Levels of Phthalates, Bisphenol-A, Nonylphenol, and Microplastics in Fish in the Estuaries of Northern Taiwan and the Impact on Human Health
Abstract
:1. Introduction
2. Materials and Methods
2.1. Sampling Fields and Sample Collection
2.2. Extraction, Cleanup, and Analysis of EEDCs
2.3. Quantitative Analysis of MPs
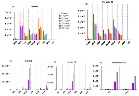
2.4. Assessment of Human Health via the Estuarine Fish in Northern Taiwan
2.5. Statistical Analysis
3. Results
4. Discussion
5. Conclusions
Supplementary Materials
Author Contributions
Funding
Institutional Review Board Statement
Informed Consent Statement
Data Availability Statement
Acknowledgments
Conflicts of Interest
References
- Shen, M.; Song, B.; Zhu, Y.; Zeng, G.; Zhang, Y.; Yang, Y.; Wen, X.; Chen, M.; Yi, H. Removal of microplastics via drinking water treatment: Current knowledge and future directions. Chemosphere 2020, 251, 126612. [Google Scholar] [CrossRef]
- Reisser, J.; Slat, B.; Noble, K.; du Plessis, K.; Epp, M.; Proietti, M.; de Sonneville, J.; Becker, T.; Pattiaratchi, C. The vertical distribution of buoyant plastics at sea. Biogeosci. Discuss. 2014, 11, 16207–16226. [Google Scholar]
- Iroegbu, A.O.; Sadiku, R.E.; Ray, S.S.; Hamam, Y. Plastics in municipal drinking water and wastewater treatment plant effluents: Challenges and opportunities for South Africa—A review. Environ. Sci. Pollut. Res. 2020, 27, 12953–12966. [Google Scholar] [CrossRef]
- Schrank, I.; Trotter, B.; Dummert, J.; Scholz-Böttcher, B.M.; Löder, M.G.; Laforsch, C. Effects of microplastic particles and leaching additive on the life history and morphology of Daphnia magna. Environ. Pollut. 2019, 255, 113233. [Google Scholar] [CrossRef] [PubMed]
- Savoca, D.; Arculeo, M.; Barreca, S.; Buscemi, S.; Caracappa, S.; Gentile, A.; Persichetti, M.F.; Pace, A. Chasing phthalates in tissues of marine turtles from the Mediterranean sea. Mar. Pollut. Bull. 2018, 127, 165–169. [Google Scholar] [CrossRef]
- Hahladakis, J.N.; Velis, C.A.; Weber, R.; Iacovidou, E.; Purnell, P. An overview of chemical additives present in plastics: Migration, release, fate and environmental impact during their use, disposal and recycling. J. Hazard. Mater. 2018, 344, 179–199. [Google Scholar] [CrossRef] [PubMed]
- Di Marco Pisciottano, I.; Mita, G.D.; Gallo, P. Bisphenol A, octylphenols and nonylphenols in fish muscle determined by LC/ESI-MS/MS after affinity chromatography clean up. Food Addit. Contam. Part B 2020, 13, 139–147. [Google Scholar] [CrossRef] [PubMed]
- Lim, H.J.; Lee, E.-H.; Lee, S.-D.; Yoon, Y.; Son, A. Quantitative screening for endocrine-disrupting bisphenol A in consumer and household products using NanoAptamer assay. Chemosphere 2018, 211, 72–80. [Google Scholar] [CrossRef]
- Rahman, A.; Sarkar, A.; Yadav, O.P.; Achari, G.; Slobodnik, J. Potential human health risks due to environmental exposure to microplastics and knowledge gaps: A scoping review. Sci. Total Environ. 2020, 757, 143872. [Google Scholar] [CrossRef] [PubMed]
- Liu, Y.; Li, Z.; Jalón-Rojas, I.; Wang, X.H.; Fredj, E.; Zhang, D.; Feng, L.; Li, X. Assessing the potential risk and relationship between microplastics and phthalates in surface seawater of a heavily human-impacted metropolitan bay in northern China. Ecotoxicol. Environ. Saf. 2020, 204, 111067. [Google Scholar] [CrossRef]
- Bu, Z.; Mmereki, D.; Wang, J.; Dong, C. Exposure to commonly-used phthalates and the associated health risks in indoor environment of urban China. Sci. Total Environ. 2019, 658, 843–853. [Google Scholar] [CrossRef] [PubMed]
- Zuccarello, P.; Conti, G.O.; Cavallaro, F.; Copat, C.; Cristaldi, A.; Fiore, M.; Ferrante, M. Implication of dietary phthalates in breast cancer. A systematic review. Food Chem. Toxicol. 2018, 118, 667–674. [Google Scholar] [CrossRef] [PubMed]
- Kirby, M.; Smith, A.; Rooke, J.; Neall, P.; Scott, A.; Katsiadaki, I. Ethoxyresorufin-O-deethylase (EROD) and vitellogenin (VTG) in flounder (Platichthys flesus): System interaction, crosstalk and implications for monitoring. Aquat. Toxicol. 2007, 81, 233–244. [Google Scholar] [CrossRef] [PubMed]
- Vethaak, A.D.; Lahr, J.; Schrap, S.M.; Belfroid, A.C.; Rijs, G.B.; Gerritsen, A.; de Boer, J.; Bulder, A.S.; Grinwis, G.C.; Kuiper, R.V. An integrated assessment of estrogenic contamination and biological effects in the aquatic environment of The Netherlands. Chemosphere 2005, 59, 511–524. [Google Scholar] [CrossRef]
- Chen, K.-J.; Chen, M.-C.; Chen, T.-H. Plastic ingestion by fish in the coastal waters of the Hengchun Peninsula, Taiwan: Associated with human activity but no evidence of biomagnification. Ecotoxicol. Environ. Saf. 2021, 213, 112056. [Google Scholar] [CrossRef]
- Wang, J.; Tan, Z.; Peng, J.; Qiu, Q.; Li, M. The behaviors of microplastics in the marine environment. Mar. Environ. Res. 2016, 113, 7–17. [Google Scholar] [CrossRef]
- Prata, J.C.; da Costa, J.P.; Lopes, I.; Duarte, A.C.; Rocha-Santos, T. Environmental exposure to microplastics: An overview on possible human health effects. Sci. Total Environ. 2020, 702, 134455. [Google Scholar] [CrossRef]
- Lu, X.; Xu, X.; Lin, Y.; Zhang, Y.; Huo, X. Phthalate exposure as a risk factor for hypertension. Environ. Sci. Pollut. Res. 2018, 25, 20550–20561. [Google Scholar] [CrossRef]
- Benjamin, S.; Masai, E.; Kamimura, N.; Takahashi, K.; Anderson, R.C.; Faisal, P.A. Phthalates impact human health: Epidemiological evidences and plausible mechanism of action. J. Hazard. Mater. 2017, 340, 360–383. [Google Scholar] [CrossRef]
- Feng, Y.-X.; Feng, N.-X.; Zeng, L.-J.; Chen, X.; Xiang, L.; Li, Y.-W.; Cai, Q.-Y.; Mo, C.-H. Occurrence and human health risks of phthalates in indoor air of laboratories. Sci. Total Environ. 2020, 707, 135609. [Google Scholar] [CrossRef]
- Lehmann, G.M.; LaKind, J.S.; Davis, M.H.; Hines, E.P.; Marchitti, S.A.; Alcala, C.; Lorber, M. Environmental chemicals in breast milk and formula: Exposure and risk assessment implications. Environ. Health Perspect. 2018, 126, 96001. [Google Scholar] [CrossRef] [PubMed]
- He, M.-J.; Lu, J.-F.; Ma, J.-Y.; Wang, H.; Du, X.-F. Organophosphate esters and phthalate esters in human hair from rural and urban areas, Chongqing, China: Concentrations, composition profiles and sources in comparison to street dust. Environ. Pollut. 2018, 237, 143–153. [Google Scholar] [CrossRef]
- Ferguson, K.K.; Meeker, J.D.; Cantonwine, D.E.; Chen, Y.-H.; Mukherjee, B.; McElrath, T.F. Urinary phthalate metabolite and bisphenol A associations with ultrasound and delivery indices of fetal growth. Environ. Int. 2016, 94, 531–537. [Google Scholar] [CrossRef] [PubMed] [Green Version]
- Stojanoska, M.M.; Milosevic, N.; Milic, N.; Abenavoli, L. The influence of phthalates and bisphenol A on the obesity development and glucose metabolism disorders. Endocrine 2017, 55, 666–681. [Google Scholar] [CrossRef]
- Schirinzi, G.F.; Pérez-Pomeda, I.; Sanchís, J.; Rossini, C.; Farré, M.; Barceló, D. Cytotoxic effects of commonly used nanomaterials and microplastics on cerebral and epithelial human cells. Environ. Res. 2017, 159, 579–587. [Google Scholar] [CrossRef]
- Pauna, V.; Buonocore, E.; Renzi, M.; Russo, G.; Franzese, P. The issue of microplastics in marine ecosystems: A bibliometric network analysis. Mar. Pollut. Bull. 2019, 149, 110612. [Google Scholar] [CrossRef]
- Yong, C.Q.Y.; Valiyaveetill, S.; Tang, B.L. Toxicity of microplastics and nanoplastics in mammalian systems. Int. J. Environ. Res. Public Health 2020, 17, 1509. [Google Scholar] [CrossRef] [Green Version]
- Omar, T.; Aris, A.Z.; Yusoff, F.M.; Mustafa, S. Occurrence and level of emerging organic contaminant in fish and mollusk from Klang River estuary, Malaysia and assessment on human health risk. Environ. Pollut. 2019, 248, 763–773. [Google Scholar] [CrossRef]
- Fossi, M.C.; Romeo, T.; Baini, M.; Panti, C.; Marsili, L.; Campani, T.; Canese, S.; Galgani, F.; Druon, J.-N.; Airoldi, S. Plastic debris occurrence, convergence areas and fin whales feeding ground in the Mediterranean marine protected area Pelagos sanctuary: A modeling approach. Front. Mar. Sci. 2017, 4, 167. [Google Scholar] [CrossRef]
- Karbalaei, S.; Golieskardi, A.; Watt, D.U.; Boiret, M.; Hanachi, P.; Walker, T.R.; Karami, A. Analysis and inorganic composition of microplastics in commercial Malaysian fish meals. Mar. Pollut. Bull. 2020, 150, 110687. [Google Scholar] [CrossRef] [PubMed]
- Karami, A.; Golieskardi, A.; Ho, Y.B.; Larat, V.; Salamatinia, B. Microplastics in eviscerated flesh and excised organs of dried fish. Sci. Rep. 2017, 7, 5473. [Google Scholar] [CrossRef] [PubMed]
- Karbalaei, S.; Golieskardi, A.; Hamzah, H.B.; Abdulwahid, S.; Hanachi, P.; Walker, T.R.; Karami, A. Abundance and characteristics of microplastics in commercial marine fish from Malaysia. Mar. Pollut. Bull. 2019, 148, 5–15. [Google Scholar] [CrossRef] [PubMed]
- Worm, B.; Lotze, H.K.; Jubinville, I.; Wilcox, C.; Jambeck, J. Plastic as a persistent marine pollutant. Annu. Rev. Environ. Resour. 2017, 42. [Google Scholar] [CrossRef]
- Chang, M.-H.; Yan, W.-L.; Kao, Y.-M.; Shih, Y.-C. Studies on the Analysis of 4-Nonylphenol in Seafood. Food Drug 2010, 1, 87–98. (In Chinese) [Google Scholar]
- Chou, H.-M.; Kao, C.-C.; Chuang, K.P.; Lin, C.; Shy, C.-G.; Chen, R.-F.; Tsai, C.-C.; Chuang, C.-Y.; Cheng, Y.-C.; Chen, C.-C. Levels of polybrominated diphenyl ethers in air-conditioner filter dust used to assess health risks in clinic and electronic plant employees. Aerosol Air Qual. Res. 2016, 16, 184–194. [Google Scholar] [CrossRef] [Green Version]
- Gou, Y.-Y.; Lin, S.; Que, D.E.; Tayo, L.L.; Lin, D.-Y.; Chen, K.-C.; Chen, F.-A.; Chiang, P.-C.; Wang, G.-S.; Hsu, Y.-C. Estrogenic effects in the influents and effluents of the drinking water treatment plants. Environ. Sci. Pollut. Res. 2016, 23, 8518–8528. [Google Scholar] [CrossRef]
- TFDA. National Food Consumption Database. China Medical University. 2021. Available online: http://tnfcds.cmu.edu.tw/index.php?action=food-intake-data-result (accessed on 29 September 2021).
- MOHW. The Average Life Expectancy in Taiwan. Department of Statistics, Ministry of Health and Welfare. 2020. Available online: https://dep.mohw.gov.tw/dos/cp-1720-7278-113.html (accessed on 29 September 2021).
- Health Promotion Administration (HPA). Overview of Health Promotion in Taiwan; Ministry of Health and Welfare: Taipei, Taiwan, 2015.
- USEPA. Integrated Risk Information System. USEPA. 2021. Available online: https://www.epa.gov/iris (accessed on 21 August 2021).
- Kortenkamp, A.; Koch, H.M. Refined reference doses and new procedures for phthalate mixture risk assessment focused on male developmental toxicity. Int. J. Hyg. Environ. Health 2020, 224, 113428. [Google Scholar] [CrossRef]
- Lee, C.-C.; Jiang, L.-Y.; Kuo, Y.-L.; Chen, C.-Y.; Hsieh, C.-Y.; Hung, C.-F.; Tien, C.-J. Characteristics of nonylphenol and bisphenol A accumulation by fish and implications for ecological and human health. Sci. Total Environ. 2015, 502, 417–425. [Google Scholar] [CrossRef]
- USEPA. Guidelines for Carcinogen Risk Assessment; Risk Assessment Forum; EPA/630/P-03/001; USEPA: Washington, DC, USA, 2005.
- Yang, G.C. Integrated electrokinetic processes for the remediation of phthalate esters in river sediments: A mini-review. Sci. Total Environ. 2019, 659, 963–972. [Google Scholar] [CrossRef] [PubMed]
- Lee, Y.-M.; Lee, J.-E.; Choe, W.; Kim, T.; Lee, J.-Y.; Kho, Y.; Choi, K.; Zoh, K.-D. Distribution of phthalate esters in air, water, sediments, and fish in the Asan Lake of Korea. Environ. Int. 2019, 126, 635–643. [Google Scholar] [CrossRef] [PubMed]
- Lee, C.-C.; Hsieh, C.-Y.; Chen, C.S.; Tien, C.-J. Emergent contaminants in sediments and fishes from the Tamsui River (Taiwan): Their spatial-temporal distribution and risk to aquatic ecosystems and human health. Environ. Pollut. 2020, 258, 113733. [Google Scholar] [CrossRef] [PubMed]
- Huang, P.-C.; Tien, C.-J.; Sun, Y.-M.; Hsieh, C.-Y.; Lee, C.-C. Occurrence of phthalates in sediment and biota: Relationship to aquatic factors and the biota-sediment accumulation factor. Chemosphere 2008, 73, 539–544. [Google Scholar] [CrossRef]
- Mathieu-Denoncourt, J.; Wallace, S.J.; de Solla, S.R.; Langlois, V.S. Influence of lipophilicity on the toxicity of bisphenol A and phthalates to aquatic organisms. Bull. Environ. Contam. Toxicol. 2016, 97, 4–10. [Google Scholar] [CrossRef] [PubMed]
- Hecht, S.A.; Gunnarsson, J.S.; Boese, B.L.; Lamberson, J.O.; Schaffner, C.; Giger, W.; Jepson, P.C. Influences of sedimentary organic matter quality on the bioaccumulation of 4-nonylphenol by estuarine amphipods. Environ. Toxicol. Chem. Int. J. 2004, 23, 865–873. [Google Scholar] [CrossRef]
- Tien, C.-J.; Wang, Z.-X.; Chen, C.S. Microplastics in water, sediment and fish from the Fengshan River system: Relationship to aquatic factors and accumulation of polycyclic aromatic hydrocarbons by fish. Environ. Pollut. 2020, 265, 114962. [Google Scholar] [CrossRef]
- David, A.; Fenet, H.; Gomez, E. Alkylphenols in marine environments: Distribution monitoring strategies and detection considerations. Mar. Pollut. Bull. 2009, 58, 953–960. [Google Scholar] [CrossRef]
- Landrigan, P.; Stegeman, J.; Fleming, L.; Allemand, D.; Anderson, D.; Backer, L.; Brucker-Davis, F.; Chevalier, N.; Corra, L.; Czerucka, D. Human Health and ocean pollution. Ann. Glob. Health 2020, 86, 151. [Google Scholar] [CrossRef]
- Park, T.-J.; Lee, S.-H.; Lee, M.-S.; Lee, J.-K.; Lee, S.-H.; Zoh, K.-D. Occurrence of microplastics in the Han River and riverine fish in South Korea. Sci. Total Environ. 2020, 708, 134535. [Google Scholar] [CrossRef]
- Diehl, J.; Johnson, S.E.; Xia, K.; West, A.; Tomanek, L. The distribution of 4-nonylphenol in marine organisms of North American Pacific Coast estuaries. Chemosphere 2012, 87, 490–497. [Google Scholar] [CrossRef] [Green Version]
- Bizarro, C.; Ros, O.; Vallejo, A.; Prieto, A.; Etxebarria, N.; Cajaraville, M.; Ortiz-Zarragoitia, M. Intersex condition and molecular markers of endocrine disruption in relation with burdens of emerging pollutants in thicklip grey mullets (Chelon labrosus) from Basque estuaries (South-East Bay of Biscay). Mar. Environ. Res. 2014, 96, 19–28. [Google Scholar] [CrossRef] [PubMed]
- Couderc, M.; Poirier, L.; Zalouk-Vergnoux, A.; Kamari, A.; Blanchet-Letrouvé, I.; Marchand, P.; Vénisseau, A.; Veyrand, B.; Mouneyrac, C.; Le Bizec, B. Occurrence of POPs and other persistent organic contaminants in the European eel (Anguilla anguilla) from the Loire estuary, France. Sci. Total Environ. 2015, 505, 199–215. [Google Scholar] [CrossRef] [PubMed]
- Meador, J.P.; Yeh, A.; Young, G.; Gallagher, E.P. Contaminants of emerging concern in a large temperate estuary. Environ. Pollut. 2016, 213, 254–267. [Google Scholar] [CrossRef] [Green Version]
- Diao, P.; Chen, Q.; Wang, R.; Sun, D.; Cai, Z.; Wu, H.; Duan, S. Phenolic endocrine-disrupting compounds in the Pearl River Estuary: Occurrence, bioaccumulation and risk assessment. Sci. Total Environ. 2017, 584, 1100–1107. [Google Scholar] [CrossRef]
- Walsh, J.J.; Lenes, J.M.; Weisberg, R.H.; Zheng, L.; Hu, C.; Fanning, K.; Snyder, R.; Smith, J. More surprises in the global greenhouse: Human health impacts from recent toxic marine aerosol formations, due to centennial alterations of world-wide coastal food webs. Mar. Pollut. Bull. 2017, 116, 9–40. [Google Scholar] [CrossRef]
- Ribeiro, C.; Tiritan, M.E.; Rocha, E.; Rocha, M.J. Seasonal and spatial distribution of several endocrine-disrupting compounds in the Douro River Estuary, Portugal. Arch. Environ. Contam. Toxicol. 2009, 56, 1–11. [Google Scholar] [CrossRef]
- Kunz, A.; Walther, B.A.; Löwemark, L.; Lee, Y.-C. Distribution and quantity of microplastic on sandy beaches along the northern coast of Taiwan. Mar. Pollut. Bull. 2016, 111, 126–135. [Google Scholar] [CrossRef]
- Hermabessiere, L.; Dehaut, A.; Paul-Pont, I.; Lacroix, C.; Jezequel, R.; Soudant, P.; Duflos, G. Occurrence and effects of plastic additives on marine environments and organisms: A review. Chemosphere 2017, 182, 781–793. [Google Scholar] [CrossRef] [Green Version]
- Rochman, C.M.; Brookson, C.; Bikker, J.; Djuric, N.; Earn, A.; Bucci, K.; Athey, S.; Huntington, A.; McIlwraith, H.; Munno, K. Rethinking microplastics as a diverse contaminant suite. Environ. Toxicol. Chem. 2019, 38, 703–711. [Google Scholar] [CrossRef] [PubMed] [Green Version]
- Wei, X.; Huang, Y.; Wong, M.H.; Giesy, J.P.; Wong, C.K.C. Assessment of risk to humans of bisphenol A in marine and freshwater fish from Pearl River Delta, China. Chemosphere 2011, 85, 122–128. [Google Scholar] [CrossRef] [PubMed]
- Chao, K.-P.; Huang, C.-S.; Wei, C.-Y. Health risk assessments of DEHP released from chemical protective gloves. J. Hazard. Mater. 2015, 283, 53–59. [Google Scholar] [CrossRef] [PubMed]
- Chen, W.-Y.; Shen, Y.-P.; Chen, S.-C. Assessing bisphenol A (BPA) exposure risk from long-term dietary intakes in Taiwan. Sci. Total Environ. 2016, 543, 140–146. [Google Scholar] [CrossRef]
- Chang, J.-W.; Lee, C.-C.; Pan, W.-H.; Chou, W.-C.; Huang, H.-B.; Chiang, H.-C.; Huang, P.-C. Estimated daily intake and cumulative risk assessment of phthalates in the general Taiwanese after the 2011 DEHP food scandal. Sci. Rep. 2017, 7, 45009. [Google Scholar] [CrossRef]
- Chang, W.-H.; Liu, S.-C.; Chen, H.-L.; Lee, C.-C. Dietary intake of 4-nonylphenol and bisphenol A in Taiwanese population: Integrated risk assessment based on probabilistic and sensitive approach. Environ. Pollut. 2019, 244, 143–152. [Google Scholar] [CrossRef]
- Tsai, M.-Y.; Ho, C.-H.; Chang, H.-Y.; Yang, W.-C.; Lin, C.-F.; Lin, C.-T.; Xue, Y.-J.; Lai, J.-M.; Wang, J.-H.; Chang, G.-R. Analysis of Pollution of Phthalates in Pork and Chicken in Taiwan Using Liquid Chromatography–Tandem Mass Spectrometry and Assessment of Health Risk. Molecules 2019, 24, 3817. [Google Scholar] [CrossRef] [Green Version]



| LJ (n = 24) a Mean ± SD | NK (n = 29) a Mean ± SD | TQ (n = 16) a Mean ± SD | FS(n = 14) a Mean ± SD | TM (n = 47) a Mean ± SD | Total (n = 130) Mean ± SD | p-Value | |
|---|---|---|---|---|---|---|---|
| PAEs | 219 ± 108 | 179 ± 133 | 210 ± 128 | 175 ± 76.3 | 213 ± 185 | 202 ± 144 | 0.322 |
| (73.7–527) | (64.5–592) | (77.7–451) | (80.8–336) | (64.5–980) | |||
| DMP | 3.13 ± 3.08 | 2.75 ± 0.931 | <LOD | <LOD | 3.08 ± 4.00 | 2.90 ± 2.80 | 0.644 |
| (<LOD-17.6) | (<LOD-6.40) | (<LOD-29.9) | |||||
| DEP | 69.0 ± 54.8 | 46.5 ± 101 | 64.9 ± 81.1 | 26.1 ± 24.9 | 52.6 ± 79.0 | 52.9 ± 77.3 | 0.003 * |
| (11.7–247) | (<LOD-495) | (<LOD-248) | (<LOD-64.3) | (<LOD-426) | |||
| DBP | 17.5 ± 13.2 | 11.3 ± 3.95 | 39.2 ± 18.7 | 30.4 ± 31.9 | 17.2 ± 16.1 | 20.1 ± 18.7 | <0.001 *** |
| (<LOD-54.2) | (<LOD-23.3) | (<LOD-83.9) | (<LOD-98.4) | (<LOD-73.5) | |||
| DIBP | 17.1 ± 7.12 | 15.5 ± 2.80 | 36.0 ± 23.5 | 22.0 ± 16.2 | 17.2 ± 7.80 | 19.7 ± 12.8 | <0.001 *** |
| (<LOD-42.7) | (<LOD-30.1) | (<LOD-82.8) | (<LOD-71.9) | (<LOD-52.2) | |||
| DEHP | 61.2 ± 50.6 | 34.7 ± 14.2 | 39.3 ± 16.9 | 55.6 ± 48.3 | 42.7 ± 26.0 | 45.3 ± 33.1 | 0.108 |
| (<LOD-229) | (<LOD-79.6) | (<LOD-75.5) | (<LOD-205) | (<LOD-128) | |||
| DINP | 35.5 ± 58.2 | 53.1 ± 73.4 | 9.11 ± 12.1 | 12.2 ± 11.1 | 59.9 ± 107 | 42.5 ± 79.3 | 0.070 |
| (<LOD-254) | (<LOD-286) | (<LOD-46.3) | (<LOD-32.6) | (<LOD-589) | |||
| NP | 14.8 ± 17.1 | 13.3 ± 23.9 | 17.1 ± 34.8 | 25.2 ± 34.2 | 19.0 ± 33.5 | 17.4 ± 29.1 | 0.494 |
| (<LOD-61.1) | (<LOD-117) | (<LOD-137) | (<LOD-123) | (<LOD-135) | |||
| BPA | 1.87 ± 2.74 | 1.85 ± 3.13 | 1.63 ± 2.50 | <LOD | 1.24 ± 0.971 | 1.5 ± 2.2 | 0.655 |
| (<LOD-13.5) | (<LOD-17.1) | (<LOD-11.0) | (<LOD-6.16) | ||||
| MPs | 0.232 ± 0.346 | 0.229 ± 0.509 | 0.114 ± 0.103 | 0.154 ± 0.136 | 0.169 ± 0.299 | 0.185 ± 0.338 | 0.594 |
| (mg/g d.w.) | (<LOD-1) | (0.0041–2.354) | (<LOD) | (<LOD) | (<LOD-2) |
| Benthic (n = 81) Mean ± SD | Pelagic (n = 14) Mean ± SD | Migratory (n = 12) Mean ± SD | p-Value | |
|---|---|---|---|---|
| PAE | 182 ± 129 | 224 ± 116 | 187 ± 96.4 | 0.189 |
| (64.5–733) | (86.4–527) | (80–336) | ||
| DMP | 2.59 ± 0.564 | 3.58 ± 4.04 | 4.78 ± 7.91 | 0.445 |
| (<LOD-6.40) | (<LOD-17.6) | (<LOD-29.9) | ||
| DEP | 46.5 ± 76.4 | 61.7 ± 52.6 | 22.5 ± 34.8 | 0.070 |
| (<LOD-495) | (<LOD-167) | (<LOD-123) | ||
| DBP | 19.0 ± 17.7 | 17.1 ± 12.6 | 29.0 ± 27.8 | 0.557 |
| (<LOD-98.4) | (<LOD-54.2) | (<LOD-85.2) | ||
| DIBP | 19.9 ± 14.1 | 21.2 ± 10.4 | 23.7 ± 16.4 | 0.341 |
| (<LOD-82.8) | (<LOD-42.7) | (<LOD-59.7) | ||
| DEHP | 39.0 ± 27.0 | 65.0 ± 44.9 | 72.8 ± 50.7 | 0.001 ** |
| (<LOD-229) | (<LOD-140) | (<LOD-205) | ||
| DINP | 37.5 ± 62.7 | 39.6 ± 68.5 | 3.58 ± 3.72 | 0.014 * |
| (<LOD-242) | (<LOD-254) | (<LOD-15.4) | ||
| NP | 16.0 ± 29.3 | 14.1 ± 17.0 | 29.8 ± 46.9 | 0.573 |
| (<LOD-137) | (<LOD-61.1) | (<LOD-135) | ||
| BPA | 1.35 ± 1.82 | 1.28 ± 1.04 | 0.675 | |
| (<LOD-13.5) | (<LOD-4.89) | <LOD | ||
| MPs | 0.163 ± 0.305 | 2.40 ± 0.366 | 0.0927 ± 0.135 | 0.622 |
| (mg/g d.w.) | (0.00342–2.35) | (0.0105–1.39) | (0.00408–0.490) |
| DEP | DBP | DIBP | DEHP | DINP | NP | BPA | |
|---|---|---|---|---|---|---|---|
| DBP | 0.199(0.023) *a | ||||||
| DIBP | 0.091(0.302) | 0.448(0.000) *** | |||||
| DEHP | 0.087(0.323) | 0.259(0.003) ** | 0.355(0.000) *** | ||||
| DINP | 0.373(0.000) *** | 0.059(0.507) | −0.199(0.023) * | −0.145(0.101) | |||
| NP | 0.261(0.003) ** | 0.095(0.280) | 0.012(0.892) | 0.085(0.334) | 0.038(0.666) | ||
| BPA | 0.150(0.088) | 0.218(0.013) * | 0.042(0.633) | 0.019(0.826) | 0.311(0.000) *** | 0.217(0.013) * | |
| MPs | 0.243(0.005) ** | 0.029(0.740) | 0.092(0.300) | 0.022(0.802) | −0.033(0.708) | 0.054(0.539) | 0.013(0.887) |
| DEP | River Estuary | ||||
| FS | LJ | NK | TQ | TM | |
| Mean ± SD a | 26.1 ± 24.9 | 69.0 ± 54.8 | 46.5 ± 101 | 64.9 ± 81.1 | 52.6 ± 79.0 |
| OR | Reference | 1.01 | 1.00 | 1.01 | 1.01 |
| 95% CI of OR | — | 1.01–1.07 | 0.99–1.02 | 0.99–1.03 | 0.99–1.03 |
| p-value | — | 0.016 * | 0.483 | 0.123 | 0.241 |
| DEP | Fish Habitat | ||||
| Migratory | Benthic | Pelagic | |||
| Mean ± SD a | 23.2 ± 34.4 | 51.7 ± 87.0 | 61.6 ± 52.6 | ||
| OR | Reference | 1.01 | 1.02 | ||
| 95% CI of OR | — | 0.99–1.03 | 1.00–1.05 | ||
| p-value | — | 0.285 | 0.049 * | ||
| Dependence | Independence | |||
|---|---|---|---|---|
| EDCs | B | Adjusted R | p-Value | |
| Log MPs | ||||
| Crude | LogDEP | 0.288 | 0.259 | 0.002 ** |
| Adjustment a | LOgDEP | 0.284 | 0.235 | 0.003 ** |
Publisher’s Note: MDPI stays neutral with regard to jurisdictional claims in published maps and institutional affiliations. |
© 2021 by the authors. Licensee MDPI, Basel, Switzerland. This article is an open access article distributed under the terms and conditions of the Creative Commons Attribution (CC BY) license (https://creativecommons.org/licenses/by/4.0/).
Share and Cite
Lu, I.-C.; Chao, H.-R.; Mansor, W.-N.-W.; Peng, C.-W.; Hsu, Y.-C.; Yu, T.-Y.; Chang, W.-H.; Fu, L.-M. Levels of Phthalates, Bisphenol-A, Nonylphenol, and Microplastics in Fish in the Estuaries of Northern Taiwan and the Impact on Human Health. Toxics 2021, 9, 246. https://doi.org/10.3390/toxics9100246
Lu I-C, Chao H-R, Mansor W-N-W, Peng C-W, Hsu Y-C, Yu T-Y, Chang W-H, Fu L-M. Levels of Phthalates, Bisphenol-A, Nonylphenol, and Microplastics in Fish in the Estuaries of Northern Taiwan and the Impact on Human Health. Toxics. 2021; 9(10):246. https://doi.org/10.3390/toxics9100246
Chicago/Turabian StyleLu, I-Cheng, How-Ran Chao, Wan-Nurdiyana-Wan Mansor, Chun-Wei Peng, Yi-Chyun Hsu, Tai-Yi Yu, Wei-Hsiang Chang, and Lung-Ming Fu. 2021. "Levels of Phthalates, Bisphenol-A, Nonylphenol, and Microplastics in Fish in the Estuaries of Northern Taiwan and the Impact on Human Health" Toxics 9, no. 10: 246. https://doi.org/10.3390/toxics9100246
APA StyleLu, I.-C., Chao, H.-R., Mansor, W.-N.-W., Peng, C.-W., Hsu, Y.-C., Yu, T.-Y., Chang, W.-H., & Fu, L.-M. (2021). Levels of Phthalates, Bisphenol-A, Nonylphenol, and Microplastics in Fish in the Estuaries of Northern Taiwan and the Impact on Human Health. Toxics, 9(10), 246. https://doi.org/10.3390/toxics9100246

