Co-Cropping Indian Mustard and Silage Maize for Phytoremediation of a Cadmium-Contaminated Acid Paddy Soil Amended with Peat
Abstract
1. Introduction
2. Materials and Methods
2.1. Materials
2.2. Experimental Set-Up
2.3. Sample Preparation and Analysis
2.4. Data Analysis and Statistics
3. Results
3.1. Soil pH and Available Cd
3.2. Shoot and Root Biomass of Indian Mustard and/or Silage Maize
3.3. Cd Uptake in Shoots and Roots of Indian Mustard and/or Silage Maize
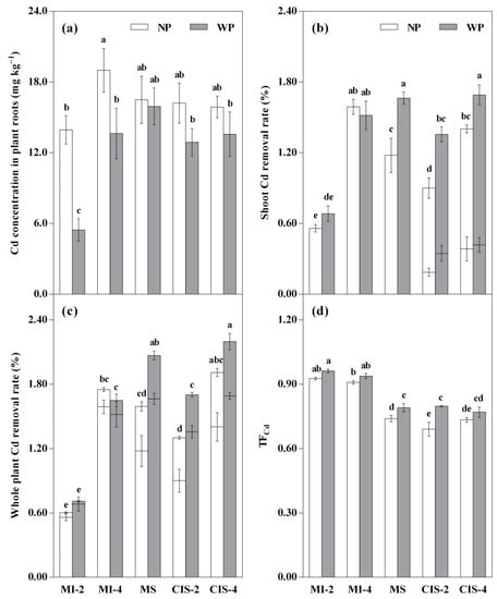
3.4. Removal of Cd from Soil by Indian Mustard and/or Silage Maize and Translocation to Shoots
4. Discussion
4.1. Effects of Peat Application on Soil pH and Available Cd
4.2. Effects of Mono- or Co-Cropping on Plant Growth and Cd Uptake
4.3. Effects of Indian Mustard Density on Plant Growth and Cd Uptake
4.4. Effects of Peat Application on Plant Growth and Cd Uptake
5. Conclusions
Supplementary Materials
Author Contributions
Funding
Institutional Review Board Statement
Informed Consent Statement
Data Availability Statement
Acknowledgments
Conflicts of Interest
References
- Das, P.; Samantaray, S.; Rout, G.R. Studies on cadmium toxicity in plants: A review. Environ. Pollut. 1997, 98, 29–36. [Google Scholar] [CrossRef]
- Choppala, G.; Saifullah; Bolan, N.; Bibi, S.; Iqbal, M.; Rengel, Z.; Kunhikrishnan, A.; Ashwath, N.; Ok, Y.S. Cellular mechanisms in higher plants governing tolerance to cadmium toxicity. Crit. Rev. Plant Sci. 2014, 33, 374–391. [Google Scholar] [CrossRef]
- Wang, L.; Cui, X.; Cheng, H.; Chen, F.; Wang, J.; Zhao, X.; Lin, C.; Pu, X. A review of soil cadmium contamination in China including a health risk assessment. Environ. Sci. Pollut. Res. 2015, 22, 16441–16452. [Google Scholar] [CrossRef] [PubMed]
- Zhao, F.J.; Ma, Y.; Zhu, Y.G.; Tang, Z.; McGrath, S.P. Soil contamination in China: Current status and mitigation strategies. Environ. Sci. Technol. 2014, 49, 750–759. [Google Scholar] [CrossRef] [PubMed]
- Li, X. Technical solutions for the safe utilization of heavy metal-contaminated farmland in China: A critical review. Land Degrad. Dev. 2019, 30, 1–12. [Google Scholar] [CrossRef]
- Vareda, J.P.; Valente, A.J.M.; Durães, L. Assessment of heavy metal pollution from anthropogenic activities and remediation strategies: A review. J. Environ. Manag. 2019, 246, 101–118. [Google Scholar] [CrossRef] [PubMed]
- Luo, K.; Ma, T.; Liu, H.; Wu, L.; Ren, J.; Nai, F.; Li, R.; Chen, L.; Luo, Y.; Christie, P. Efficiency of repeated phytoextraction of cadmium and zinc from an agricultural soil contaminated with sewage sludge. Int. J. Phytoremediat. 2015, 17, 575–582. [Google Scholar] [CrossRef]
- Kumar, P.B.A.N.; Dushenkov, V.; Motto, H.; Raskin, I. Phytoextraction the use of plants to remove heavy metals from soils. Environ. Sci. Technol. 1995, 29, 1232–1238. [Google Scholar] [CrossRef]
- Wang, J.; Ru, S.; Su, D. Effects of Indian mustard and oilseed rape co-cropping on absorbing insoluble cadmium of contaminated soil. Acta Sci. Circumst. 2004, 24, 890–894. (In Chinese) [Google Scholar]
- Li, N.Y.; Li, Z.A.; Zhuang, P.; Zou, B.; McBride, M. Cadmium uptake from soil by maize with intercrops. Water Air Soil Pollut. 2009, 199, 45–56. [Google Scholar] [CrossRef]
- Wu, Q.T.; Wei, Z.B.; Ouyang, Y. Phytoextraction of metal-contaminated soil by Sedum alfredii H: Effects of chelator and co-planting. Water Air Soil Pollut. 2007, 180, 131–139. [Google Scholar] [CrossRef]
- Jiang, X.J.; Luo, Y.M.; Zhao, Q.G.; Baker, A.J.M.; Christie, P.; Wong, M.H. Soil Cd availability to Indian mustard and environmental risk following EDTA addition to Cd-contaminated soil. Chemosphere 2003, 50, 813–818. [Google Scholar] [CrossRef]
- Shen, L.P.; Zong, L.G.; Jiang, P.; Liu, W.X.; Jiang, B.; Chen, Y.H. Extraction of Cd by ramie from soils as affected by applications of chelators and peat. Environ. Sci. 2009, 30, 2767–2772. (In Chinese) [Google Scholar]
- Eriksson, J.E. The effects of clay, organic matter and time on adsorption and plant uptake of cadmium added to the soil. Water Air Soil Pollut. 1988, 40, 359–373. [Google Scholar]
- Posa, M.R.C.; Wijedasa, L.S.; Corlett, R.T. Biodiversity and conservation of tropical peat swamp forests. BioScience 2011, 61, 49–57. [Google Scholar] [CrossRef]
- Lu, R.K. Analytical Methods of Soil and Agrochemistry; China Agricultural Science and Technology Press: Beijing, China, 2000. (In Chinese) [Google Scholar]
- Xu, Z.M.; Mei, X.Q.; Tan, L.; Li, Q.S.; Wang, L.L.; He, B.Y.; Guo, S.H.; Zhou, C.; Ye, H.J. Low root/shoot (R/S) biomass ratio can be an indicator of low cadmium accumulation in the shoot of Chinese flowering cabbage (Brassica campestris L. ssp. chinensis var. utilis Tsen et Lee) cultivars. Environ. Sci. Pollut. Res. 2018, 25, 36328–36340. [Google Scholar] [CrossRef]
- Xu, B.C.; Xu, W.Z.; Gao, Z.J.; Wang, J.; Huang, J. Biomass production, relative competitive ability and water use efficiency of two dominant species in semiarid Loess Plateau under different water supply and fertilization treatments. Ecol. Res. 2013, 28, 781–792. [Google Scholar] [CrossRef]
- Zhai, L.C.; Xie, R.Z.; Ming, B.; Li, S.K.; Ma, D.L. Evaluation and analysis of intraspecific competition in maize: A case study on plant density experiment. J. Integr. Agric. 2018, 17, 2235–2244. [Google Scholar] [CrossRef]
- Spitters, C.J.T. An alternative approach to the analysis of mixed cropping experiments. I. Estimation of competition effects. Neth. J. Agric. Sci. 1983, 31, 1–11. [Google Scholar] [CrossRef]
- Qin, S.; Liu, H.; Rengel, Z.; Gao, W.; Nie, Z.; Li, C.; Hou, M.; Cheng, J.; Zhao, P. Boron inhibits cadmium uptake in wheat (Triticum aestivum) by regulating gene expression. Plant Sci. 2020, 297, 11052. [Google Scholar] [CrossRef] [PubMed]
- Li, Z.A.; Zou, B.; Ding, Y.Z.; Tang, W.N.; Xia, H.P.; Shen, C.D.; Sun, Y.M. Effect of plant residues on soil acidity and its mechanisms. Acta Ecol. Sin. 2005, 25, 2382–2388. (In Chinese) [Google Scholar]
- Xu, J.M.; Tang, C.; Chen, Z.L. The role of plant residues in pH change of acid soils differing in initial pH. Soil Biol. Biochem. 2006, 38, 709–719. [Google Scholar] [CrossRef]
- Xu, R.K.; Zhao, A.Z.; Yuan, J.H.; Jiang, J. pH buffering capacity of acid soils from tropical and subtropical regions of China as influenced by incorporation of crop straw biochars. J. Soils Sediments 2012, 12, 494–502. [Google Scholar] [CrossRef]
- He, Q.B.; Singh, B.R. Effect of organic matter on the distribution, extractability and uptake of cadmium in soils. Eur. J. Soil Sci. 1993, 44, 641–650. [Google Scholar] [CrossRef]
- Arnesen, A.K.M.; Singh, B.R. Plant uptake and DTPA-extractability of Cd, Cu, Ni and Zn in a Norwegian alum shale soil as affected by previous addition of dairy and pig manures and peat. Can. J. Soil Sci. 1998, 78, 531–539. [Google Scholar] [CrossRef]
- Jafarnejadi, A.R.; Sayyad, G.; Homaee, M.; Davamei, A.H. Spatial variability of soil total and DTPA-extractable cadmium caused by long-term application of phosphate fertilizers, crop rotation, and soil characteristics. Environ. Monit. Assess. 2013, 185, 4087–4096. [Google Scholar] [CrossRef]
- McBride, M.B. Environmental Chemistry of Soils; Oxford University Press: New York, NY, USA, 1994. [Google Scholar]
- Ondrasek, G.; Bakić Begić, H.; Zovko, M.; Filipović, L.; Meriño-Gergichevich, C.; Savić, R.; Rengel, Z. Biogeochemistry of soil organic matter in agroecosystems & environmental implications. Sci. Total Environ. 2019, 658, 1559–1573. [Google Scholar]
- Wen, Y.; Zang, H.; Freeman, B.; Musarika, S.; Evans, C.D.; Chadwick, D.R.; Jones, D.L. Microbial utilization of low molecular weight organic carbon substrates in cultivated peats in response to warming and soil degradation. Soil Biol. Biochem. 2019, 139, 107629. [Google Scholar] [CrossRef]
- Jacquard, P. The ecology of intercropping: J. Vandermeer. Cambridge University Press, Cambridge, 1989. 237 pp., U.S., ISBN 0-521-34592-8. Agr. Ecosyst. Environ. 1990, 32, 328–332. [Google Scholar] [CrossRef]
- Li, Z.X.; Chen, Z.; Chen, G.L.; Xiang, Y.C.; Zhu, J.W.; Dai, Y.F.; Deng, B. Effects of maize-rape intercropping on Cd uptake and accumulation by maize. Chin. J. Ecol. 2016, 35, 26–31. (In Chinese) [Google Scholar]
- Mašková, T.; Herben, T. Root:shoot ratio in developing seedlings: How seedlings change their allocation in response to seed mass and ambient nutrient supply. Ecol. Evol. 2018, 8, 7143–7150. [Google Scholar] [CrossRef] [PubMed]
- Lin, L.; Chen, F.; Wang, J.; Liao, M.; Lv, X.; Wang, Z.; Li, H.; Deng, Q.; Xia, H.; Liang, D.; et al. Effects of living hyperaccumulator plants and their straws on the growth and cadmium accumulation of Cyphomandra betacea seedlings. Ecotoxicol. Environ. Saf. 2018, 155, 109–116. [Google Scholar] [CrossRef]
- Huo, W.; Zhao, Z.; Wang, L.; Zou, R.; Fan, H. Study of the effects of intercropping different hyperaccumulator and accumulators plants on Cd uptake and transportation by maize. Earth Sci. Front. 2019, 26, 1–10. (In Chinese) [Google Scholar]
- Luo, C.L.; Shen, Z.G.; Li, X.D. Root exudates increase metal accumulation in mixed cultures: Implications for naturally enhanced phytoextraction. Water Air Soil Pollut. 2008, 193, 147–154. [Google Scholar] [CrossRef]
- Sarma, H. Metal hyperaccumulation in plants: A review focusing on phytoremediation technology. J. Environ. Sci. Technol. 2011, 4, 118–138. [Google Scholar] [CrossRef]
- Heuvelink, E. Effect of plant density on biomass allocation to the fruits in tomato (Lycopersicon esculentum Mill.). Sci. Hortic. 1995, 64, 193–201. [Google Scholar] [CrossRef]
- Chu, C.J.; Maestre, F.T.; Xiao, S.; Weiner, J.; Wang, Y.S.; Duan, Z.H.; Wang, G. Balance between facilitation and resource competition determines biomass-density relationships in plant populations. Ecol. Lett. 2008, 11, 1189–1197. [Google Scholar] [CrossRef]
- Leger, E.A.; Espeland, E.K. The shifting balance of facilitation and competition affects the outcome of intra- and interspecific interactions over the life history of California grassland annuals. Plant Ecol. 2010, 208, 333–345. [Google Scholar] [CrossRef]
- Lin, L.J.; Tang, F.; Liao, M. Effects of intercropping density of Galinsoga parviflora on cadmium accumulation of soybean. In Proceedings of the 2015 3rd International Conference on Advances in Energy and Environmental Science, Zhuhai, China, 25–26 July 2015; pp. 203–206. [Google Scholar]
- Ma, Q.; Yu, X.; Lin, L.; Liao, M. Intercropping different density of Galinsoga parviflora can increase cadmium accumulation in radish. In Proceedings of the 2015 3rd International Conference on Advances in Energy and Environmental Science, Zhuhai, China, 25–26 July 2015; pp. 1424–1427. [Google Scholar]
- Tang, C.; Chen, Y.; Zhang, Q.; Li, J.; Zhang, F.; Liu, Z. Effects of peat on plant growth and lead and zinc phytostabilization from lead-zinc mine tailing in southern China: Screening plant species resisting and accumulating metals. Ecotoxicol. Environ. Saf. 2019, 176, 42–49. [Google Scholar] [CrossRef] [PubMed]



| Property | Measured Value | Analytical Method | ||
|---|---|---|---|---|
| Soil | Peat | |||
| PSD (%) | Sand (2–0.05 mm) | 18.6 | — | Pipette method |
| Silt (0.05–0.002 mm) | 46.3 | — | ||
| Clay (<0.002 mm) | 35.2 | — | ||
| Texture | Silty clay loam | — | USDA soil texture triangle | |
| pHwater | 5.07 | 5.21 | Potentiometry | |
| OM (g kg−1) | 24.4 | 462 | K2Cr2O7-H2SO4 oxidation method | |
| CEC (cmol kg−1) | 9.82 | 83.0 | Ammonium acetate method | |
| TN (g kg−1) | 1.51 | 2.64 | Kjeldahl method | |
| TP (g kg−1) | 1.32 | 0.136 | Acid digestion and Mo-Sb colorimetry | |
| TK (g kg−1) | 14.0 | 15.0 | Sodium hydroxide fusion method | |
| CdT (mg kg−1) | 1.72 | BDL a | Acid digestion and atomic-absorption spectrophotometry | |
| CdDTPA (mg kg−1) | 0.832 | BDL a | DTPA extraction and inductively coupled plasma atomic emission spectrometry | |
| Treatment Notation | Treatment Number | Planting Pattern | Peat Application | |||
|---|---|---|---|---|---|---|
| Mono- or Co-Cropping | Indian Mustard Density (Plant pot−1) | Group | Rate (g kg−1) | Group | ||
| CtrlNP | C1 | no plants | Control | 0 | NP | |
| MI2NP | T1 | mono-cropping of Indian mustard (MI) | 2 (low density) | MI-2 | 0 | NP |
| MI4NP | T2 | 4 (high density) | MI-4 | 0 | NP | |
| MS1NP | T3 | mono-cropping of one silage maize plant | MS | 0 | NP | |
| CI2S1NP | T4 | co-cropping of Indian mustard with one silage maize plant (CIS) | 2 (low density) | CIS-2 | 0 | NP |
| CI4S1NP | T5 | 4 (high density) | CIS-4 | 0 | NP | |
| CtrlWP | C2 | no plants | Control | 30 | WP | |
| MI2WP | T6 | mono-cropping of Indian mustard (MI) | 2 (low density) | MI-2 | 30 | WP |
| MI4WP | T7 | 4 (high density) | MI-4 | 30 | WP | |
| MS1WP | T8 | mono-cropping of one silage maize plant | MS | 30 | WP | |
| CI2S1WP | T9 | co-cropping of Indian mustard with one silage maize plant (CIS) | 2 (low density) | CIS-2 | 30 | WP |
| CI4S1WP | T10 | 4 (high density) | CIS-4 | 30 | WP | |
| Item | Planting Pattern | Peat Application | Planting Pattern × Peat Application |
|---|---|---|---|
| pH | <0.001 | <0.001 | 0.647 |
| Available Cd | 0.655 | <0.001 | 0.020 |
| Item | Planting Pattern | Peat Application | Planting Pattern × Peat Application | |
|---|---|---|---|---|
| Dry biomass | Indian mustard shoots | <0.001 | <0.001 | 0.013 |
| Silage maize shoots | 0.054 | <0.001 | 0.397 | |
| Total roots | <0.001 | 0.045 | 0.452 | |
| Cd concentration | Indian mustard shoots | <0.001 | <0.001 | 0.005 |
| Silage maize shoots | <0.001 | 0.004 | 0.944 | |
| Total roots | <0.001 | <0.001 | 0.004 | |
| Cd accumulation | Indian mustard shoots | <0.001 | 0.057 | 0.064 |
| Silage maize shoots | <0.001 | <0.001 | 0.080 | |
| Total roots | <0.001 | 0.135 | 0.761 | |
| R/S ratio | <0.001 | 0.011 | 0.396 | |
| Cd removal rate | Shoots | <0.001 | <0.001 | <0.001 |
| Roots | <0.001 | 0.135 | 0.760 | |
| Whole plants | <0.001 | <0.001 | 0.002 | |
| TFCd | <0.001 | <0.001 | 0.003 | |
| Treatment Notation | Planting Pattern | Peat Application | Dry Biomass (g pot−1) | Cd Concentration (mg kg−1) | Cd Accumulation (μg pot−1) | |||
|---|---|---|---|---|---|---|---|---|
| MS1NP | MS | NP | 18.0 ± 0.3 | a | 6.76 ± 0.72 | a | 122 ± 15 | a |
| MS1WP | WP | 21.3 ± 2.2 | 7.45 ± 0.42 | 172 ± 5 | ||||
| CI2S1NP | CIS-2 | NP | 16.1 ± 1.9 | a | 4.59 ± 0.02 | c | 73.8 ± 8.8 | c |
| CI2S1WP | WP | 20.1 ± 1.2 | 5.18 ± 0.11 | 104 ± 6 | ||||
| CI4S1NP | CIS-4 | NP | 19.1 ± 0.2 | a | 5.50 ± 0.16 | b | 105 ± 3 | b |
| CI4S1WP | WP | 21.1 ± 0.3 | 6.24 ± 0.46 | 131 ± 9 | ||||
| t-test for the main effect of Peat | ||||||||
| p value | ** | NS | * | |||||
Publisher’s Note: MDPI stays neutral with regard to jurisdictional claims in published maps and institutional affiliations. |
© 2021 by the authors. Licensee MDPI, Basel, Switzerland. This article is an open access article distributed under the terms and conditions of the Creative Commons Attribution (CC BY) license (https://creativecommons.org/licenses/by/4.0/).
Share and Cite
Wang, S.; Liu, Y.; Kariman, K.; Li, J.; Zhang, H.; Li, F.; Chen, Y.; Ma, C.; Liu, C.; Yuan, Y.; et al. Co-Cropping Indian Mustard and Silage Maize for Phytoremediation of a Cadmium-Contaminated Acid Paddy Soil Amended with Peat. Toxics 2021, 9, 91. https://doi.org/10.3390/toxics9050091
Wang S, Liu Y, Kariman K, Li J, Zhang H, Li F, Chen Y, Ma C, Liu C, Yuan Y, et al. Co-Cropping Indian Mustard and Silage Maize for Phytoremediation of a Cadmium-Contaminated Acid Paddy Soil Amended with Peat. Toxics. 2021; 9(5):91. https://doi.org/10.3390/toxics9050091
Chicago/Turabian StyleWang, Sifan, Yong Liu, Khalil Kariman, Jialin Li, Huihua Zhang, Fangbai Li, Yinglong Chen, Chongjian Ma, Chuanping Liu, Yuzhen Yuan, and et al. 2021. "Co-Cropping Indian Mustard and Silage Maize for Phytoremediation of a Cadmium-Contaminated Acid Paddy Soil Amended with Peat" Toxics 9, no. 5: 91. https://doi.org/10.3390/toxics9050091
APA StyleWang, S., Liu, Y., Kariman, K., Li, J., Zhang, H., Li, F., Chen, Y., Ma, C., Liu, C., Yuan, Y., Zhu, Z., & Rengel, Z. (2021). Co-Cropping Indian Mustard and Silage Maize for Phytoremediation of a Cadmium-Contaminated Acid Paddy Soil Amended with Peat. Toxics, 9(5), 91. https://doi.org/10.3390/toxics9050091

