Air Quality in the Harbin-Changchun Metropolitan Area in Northeast China: Unique Episodes and New Trends
Abstract
:1. Introduction
2. Materials and Methods
2.1. Study Areas
2.2. Air Quality Data
2.3. The Calculate of Air Quality Index (AQI) and Major Pollutant
3. Results
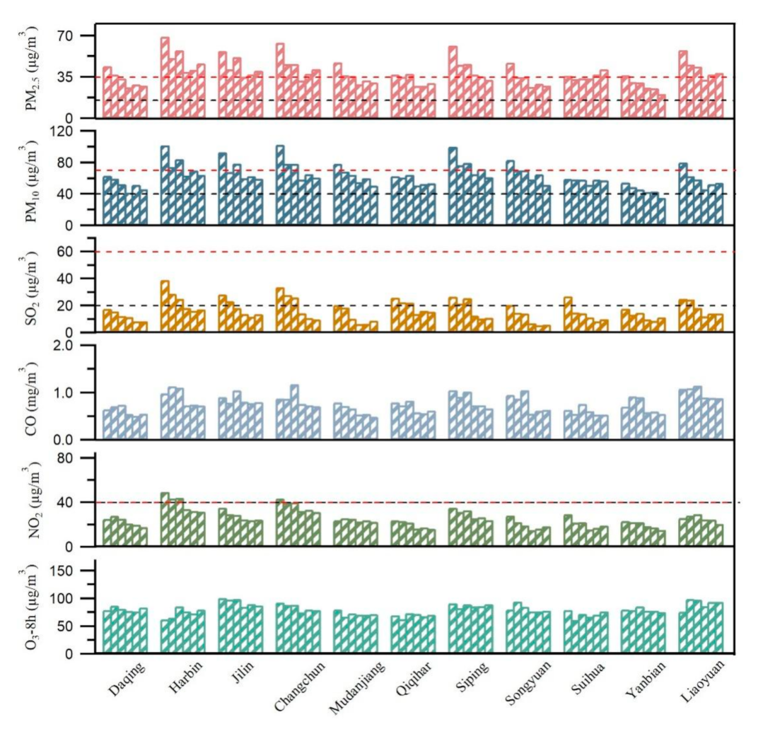
3.1. Overview of Air Pollutants
3.2. The Major Pollutant
3.3. The Pollution Characteristics of HC during Special Pollution Periods
3.3.1. The Pollution Characteristics of Dust Weather
3.3.2. The Pollution Characteristics of Open Biomass Burning (OBB)
3.4. The Correlation between 11 Cities and the Coordinated Control of PM2.5 and O3
3.4.1. The Pearson Correlation Coefficients between 11 Cities
3.4.2. The Coordinated Control of PM2.5 and O3
4. Conclusions
Supplementary Materials
Author Contributions
Funding
Institutional Review Board Statement
Informed Consent Statement
Data Availability Statement
Conflicts of Interest
References
- Wang, Y.; Ying, Q.; Hu, J.; Zhang, H. Spatial and temporal variations of six criteria air pollutants in 31 provincial capital cities in China during 2013–2014. Environ. Int. 2014, 73, 413–422. [Google Scholar] [CrossRef]
- Wang, Y.; Sun, Y.; Zhang, Z.; Cheng, Y. Spatiotemporal variation and source analysis of air pollutants in the Harbin-Changchun (HC) region of China during 2014–2020. Environ. Sci. Ecotechnol. 2021, 8, 100126. [Google Scholar] [CrossRef]
- Li, X.; Hu, X.M.; Ma, Y.; Wang, Y.; Li, L.; Zhao, Z. Impact of planetary boundary layer structure on the formation and evolution of air-pollution episodes in Shenyang, Northeast China. Atmos. Environ. 2019, 214, 116850. [Google Scholar] [CrossRef]
- Ma, T.; Duan, F.; He, K.; Qin, Y.; Tong, D.; Geng, G.; Liu, X.; Li, H.; Yang, S.; Ye, S.; et al. Air pollution characteristics and their relationship with emissions and meteorology in the Yangtze River Delta region during 2014–2016. J. Environ. Sci. 2019, 83, 8–20. [Google Scholar] [CrossRef]
- Chu, B.; Ma, Q.; Liu, J.; Ma, J.; Zhang, P.; Chen, T.; Feng, Q.; Wang, C.; Yang, N.; Ma, H.; et al. Air pollutant correlations in China: Secondary air pollutant responses to NOx and SO2 control. Environ. Sci. Technol. Lett. 2020, 7, 695–700. [Google Scholar] [CrossRef]
- Li, X.; Ma, Y.; Wang, Y.; Wei, W.; Zhang, Y.; Liu, N.; Hong, Y. Vertical distribution of particulate matter and it’s relationship with planetary boundary layer structure in Shenyang, Northeast China. Aerosol Air Qual. Res. 2019, 19, 2464–2476. [Google Scholar] [CrossRef]
- Cheng, Y.; Yu, Q.Q.; Liu, J.M.; Zhu, S.; Zhang, M.; Zhang, H.; Zheng, B.; He, K.B. Model vs. observation discrepancy in aerosol characteristics during a half-year long campaign in Northeast China: The role of biomass burning. Environ. Pollut. 2021, 269, 116167. [Google Scholar] [CrossRef] [PubMed]
- Cheng, Y.; Yu, Q.Q.; Liu, J.M.; Du, Z.Y.; Liang, L.L.; Geng, G.N.; Zheng, B.; Ma, W.L.; Qi, H.; Zhang, Q.; et al. Strong biomass burning contribution to ambient aerosol during heating season in a megacity in Northeast China: Effectiveness of agricultural fire bans? Sci. Total Environ. 2021, 754, 142144. [Google Scholar] [CrossRef]
- Li, B.; Shi, X.F.; Liu, Y.P.; Lu, L.; Wang, G.L.; Thapa, S.; Sun, X.Z.; Fu, D.L.; Wang, K.; Qi, H. Long-term characteristics of criteria air pollutants in megacities of Harbin-Changchun megalopolis, Northeast China: Spatiotemporal variations, source analysis, and meteorological effects. Environ. Pollut. 2020, 267, 115441. [Google Scholar] [CrossRef] [PubMed]
- Li, L.; Wang, K.; Chen, W.W.; Zhao, Q.L.; Liu, L.J.; Liu, W.; Liu, Y.; Jiang, J.Q.; Liu, J.M.; Zhang, M.D. Atmospheric pollution of agriculture-oriented cities in Northeast China: A case in Suihua. J. Environ. Sci. 2020, 97, 85–95. [Google Scholar] [CrossRef] [PubMed]
- Chen, W.; Tong, D.Q.; Zhang, S.; Zhang, X.; Zhao, H. Local PM10 and PM2.5 emission inventories from agricultural tillage and harvest in Northeastern China. J. Environ. Sci. 2017, 57, 15–23. [Google Scholar] [CrossRef] [PubMed]
- Long, X.; Bei, N.F.; Wu, J.R.; Li, X.; Feng, T.; Xing, L.; Zhao, S.Y.; Cao, J.J.; Tie, X.X.; An, Z.S.; et al. Does afforestation deteriorate haze pollution in Beijing-Tianjin-Hebei (BTH), China? Atmos. Chem. Phys. 2018, 18, 10869–10879. [Google Scholar] [CrossRef] [Green Version]
- Li, X.; Wu, J.R.; Elser, M.; Feng, T.; Cao, J.J.; El-Haddad, I.; Huang, R.J.; Tie, X.X.; Prevot, A.S.H.; Li, G.H. Contributions of residential coal combustion to the air quality in Beijing-Tianjin-Hebei (BTH), China: A case study. Atmos. Chem. Phys. 2018, 18, 10675–10691. [Google Scholar] [CrossRef] [Green Version]
- Wang, H.; Li, J.W.; Gao, M.; Chan, T.C.; Gao, Z.Q.; Zhang, M.Y.; Li, Y.B.; Gu, Y.F.; Chen, A.B.; Yang, Y.J.; et al. Spatiotemporal variability in long-term population exposure to PM2.5 and lung cancer mortality attributable to PM2.5 across the Yangtze River Delta (YRD) region over 2010-2016: A multistage approach. Chemosphere 2020, 257, 127153. [Google Scholar] [CrossRef] [PubMed]
- Shu, L.; Wang, T.J.; Xie, M.; Li, M.M.; Zhao, M.; Zhang, M.; Zhao, X.Y. Episode study of fine particle and ozone during the CAPUM-YRD over Yangtze River Delta of China: Characteristics and source attribution. Atmos. Environ. 2019, 203, 87–101. [Google Scholar] [CrossRef]
- Kong, L.W.; Hu, M.; Tan, Q.W.; Feng, M.; Qu, Y.; An, J.L.; Zhang, Y.H.; Liu, X.G.; Cheng, N.L. Aerosol optical properties under different pollution levels in the Pearl River Delta (PRD) region of China. J. Environ. Sci. 2020, 87, 49–59. [Google Scholar] [CrossRef] [PubMed]
- Yan, F.H.; Chen, W.H.; Jia, S.G.; Zhong, B.Q.; Yang, L.M.; Mao, J.Y.; Chang, M.; Shao, M.; Yuan, B.; Situ, S.; et al. Stabilization for the secondary species contribution to PM2.5 in the Pearl River Delta (PRD) over the past decade, China: A meta-analysis. Atmos. Environ. 2020, 242, 117817. [Google Scholar] [CrossRef]
- Zhao, H.; Che, H.; Zhang, L.; Gui, K.; Ma, Y.; Wang, Y.; Wang, H.; Zheng, Y.; Zhang, X. How aerosol transport from the North China plain contributes to air quality in Northeast China. Sci. Total Environ. 2020, 738, 139555. [Google Scholar] [CrossRef]
- Cheng, Y.; Yu, Q.Q.; Cao, X.B.; Yan, C.Q.; Zhong, Y.J.; Du, Z.Y.; Liang, L.L.; Ma, W.L.; Qi, H.; Zheng, M.; et al. Strong impacts of legitimate open burning on brown carbon aerosol in Northeast China. Environ. Sci. Technol. Lett. 2021, 8, 732–738. [Google Scholar] [CrossRef]
- Zhang, Y.L.; Kawamura, K.; Agrios, K.; Lee, M.; Salazar, G.; Szidat, S. Fossil and nonfossil sources of organic and elemental carbon aerosols in the outflow from Northeast China. Environ. Sci. Technol. 2016, 50, 6284–6292. [Google Scholar] [CrossRef]
- Zhang, J.; Liu, L.; Wang, Y.; Ren, Y.; Wang, X.; Shi, Z.; Zhang, D.; Che, H.; Zhao, H.; Liu, Y.; et al. Chemical composition, source, and process of urban aerosols during winter haze formation in Northeast China. Environ. Pollut. 2017, 231, 357–366. [Google Scholar] [CrossRef]
- Li, Y.; Liu, J.; Han, H.; Zhao, T.; Zhang, X.; Zhuang, B.; Wang, T.; Chen, H.; Wu, Y.; Li, M. Collective impacts of biomass burning and synoptic weather on surface PM2.5 and CO in Northeast China. Atmos. Environ. 2019, 213, 64–80. [Google Scholar] [CrossRef]
- Zhao, H.; Tong, D.Q.; Gao, C.; Wang, G. Effect of dramatic land use change on gaseous pollutant emissions from biomass burning in Northeastern China. Atmos. Res. 2015, 153, 429–436. [Google Scholar] [CrossRef]
- Cao, F.; Zhang, S.C.; Kawamura, K.; Liu, X.; Yang, C.; Xu, Z.; Fan, M.; Zhang, W.; Bao, M.; Chang, Y.; et al. Chemical characteristics of dicarboxylic acids and related organic compounds in PM2.5 during biomass-burning and non-biomass-burning seasons at a rural site of Northeast China. Environ. Pollut. 2017, 231, 654–662. [Google Scholar] [CrossRef] [PubMed]
- Cao, F.; Zhang, S.C.; Kawamura, K.; Zhang, Y.L. Inorganic markers, carbonaceous components and stable carbon isotope from biomass burning aerosols in Northeast China. Sci. Total Environ. 2016, 572, 1244–1251. [Google Scholar] [CrossRef]
- Wang, L.; Jin, X.; Wang, Q.; Mao, H.; Liu, Q.; Weng, G.; Wang, Y. Spatial and temporal variability of open biomass burning in Northeast China from 2003 to 2017. Atmos. Ocean. Sci. Lett. 2020, 13, 240–247. [Google Scholar] [CrossRef] [Green Version]
- Yin, S.; Wang, X.; Zhang, X.; Zhang, Z.; Xiao, Y.; Tani, H.; Sun, Z. Exploring the effects of crop residue burning on local haze pollution in Northeast China using ground and satellite data. Atmos. Environ. 2019, 199, 189–201. [Google Scholar] [CrossRef]
- Wang, Q.; Wang, L.; Li, X.; Xin, J.; Liu, Z.; Sun, Y.; Liu, J.; Zhang, Y.; Du, W.; Jin, X.; et al. Emission characteristics of size distribution, chemical composition and light absorption of particles from field-scale crop residue burning in Northeast China. Sci. Total Environ. 2020, 710, 136304. [Google Scholar] [CrossRef]
- Yang, G.; Zhao, H.; Tong, D.Q.; Xiu, A.; Zhang, X.; Gao, C. Impacts of post-harvest open biomass burning and burning ban policy on severe haze in the Northeastern China. Sci. Total Environ. 2020, 716, 136517. [Google Scholar] [CrossRef] [PubMed]
- Ma, G.; Zhao, T.; Kong, S.; Bao, Y.; Chen, C.; Gong, S.; Guo, J.; Yu, C.; Wu, M.; Chang, J.; et al. Variations in FINN emissions of particulate matters and associated carbonaceous aerosols from remote sensing of open biomass burning over Northeast China during 2002–2016. Sustainability 2018, 10, 3353. [Google Scholar] [CrossRef] [Green Version]
- Li, L.; Wang, K.; Sun, Z.; Wang, W.; Zhao, Q.; Qi, H. Bottom-Up emission inventory and its spatio-temporal distribution from paved road dust based on field investigation: A case study of Harbin, Northeast China. Atmosphere 2021, 12, 449. [Google Scholar] [CrossRef]
- Zhang, J.; Liu, L.; Xu, L.; Lin, Q.; Zhao, H.; Wang, Z.; Guo, S.; Hu, M.; Liu, D.; Shi, Z.; et al. Exploring wintertime regional haze in Northeast China: Role of coal and biomass burning. Atmos. Chem. Phys. 2020, 20, 5355–5372. [Google Scholar] [CrossRef]
- Kazuyuki, M.; Bowman, K.; Sekiya, T.; Takigawa, M.; Neu, J.L.; Sudo, K.; Osterman, G.; Eskes, H. Global tropospheric ozone responses to reduced NOx emissions linked to the COVID-19 worldwide lockdowns. Sci. Adv. 2021, 7, eabf7460. [Google Scholar]
- Shao, P.; Xu, X.; Zhang, X.; Xu, J.; Wang, Y.; Ma, Z. Impact of volatile organic compounds and photochemical activities on particulate matters during a high ozone episode at urban, suburb and regional background stations in Beijing. Atmos. Environ. 2020, 236, 117629. [Google Scholar] [CrossRef]
- Hao, Y.; Meng, X.; Yu, X.; Lei, M.; Li, W.; Shi, F.; Yang, W.; Zhang, S.; Xie, S. Characteristics of trace elements in PM2.5 and PM10 of Chifeng, Northeast China: Insights into spatiotemporal variations and sources. Atmos. Res. 2018, 213, 550–561. [Google Scholar] [CrossRef]
- Li, X.; Ma, Y.; Wang, Y.; Liu, N.; Hong, Y. Temporal and spatial analyses of particulate matter (PM10 and PM2.5) and its relationship with meteorological parameters over an urban city in Northeast China. Atmos. Res. 2017, 198, 185–193. [Google Scholar] [CrossRef]
- Li, R.M.; Chen, W.W.; Xiu, A.J.; Zhao, H.M.; Zhang, X.L.; Zhang, S.C.; Tong, D.Q. A comprehensive inventory of agricultural atmospheric particulate matters (PM10 and PM2.5) and gaseous pollutants (VOCs, SO2, NH3, CO, NOx and HC) emissions in China. Ecol. Indic. 2019, 107, 105609. [Google Scholar] [CrossRef]
- Zhang, R.; Sun, X.; Shi, A.; Huang, Y.; Yan, J.; Nie, T.; Yan, X.; Li, X. Secondary inorganic aerosols formation during haze episodes at an urban, site in Beijing, China. Atmos. Environ. 2018, 177, 275–282. [Google Scholar] [CrossRef]
- Fu, X.; Cheng, Z.; Wang, S.; Hua, Y.; Xing, J.; Hao, J. Local and regional contributions to fine particle pollution in winter of the Yangtze River Delta, China. Aerosol. Air Qual. Res. 2016, 16, 1067–1080. [Google Scholar] [CrossRef]
- Chen, X.; Yu, S.; Wang, L.; Li, Z.; Zhang, Y.; Li, M.; Mehmood, K.; Liu, W.; Li, P.; Lichtfouse, E.; et al. Common source areas of air pollution vary with haze intensity in the Yangtze River Delta, China. Environ. Chem. Lett. 2020, 18, 965–987. [Google Scholar] [CrossRef]
- Huang, Y.; Deng, T.; Li, Z.; Wang, N.; Yin, C.; Wang, S.; Fan, S. Numerical simulations for the sources apportionment and control strategies of PM2.5 over Pearl River Delta, China, Part I: Inventory and PM2.5 sources apportionment. Sci. Total Environ. 2018, 634, 1631–1644. [Google Scholar] [CrossRef] [PubMed]
- Cao, G.L.; Zhang, X.Y.; Gong, S.L.; Zheng, F.C. Investigation on emission factors of particulate matter and gaseous pollutants from crop residue burning. J. Environ. Sci. 2008, 20, 50–55. [Google Scholar] [CrossRef]
- Andreae, M.O. Emission of trace gases and aerosols from biomass burning—An updated assessment. Atmos. Chem. Phys. 2019, 19, 8523–8546. [Google Scholar] [CrossRef] [Green Version]
- Xu, Y.; Huang, Z.; Jia, G.; Fan, M.; Cheng, L.; Chen, L.; Shao, M.; Zheng, J. Regional discrepancies in spatiotemporal variations and driving forces of open crop residue burning emissions in China. Sci. Total Environ. 2019, 671, 536–547. [Google Scholar] [CrossRef] [PubMed]









| IAQI | The Concentration Limits of Different Pollutants | |||||
|---|---|---|---|---|---|---|
| The 24-h Average Concentration of PM2.5 (μg/m3) | The 24-h Average Concentration of PM10 (μg/m3) | The 24-h Average Concentration of SO2 (μg/m3) | The 24-h Average Concentration of CO (mg/m3) | The 24-h Average Concentration of NO2 (μg/m3) | The 8-h Moving Average Concentration of O3 (μg/m3) | |
| 0 | 0 | 0 | 0 | 0 | 0 | 0 |
| 50 | 35 | 50 | 50 | 2 | 40 | 100 |
| 100 | 75 | 150 | 150 | 4 | 80 | 160 |
| 150 | 115 | 250 | 475 | 14 | 180 | 215 |
| 200 | 150 | 350 | 800 | 24 | 280 | 265 |
| 300 | 250 | 420 | 1600 | 36 | 565 | 800 |
| 400 | 350 | 500 | 2100 | 48 | 750 | * |
| 500 | 500 | 600 | 2620 | 60 | 940 | * |
Publisher’s Note: MDPI stays neutral with regard to jurisdictional claims in published maps and institutional affiliations. |
© 2021 by the authors. Licensee MDPI, Basel, Switzerland. This article is an open access article distributed under the terms and conditions of the Creative Commons Attribution (CC BY) license (https://creativecommons.org/licenses/by/4.0/).
Share and Cite
Wang, Y.; Sun, Y.; Zhao, G.; Cheng, Y. Air Quality in the Harbin-Changchun Metropolitan Area in Northeast China: Unique Episodes and New Trends. Toxics 2021, 9, 357. https://doi.org/10.3390/toxics9120357
Wang Y, Sun Y, Zhao G, Cheng Y. Air Quality in the Harbin-Changchun Metropolitan Area in Northeast China: Unique Episodes and New Trends. Toxics. 2021; 9(12):357. https://doi.org/10.3390/toxics9120357
Chicago/Turabian StyleWang, Yulong, Youwen Sun, Gerong Zhao, and Yuan Cheng. 2021. "Air Quality in the Harbin-Changchun Metropolitan Area in Northeast China: Unique Episodes and New Trends" Toxics 9, no. 12: 357. https://doi.org/10.3390/toxics9120357
APA StyleWang, Y., Sun, Y., Zhao, G., & Cheng, Y. (2021). Air Quality in the Harbin-Changchun Metropolitan Area in Northeast China: Unique Episodes and New Trends. Toxics, 9(12), 357. https://doi.org/10.3390/toxics9120357
