Integrated Targeted and Suspect Screening Workflow for Identifying PFAS of Concern in Urban-Impacted Serbian Rivers
Abstract
1. Introduction
2. Materials and Methods
2.1. Chemicals and Solvents
2.2. Sampling
2.3. Sample Preparation
2.4. Instrumental Analysis
2.5. Data Processing
2.6. Risk Modeling and Prioritization
2.7. Use of AI Tools
3. Results and Discussion
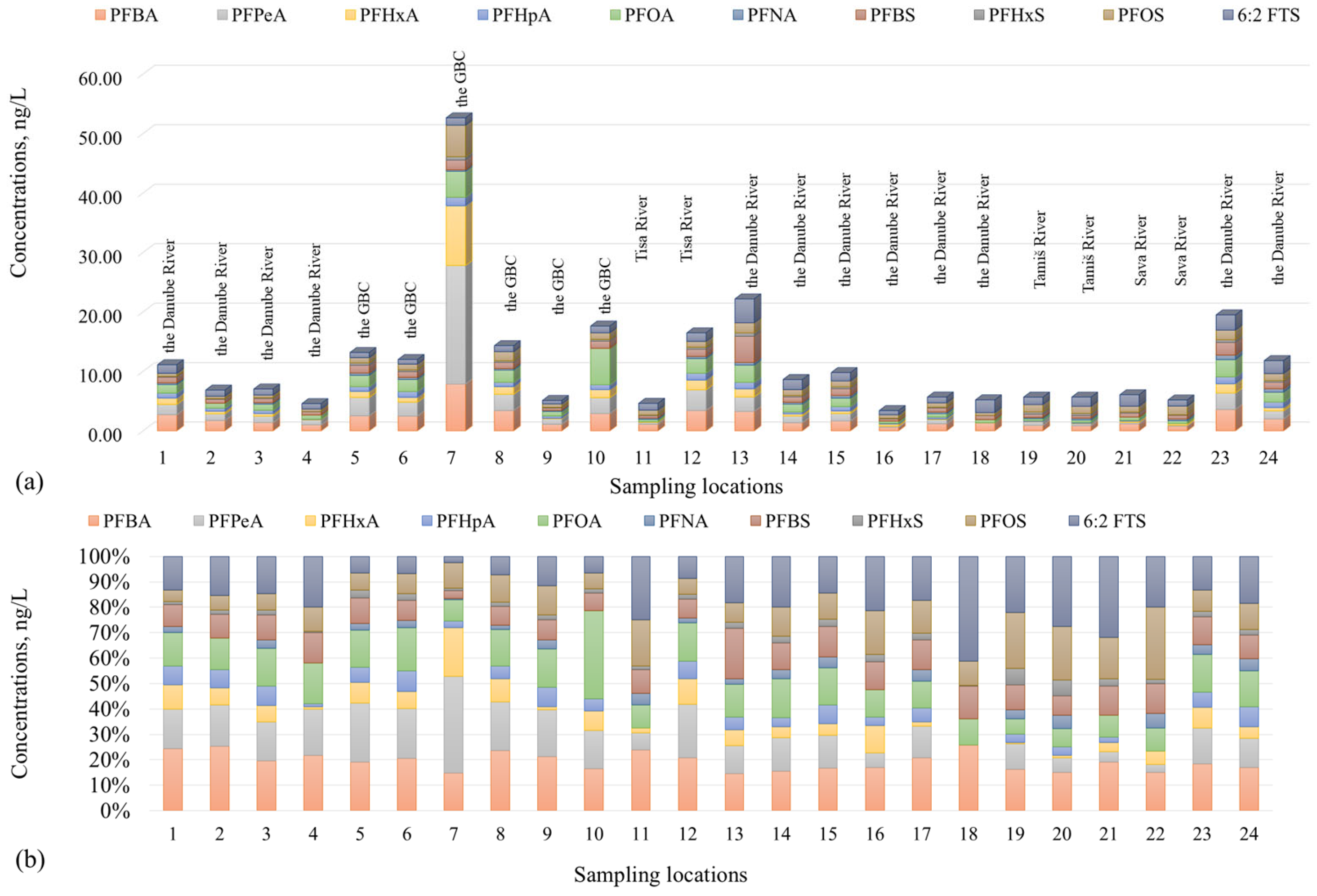
3.1. Targeted Analysis
3.2. Comparative Analysis of Maximum PFAS Concentrations Across European Studies
3.3. Untargeted PFAS Workflow in Compound Discoverer 3.5
3.4. Risk Modelling and Prioritization of PFAS Compounds
4. Conclusions
Supplementary Materials
Author Contributions
Funding
Institutional Review Board Statement
Informed Consent Statement
Data Availability Statement
Acknowledgments
Conflicts of Interest
References
- Pemberton, E. Environment Agency (2021) Poly- and Perfluoroalkyl Substances (PFAS): Sources, Pathways and Environmental Data; Environment Agency: Bristol, UK, 2023.
- Cochran, R.; Choyke, S.; Meyers, C.; Tautenhahn, R. Comprehensive Non-Targeted Workflow for Confident Identification of Perfluoroalkyl Substances (PFAS); Application Note 003883; Thermo Fisher Scientific: Waltham, MA, USA, 2025. [Google Scholar]
- Megson, D.; Bruce-Vanderpuije, P.; Idowu, I.G.; Ekpe, O.D.; Sandau, C.D. A Systematic Review for Non-Targeted Analysis of Per- and Polyfluoroalkyl Substances (PFAS). Sci. Total Environ. 2025, 960, 178240. [Google Scholar] [CrossRef] [PubMed]
- UNEP (United Nations Environment Programme). Stockholm Convention on Persistent Organic Pollutants (POPs)—Status of PFAS Listings. 2023. Available online: https://www.pops.int (accessed on 1 November 2025).
- Gebbink, W.A.; van Asseldonk, L.; van Leeuwen, S.P.J. Presence of Emerging Per- and Polyfluoroalkyl Substances (PFASs) in River and Drinking Water near a Fluorochemical Production Plant in the Netherlands. Environ. Sci. Technol. 2017, 51, 11057–11065. [Google Scholar] [CrossRef] [PubMed]
- Valsecchi, S.; Rusconi, M.; Mazzoni, M.; Viviano, G.; Pagnotta, R.; Zaghi, C.; Serrini, G.; Polesello, S. Occurrence and sources of perfluoroalkyl acids in Italian river basins. Chemosphere 2015, 129, 126–134. [Google Scholar] [CrossRef] [PubMed]
- Barbosa, M.O.; Ratola, N.; Homem, V.; Pereira, M.F.R.; Silva, A.M.T.; Ribeiro, A.R.L.; Llorca, M.; Farré, M. Per- and Poly-Fluoroalkyl Substances in Portuguese Rivers: Spatial-Temporal Monitoring. Molecules 2023, 28, 1209. [Google Scholar] [CrossRef]
- Beggs, C.; Mackie, R.; Vrana, B.; Prokeš, R.; Ghorbani Gorji, S.; Schulze, B.; Thomas, K.V.; Mueller, J.F.; Kaserzon, S.L. Estimation of Per- and Polyfluoroalkyl Substances Mass Loads in the Danube River Using Passive Sampling. Sci. Total Environ. 2023, 892, 164458. [Google Scholar] [CrossRef]
- Randazzo, A.; Pavan, F.; Gea, M.; Maffiotti, A. Perfluoroalkyl Substances (PFASs) in Groundwater and Surface Water in the Turin Metropolitan Area (Italy): An Attempt to Unravel Potential Point Sources and Compliance with Environmental/Drinking Water Quality Standards. Sci. Total Environ. 2025, 958, 177973. [Google Scholar] [CrossRef]
- Beškoski, V.P.; Takemine, S.; Nakano, T.; Beškoski, L.S.; Gojgić-Cvijović, G.; Ilić, M.; Miletić, S.; Vrvić, M.M. Perfluorinated Compounds in Sediment Samples from the Wastewater Canal of Pančevo (Serbia) Industrial Area. Chemosphere 2013, 91, 1408–1415. [Google Scholar] [CrossRef]
- Buljovčić, M.; Antić, I.; Kadokami, K.; Skrbić, B. Temporal Trend of Perfluorinated Compounds in Untreated Wastewater and Surface Water in the Middle Part of the Danube River Belonging to the Northern Part of Serbia. J. Serb. Chem. Soc. 2022, 87, 1425–1437. [Google Scholar] [CrossRef]
- Ng, K.; Alygizakis, N.; Androulakakis, A.; Galani, A.; Aalizadeh, R.; Thomaidis, N.S.; Slobodnik, J. Target and Suspect Screening of 4777 Per- and Polyfluoroalkyl Substances (PFAS) in River Water, Wastewater, Groundwater and Biota Samples in the Danube River Basin. J. Hazard. Mater. 2022, 436, 129276. [Google Scholar] [CrossRef]
- International Commission for the Protection of the Danube River (ICPDR). JDS4, Joint Danube Survey. In Joint Danube Survey 4—A Comprehensive Analysis of Danube Water Quality; ICPDR: Vienna, Austria, 2019; Available online: https://www.icpdr.org/resources/jds4-scientific-report-high-resolution (accessed on 1 November 2025).
- Alygizakis, N.; Lestremau, F.; Gago-Ferrero, P.; Gil-Solsona, R.; Arturi, K.; Hollender, J.; Schymanski, E.L.; Dulio, V.; Slobodnik, J.; Thomaidis, N.S. Towards a Harmonized Identification Scoring System in LC-HRMS/MS Based Non-Target Screening (NTS) of Emerging Contaminants. TrAC Trends Anal. Chem. 2023, 159, 116944. [Google Scholar] [CrossRef]
- Yukioka, S.; Tanaka, S.; Suzuki, Y.; Echigo, S.; Fujii, S. Data-independent acquisition with ion mobility mass spectrometry for suspect screening of per- and polyfluoroalkyl substances in environmental water samples. J. Chromatogr. A 2021, 1638, 461899. [Google Scholar] [CrossRef] [PubMed]
- Schymanski, E.L.; Jeon, J.; Gulde, R.; Fenner, K.; Ruff, M.; Singer, H.P.; Hollender, J. Identifying Small Molecules via High-Resolution Mass Spectrometry: Communicating Confidence. Environ. Sci. Technol. 2014, 48, 2097–2098. [Google Scholar] [CrossRef] [PubMed]
- Charbonnet, J.A.; McDonough, C.A.; Xiao, F.; Schwichtenberg, T.; Cao, D.; Kaserzon, S.; Alygizakis, N.A.; Thomaidis, N.S.; Sobus, J.R.; Ulrich, E.M. Communicating confidence of per- and polyfluoroalkyl substance identification via high-resolution mass spectrometry. Environ. Sci. Technol. Lett. 2022, 9, 473–481. [Google Scholar] [CrossRef] [PubMed]
- Lennon, S.; Chaker, J.; Price, E.J.; Hollender, J.; Huber, C.; Schulze, T.; Ahrens, L.; Béen, F.; Creusot, N.; Debrauwer, L.; et al. Harmonized quality assurance/quality control provisions to assess completeness and robustness of MS1 data preprocessing for LC-HRMS-based suspect screening and non-targeted analysis. TrAC Trends Anal. Chem. 2024, 174, 117674. [Google Scholar] [CrossRef]
- European Commission. Commission Recommendation (EU) 2022/1431 on the Monitoring of Perfluoroalkyl Substances in Food. Off. J. Eur. Union 2022, L 221, 105–109. [Google Scholar]
- WHO (World Health Organization). Guidelines for Drinking-Water Quality: Fourth Edition Incorporating the First and Second Addenda (Annex 3: Chemical Summary Tables); WHO: Geneva, Switzerland, 2022; Available online: https://www.who.int/publications/i/item/9789240045064 (accessed on 1 November 2025).
- Directive 2013/39/EU European Parliament and Council. Priority Substances in the Field of Water Policy. Off. J. Eur. Union 2013, L 226, 1–17.
- European Commission. Proposal for a Directive Amending the Water Framework and Groundwater Directives and on Environmental Quality Standards in the Field of Water Policy (Final Compromise Text); European Commission: Brussels, Belgium, 2025. [Google Scholar]
- Hu, J.; Lyu, Y.; Chen, H.; Cai, L.; Li, J.; Cao, X.; Sun, W. Integration of Target, Suspect, and Nontarget Screening with Risk Modeling for PFAS Prioritization in Surface Waters. Water Res. 2023, 233, 119735. [Google Scholar] [CrossRef]
- Zhang, H.; Wang, X.; Zheng, Y.; Hu, J.; Li, X.; Yin, H.; Xiao, R.; Zhu, X.; Chen, T.; Chen, H. Target Analysis of PFAS in Surface Water: Occurrence, Seasonal Trends, and Risk-Based Prioritization in the Minjiang River. Sci. Total Environ. 2025, 986, 179748. [Google Scholar] [CrossRef]
- U.S. EPA. Draft Method 1633: Analysis of Per- and Polyfluoroalkyl Substances (PFAS) in Aqueous, Solid, Biosolids, and Tissue Samples by LC-MS/MS (EPA 821-D-21-001); U.S. Environmental Protection Agency: Washington, DC, USA, 2021. Available online: https://www.epa.gov/system/files/documents/2021-09/method_1633_draft_aug-2021.pdf (accessed on 1 November 2025).
- Statistical Office of the Republic of Serbia. Municipalities and Regions of the Republic of Serbia 2024; Statistical Office of the Republic of Serbia: Belgrade, Serbia, 2024; ISSN 2466-3824.
- Getzinger, G.J.; Higgins, C.P.; Ferguson, P.L. Structure Database and In Silico Spectral Library for Comprehensive Suspect Screening of Per- and Polyfluoroalkyl Substances (PFASs) in Environmental Media by High-Resolution Mass Spectrometry. Anal. Chem. 2021, 93, 2820–2827. [Google Scholar] [CrossRef]
- Evans, R.L.; Bryant, D.J.; Voliotis, A.; Hu, D.; Wu, H.; Syafira, S.A.; Oghama, O.E.; McFiggans, G.; Hamilton, J.F.; Rickard, A.R. A semi-quantitative approach to nontarget compositional analysis of complex samples. Anal. Chem. 2024, 96, 18349–18358. [Google Scholar] [CrossRef]
- Malm, L.; Palm, E.; Souihi, A.; Plassmann, M.; Liigand, J.; Kruve, A. Guide to Semi-Quantitative Non-Targeted Screening Using LC/ESI/HRMS. Molecules 2021, 26, 3524. [Google Scholar] [CrossRef]
- Marvel, S.W.; To, K.; Grimm, F.A.; Wright, F.A.; Rusyn, I.; Reif, D.M. ToxPi Graphical User Interface 2.0: Dynamic exploration, visualization, and sharing of integrated data models. BMC Bioinform. 2018, 19, 80. [Google Scholar] [CrossRef] [PubMed]
- Liu, Y.; D’Agostino, L.A.; Qu, G.; Jiang, G.; Martin, J.W. High-resolution mass spectrometry (HRMS) methods for nontarget discovery and characterization of poly- and per-fluoroalkyl substances (PFASs) in environmental and human samples. TrAC Trends Anal. Chem. 2019, 121, 115420. [Google Scholar] [CrossRef]
- Llorca, M.; Farré, M.; Picó, Y.; Müller, J.; Knepper, T.P.; Barceló, D. Analysis of Perfluoroalkyl Substances in Waters from Germany and Spain. Sci. Total Environ. 2012, 431, 139–150. [Google Scholar] [CrossRef] [PubMed]
- Muñoz, G.; Giraudel, J.-L.; Botta, F.; Lestremau, F.; Dévier, M.-H.; Budzinski, H.; Labadie, P. Spatial Distribution and Partitioning Behavior of Selected Poly- and Perfluoroalkyl Substances in Freshwater Ecosystems: A French Nationwide Survey. Sci. Total Environ. 2015, 517, 48–56. [Google Scholar] [CrossRef] [PubMed]
- Loos, R.; Wollgast, J.; Huber, T.; Hanke, G. Polar Herbicides, Pharmaceutical Products, Perfluorooctanesulfonate (PFOS), Perfluorooctanoate (PFOA), and Nonylphenol and Its Carboxylates and Ethoxylates in Surface and Tap Waters around Lake Maggiore in Northern Italy. Anal. Bioanal. Chem. 2007, 387, 1469–1478. [Google Scholar] [CrossRef]
- Clara, M.; Gans, O.; Weiss, S.; Sanz-Escribano, D.; Scharf, S.; Scheffknecht, C. Perfluorinated alkylated substances in the aquatic environment: An Austrian case study. Water Res. 2009, 43, 4760–4768. [Google Scholar] [CrossRef]
- Junttila, V.; Vähä, E.; Perkola, N.; Räike, A.; Siimes, K.; Mehtonen, J.; Kankaanpää, H.; Mannio, J. PFASs in Finnish Rivers and Fish and the Loading of PFASs to the Baltic Sea. Water 2019, 11, 870. [Google Scholar] [CrossRef]
- Sammut, G.; De Vocht, F.; De Marco, A.; Critto, A.; Marcomini, A. Perfluoroalkyl substances in the Maltese environment—(I) surface water and rain water. Sci. Total Environ. 2017, 589, 182–190. [Google Scholar] [CrossRef]
- Pan, Y.; Zhang, H.; Cui, Q.; Sheng, N.; Yeung, L.W.Y.; Sun, Y.; Guo, Y.; Dai, J. Worldwide Distribution of Novel Perfluoroether Carboxylic and Sulfonic Acids in Surface Water. Environ. Sci. Technol. 2018, 52, 7621–7629. [Google Scholar] [CrossRef]
- Joerss, H.; Freeling, F.; van Leeuwen, S.; Hollender, J.; Liu, X.; Nödler, K.; Wang, Z.; Yu, B.; Zahn, D.; Sigmund, G. Pesticides can be a substantial source of trifluoroacetate (TFA) to water resources. Environ. Int. 2024, 193, 109061. [Google Scholar] [CrossRef] [PubMed]
- Scheurer, M.; Nödler, K.; Freeling, F.; Janda, J.; Happel, O.; Riegel, M.; Müller, U.; Storck, F.R.; Fleig, M.; Lange, F.T.; et al. Small, Mobile, Persistent: Trifluoroacetate in the Water Cycle—Overlooked Sources, Pathways, and Consequences for Drinking Water Supply. Water Res. 2017, 126, 460–471. [Google Scholar] [CrossRef] [PubMed]
- Affricano, A.; Asteggiano, A.; Di Bernardo, A.; Apirakkan, O.; Khachonwongwattana, A.; Sinaviwat, S.; Medana, C. Case study: Targeted HPLC-MS/MS analysis of TFA and other USC-PFAS in beverages and waters from Italy and Asia. Food Control 2026, 181, 111779. [Google Scholar] [CrossRef]
- Feng, S.; Lu, X.; Ouyang, K.; Su, G.; Li, Q.; Shi, B.; Meng, J. Environmental occurrence, bioaccumulation and human risks of emerging fluoroalkylether substances: Insight into security of alternatives. Sci. Total Environ. 2024, 922, 171151. [Google Scholar] [CrossRef]
- Joerss, H.; Schramm, T.-R.; Sun, L.; Guo, C.; Tang, J.; Ebinghaus, R. Per- and polyfluoroalkyl substances in Chinese and German river water—Point source- and country-specific fingerprints including unknown precursors. Environ. Pollut. 2020, 267, 115567. [Google Scholar] [CrossRef]
- Awchi, M.; Gebbink, W.A.; Berendsen, B.J.A.; Benskin, J.P.; van Leeuwen, S.P.J. Development, validation, and application of a new method for the quantitative determination of monohydrogen-substituted perfluoroalkyl carboxylic acids (H-PFCAs) in surface water. Chemosphere 2022, 287, 132143. [Google Scholar] [CrossRef]
- Ogawa, Y.; Tokunaga, E.; Kobayashi, O.; Hirai, K.; Shibata, N. Current contributions of organofluorine compounds to the agrochemical industry. iScience 2020, 23, 101467. [Google Scholar] [CrossRef]
- Alexandrino, D.A.M.; Almeida, C.M.R.; Mucha, A.P.; Carvalho, M.F. Revisiting pesticide pollution: The case of fluorinated pesticides. Environ. Pollut. 2022, 292, 118315. [Google Scholar] [CrossRef]
- Jagani, R.; Patel, H.; Chovatiya, J.; Andra, S.S. The rise and risks of fluorinated pesticides: A call for comprehensive research to address environmental and health concerns. J. Agric. Food Chem. 2025, 73, 2217–2220. [Google Scholar] [CrossRef]
- Pose-Juan, E.; Sánchez-Martín, M.J.; Andrades, M.S.; Rodríguez-Cruz, M.S.; Herrero-Hernández, E. Pesticide residues in vineyard soils from Spain: Spatial and temporal distributions. Sci. Total Environ. 2015, 514, 351–358. [Google Scholar] [CrossRef]
- European Chemicals Agency (ECHA). Universal Restriction Proposal on Per- and Polyfluoroalkyl Substances (PFAS) Under REACH. 2023. Available online: https://echa.europa.eu/registry-of-restriction-intentions/-/dislist/details/0b0236e18663449b (accessed on 1 November 2025).
- Gómez Cortés, L.; Porcel Rodríguez, E.; Marinov, D.; Sanseverino, I.; Lettieri, T. Selection of Substances for the 5th Watch List Under the Water Framework Directive; Publications Office of the European Union: Luxembourg, 2025. [Google Scholar]






| Annotation Name a | Annotation Formula | Cas No | Class | NIST Suspect Id b | CL c | Structural Formula | Min, ng/L | Max, ng/L | Average, ng/L |
|---|---|---|---|---|---|---|---|---|---|
| TFA | C2HF3O2 | 76-05-1 | PFCAs | 3488 | 3 | ![]() | 337 | 1165 | 513 |
| PFPrA | C3HF5O2 | 422-64-0 | PFCAs | 3489 | 3 | ![]() | 2.60 | 51.3 | 17.9 |
| TFMS | CHF3O3S | 1493-13-6 | PFSAs | 3490 | 3 | ![]() | 1.33 | 11.2 | 3.83 |
| ADONA | C7H2F12O4 | 958445-44-8 | perfluoroether carboxylic acid | 2657 | 2 | ![]() | 1.62 | 24.9 | 11.2 |
| 9H-PFNA | C9H2F16O2 | 76-21-1 | hydrogen-substituted perfluorocarboxylic acid | 3937 | 3 | ![]() | 0.26 | 7.27 | 1.11 |
| 7H-PFHpA | C7H2F12O2 | 1546-95-8 | hydrogen-substituted perfluorocarboxylic acid | 2642 | 3 | ![]() | 0.21 | 2.77 | 0.63 |
| Flupropanate | C3H2F4O2 | 756-09-2 | fluorinated pesticides | 3302 | 2 | ![]() | 0.20 | 22.1 | 5.95 |
| Fluxapyroxad | C18H1F5NO | 907204-31-3 | fluorinated pesticides | - | 2 | ![]() | n.q | n.q | n.q |
| Isoxaflutole | C15H12F3NO4S | 141112-29-0 | fluorinated pesticides | - | 2 | ![]() | n.q | n.q | n.q |
| Fluometuron | C10H11F3N2O | 2164-17-2 | fluorinated pesticides | - | 2 | ![]() | n.q | n.q | n.q |
Disclaimer/Publisher’s Note: The statements, opinions and data contained in all publications are solely those of the individual author(s) and contributor(s) and not of MDPI and/or the editor(s). MDPI and/or the editor(s) disclaim responsibility for any injury to people or property resulting from any ideas, methods, instructions or products referred to in the content. |
© 2026 by the authors. Licensee MDPI, Basel, Switzerland. This article is an open access article distributed under the terms and conditions of the Creative Commons Attribution (CC BY) license.
Share and Cite
Antić, I.; Buljovčić, M.; Cochran, R.E.; Živančev, J.; Llorca, M.; Farré, M.; Rakić, D.; Tautenhahn, R.; Đurišić-Mladenović, N. Integrated Targeted and Suspect Screening Workflow for Identifying PFAS of Concern in Urban-Impacted Serbian Rivers. Toxics 2026, 14, 78. https://doi.org/10.3390/toxics14010078
Antić I, Buljovčić M, Cochran RE, Živančev J, Llorca M, Farré M, Rakić D, Tautenhahn R, Đurišić-Mladenović N. Integrated Targeted and Suspect Screening Workflow for Identifying PFAS of Concern in Urban-Impacted Serbian Rivers. Toxics. 2026; 14(1):78. https://doi.org/10.3390/toxics14010078
Chicago/Turabian StyleAntić, Igor, Maja Buljovčić, Richard E. Cochran, Jelena Živančev, Marta Llorca, Marinella Farré, Dušan Rakić, Ralf Tautenhahn, and Nataša Đurišić-Mladenović. 2026. "Integrated Targeted and Suspect Screening Workflow for Identifying PFAS of Concern in Urban-Impacted Serbian Rivers" Toxics 14, no. 1: 78. https://doi.org/10.3390/toxics14010078
APA StyleAntić, I., Buljovčić, M., Cochran, R. E., Živančev, J., Llorca, M., Farré, M., Rakić, D., Tautenhahn, R., & Đurišić-Mladenović, N. (2026). Integrated Targeted and Suspect Screening Workflow for Identifying PFAS of Concern in Urban-Impacted Serbian Rivers. Toxics, 14(1), 78. https://doi.org/10.3390/toxics14010078











