Association Between PFAS Contamination and Zooplankton Community Structure in the Weihe River, China
Abstract
1. Introduction
2. Materials and Methods
2.1. Study Area and Sample Collection
2.2. PFAS Extraction and Analysis
2.3. DNA Extraction, PCR Sequencing, and Biological Analysis
2.4. Data Analysis
3. Results
3.1. Concentrations and Profiles of PFAS
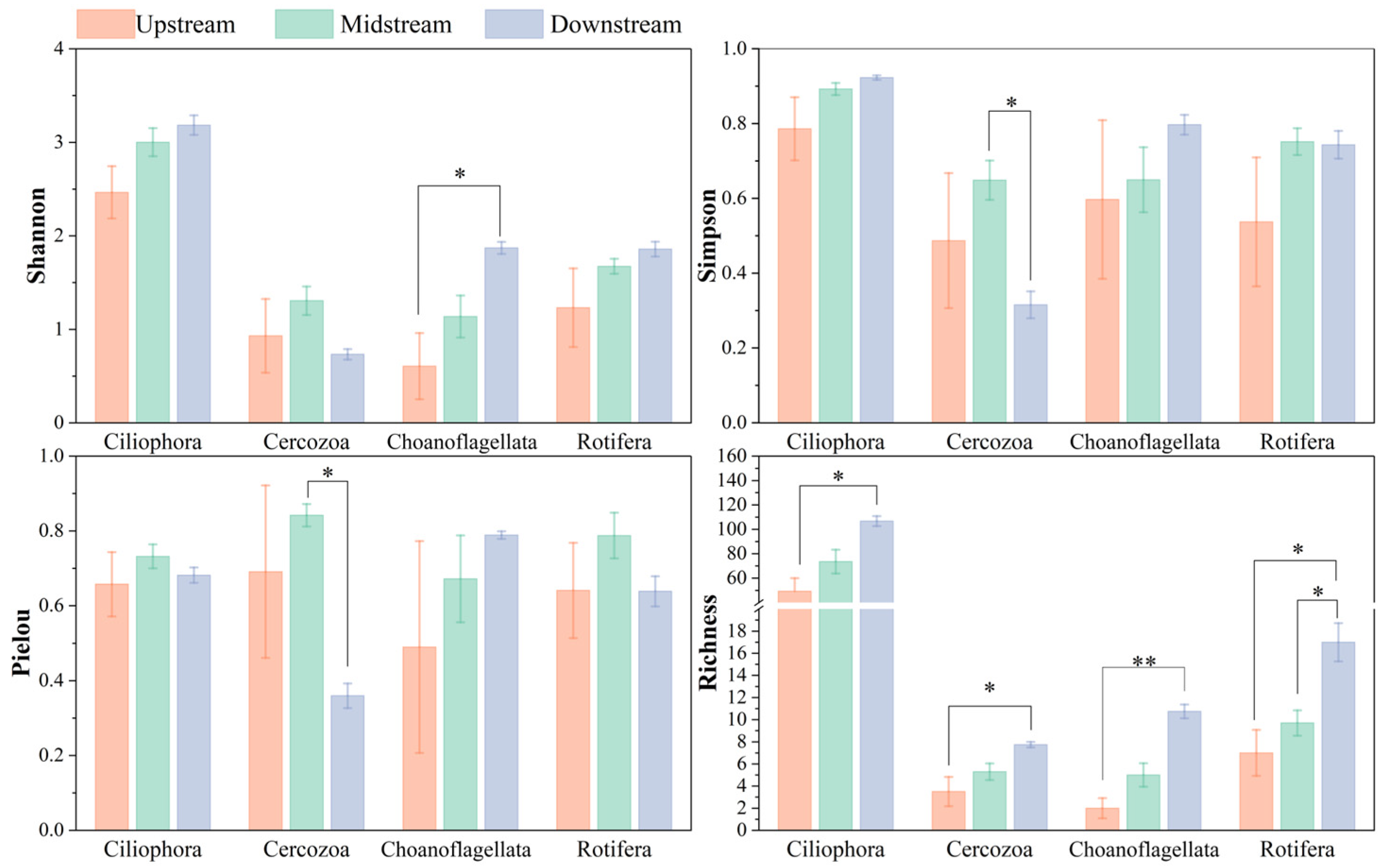
3.2. Zooplankton Community Structure, Composition, and Diversity
3.3. Spatial Variation in PFAS and Zooplankton Community
3.4. Correlation Between PFAS, Water Parameters, and Zooplankton Community
3.5. PLS-PM Model Results
4. Discussion
4.1. PFAS Levels, Composition, and Spatial Distribution
4.2. Response of Zooplankton Communities to PFAS Pollution
4.3. Limitations, Unresolved Complexities, and Implications for Risk Assessment
5. Conclusions
Supplementary Materials
Author Contributions
Funding
Institutional Review Board Statement
Informed Consent Statement
Data Availability Statement
Conflicts of Interest
References
- Cserbik, D.; Redondo-Hasselerharm, P.E.; Farré, M.J.; Sanchís, J.; Bartolomé, A.; Paraian, A.; Herrera, E.M.; Caixach, J.; Villanueva, C.M.; Flores, C. Human exposure to per- and polyfluoroalkyl substances and other emerging contaminants in drinking water. NPJ Clean Water 2023, 6, 16. [Google Scholar] [CrossRef]
- Sims, D.B.; Monk, J.R.; Woldetsadik, D.; Hudson, A.C.; Garner, M.C.; Lindley, K.; Piacentini, J.; Buch, A.C.; Cohu, C.; Duvall, C.S.; et al. Per- and polyfluoroalkyl substances (PFAS) in the rivers of the Western United States. Int. J. Environ. Sci. Technol. 2025, 22, 9319–9336. [Google Scholar] [CrossRef]
- Wang, J.; Shen, C.; Zhang, J.; Lou, G.; Shan, S.; Zhao, Y.; Man, Y.B.; Li, Y. Per- and polyfluoroalkyl substances (PFASs) in Chinese surface water: Temporal trends and geographical distribution. Sci. Total Environ. 2024, 915, 170127. [Google Scholar] [CrossRef] [PubMed]
- Podder, A.; Sadmani, A.H.M.A.; Reinhart, D.; Chang, N.-B.; Goel, R. Per and poly-fluoroalkyl substances (PFAS) as a contaminant of emerging concern in surface water: A transboundary review of their occurrences and toxicity effects. J. Hazard. Mater. 2021, 419, 126361. [Google Scholar] [CrossRef] [PubMed]
- Wang, J.; Soininen, J.; Heino, J. Ecological indicators for aquatic biodiversity, ecosystem functions, human activities and climate change. Ecol. Indic. 2021, 132, 108250. [Google Scholar] [CrossRef]
- Wang, L.; Yang, T.; Liu, X.; Liu, J.; Liu, W. Critical Evaluation and Meta-Analysis of Ecotoxicological Data on Per- and Polyfluoroalkyl Substances (PFAS) in Freshwater Species. Environ. Sci. Technol. 2024, 58, 17555–17566. [Google Scholar] [CrossRef]
- Wee, S.Y.; Aris, A.Z. Environmental impacts, exposure pathways, and health effects of PFOA and PFOS. Ecotoxicol. Environ. Saf. 2023, 267, 115663. [Google Scholar] [CrossRef]
- Sun, W.; Zhang, X.; Qiao, Y.; Griffin, N.; Zhang, H.; Wang, L.; Liu, H. Exposure to PFOA and its novel analogs disrupts lipid metabolism in zebrafish. Ecotoxicol. Environ. Saf. 2023, 259, 115020. [Google Scholar] [CrossRef]
- Krupa, P.M.; Lotufo, G.R.; Mylroie, E.J.; May, L.K.; Gust, K.A.; Kimble, A.N.; Jung, M.G.; Boyda, J.A.; Garcia-Reyero, N.; Moore, D.W. Chronic aquatic toxicity of perfluorooctane sulfonic acid (PFOS) to Ceriodaphnia dubia, Chironomus dilutus, Danio rerio, and Hyalella azteca. Ecotoxicol. Environ. Saf. 2022, 241, 113838. [Google Scholar] [CrossRef]
- Li, X.; Wang, Q.; Li, Q.; Wang, Y.; Tian, Y.; He, A.; Chen, Y. Si, Biological effects of perfluoroalkyl substances on running water ecosystems: A case study in Beiluo River, China. J. Hazard. Mater. 2024, 468, 133808. [Google Scholar] [CrossRef]
- Mélanie, D.; Magali, H.; Louis, A. Assessing the effects of urban effluent pollution on freshwater biodiversity and community networks using eDNA metabarcoding. Sci. Total Environ. 2025, 984, 179690. [Google Scholar] [CrossRef]
- Li, Y.; Ge, R.; Chen, H.; Zhuang, Y.; Liu, G.; Zheng, Z. Functional diversity and groups of crustacean zooplankton in the southern yellow sea. Ecol. Indic. 2022, 136, 108699. [Google Scholar] [CrossRef]
- Declerck, S.A.J.; De Senerpont Domis, L.N. Contribution of freshwater metazooplankton to aquatic ecosystem services: An overview. Hydrobiologia 2023, 850, 2795–2810. [Google Scholar] [CrossRef]
- Pietropoli, E.; Bardhi, A.; Simonato, V.; Zanella, M.; Iori, S.; Barbarossa, A.; Giantin, M.; Dacasto, M.; De Liguoro, M.; Pauletto, M. Comparative toxicity assessment of alternative versus legacy PFAS: Implications for two primary trophic levels in freshwater ecosystems. J. Hazard. Mater. 2024, 477, 135269. [Google Scholar] [CrossRef] [PubMed]
- Razak, M.R.; Aris, A.Z.; Zainuddin, A.H.; Yusoff, F.M.; Yusof, Z.N.B.; Kim, S.D.; Kim, K.W. Acute toxicity and risk assessment of perfluorooctanoic acid (PFOA) and perfluorooctanesulfonate (PFOS) in tropical cladocerans Moina micrura. Chemosphere 2023, 313, 137377. [Google Scholar] [CrossRef]
- Sun, Y.; Jiang, J.; Duan, L. Response mechanism and ecological effects of plankton on the water environment of the Weihe River. Water Resour. Hydropower Eng. 2024, 55, 121–136. [Google Scholar] [CrossRef]
- Zhou, J.; Li, Z.; Guo, X.; Li, Y.; Wu, Z.; Zhu, L. Evidences for replacing legacy per- and polyfluoroalkyl substances with emerging ones in Fen and Wei River basins in central and western China. J. Hazard. Mater. 2019, 377, 78–87. [Google Scholar] [CrossRef]
- Yang, J.; Zhang, X. eDNA metabarcoding in zooplankton improves the ecological status assessment of aquatic ecosystems. Environ. Int. 2020, 134, 105230. [Google Scholar] [CrossRef]
- Lin, W.; Zhao, J.; Wu, X.; Jiang, J.; Zhou, C.; Zheng, J.; Zhang, C.; Guo, Y.; Wang, L.; Ng, H.Y.; et al. The effects of perfluoroalkyl substance pollution on microbial community and key metabolic pathways in the Pearl River Estuary. Ecotoxicol. Environ. Saf. 2025, 298, 118293. [Google Scholar] [CrossRef]
- Wu, Y.; Yang, B.; Zeng, Q.; Pu, Y.; Yang, Q.; Hao, Y.; Sun, Y.; Ma, Y.; Yang, X.; Wang, X.; et al. Effects of perfluorobutanesulfonic acid (PFBS) on the sediment microbial communities, and the interaction mechanism with urease and extracellular polymeric substances (EPS). J. Hazard. Mater. 2025, 496, 139396. [Google Scholar] [CrossRef]
- Edgar, R.C. UNOISE2: Improved Error-Correction for Illumina 16S and ITS Amplicon Sequencing. bioRxiv 2016. preprint. Available online: https://api.semanticscholar.org/CorpusID:784388 (accessed on 23 December 2025).
- R Core Team. R: A Language and Environment for Statistical Computing; R Foundation for Statistical Computing: Vienna, Austria, 2024; Available online: https://www.R-project.org (accessed on 9 January 2026).
- Gao, Y.; Zhang, G.; Jiang, S.; Liu, Y.-X. Wekemo Bioincloud: A user-friendly platform for meta-omics data analyses. iMeta 2024, 3, e175. [Google Scholar] [CrossRef]
- Braak, C.J.F.T.; Smilauer, P. Canoco Reference Manual and User’s Guide: Software for Ordination, Version 5.0; Microcomputer Power: Ithaca, NY, USA, 2012. [Google Scholar]
- Qiao, H.; Bai, P.; Gao, L. Pollution characteristics of per/polyfluoroalkyl substances in waters of Beiluo River and Qingjian River, Yellow River Basins. Environ. Chem. 2025, 44, 1666–1676. [Google Scholar] [CrossRef]
- Li, Q.; Cheng, X.; Zhao, Z.; Guo, M.; Yuan, M.; Hua, X.; Fang, X.; Sun, H. Distribution and Fluxes of Perfluoroalkyl and Polyfluoroalkyl Substances in the Middle Reaches of the Yellow River (Weinan-Zhengzhou Section). Environ. Sci. 2019, 40, 228–238. [Google Scholar] [CrossRef]
- Wen, W.; Gao, L.; Cheng, H.; Xiao, L.; Zhang, S.; Li, S.; Jiang, X.; Xia, X. Legacy and alternative perfluoroalkyl acids in the Yellow River on the Qinghai-Tibet Plateau: Levels, spatiotemporal characteristics, and multimedia transport processes. Water Res. 2024, 262, 122095. [Google Scholar] [CrossRef] [PubMed]
- Tao, Y.; Pang, Y.; Luo, M.; Jiang, X.; Huang, J.; Li, Z. Multi-media distribution and risk assessment of per- and polyfluoroalkyl substances in the Huai River Basin, China. Sci. Total Environ. 2024, 914, 169581. [Google Scholar] [CrossRef] [PubMed]
- Li, W.; Li, H.; Zhang, D.; Tong, Y.; Li, F.; Cheng, F.; Huang, Z.; You, J. Legacy and Emerging Per- and Polyfluoroalkyl Substances Behave Distinctly in Spatial Distribution and Multimedia Partitioning: A Case Study in the Pearl River, China. Environ. Sci. Technol. 2022, 56, 3492–3502. [Google Scholar] [CrossRef]
- Zhu, H.; Xia, Y.; Zhang, Y.; Kang, Y.; Ding, Y.; Chen, R.; Feng, H. Distribution characteristics and transformation mechanism of per- and polyfluoroalkyl substances in drinking water sources: A review. Sci. Total Environ. 2024, 916, 169566. [Google Scholar] [CrossRef]
- Li, J.; Duan, W.; An, Z.; Jiang, Z.; Li, L.; Guo, M.; Tan, Z.; Zeng, X.; Liu, X.; Liu, Y.; et al. Legacy and alternative per- and polyfluoroalkyl substances spatiotemporal distribution in China: Human exposure, environmental media, and risk assessment. J. Hazard. Mater. 2024, 480, 135795. [Google Scholar] [CrossRef]
- Yao, Y.; Zhu, H.; Li, B.; Hu, H.; Zhang, T.; Yamazaki, E.; Taniyasu, S.; Yamashita, N.; Sun, H. Distribution and primary source analysis of per- and poly-fluoroalkyl substances with different chain lengths in surface and groundwater in two cities, north China. Ecotoxicol. Environ. Saf. 2014, 108, 318–328. [Google Scholar] [CrossRef]
- Feng, Y.; Wang, Y.; Fan, Y.; Zhang, Q.; Gao, Y. GIS-based study on spatial distribution of industrial water pollution discharge in Shaanxi Province. Water Resour. Hydropower Eng. 2023, 54, 128–137. [Google Scholar] [CrossRef]
- Liu, Y.; Lei, H.; Lu, Y.; Wang, P.; Wu, T. Multiple impacts of human activities on environmental fate of per- and polyfluoroalkyl substances (PFAS) in the xiaoqing river of China. Environ. Pollut. 2025, 382, 126738. [Google Scholar] [CrossRef]
- Yang, Y.; Wei, L.; Wang, R.; Zhao, G.; Yang, S.; Cheng, H.; Wu, H.; Huang, Q. High-resolution source apportionment and spatiotemporal drivers of per- and polyfluoroalkyl substances (PFAS) across China’s largest river-estuary continuum: Toward sustainable management of emerging contaminants. Water Res. 2025, 284, 124015. [Google Scholar] [CrossRef] [PubMed]
- Dong, Z.; Ji, G.; Wang, F.; Wang, F. Per- and polyfluoroalkyl substances (PFAS): Current prevalence, regulatory frameworks, and safe drinking water guidelines in the United States. J. Environ. Chem. Eng. 2025, 13, 118145. [Google Scholar] [CrossRef]
- Wu, S.; Fu, W.; Guo, W.; Dong, H.; Zhang, L. Occurrence, source apportionment, and ecological risk of perfluorinated substances (PFASs) in Yangtze River, China. J. Environ. Sci. 2025, 158, 920–929. [Google Scholar] [CrossRef] [PubMed]
- Lendewig, M.; Marquez, R.; Franco, J.; Vera, R.E.; Vivas, K.A.; Forfora, N.; Venditti, R.A.; Gonzalez, R. Moving toward fiber-based products free of PFAS: Industry response to regulations for paper packaging, hygiene and textile products. Resour. Conserv. Recycl. 2025, 222, 108428. [Google Scholar] [CrossRef]
- Wang, T.; Wang, Y.; Liao, C.; Cai, Y.; Jiang, G. Perspectives on the Inclusion of Perfluorooctane Sulfonate into the Stockholm Convention on Persistent Organic Pollutants. Environ. Sci. Technol. 2009, 43, 5171–5175. [Google Scholar] [CrossRef]
- Zarębska, M.; Bajkacz, S.; Hordyjewicz-Baran, Z. Assessment of legacy and emerging PFAS in the Oder River: Occurrence, distribution, and sources. Environ. Res. 2024, 251, 118608. [Google Scholar] [CrossRef]
- Heath, C.N.; Castaneda, A.; Ornstein, E.; de Navarro, M.G.; McNamee, B.; Najera, S.; Calzadilla, D.; Quinete, N. Per- and polyfluoroalkyl substances (PFAS) composition and distribution in surface water of the Miccosukee Indian Reservation, Everglades and tributaries in the coastal environment of Miami, Florida. Environ. Res. 2025, 278, 121627. [Google Scholar] [CrossRef]
- Seo, S.H.; Son, M.H.; Shin, E.S.; Choi, S.D.; Chang, Y.S. Matrix-specific distribution and compositional profiles of perfluoroalkyl substances (PFASs) in multimedia environments. J. Hazard. Mater. 2019, 364, 19–27. [Google Scholar] [CrossRef]
- Zeng, J.; Liu, K.; Liu, X.; Tang, Z.; Wang, X.; Fu, R.; Lin, X.; Liu, N.; Qiu, J. Driving factor, source identification, and health risk of PFAS contamination in groundwater based on the self-organizing map. Water Res. 2024, 267, 122458. [Google Scholar] [CrossRef]
- Huang, X.; Wang, H.; Song, X.; Han, Z.; Shu, Y.; Wu, J.; Luo, X.; Zheng, X.; Fan, Z. Ecological risks of PFAS in China’s surface water: A machine learning approach. Environ. Int. 2025, 196, 109290. [Google Scholar] [CrossRef]
- Chen, Y.; Pan, B.; Wu, L.; Hu, E.; Zhao, G.; Zhang, S. Zooplankton community structure and influencing factors in Weihe River mainstem and its tributaries from the northern foot of Qinling Mountains. J. Lake Sci. 2022, 34, 1630–1641. [Google Scholar] [CrossRef]
- Yin, X.; Ma, M.; Pu, T.; Liu, H.; Liu, G.; Bai, H.; Yuan, Y. Analysis of the Community Structure of Aquatic Organisms in the Wei River in Spring and Its Driving Factors. Chin. J. Fish. 2023, 36, 65–76. [Google Scholar] [CrossRef]
- Tian, Y.; Hao, Y.; Qu, C.; Yang, F.; Iwata, H.; Guo, J. Biodiversity of multi-trophic biological communities within riverine sediments impacted by PAHs contamination and land use changes. Environ. Pollut. 2024, 361, 124884. [Google Scholar] [CrossRef] [PubMed]
- Zhang, P.; Xiong, J.; Qiao, N.; An, R.; Da, Z.; Miao, W.; Ba, S. Spatiotemporal distribution of protists in the Yarlung Zangbo River, Tibetan Plateau. Water Biol. Secur. 2022, 1, 100064. [Google Scholar] [CrossRef]
- Wang, X.; Dai, Z.; Zhao, H.; Hu, L.; Dahlgren, R.A.; Xu, J. Heavy metal effects on multitrophic level microbial communities and insights for ecological restoration of an abandoned electroplating factory site. Environ. Pollut. 2023, 327, 121548. [Google Scholar] [CrossRef]
- Du, J.; Jia, T.; Liu, J.; Chai, B. Relationships among protozoa, bacteria and fungi in polycyclic aromatic hydrocarbon-contaminated soils. Ecotoxicol. Environ. Saf. 2024, 270, 115904. [Google Scholar] [CrossRef]
- Garcia, M.D.; de Cao, M.S.B. Anthropogenic pollution along the coast of a temperate estuary: Effects on tintinnid assemblages. Hydrobiologia 2018, 809, 201–219. [Google Scholar] [CrossRef]
- Jiang, Y.; Xu, H.; Hu, X.; Zhu, M.; Al-Rasheid, K.A.S.; Warren, A. An approach to analyzing spatial patterns of planktonic ciliate communities for monitoring water quality in Jiaozhou Bay, northern China. Mar. Pollut. Bull. 2011, 62, 227–235. [Google Scholar] [CrossRef]
- Colomer-Vidal, P. Plant uptake of perfluoroalkyl substances in freshwater environments (Dongzhulong and Xiaoqing rivers, China). J. Hazard. Mater. 2022, 421, 126768. [Google Scholar] [CrossRef]
- Pi, N.; Ng, J.Z.; Kelly, B.C. Uptake and elimination kinetics of perfluoroalkyl substances in submerged and free-floating aquatic macrophytes: Results of mesocosm experiments with Echinodorus horemanii and Eichhornia crassipes. Water Res. 2017, 117, 167–174. [Google Scholar] [CrossRef] [PubMed]
- Samsami, K.; Arias, L.S.; Redd, H.; Stoll, R.; Pepper, R.E.; Fu, H.C. Incorporating recirculation effects into metrics of feeding performance for current-feeding zooplankton. J. R. Soc. Interface 2024, 21, 20230706. [Google Scholar] [CrossRef] [PubMed]
- Serandour, B.; Jan, K.M.G.; Novotny, A.; Winder, M. Opportunistic vs selective feeding strategies of zooplankton under changing environmental conditions. J. Plankton Res. 2023, 45, 389–403. [Google Scholar] [CrossRef] [PubMed]
- Chen, K.; Cao, J.; Gu, J.; Cai, T.; Liang, Y.; Zhou, H.; Peng, J.; Na, P.; Huang, W.; Dang, Z.; et al. The community dynamic alterations mechanisms of traveling plastics in the Pearl River estuary with the salinity influence. Water Res. 2025, 274, 123057. [Google Scholar] [CrossRef]
- Li, Y.; Zhao, X.; Li, X.; Zhang, Y.; Niu, Z. The investigation of the enrichment behavior of identified PFAS and unknown PFAA-precursors in water and suspended particulate matter of the surface microlayer: A case study in Tianjin (China). Water Res. 2024, 260, 121944. [Google Scholar] [CrossRef]
- Tang, B.; Peng, C.; Zhou, D.J.; Wu, K.Y.; Tian, F.; Chen, H.G.; Zhang, S.Y.; Li, B.W.; Hu, G.C.; Ren, M.Z.; et al. Distribution, partitioning behaviors, and source identification of legacy and emerging per- and polyfluorinated alkyl substances in the Pearl River Estuary, South China. Water Res. 2025, 285, 124143. [Google Scholar] [CrossRef]
- Tsou, K.; Antell, E.; Duan, Y.; Olivares, C.I.; Yi, S.; Alvarez-Cohen, L.; Sedlak, D.L. Improved Total Oxidizable Precursor Assay for Quantifying Polyfluorinated Compounds Amenable to Oxidative Conversion to Perfluoroalkyl Carboxylic Acids. ACS ES&T Water 2023, 3, 2996–3003. [Google Scholar] [CrossRef]
- Lange, F.T.; Freeling, F.; Göckener, B. Persulfate-based total oxidizable precursor (TOP) assay approaches for advanced PFAS assessment in the environment—A review. Trends Environ. Anal. Chem. 2024, 44, e00242. [Google Scholar] [CrossRef]









Disclaimer/Publisher’s Note: The statements, opinions and data contained in all publications are solely those of the individual author(s) and contributor(s) and not of MDPI and/or the editor(s). MDPI and/or the editor(s) disclaim responsibility for any injury to people or property resulting from any ideas, methods, instructions or products referred to in the content. |
© 2026 by the authors. Licensee MDPI, Basel, Switzerland. This article is an open access article distributed under the terms and conditions of the Creative Commons Attribution (CC BY) license.
Share and Cite
Tan, J.; Sha, H.; Song, J.; Han, C.; Tian, P.; Zhang, L.; Li, X.; Li, Q. Association Between PFAS Contamination and Zooplankton Community Structure in the Weihe River, China. Toxics 2026, 14, 91. https://doi.org/10.3390/toxics14010091
Tan J, Sha H, Song J, Han C, Tian P, Zhang L, Li X, Li Q. Association Between PFAS Contamination and Zooplankton Community Structure in the Weihe River, China. Toxics. 2026; 14(1):91. https://doi.org/10.3390/toxics14010091
Chicago/Turabian StyleTan, Jingnan, Haichao Sha, Jinxi Song, Chao Han, Pingping Tian, Le Zhang, Xi Li, and Qi Li. 2026. "Association Between PFAS Contamination and Zooplankton Community Structure in the Weihe River, China" Toxics 14, no. 1: 91. https://doi.org/10.3390/toxics14010091
APA StyleTan, J., Sha, H., Song, J., Han, C., Tian, P., Zhang, L., Li, X., & Li, Q. (2026). Association Between PFAS Contamination and Zooplankton Community Structure in the Weihe River, China. Toxics, 14(1), 91. https://doi.org/10.3390/toxics14010091

