Pollution Characteristics, Sources, and Health Risks of Organochlorine Pesticides and Polychlorinated Biphenyls in Oviductus Ranae from Northern China
Abstract
1. Introduction
2. Materials and Methods
2.1. Study Area and Sample Collection
2.2. Instruments and Reagents
2.3. Analytical Methods
2.4. Quality Assurance and Quality Control (QA/QC)
2.5. Pollution and Health Risk Assessment
- Pi < 0.2: Background level (unpolluted)
- 0.2 ≤ Pi < 0.6: Mild pollution
- 0.6 ≤ Pi < 1.0: Moderate pollution
- Pi ≥ 1.0: Severe pollution
2.6. Health Risk Assessment
2.7. Statistical Analysis
3. Results and Discussion
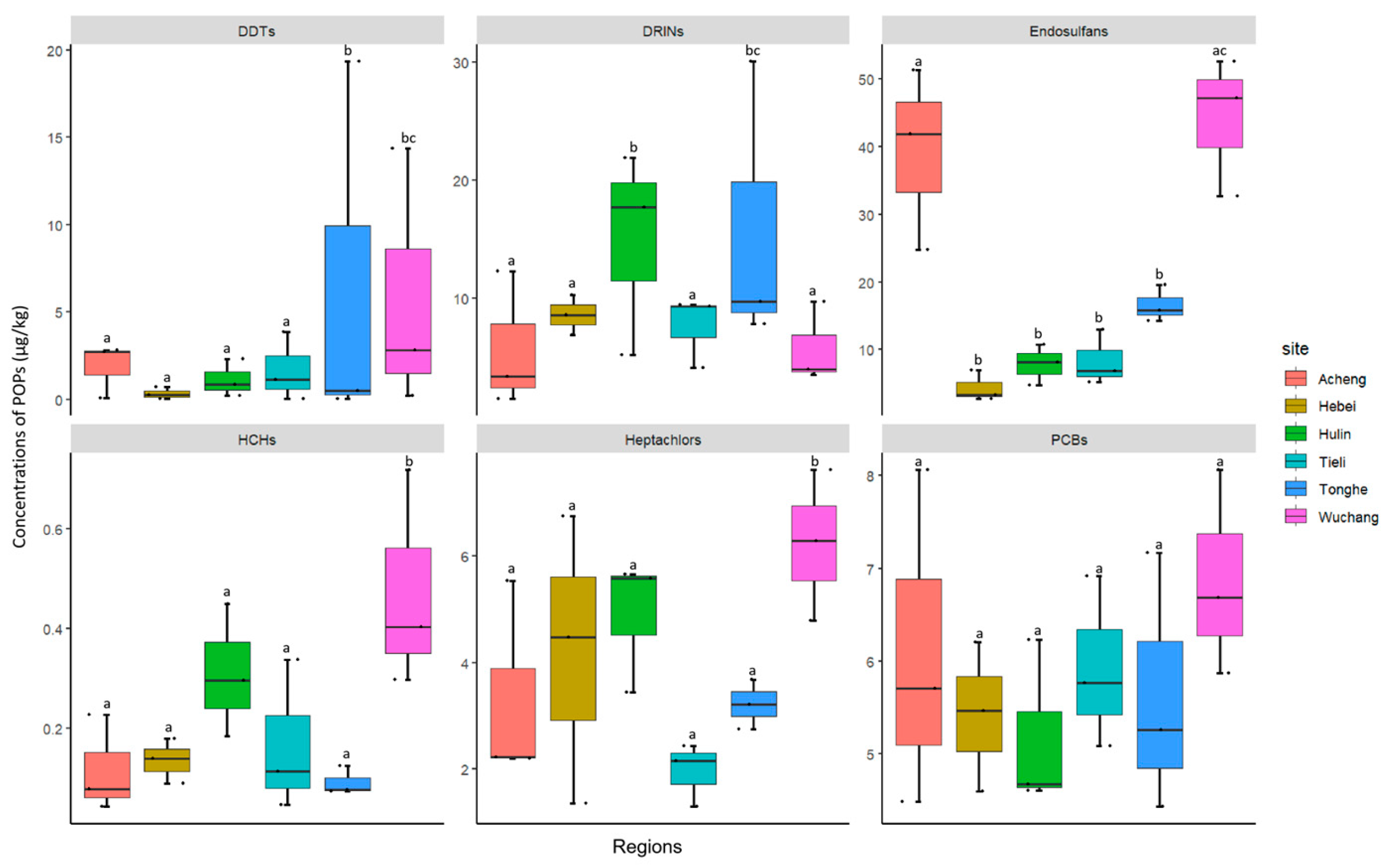
3.1. Pollution Levels and Distribution Characteristics
3.2. Correlation and Pollution Source Analysis of 17 OCPs and 9 PCBs in Oviductus Ranae
3.3. Analysis of POPs Pollution Characteristics and Mechanisms in Oviductus Ranae
3.4. Risk Assessment of OCPs Intake from Oviductus Ranae
4. Conclusions
Supplementary Materials
Author Contributions
Funding
Institutional Review Board Statement
Informed Consent Statement
Data Availability Statement
Conflicts of Interest
References
- Tang, S.Z.; Luan, P.X.; Chen, F.; Wang, P.; Qin, D.L.; Chen, Z.X.; Hu, G. Determination and safety evaluation of metal element contents of Oviductus Ranae produced from Rana dybowskii by pond culture–forest grazing relay model in Heilongjiang Province, China. Qual. Assur. Saf. Crops Foods 2024, 16, 111–126. [Google Scholar]
- Zhu, D.Q.; Dong, W.J.; Long, X.Z.; Yang, X.M.; Han, X.Y.; Kou, Y.H.; Tong, Q. Skin ulcers and microbiota in Rana dybowskii: Uncovering the role of the gut-skin axis in amphibian health. Aquaculture 2024, 585, 740724. [Google Scholar] [CrossRef]
- Wang, Y.N.; Wang, J.; Zhao, R.; Li, S.W.; Hu, G.; Wang, D. Pharmacokinetics, Withdrawal Time, and Physiological Effects of Single Oral Administration of Enrofloxacin in Dybowski’s Frog (Rana dybowskii). Antibiotics 2025, 14, 417. [Google Scholar] [CrossRef] [PubMed]
- Protyusha, G. Ubiquitous microplastics. Br. Dent. J. 2025, 238, 840–841. [Google Scholar] [CrossRef] [PubMed]
- Sun, H.; Chen, H.; Yao, L.; Chen, J.P.; Zhu, Z.H.; Wei, Y.Q.; Ding, X.; Chen, J.M. Sources and health risks of PM2.5-bound polychlorinated biphenyls (PCBs) and organochlorine pesticides (OCPs) in a North China rural area. J. Environ. Sci. 2020, 95, 240–247. [Google Scholar] [CrossRef]
- Guardans, R. Global monitoring of persistent organic pollutants (POPs) in biota, water and sediments: Its role in screening for unregulated POPs, in compiling time trends of regulated POPs under the Stockholm Convention (SC) and their relevance for biodiversity in a changing climate. Environ. Sci. Adv. 2024, 3, 1111–1123. [Google Scholar] [CrossRef]
- Vuoti, E.; Nguyen, J.; Rantakokko, P.; Huhta, H.; Kiviranta, P.; Rasanen, J.; Palosaari, S.; Lehenkari, P. P28-26 Maternal Transfer of POPs in Sheep: OCP Predominance and Unique Mobilization of 0-HCH and PCB-183. Toxicol. Lett. 2025, 411, S359–S359a. [Google Scholar] [CrossRef]
- Consales, G.; Bottaro, M.; Mancusi, C.; Neri, A.; Sartor, P.; Voliani, A.; D’Agostino, A.; Marsili, L. Persistent Organic Pollutants (POPs) in three bathyal chondrichthyes from the North-Western Mediterranean Sea. Mar. Pollut. Bull. 2023, 196, 115647. [Google Scholar] [CrossRef]
- Liu, X.; Li, J.; Zheng, Q.; Bing, H.; Zhang, R.; Wang, Y.; Luo, C.; Liu, X.; Wu, Y.; Pan, S.; et al. Forest filter effect versus cold trapping effect on the altitudinal distribution of PCBs: A case study of Mt. Gongga, Eastern Tibetan Plateau. Environ. Sci. Technol. 2014, 48, 14377–14385. [Google Scholar] [CrossRef]
- Song, M.; Jiang, L.; Zhang, D.; Luo, C.; Wang, Y.; Yu, Z.; Yin, H.; Zhang, G. Bacteria capable of degrading anthracene, phenanthrene, and fluoranthene as revealed by DNA based stable-isotope probing in a forest soil. J. Hazard. Mater. 2016, 308, 50–57. [Google Scholar] [CrossRef]
- Fu, L.; Lu, X.; Tan, J.; Zhang, H.; Zhang, Y.; Wang, S.; Chen, J. Bioaccumulation and human health risks of OCPs and PCBs in freshwater products of Northeast China. Environ. Pollut. 2018, 242, 1527–1534. [Google Scholar] [CrossRef]
- Yang, Y.; Fu, T.; Song, X.; Wang, X.; Wang, Y. Hazard evaluation of forest combustibles based on the correlation between pyrolysis products and combustion parameters. J. Hazard. Mater. 2024, 469, 133914. [Google Scholar] [CrossRef]
- Xu, M.; Dong, W.; Long, X.; Yang, X.; Han, X.; Cui, L.; Tong, Q. Impact of wildfire ash on skin and gut microbiomes and survival of Rana dybowskii. J. Hazard. Mater. 2024, 474, 134729. [Google Scholar] [CrossRef]
- Bexfield, L.M.; Belitz, K.; Lindsey, B.D.; Toccalino, P.L.; Nowell, L.H. Pesticides and Pesticide Degradates in Groundwater Used for Public Supply across the United States: Occurrence and Human-Health Context. Environ. Sci. Technol. 2021, 55, 362–372. [Google Scholar] [PubMed]
- Zhang, H.J.; Lu, X.B.; Zhang, Y.C.; Ma, X.D.; Wang, S.Q.; Ni, Y.W.; Chen, J.P. Bioaccumulation of organochlorine pesticides and polychlorinated biphenyls by loaches living in rice paddy fields of Northeast China. Environ. Pollut. 2016, 216, 893–901. [Google Scholar] [CrossRef] [PubMed]
- Cristian, T.T.; Satie, T.; Josilene, D.S.; Lucas, C.P.; Luciano, D.R.; Eduardo, R.S.; Javier, N.; João, C.G.B.; Salvatore, S.; Paula, B.; et al. Persistent organic pollutants and fatty acids in humpback whales: Antarctic and Chilean feeding and Brazilian breeding sites. Sci. Total Environ. 2025, 958, 178170. [Google Scholar]
- Pescatore, T.; Spataro, F.; Rauseo, J.; Scoto, F.; Spolaor, A.; Crocchianti, S.; Cappelletti, D.; Patrolecco, L. Spatial distribution, temporal trends, and environmental fate of legacy contaminants in the cryosphere of Spitsbergen, Svalbard Islands. Environ. Res. 2025, 286, 122943. [Google Scholar] [CrossRef]
- NY 5073-2006; Maximum Limit of Toxic and Hazardous Substances in Pollution-Free Aquatic Products. Ministry of Agriculture of the People’s Republic of China: Beijing, China, 2006.
- NY/T 1516-2020; Green Food–Frog and Its Processed Products. Ministry of Agriculture and Rural Affairs of the People’s Republic of China: Beijing, China, 2020.
- GB/T 19507-2008; Product of Geographical Indication–Jilin Changbaishan Forest Frog’s Oviduct. General Administration of Quality Supervision, Inspection and Quarantine of the People’s Republic of China. Standardization Administration of China: Beijing, China, 2008.
- GB 2762-2022; National Food Safety Standard–Maximum Levels of Contaminants in Foods. National Health Commission of the People’s Republic of China; State Administration for Market Regulation: Beijing, China, 2022.
- Bosch, C.; Grimalt, J.O.; Fernández, P. Enantiomeric fraction and isomeric composition to assess sources of DDT residues in soils. Chemosphere 2015, 138, 40–46. [Google Scholar] [CrossRef]
- Qiu, X.; Zhu, T.; Yao, B.; Hu, J.; Hu, S. Contribution of Dicofol to the Current DDT Pollution in China. Environ. Sci. Technol. 2005, 39, 4385–4390. [Google Scholar] [CrossRef]
- Zhan, L.; Lin, T.; Wang, Z.; Cheng, Z.; Zhang, G.; Lyu, X.; Cheng, H. Occurrence and air–soil exchange of organochlorine pesticides and polychlorinated biphenyls at a CAWNET background site in central China: Implications for influencing factors and fate. Chemosphere 2017, 186, 475–487. [Google Scholar] [CrossRef]
- Tang, S.Z.; Chen, Z.X.; Hao, Q.R.; Hu, Y.P.; Wang, J.L.; Qin, D.L.; Wang, P.; Wang, H.T. Detection of PCBs and OCPs in the Irtysh River Water (GC-MS/MS) and ecological risk assessment. MethodsX 2024, 13, 102944. [Google Scholar]
- Malgorzata, W.B.; Sebastian, M.; Szczepan, M.; Wojciech, P.; Jadwiga, P.P. Correlations between levels of dioxins and PCBs in environment samples and wild boar muscles. Toxicol. Lett. 2017, 280, S204. [Google Scholar] [CrossRef]
- Majcher, E.; Ghosh, U.; Needham, T.; Lombard, N.; Foss, E.; Bokare, M.; Joshee, S.; Cheung, L.; Damond, J.; Lorah, M. Refining Sources of Polychlorinated Biphenyls in the Back River Watershed, Baltimore, Maryland, 2018–2020. USGS Sci. Investig. Rep. 2022, 2022, 1–53. [Google Scholar]
- Ding, Y.; Qi, S.H.; Huang, H.F.; Zhang, Y.; Zheng, H.; Qin, Y.; Bao, Q.; Chen, W.; Qu, C.K. Sedimentary records of persistent organic pollutants (OCPs and PCBs) in Ngoring Lake, the central Tibetan Plateau, China: Impacts of westerly atmospheric transport and cryospheric melting. Sci. Total Environ. 2023, 891, 164655. [Google Scholar] [PubMed]
- Han, G.; Song, S.; Huang, Y.; Xia, H.; Yu, M. Advancing fugacity modeling of POPs: Critical evaluation of multimedia frameworks and future pathways. Process Saf. Environ. Prot. 2025, 202, 107722. [Google Scholar] [CrossRef]
- Menezes-Sousa, D.; Miranda Pessoa, C.B.; Schmauder Teixeira Cunha, L.; Prohaska Bighetti, G.; Rodrigues Renz, N.; Carmela Montone, R.; Vetter, W.; Dorneles, P.R.; Flach, L.; Machado Torres, J.P.; et al. Legacy persistent organic pollutants (POPs) are still a threat to marine top predators from Brazil: POPs and halogenated natural bipyrrole in live, free-ranging Guiana dolphins, Sotalia guianensis, from a tropical estuary. Environ. Pollut. 2025, 387, 127286. [Google Scholar] [CrossRef]
- Ondarza, P.M.; Gonzalez, M.; Fillmann, G.; Miglioranza, K.S.B. Increasing levels of persistent organic pollutants in rainbow trout (Oncorhynchus mykiss) following a mega-flooding episode in the Negro River basin, Argentinean Patagonia. Sci. Total Environ. 2012, 419, 233–239. [Google Scholar]
- Gui, D.; Yu, R.; He, X.; Tu, Q.; Chen, L.; Wu, Y. Bioaccumulation and biomagnification of persistent organic pollutants in Indo-Pacific humpback dolphins (Sousa chinensis) from the Pearl River Estuary, China. Chemosphere 2014, 114, 106–113. [Google Scholar] [CrossRef]
- Sohail, M.; Eqani, S.A.M.A.S.; Podgorski, J.; Bhowmik, A.K.; Mahmood, A.; Ali, N.; Sabo-Attwood, T.; Bokhari, H.; Shen, H. Persistent organic pollutant emission via dust deposition throughout Pakistan: Spatial patterns, regional cycling and their implication for human health risks. Sci. Total Environ. 2018, 618, 829–837. [Google Scholar] [CrossRef]
- Won, J.H.; Hong, S.H.; Shim, W.J.; Yim, U.H.; Kim, G.B. Persistent organochlorine pollutants in Korean offshore waters: Squid (Todarodes pacificus) as a biomonitor. Mar. Pollut. Bull. 2009, 58, 1238–1244. [Google Scholar] [CrossRef]
- Irani, M. Influence of Organic Amendments on the Degradation of Endosulfan. Bull. Environ. Contam. Toxicol. 2012, 89, 334–339. [Google Scholar] [CrossRef] [PubMed]
- Deribe, E.; Rosseland, B.O.; Borgstrøm, R.; Salbu, B.; Gebremariam, Z.; Dadebo, E.; Norli, H.R.; Eklo, O.M. Bioaccumulation of persistent organic pollutants (POPs) in fish species from Lake Koka, Ethiopia: The influence of lipid content and trophic position. Sci. Total Environ. 2011, 411, 136–145. [Google Scholar]
- Guan, K.; Luo, X.; Zhu, C.; Chen, X.; Chen, P.; Guo, J.; Hu, K.; Zeng, Y.; Mai, B. Tissue-Specific Distribution and Maternal Transfer of Persistent Organic Halogenated Pollutants in Frogs. Environ. Toxicol. Chem. 2024, 43, 1557–1568. [Google Scholar] [CrossRef] [PubMed]
- Gaur, N.; Dutta, D.; Jaiswal, A.; Dubey, R.; Vrat Kamboj, D. Role and Effect of Persistent Organic Pollutants to Our Environment and Wildlife. In Persistent Organic Pollutants (POPs)-Monitoring, Impact and Treatment; Intech Open: London, UK, 2022. [Google Scholar] [CrossRef]
- Singh, A.; Kumari, K. Classical and Emerging Persistent Organic Pollutants in Environment. In Persistent Organic Pollutants; CRC Press: Boca Raton, FL, USA, 2021; pp. 33–58. [Google Scholar] [CrossRef]
- Mahire, S.; Tiwana, A.S.; Khan, A.; Nalawade, P.M.; Bandekar, G.; Trehan, N.; Mukkannawar, U.; Kaur, S.; Pandit, V.; Kamble, P.N. Accumulation and effects of persistent organic pollutants and biogeographical solutions: Appraisal of global environment. Arab. J. Geosci. 2023, 16, 570. [Google Scholar] [CrossRef]
- Donets, M.M.; Tsygankov, V.Y.; Gumovskiy, A.N.; Gumovskaya, Y.P.; Boyarova, M.D.; Kulshova, V.I.; Busarova, O.Y.; Litvinenko, A.V.; Khristoforova, N.K.; Lyakh, V.A. Fish as a risk source for human health: OCPs and PCBs in Pacific salmon. Food Control 2022, 134, 108696. [Google Scholar] [CrossRef]
- Willett, K.L.; Ulrich, E.M.; Hites, R.A. Differential Toxicity and Environmental Fates of Hexachlorocyclohexane Isomers. Environ. Sci. Technol. 1998, 32, 2197–2207. [Google Scholar] [CrossRef]
- Bai, Y.; Ruan, X.; van der Hoek, J.P. Residues of organochlorine pesticides (OCPs) in aquatic environment and risk assessment along Shaying River, China. Environ. Geochem. Health 2018, 40, 2525–2538. [Google Scholar] [CrossRef]
- Mahmoud, A.F.A.; Ikenaka, Y.; Yohannes, Y.B.; Darwish, W.S.; Eldaly, E.A.; Morshdy, A.E.M.A.; Nakayama, S.M.M.; Mizukawa, H.; Ishizuka, M. Distribution and health risk assessment of organochlorine pesticides (OCPs) residue in edible cattle tissues from northeastern part of Egypt: High accumulation level of OCPs in tongue. Chemosphere 2016, 144, 1365–1371. [Google Scholar] [CrossRef]
- Buah-Kwofie, A.; Humphries, M.S.; Pillay, L. Dietary exposure and risk assessment of organochlorine pesticide residues in rural communities living within catchment areas of iSimangaliso World Heritage Site, South Africa. Environ. Sci. Pollut. Res. 2019, 26, 17774–17786. [Google Scholar] [CrossRef]
- Sosan, M.B.; Adeleye, A.O.; Oyekunle, J.A.O.; Oluwaranti, A.; Oyerinde, A.A.; Adamu, R.S. Dietary exposure to organochlorine pesticides residues in Nigerian green leafy vegetables. Discov. Public Health 2025, 22, 699. [Google Scholar]




| Compound Name | Range (ng/g) | Mean (ng/g) | Detection Rate (%) | Limit Standards (ng/g) |
|---|---|---|---|---|
| α-HCH | ND—5.94 × 10−2 | 1.10 × 10−2 | 27.8 | 200 a |
| β-HCH | ND—3.41 × 10−1 | 8.88 × 10−2 | 94.4 | 200 a |
| γ-HCH | ND—2.92 × 10−1 | 4.11 × 10−2 | 33.3 | 200 a |
| δ-HCH | ND—2.21 × 10−1 | 7.43 × 10−2 | 88.9 | 200 a |
| ∑HCHs | 4.23 × 10−2–7.18 × 10−1 | 2.15 × 10−1 | 100 | |
| o,p′-DDT | ND | ND | ND | 400 a |
| p,p′-DDD | 3.44 × 10−2–6.46 | 5.25 × 10−1 | 100 | 400 a |
| p,p′-DDE | ND—1.43 × 101 | 2.38 | 55.6 | 400 a |
| p,p′-DDT | ND | ND | ND | 400 a |
| ∑DDTs | 3.44 × 10−2–1.93 × 101 | 2.91 | 100 | |
| Heptachlor | 5.18 × 10−1–2.59 | 1.22 | 100 | |
| Heptachlor-epoxide | 5.63 × 10−1–6.05 | 2.75 | 100 | |
| ∑Heptachlors | 1.29–7.62 | 3.97 | 100 | |
| α-Endosulfan | 4.82 × 10−1–4.32 × 101 | 1.23 × 101 | 100 | |
| β-Endosulfan | 1.29–2.78 × 101 | 6.88 | 100 | |
| Endosulfans sulfate | 8.38 × 10−2–2.39 | 8.98 × 10−1 | 100 | |
| ∑Endosulfans | 2.77–5.25 × 101 | 2.01 × 101 | 100 | |
| Methoxychlor | ND—1.77 × 101 | 5.75 | 94.4 | |
| Aldrin | 1.25 × 10−1–5.26 | 1.31 | 100 | |
| Dieldrin | ND—1.83 | 3.33 × 10−1 | 66.7 | |
| Endrin | ND—2.34 × 101 | 2.32 | 83.3 | |
| ∑DRINs | 1.44–3.01 × 101 | 9.71 | 100 | |
| ∑OCPs | 1.17 × 101–6.79 × 101 | 3.69 × 101 | 100 | |
| PCB1 | 7.73 × 10−1–4.38 | 1.52 | 100 | |
| PCB28 | ND | ND | ND | |
| PCB29 | 3.59–6.33 | 4.33 | 100 | |
| PCB 52 | ND | ND | ND | |
| PCB101 | ND | ND | ND | 200 b |
| PCB118 | ND | ND | ND | 200 b |
| PCB138 | ND | ND | ND | |
| PCB153 | ND | ND | ND | |
| PCB180 | ND | ND | ND | |
| ∑PCBs | 4.43–8.06 | 5.85 | 100 | 200 b |
| Compound | RfDo/µg kg−1·d−1 | Acheng | Wuchang | Tonghe | Tieli | Hebei | Hulin | Heilongjiang Province | |||||||
|---|---|---|---|---|---|---|---|---|---|---|---|---|---|---|---|
| EDI | THQ | EDI | THQ | EDI | THQ | EDI | THQ | EDI | THQ | EDI | THQ | EDI | THQ | ||
| ∑HCHs | 0.3 | 0.00001 | 0.00002 | 0.00002 | 0.00008 | 0.00000 | 0.00001 | 0.00001 | 0.00003 | 0.00001 | 0.00002 | 0.00002 | 0.00005 | 0.00001 | 0.00003 |
| ∑DDTs | 0.5 | 0.00009 | 0.00018 | 0.00028 | 0.00056 | 0.00032 | 0.00064 | 0.00008 | 0.00016 | 0.00002 | 0.00003 | 0.00006 | 0.00011 | 0.00014 | 0.00028 |
| Heptachlor | 0.5 | 0.00006 | 0.00011 | 0.00007 | 0.00015 | 0.00004 | 0.00009 | 0.00005 | 0.00010 | 0.00004 | 0.00007 | 0.00010 | 0.00020 | 0.00006 | 0.00012 |
| Heptachlor-epoxide | 0.013 | 0.00011 | 0.00815 | 0.00023 | 0.01768 | 0.00011 | 0.00860 | 0.00005 | 0.00361 | 0.00017 | 0.01289 | 0.00014 | 0.01076 | 0.00013 | 0.01028 |
| ∑Endosulfans | 6 | 0.00191 | 0.00032 | 0.00214 | 0.00036 | 0.00081 | 0.00013 | 0.00041 | 0.00007 | 0.00021 | 0.00004 | 0.00038 | 0.00006 | 0.00098 | 0.00016 |
| Aldrin | 0.03 | 0.00003 | 0.00085 | 0.00002 | 0.00055 | 0.00014 | 0.00460 | 0.00003 | 0.00086 | 0.00012 | 0.00403 | 0.00005 | 0.00181 | 0.00006 | 0.00212 |
| Dieldrin | 0.05 | 0.00000 | 0.00001 | 0.00002 | 0.00042 | 0.00001 | 0.00028 | 0.00003 | 0.00061 | 0.00003 | 0.00052 | 0.00000 | 0.00009 | 0.00002 | 0.00032 |
| Endrin | 0.3 | 0.00005 | 0.00018 | 0.00002 | 0.00008 | 0.00042 | 0.00139 | 0.00007 | 0.00023 | 0.00003 | 0.00012 | 0.00007 | 0.00024 | 0.00011 | 0.00038 |
| Methoxychlor | 5 | 0.00019 | 0.00004 | 0.00021 | 0.00004 | 0.00020 | 0.00004 | 0.00024 | 0.00005 | 0.00023 | 0.00005 | 0.00059 | 0.00012 | 0.00028 | 0.00006 |
| TTHQ | 0.010 | 0.020 | 0.016 | 0.006 | 0.018 | 0.013 | 0.014 | ||||||||
Disclaimer/Publisher’s Note: The statements, opinions and data contained in all publications are solely those of the individual author(s) and contributor(s) and not of MDPI and/or the editor(s). MDPI and/or the editor(s) disclaim responsibility for any injury to people or property resulting from any ideas, methods, instructions or products referred to in the content. |
© 2026 by the authors. Licensee MDPI, Basel, Switzerland. This article is an open access article distributed under the terms and conditions of the Creative Commons Attribution (CC BY) license.
Share and Cite
Tang, S.; Zhang, H.; Wang, P.; Qin, D.; Chen, Z.; Hu, G. Pollution Characteristics, Sources, and Health Risks of Organochlorine Pesticides and Polychlorinated Biphenyls in Oviductus Ranae from Northern China. Toxics 2026, 14, 101. https://doi.org/10.3390/toxics14010101
Tang S, Zhang H, Wang P, Qin D, Chen Z, Hu G. Pollution Characteristics, Sources, and Health Risks of Organochlorine Pesticides and Polychlorinated Biphenyls in Oviductus Ranae from Northern China. Toxics. 2026; 14(1):101. https://doi.org/10.3390/toxics14010101
Chicago/Turabian StyleTang, Shizhan, Haonan Zhang, Peng Wang, Dongli Qin, Zhongxiang Chen, and Guo Hu. 2026. "Pollution Characteristics, Sources, and Health Risks of Organochlorine Pesticides and Polychlorinated Biphenyls in Oviductus Ranae from Northern China" Toxics 14, no. 1: 101. https://doi.org/10.3390/toxics14010101
APA StyleTang, S., Zhang, H., Wang, P., Qin, D., Chen, Z., & Hu, G. (2026). Pollution Characteristics, Sources, and Health Risks of Organochlorine Pesticides and Polychlorinated Biphenyls in Oviductus Ranae from Northern China. Toxics, 14(1), 101. https://doi.org/10.3390/toxics14010101

