Trends of Polychlorinated Compounds in the Surroundings of a Municipal Solid Waste Incinerator in Mataró (Catalonia, Spain): Assessing Health Risks
Abstract
1. Introduction
2. Materials and Methods
2.1. Sampling
2.2. Analytical Determination
2.3. Statistical Analysis
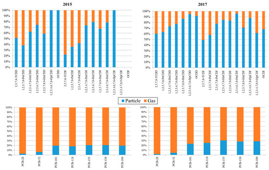
3. Results
4. Discussion
5. Conclusions
Author Contributions
Funding
Acknowledgments
Conflicts of Interest
References
- Quaß, U.; Fermann, M.; Bröker, G. The European Dioxin Air Emission Inventory Project—Final Results. Chemosphere 2004, 54, 1319–1327. [Google Scholar] [CrossRef]
- Fiedler, H. Sources of PCDD/PCDF and impact on the environment. Chemosphere 1996, 32, 55–64. [Google Scholar] [CrossRef]
- Nadal, M.; Mari, M.; Schuhmacher, M.; Domingo, J.L. Monitoring dioxins and furans in plasma of individuals living near a hazardous waste incinerator: Temporal trend after 20 years. Environ. Res. 2019, 173, 207–211. [Google Scholar] [CrossRef] [PubMed]
- Jang, E.; Jeong, T.; Yoon, N.; Jeong, S. Source apportionment of airborne PCDD/F at industrial and urban sites in Busan, South Korea. Chemosphere 2020, 239, 124717. [Google Scholar] [CrossRef] [PubMed]
- Qian, L.; Chun, T.; Long, H.; Li, J.; Di, Z.; Meng, Q.; Wang, P. Emission reduction research and development of PCDD/Fs in the iron ore sintering. Process Saf. Environ. Prot. 2018, 117, 82–91. [Google Scholar] [CrossRef]
- Fiedler, H. Release Inventories of Polychlorinated Dibenzo-p-dioxins and Polychlorinated Dibenzofurans, In Dioxin and Related Compounds: Special Volume in Honor of Otto Hutzinger; Alaee, M., Ed.; Springer International Publishing: Cham, Switzerland, 2016; pp. 1–27. [Google Scholar]
- Coudon, T.; Salizzoni, P.; Praud, D.; Danjou, A.M.N.; Dossus, L.; Faure, E.; Fervers, B. A national inventory of historical dioxin air emissions sources in France. Atmos. Pollut. Res. 2019, 10, 1211–1219. [Google Scholar] [CrossRef]
- Fuster, G.; Schuhmacher, M.; Domingo, J.L. Flow analysis of PCDD/Fs for Tarragona Province, Spain: A preliminary inventory. Environ. Sci. Pollut. Res. 2001, 8, 91–94. [Google Scholar] [CrossRef]
- Salian, K.; Strezov, V.; Evans, T.J.; Taylor, M.; Nelson, P.F. Application of national pollutant inventories for monitoring trends on dioxin emissions from stationary industrial sources in Australia, Canada and European Union. PLoS ONE 2019, 14, e0224328. [Google Scholar] [CrossRef]
- Cheruiyot, N.K.; Lee, W.-J.; Yan, P.; Mwangi, J.K.; Wang, L.-C.; Gao, X.; Lin, N.-H.; Chang-Chien, G.-P. An overview of PCDD/F inventories and emission factors from stationary and mobile sources: What we know and what is missing. Aerosol Air Qual. Res. 2016, 16, 2965–2988. [Google Scholar] [CrossRef]
- Marquès, M.; Domingo, J.L. Concentrations of PCDD/Fs in human blood: A review of data from the current decade. Int. J. Environ. Res. Public Health 2019, 16, 3566. [Google Scholar] [CrossRef]
- Gonzalez, C.A.; Kogevinas, M.; Huici, A.; Gadea, E.; Ladona, M.; Bosch, A.; Bleda, M.J. Blood levels of polychlorinated dibenzodioxins, polychlorinated dibenzofurans and polychlorinated biphenyls in the general population of a Spanish Mediterranean city. Chemosphere 1998, 36, 419–426. [Google Scholar] [CrossRef]
- Gonzalez, C.A.; Bleda, M.J.; Kogevinas, M.; Gadea, E.; Huici, A.; Bosch, A.; Ergo, O.P. Biomonitoring study of people living near or working at a municipal solid-waste incinerator before and after two years of operation. Arch. Environ. Health 2000, 55, 259–267. [Google Scholar] [CrossRef]
- Parera, J.; Serra-Prat, M.; Palomera, E.; Mattioli, L.; Abalos, M.; Rivera, J.; Abad, E. Biological monitoring of PCDD/Fs and PCBs in the City of Mataró. A population-based cohort study (1995–2012). Sci Total Environ. 2013, 461–462, 612–617. [Google Scholar] [CrossRef]
- Rovira, J.; Mari, M.; Nadal, M.; Schuhmacher, M.; Domingo, J.L. Environmental monitoring of metals, PCDD/Fs and PCBs as a complementary tool of biological surveillance to assess human health risks. Chemosphere 2010, 80, 1183–1189. [Google Scholar] [CrossRef] [PubMed]
- Rovira, J.; Vilavert, L.; Nadal, M.; Schuhmacher, M.; Domingo, J.L. Temporal trends in the levels of metals, PCDD/Fs and PCBs in the vicinity of a municipal solid waste incinerator. Preliminary assessment of human health risks. Waste Manag. 2015, 43, 168–175. [Google Scholar] [CrossRef] [PubMed]
- Herrero, M.; Rovira, J.; Marquès, M.; Nadal, M.; Domingo, J.L. Human exposure to trace elements and PCDD/Fs around a hazardous waste landfill in Catalonia (Spain). Sci. Total Environ. 2020, 710, 136313. [Google Scholar] [CrossRef]
- Mari, M.; Rovira, J.; Sánchez-Soberón, F.; Nadal, M.; Schuhmacher, M.; Domingo, J.L. Partial replacement of fossil fuels in a cement plant: Assessment of human health risks by metals, metalloids and PCDD/Fs. Environ. Res. 2018, 167, 191–197. [Google Scholar] [CrossRef]
- Marquès, M.; Nadal, M.; Díaz-Ferrero, J.; Schuhmacher, M.; Domingo, J.L. Concentrations of PCDD/Fs in the neighborhood of a hazardous waste incinerator: Human health risks. Environ. Sci. Pollut. Res. 2018, 25, 26470–26481. [Google Scholar] [CrossRef]
- Van den Berg, M.; Birnbaum, L.S.; Denison, M.; De Vito, M.; Farland, W.; Feeley, M.; Fiedler, H.; Hakansson, H.; Hanberg, A.; Haws, L.; et al. The 2005 World Health Organization reevaluation of human and mammalian toxic equivalency factors for dioxins and dioxin-like compounds. Toxicol. Sci. 2006, 93, 223–241. [Google Scholar] [CrossRef]
- Chakraborty, P.; Zhang, G.; Li, J.; Selvaraj, S.; Breivik, K.; Jones, K.C. Soil concentrations, occurrence, sources and estimation of air-soil exchange of polychlorinated biphenyls in Indian cities. Sci. Total Environ. 2016, 562, 928–934. [Google Scholar] [CrossRef]
- Schuhmacher, M.; Domingo, J.L. Long-term study of environmental levels of dioxins and furans in the vicinity of a municipal solid waste incinerator. Environ. Int. 2006, 32, 397–404. [Google Scholar] [CrossRef] [PubMed]
- Wang, Y.; Wu, X.; Hou, M.; Zhao, H.; Chen, R.; Luo, C.; Zhang, G. Factors influencing the atmospheric concentrations of PCBs at an abandoned e-waste recycling site in South China. Sci. Total Environ. 2017, 578, 34–39. [Google Scholar] [CrossRef] [PubMed]
- Gevao, B.; Porcelli, M.; Rajagopalan, S.; Krishnan, D.; Martinez-Guijarro, K.; Alshemmari, H.; Bahloul, M.; Zafar, J. Seasonal variations in the atmospheric concentrations of polychlorinated biphenyls in Kuwait. Chemosphere 2017, 189, 652–660. [Google Scholar] [CrossRef] [PubMed]
- Cousins, I.T.; Beck, A.J.; Jones, K.C. A review of the processes involved in the exchange of semi-volatile organic compounds (SVOC) across the air-soil interface. Sci. Total Environ. 1999, 228, 5–24. [Google Scholar] [CrossRef]
- Vilavert, L.; Nadal, M.; Schuhmacher, M.; Domingo, J.L. Two decades of environmental surveillance in the vicinity of a waste incinerator: Human health risks associated with metals and PCDD/Fs. Arch. Environ. Contam. Toxicol. 2015, 69, 241–253. [Google Scholar] [CrossRef]
- Rovira, J.; Nadal, M.; Schuhmacher, M.; Domingo, J.L. Concentrations of trace elements and PCDD/Fs around a municipal solid waste incinerator in Girona (Catalonia, Spain). Human health risks for the population living in the neighborhood. Sci. Total Environ. 2018, 630, 34–45. [Google Scholar] [CrossRef]
- Domingo, J.L.; Rovira, J.; Vilavert, L.; Nadal, M.; Figueras, M.J.; Schuhmacher, M. Health risks for the population living in the vicinity of an Integrated Waste Management Facility: Screening environmental pollutants. Sci. Total Environ. 2015, 518–519, 363–370. [Google Scholar] [CrossRef]
- Van Drooge, B.L.; Abalos, M.; Abad, E.; Adrados, M.A.; Gomez, A.; Gallés, P.; Grimalt, J.O. Qualitative and quantitative changes in traffic and waste incineration PCDD/Fs in urban air and soils under different seasonal conditions (Metropolitan Area of Barcelona). Sci. Total Environ. 2021, 753, 142149. [Google Scholar] [CrossRef]
- Zhou, Z.; Ren, Y.; Chu, J.; Li, N.; Zhen, S.; Zhao, H.; Fan, S.; Zhang, H.; Xu, P.; Qi, L.; et al. Occurrence and impact of polychlorinated dibenzo-p-dioxins/dibenzofurans in the air and soil around a municipal solid waste incinerator. J. Environ. Sci. 2016, 44, 244–251. [Google Scholar] [CrossRef]
- Deng, Y.Y.; Peng, P.A.; Jia, L.J.; Mao, W.L.; Hu, J.F.; Yin, H.W. Environmental exposure-associated human health risk of dioxin compounds in the vicinity of a municipal solid waste incinerator in Shanghai, China. Bull. Environ. Contam. Toxicol. 2020, 105, 173–179. [Google Scholar] [CrossRef]
- Vilavert, L.; Nadal, M.; Schuhmacher, M.; Domingo, J.L. Long-term monitoring of dioxins and furans near a municipal solid waste incinerator: Human health risks. Waste Manag. Res. 2012, 30, 908–916. [Google Scholar] [CrossRef] [PubMed]
- Domingo, J.L.; Rovira, J.; Nadal, M.; Schuhmacher, M. High cancer risks by exposure to PCDD/Fs in the neighborhood of an Integrated Waste Management Facility. Sci. Total Environ. 2017, 607–608, 63–68. [Google Scholar] [CrossRef] [PubMed]
- Zhang, C.; Li, X.; Zhou, Z. Spatial and temporal variation, source profile of PCDD/Fs in the atmosphere of a municipal waste incinerator in China. Ecotoxicol. Environ. Saf. 2019, 184, 109615. [Google Scholar] [CrossRef]
- Domínguez-Morueco, N.; Carvalho, M.; Sierra, J.; Schuhmacher, M.; Domingo, J.L.; Ratola, N.; Nadal, M. Multi-component determination of atmospheric semi-volatile organic compounds in soils and vegetation from Tarragona County, Catalonia, Spain. Sci. Total Environ. 2018, 631–632, 1138–1152. [Google Scholar] [CrossRef] [PubMed]
- Hue, N.T.; Thuy, N.T.T.; Tung, N.H. Polychlorobenzenes and polychlorinated biphenyls in ash and soil from several industrial areas in North Vietnam: Residue concentrations, profiles and risk assessment. Environ. Geochem. Health 2016, 38, 399–411. [Google Scholar] [CrossRef] [PubMed]
- Nadal, M.; Mari, M.; Schuhmacher, M.; Domingo, J.L. Multi-compartmental environmental surveillance of a petrochemical area: Levels of micropollutants. Environ. Int. 2009, 35, 227–235. [Google Scholar] [CrossRef]
- Shahpoury, P.; Lammel, G.; Šmejkalová, A.H.; Klánová, J.; Přibylová, P.; Váňa, M. Polycyclic aromatic hydrocarbons, polychlorinated biphenyls, and chlorinated pesticides in background air in central Europe—Investigating parameters affecting wet scavenging of polycyclic aromatic hydrocarbon. Atmos. Chem. Phys. 2015, 15, 1795–1805. [Google Scholar] [CrossRef]
- Mari, M.; Nadal, M.; Schuhmacher, M.; Domingo, J.L. Application of self-organizing maps for PCDD/F pattern recognition of environmental and biological samples to evaluate the impact of a hazardous waste incinerator. Environ. Sci. Technol. 2010, 44, 3162–3168. [Google Scholar] [CrossRef]
- MMA. Guía Técnica de Aplicación del RD 9/2005, de 14 de enero, por el que se Establece la Relación de Actividades Potencialmente Contaminantes del suelo y los Criterios y Estándares para la Declaración de suelos Contaminados; Dirección General de Calidad y Evaluación Ambiental, Ministerio de Medio Ambiente: Madrid, Spain, 2007. [Google Scholar]
- Perelló, G.; Gómez-Catalán, J.; Castell, V.; Llobet, J.M.; Domingo, J.L. Assessment of the temporal trend of the dietary exposure to PCDD/Fs and PCBs in Catalonia, over Spain: Health risks. Food Chem. Toxicol. 2012, 50, 399–408. [Google Scholar] [CrossRef]
- Esplugas, R.; Mari, M.; Marquès, M.; Schuhmacher, M.; Domingo, J.L.; Nadal, M. Biomonitoring of trace elements in hair of schoolchildren living near a hazardous waste incinerator-a 20 years follow-up. Toxics 2019, 7, 52. [Google Scholar] [CrossRef]
- García, F.; Marquès, M.; Barbería, E.; Torralba, P.; Landin, I.; Laguna, C.; Domingo, J.L.; Nadal, M. Biomonitoring of trace elements in subjects living near a hazardous waste incinerator: Concentrations in autopsy tissues. Toxics 2020, 8, 11. [Google Scholar] [CrossRef]





| MSWI | Mataró (<1.5 km) | Mataró (>3 km) | Arenys de Mar (>10 km) | ||
|---|---|---|---|---|---|
| PCDD/Fs | Soil ingestion | 1.98·10−7 | 2.06·10−7 | 2.19·10−7 | 2.19·10−7 |
| Dermal absorption | 2.11·10−7 | 2.16·10−7 | 2.33·10−7 | 2.33·10−7 | |
| Air inhalation | 6.22·10−6 | 3.75·10−6 | 1.36·10−5 | 2.74·10−6 | |
| TOTAL | 6.63·10−6 | 4.17·10−6 | 1.41·10−5 | 3.19·10−6 | |
| PCBs | Soil ingestion | 5.57·10−4 | 9.99·10−4 | 2.05·10−3 | 5.23·10−4 |
| Dermal absorption | 2.77·10−3 | 4.97·10−3 | 1.02·10−2 | 2.60·10−3 | |
| Air inhalation | 1.52·10−2 | 1.45·10−2 | 2.44·10−2 | 1.29·10−2 | |
| TOTAL | 1.85·10−2 | 2.05·10−2 | 3.67·10−2 | 1.60·10−2 |
Publisher’s Note: MDPI stays neutral with regard to jurisdictional claims in published maps and institutional affiliations. |
© 2020 by the authors. Licensee MDPI, Basel, Switzerland. This article is an open access article distributed under the terms and conditions of the Creative Commons Attribution (CC BY) license (http://creativecommons.org/licenses/by/4.0/).
Share and Cite
Nadal, M.; Marquès, M.; Mari, M.; Rovira, J.; Domingo, J.L. Trends of Polychlorinated Compounds in the Surroundings of a Municipal Solid Waste Incinerator in Mataró (Catalonia, Spain): Assessing Health Risks. Toxics 2020, 8, 111. https://doi.org/10.3390/toxics8040111
Nadal M, Marquès M, Mari M, Rovira J, Domingo JL. Trends of Polychlorinated Compounds in the Surroundings of a Municipal Solid Waste Incinerator in Mataró (Catalonia, Spain): Assessing Health Risks. Toxics. 2020; 8(4):111. https://doi.org/10.3390/toxics8040111
Chicago/Turabian StyleNadal, Martí, Montse Marquès, Montse Mari, Joaquim Rovira, and José L. Domingo. 2020. "Trends of Polychlorinated Compounds in the Surroundings of a Municipal Solid Waste Incinerator in Mataró (Catalonia, Spain): Assessing Health Risks" Toxics 8, no. 4: 111. https://doi.org/10.3390/toxics8040111
APA StyleNadal, M., Marquès, M., Mari, M., Rovira, J., & Domingo, J. L. (2020). Trends of Polychlorinated Compounds in the Surroundings of a Municipal Solid Waste Incinerator in Mataró (Catalonia, Spain): Assessing Health Risks. Toxics, 8(4), 111. https://doi.org/10.3390/toxics8040111

