]
Publisher’s Note: MDPI stays neutral with regard to jurisdictional claims in published maps and institutional affiliations. |
© 2020 by the authors. Licensee MDPI, Basel, Switzerland. This article is an open access article distributed under the terms and conditions of the Creative Commons Attribution (CC BY) license (http://creativecommons.org/licenses/by/4.0/).











































































