Contaminants of Emerging Concern in Tomatoes Grown in Sludge-Amended Peat: Uptake, Translocation and Risk Assessment
Highlights
- Five CECs were quantified in tomato fruit grown in sludge-amended peat substrate.
- Translocation was compound-dependent, with carbamazepine content highest in leaves > roots > stems > fruits.
- Seven CECs had RQ >1 in sludge-amended peat substrate.
- Sewage sludge application in agriculture can introduce CECs into crops and growth media.
- Further research is needed into the long-term effects of repeated sludge applications.
Abstract
1. Introduction
2. Materials and Methods
2.1. Reagents and Chemicals
2.2. Experimental Design and Treatments
2.3. Sample Collection
2.4. Sample Preparation
2.5. LC-MS/MS Analysis
2.6. Bioconcentration, Root Concentration and Translocation Factors
2.7. Human Health Risk Assessment
2.8. Ecological Risk Assessment
2.9. Data Processing and Analysis
3. Results and Discussion
3.1. CEC in Sludge and Amended Peat Substrate
3.2. Uptake and Translocation of CECs in Tomato Plant Parts (Roots, Stems and Leaves)
3.2.1. Roots
3.2.2. Leaves
3.2.3. Stems
3.2.4. Translocation Factors
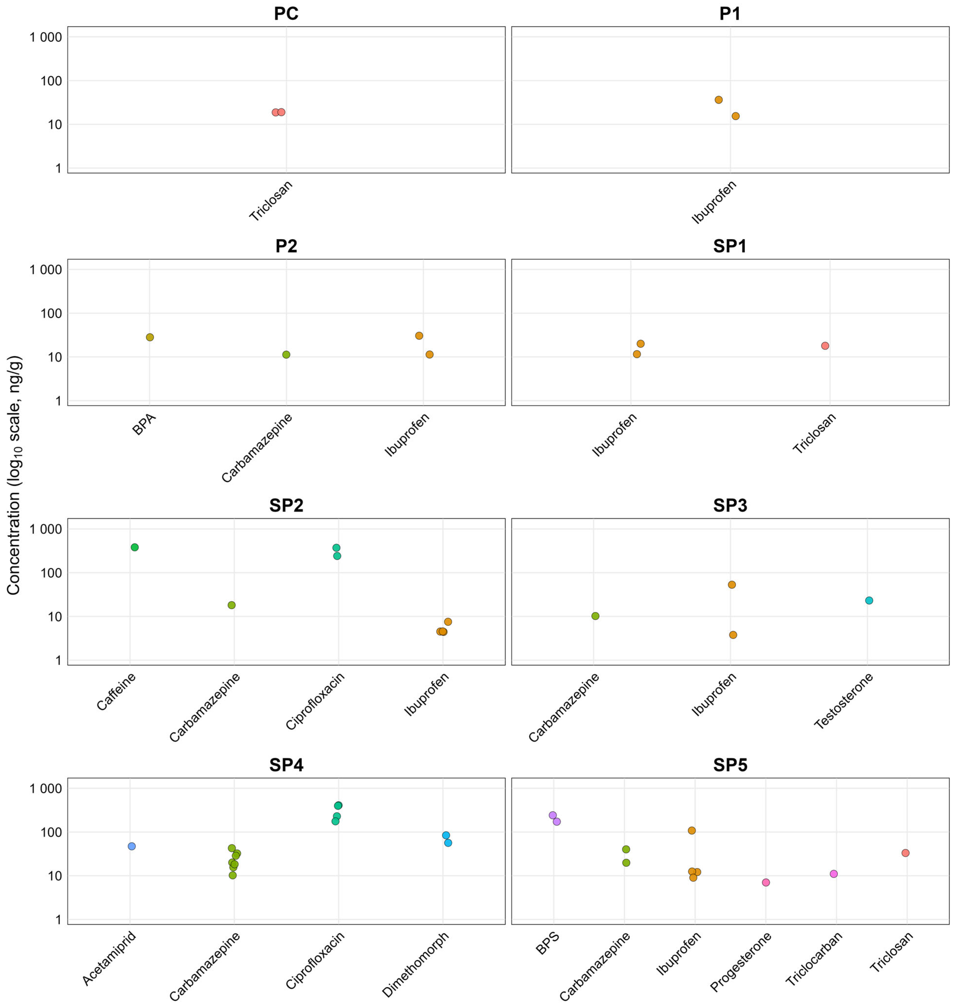
3.3. Bioaccumulation of CECs in Tomato Fruit
3.4. Tomato Yield
3.5. Dietary Exposure to CECs and Health Risk Assessment for Tomato Fruits
3.6. Ecological Risk Assessment of CECs in Peat Substrate
3.7. Limitations and Future Work
4. Conclusions
Supplementary Materials
Author Contributions
Funding
Institutional Review Board Statement
Informed Consent Statement
Data Availability Statement
Acknowledgments
Conflicts of Interest
Abbreviations
| CECs | Contaminants of Emerging Concern |
| PPCPs | Pharmaceutical and Personal Care Products |
| PFASs | Per- and Polyfluoroalkyl Substances |
| PBDEs | Polybrominated Diphenyl Ethers |
| WWTP | Wastewater Treatment Plant |
| EDI | Estimated Daily Intake |
| ADI | Acceptable Daily Intake |
| TDI | Tolerable Daily Intake |
| NOAEL | No Observed Adverse Effect Level |
| MEC | Measured Environmental Concentration |
| PNEC | Predicted No-Effect Concentration |
| EPM | Equilibrium Partitioning Method |
| BCF | Bioconcentration Factor |
| RCF | Root Concentration Factor |
| TF | Translocation Factor |
References
- Liu, H. Achilles Heel of Environmental Risk from Recycling of Sludge to Soil as Amendment: A Summary in Recent Ten Years (2007–2016). Waste Manag. 2016, 56, 575–583. [Google Scholar] [CrossRef] [PubMed]
- Singh, R.P.; Agrawal, M. Potential Benefits and Risks of Land Application of Sewage Sludge. Waste Manag. 2008, 28, 347–358. [Google Scholar] [CrossRef] [PubMed]
- European Environment Agency, Long-Term Impacts of Sludge Spreading on Agricultural Land (Signal) | European Zero Pollution Dashboards. Available online: https://www.eea.europa.eu/en/european-zero-pollution-dashboards/indicators/long-term-impacts-of-sludge-spreading-on-agricultural-land (accessed on 29 September 2025).
- Huygens, D.; García-Gutierrez, P.; Orveillon, G.; Schillaci, C.; Delre, A.; Orgiazzi, A.; Wojda, P.; Tonini, D.; Jones, A.; Pistocchi, A.; et al. Screening Risk Assessment of Organic Pollutants and Environmental Impacts from Sewage Sludge Management. In Study to Support Policy Development on the Sewage Sludge Directive (86/278/EEC); Publications Office of the European Union: Luxembourg, 2022. [Google Scholar]
- European Commission. Implementation Report of the Sewage Sludge Directive 86/278/EEC; European Commission: Brussels, Belgium, 2022. [Google Scholar]
- European Commission. Council Directive 86/278/EEC of 12 June 1986 on the Protection of the Environment, and in Particular of the Soil, When Sewage Sludge Is Used in Agriculture; European Commission: Brussels, Belgium, 1986. [Google Scholar]
- Collivignarelli, M.C.; Abbà, A.; Frattarola, A.; Miino, M.C.; Padovani, S.; Katsoyiannis, I.; Torretta, V. Legislation for the Reuse of Biosolids on Agricultural Land in Europe: Overview. Sustainability 2019, 11, 6015. [Google Scholar] [CrossRef]
- Koumoulidis, D.; Varvaris, I.; Pittaki, Z.; Hadjimitsis, D. Sewage Sludge in Agricultural Lands: The Legislative Framework in EU-28. Sustainability 2024, 16, 10946. [Google Scholar] [CrossRef]
- Kelessidis, A.; Stasinakis, A.S. Comparative Study of the Methods Used for Treatment and Final Disposal of Sewage Sludge in European Countries. Waste Manag. 2012, 32, 1186–1195. [Google Scholar] [CrossRef] [PubMed]
- Basri, S.; Oruganti, R.K.; Panda, T.K.; Bhattacharyya, D. Beyond Conventional Approaches: Sustainable Valorization of Sewage Sludge—Challenges and Opportunities. Sustain. Mater. Technol. 2025, 45, e01496. [Google Scholar] [CrossRef]
- Lucia, C.; Badalucco, L.; Corsino, S.F.; Galati, A.; Iovino, M.; Muscarella, S.M.; Paliaga, S.; Torregrossa, M.; Laudicina, V.A. Management and Valorisation of Sewage Sludge to Foster the Circular Economy in the Agricultural Sector. Discov. Soil. 2025, 2, 80. [Google Scholar] [CrossRef]
- Collivignarelli, M.C.; Canato, M.; Abbà, A.; Carnevale Miino, M. Biosolids: What Are the Different Types of Reuse? J. Clean. Prod. 2019, 238, 117844. [Google Scholar] [CrossRef]
- Bair, D.A.; Anderson, C.G.; Chung, Y.; Scow, K.M.; Franco, R.B.; Parikh, S.J. Impact of Biochar on Plant Growth and Uptake of Ciprofloxacin, Triclocarban and Triclosan from Biosolids. J. Environ. Sci. Health B 2020, 55, 990–1001. [Google Scholar] [CrossRef]
- Vehar, A.; Kovačič, A.; Hvala, N.; Škufca, D.; Levstek, M.; Stražar, M.; Žgajnar Gotvajn, A.; Heath, E. An Assessment of Mass Flows, Removal and Environmental Emissions of Bisphenols in a Sequencing Batch Reactor Wastewater Treatment Plant. Molecules 2022, 27, 8634. [Google Scholar] [CrossRef]
- Kodešová, R.; Klement, A.; Golovko, O.; Fér, M.; Kočárek, M.; Nikodem, A.; Grabic, R. Soil Influences on Uptake and Transfer of Pharmaceuticals from Sewage Sludge Amended Soils to Spinach. J. Environ. Manag. 2019, 250, 109407. [Google Scholar] [CrossRef] [PubMed]
- Li, M.; Ding, T.; Wang, H.; Wang, W.; Ye, Q.; Li, J. Biosolids Inhibit Uptake and Translocation of 14C-Carbamazepine by Edible Vegetables in Soil. Environ. Sci. Pollut. Res. 2020, 27, 8323–8333. [Google Scholar] [CrossRef] [PubMed]
- Ben Mordechay, E.; Tarchitzky, J.; Chen, Y.; Shenker, M.; Chefetz, B. Composted Biosolids and Treated Wastewater as Sources of Pharmaceuticals and Personal Care Products for Plant Uptake: A Case Study with Carbamazepine. Environ. Pollut. 2018, 232, 164–172. [Google Scholar] [CrossRef]
- Xu, J.; Wang, Y.; Zhang, Q.; Sun, H.; Zhang, W. Uptake and Enantiomeric Selectivity of β-Blockers in Lettuce (Lactuca sativa L.) and Tomato (Lycopersicon esculentum M.) in Soil–Pot Culture. J. Agric. Food Chem. 2023, 71, 8816–8824. [Google Scholar] [CrossRef]
- Berthod, L.; Roberts, G.; Sharpe, A.; Whitley, D.C.; Greenwood, R.; Mills, G.A. Effect of Sewage Sludge Type on the Partitioning Behaviour of Pharmaceuticals: A Meta-Analysis. Environ. Sci. 2016, 2, 154–163. [Google Scholar] [CrossRef]
- Mejías, C.; Martín, J.; Santos, J.L.; Aparicio, I.; Alonso, E. Occurrence of Pharmaceuticals and Their Metabolites in Sewage Sludge and Soil: A Review on Their Distribution and Environmental Risk Assessment. Trends Environ. Anal. Chem. 2021, 30, e00125. [Google Scholar] [CrossRef]
- Ramos, S.; Homem, V.; Santos, L. Uptake and Translocation of UV-Filters and Synthetic Musk Compounds into Edible Parts of Tomato Grown in Amended Soils. Sci. Total Environ. 2021, 792, 148482. [Google Scholar] [CrossRef]
- Wu, C.; Spongberg, A.L.; Witter, J.D.; Sridhar, B.B.M. Transfer of Wastewater Associated Pharmaceuticals and Personal Care Products to Crop Plants from Biosolids Treated Soil. Ecotoxicol. Environ. Saf. 2012, 85, 104–109. [Google Scholar] [CrossRef]
- Broadbent, E.; Gravesen, C.; Choi, Y.J.; Lee, L.; Wilson, P.C.; Judy, J.D. Effects of Drinking Water Treatment Residual Amendments to Biosolids on Plant Uptake of Per- and Polyfluoroalkyl Substances. J. Environ. Qual. 2025, 54, 108–117. [Google Scholar] [CrossRef]
- Navarro, I.; de la Torre, A.; Sanz, P.; Porcel, M.Á.; Pro, J.; Carbonell, G.; de los Ángeles Martínez, M. Uptake of Perfluoroalkyl Substances and Halogenated Flame Retardants by Crop Plants Grown in Biosolids-Amended Soils. Environ. Res. 2017, 152, 199–206. [Google Scholar] [CrossRef]
- Kinney, C.A.; Vanden, B. Heuvel Translocation of Pharmaceuticals and Personal Care Products after Land Application of Biosolids. Curr. Opin. Environ. Sci. Health 2020, 14, 23–30. [Google Scholar] [CrossRef]
- Bolesta, W.; Głodniok, M.; Styszko, K. From Sewage Sludge to the Soil—Transfer of Pharmaceuticals: A Review. Int. J. Environ. Res. Public Health 2022, 19, 10246. [Google Scholar] [CrossRef]
- Blaine, A.C.; Rich, C.D.; Hundal, L.S.; Lau, C.; Mills, M.A.; Harris, K.M.; Higgins, C.P. Uptake of Perfluoroalkyl Acids into Edible Crops via Land Applied Biosolids: Field and Greenhouse Studies. Environ. Sci. Technol. 2013, 47, 14062–14069. [Google Scholar] [CrossRef]
- Sabourin, L.; Duenk, P.; Bonte-Gelok, S.; Payne, M.; Lapen, D.R.; Topp, E. Uptake of Pharmaceuticals, Hormones and Parabens into Vegetables Grown in Soil Fertilized with Municipal Biosolids. Sci. Total Environ. 2012, 431, 233–236. [Google Scholar] [CrossRef]
- Prosser, R.S.; Lissemore, L.; Topp, E.; Sibley, P.K. Bioaccumulation of Triclosan and Triclocarban in Plants Grown in Soils Amended with Municipal Dewatered Biosolids. Environ. Toxicol. Chem. 2014, 33, 975–984. [Google Scholar] [CrossRef] [PubMed]
- Boguniewicz-Zablocka, J.; Klosok-Bazan, I.; Capodaglio, A.G. Sustainable Management of Biological Solids in Small Treatment Plants: Overview of Strategies and Reuse Options for a Solar Drying Facility in Poland. Environ. Sci. Pollut. Res. 2021, 28, 24680–24693. [Google Scholar] [CrossRef] [PubMed]
- Ministry of the Environment and Spatial Planning. Decree on Waste Management, Official Gazette RS No. 34/2008: Regulation on the Loading of Soil Through the Introduction of Waste; Ministry of the Environment and Spatial Planning: Ljubljana, Slovenia, 2008. [Google Scholar]
- ISO 11464:2006; Soil Quality—Pretreatment of Samples for Physico-Chemical Analysis. International Organization for Standardization: Geneva, Switzerland, 2006.
- ISO 10694:1995; Soil Quality—Determination of Organic and Total Carbon after Dry Combustion (Elementary Analysis). International Organization for Standardization: Geneva, Switzerland, 1995.
- ISO 13878:1998; Soil Quality—Determination of Total Nitrogen Content by Dry Combustion (“Elemental Analysis”). International Organization for Standardization: Geneva, Switzerland, 1998.
- Egnér, H.; Riehm, H.; Domingo, W.R. Untersuchungen Uber Die Chemishe Boden-Analyse Als Grundlage Fur Die Beurteilung Des Nahrsoffzustandes Der Boden. II. Chemiche Extraktionsmethoden Zur Phosphor Und Kalimbestimmung. K. Lantbrukshögskolans Ann. 1960, 26, 199–215. [Google Scholar]
- ISO 10390:2021; Soil, Treated Biowaste and Sludge—Determination of PH. International Organization for Standardization: Geneva, Switzerland, 2021.
- Baumgarten, A.; Almesberger, M.; Eschlböck, K.; Greimel, J.; Hamedinger, S.; Hoffmann, G.; Hofmair, W.; Keferböck, J.; Kovats, H.G.; Mayer, J.; et al. Richtlinien Für Die Sachgerechte Düngung Im Garten-Und Feldgemüsebau; Bundesministerium für Landund Forstwirtschaft, Umwelt und Wasserwirtschaft: Vienna, Austria, 2008; pp. 1–64. [Google Scholar]
- Meteo.Si—Uradna Vremenska Napoved Za Slovenijo—Državna Meteorološka Služba RS—Povprečne Mesečne Vrednosti Evapotranspiracije v Obdobju 1971–2000. Available online: https://meteo.arso.gov.si/met/sl/agromet/period/etp/ (accessed on 13 October 2025).
- Andreasidou, E.; Kovačič, A.; Manzano-Sánchez, L.; Heath, D.; Kosjek, T.; Pintar, M.; Maršič, N.K.; Blaznik, U.; Fernández-Alba, A.R.; Hernando, M.D.; et al. Uptake of Emerging Contaminants in Tomato Plants: A Field Study on Treated Wastewater Reuse. Environ. Int. 2025, 205, 109916. [Google Scholar] [CrossRef]
- Andreasidou, E.; Martello, L.; Heath, D.; Bikiaris, D.N.; Lambropoulou, D.A.; Heath, E. Synthesis and Evaluation of a New Acrylic Copolymer for Dispersive Solid-Phase Microextraction of Organic Contaminants from Urban Wastewater. Microchem. J. 2025, 210, 113038. [Google Scholar] [CrossRef]
- European Commission. DG-SANTE Guidance Document on the Analytical Quality Control and Method Validation Procedures for Pesticide Residues in Food and Feed. No SANTE 11312/2021 V2; European Commission: Brussels, Belgium, 2021. [Google Scholar]
- Wenzl, T.; Haedrich, J.; Schaechtele, A.; Robouch, P.; Stroka, J.; Burdaspal, P.; Kapp, T.; Amlund, H.; Jensen, U.; Patriarca, M.; et al. Guidance Document on the Estimation of LOD and LOQ for Measurements in the Field of Contaminants in Feed and Food; Publications Office of the European Union: Luxembourg, 2016. [Google Scholar]
- Fučík, J.; Jašek, V.; Hamplová, M.; Navrkalová, J.; Zlámalová Gargošová, H.; Mravcová, L. Assessing Lettuce Exposure to a Multi-Pharmaceutical Mixture in Soil: Insights from LC-ESI-TQ Analysis and the Impact of Biochar on Pharmaceutical Bioavailability. ACS Omega 2024, 9, 39065–39081. [Google Scholar] [CrossRef]
- EFSA Food Consumption Statistics for FoodEx2: Level 7 | EFSA. Available online: https://www.efsa.europa.eu/en/microstrategy/foodex2-level-7 (accessed on 8 April 2025).
- Food and Agriculture Organization of the United Nations. World Health Organization Principles and Methods for the Risk Assessment of Chemicals in Food; World Health Organization: Geneva, Switzerland, 2009; ISBN 9789241572408. [Google Scholar]
- European Food Safety Authority. Review of the Methodology Used for the Assessment of the Short-Term (Acute) Dietary Exposure to Pesticide Residues in Food (IESTI Methodology). EFSA J. 2025, 23, e9233. [Google Scholar] [CrossRef]
- Lambré, C.; Barat Baviera, J.M.; Bolognesi, C.; Chesson, A.; Cocconcelli, P.S.; Crebelli, R.; Gott, D.M.; Grob, K.; Lampi, E.; Mengelers, M.; et al. Re-Evaluation of the Risks to Public Health Related to the Presence of Bisphenol A (BPA) in Foodstuffs. EFSA J. 2023, 21, e06857. [Google Scholar] [CrossRef]
- FitzGerald, R.; Van Loveren, H.; Civitella, C.; Castoldi, A.F.; Bernasconi, G. Assessment of New Information on Bisphenol S (BPS) Submitted in Response to the Decision 1 under REACH Regulation (EC) No 1907/2006. EFSA Support. Publ. 2020, 17, 1844E. [Google Scholar] [CrossRef]
- Hernandez-Jerez, A.; Coja, T.; Paparella, M.; Price, A.; Henri, J.; Focks, A.; Louisse, J.; Terron, A.; Binaglia, M.; Guajardo, I.M.; et al. Statement on the Toxicological Properties and Maximum Residue Levels of Acetamiprid and Its Metabolites. EFSA J. 2024, 22, e8759. [Google Scholar] [CrossRef]
- EFSA Panel on Dietetic Products, Nutrition and Allergies (NDA). Scientific Opinion on the Safety of Caffeine. EFSA J. 2015, 13, 425. [Google Scholar] [CrossRef]
- Scientific Opinion on “Draft Environmental Quality Standards for Priority Substances under the Water Framework Directive”—Carbamazepine—European Commission. Available online: https://health.ec.europa.eu/publications/scientific-opinion-draft-environmental-quality-standards-priority-substances-under-water-framework-6_en (accessed on 25 May 2025).
- Khan, U.; Nicell, J. Human Health Relevance of Pharmaceutically Active Compounds in Drinking Water. AAPS J. 2015, 17, 558–585. [Google Scholar] [CrossRef] [PubMed]
- Alvarez, F.; Arena, M.; Auteri, D.; Binaglia, M.; Castoldi, A.F.; Chiusolo, A.; Colagiorgi, A.; Colas, M.; Crivellente, F.; De Lentdecker, C.; et al. Peer Review of the Pesticide Risk Assessment of the Active Substance Dimethomorph. EFSA J. 2023, 21, e08032. [Google Scholar] [CrossRef]
- World Health Organization Evaluations of the Joint FAO/WHO Expert Committee on Food Additives (JECFA)—Progesterone. Available online: https://apps.who.int/food-additives-contaminants-jecfa-database/Home/Chemical/3580 (accessed on 11 September 2025).
- Scientific Committee on Consumer Safety Scientific. Advice on the Safety of Triclocarban and Triclosan as Substances with Potential Endocrine Disrupting Properties in Cosmetic Products; Publications Office of the European Union: Luxembourg, 2023. [Google Scholar]
- Kumar, A.; Xagoraraki, I. Human Health Risk Assessment of Pharmaceuticals in Water: An Uncertainty Analysis for Meprobamate, Carbamazepine, and Phenytoin. Regul. Toxicol. Pharmacol. 2010, 57, 146–156. [Google Scholar] [CrossRef] [PubMed]
- European Chemicals Agency. Guidance on Information Requirements and Chemical Safety Assessment Chapter R.10: Characterisation of Dose [Concentration]-Response for Environment Guidance for the Implementation of REACH; European Chemicals Agency: Helsinki, Finland, 2008. [Google Scholar]
- NORMAN Ecotoxicology Database. Available online: https://www.norman-network.com/nds/ecotox/lowestPnecsIndex.php?checkSelect=1 (accessed on 8 April 2025).
- European Chemicals Agency. Guidance on Information Requirements and Chemical Safety Assessment Chapter R.16: Environmental Exposure Estimation; European Chemicals Agency: Helsinki, Finland, 2012. [Google Scholar]
- Fernandes, R.; Necci, A.; Krausmann, E. Model(s) for the Dispersion of Hazardous Substances in Floodwaters for RAPID-N; Publications Office of the European Union: Luxembourg, 2022; ISBN 9789276467076. [Google Scholar]
- Van Beelen, P.; Verbruggen, E.M.J.; Peijnenburg, W.J.G.M. The Evaluation of the Equilibrium Partitioning Method Using Sensitivity Distributions of Species in Water and Soil. Chemosphere 2003, 52, 1153–1162. [Google Scholar] [CrossRef] [PubMed]
- Hernando, M.D.; Mezcua, M.; Fernández-Alba, A.R.; Barceló, D. Environmental Risk Assessment of Pharmaceutical Residues in Wastewater Effluents, Surface Waters and Sediments. Talanta 2006, 69, 334–342. [Google Scholar] [CrossRef]
- The R Core Team. R: A Language and Environment for Statistical Computing; R Foundation for Statistical Computing: Vienna, Austria, 2023. [Google Scholar]
- Arachchige Chamila Samarasinghe, S.V.; Krishnan, K.; Aitken, R.J.; Naidu, R.; Megharaj, M. Persistence of the Parabens in Soil and Their Potential Toxicity to Earthworms. Environ. Toxicol. Pharmacol. 2021, 83, 103574. [Google Scholar] [CrossRef]
- Gonzales, I.; Sengupta, R.; Mani, S.; Correa-Soto, C.E.; Bejgum, B.; Alvarez-Nunez, F.; Kiang, Y.H. Understanding the Sorption of Paraben on Plastics Using Molecular Dynamics Simulations. Int. J. Pharm. 2025, 671, 125256. [Google Scholar] [CrossRef]
- Litz, N.T.; Müller, J.; Böhmer, W. Occurrence of Polycyclic Musks in Sewage Sludge and Their Behaviour in Soils and Plants. Part 2: Investigation of Polycyclic Musks in Soils and Plants. J. Soils Sediments 2007, 7, 36–44. [Google Scholar] [CrossRef]
- Yun, H.; Liang, B.; Kong, D.; Li, X.; Wang, A. Fate, Risk and Removal of Triclocarban: A Critical Review. J. Hazard. Mater. 2020, 387, 121944. [Google Scholar] [CrossRef]
- Miao, L.; Chen, S.; Yang, H.; Hong, Y.; Sun, L.; Yang, J.; Sun, G.; Liu, Y.; Li, C.; Zang, H.; et al. Enhanced Bioremediation of Triclocarban-Contaminated Soil by Rhodococcus Rhodochrous BX2 and Pseudomonas Sp. LY-1 Immobilized on Biochar and Microbial Community Response. Front. Microbiol. 2023, 14, 1168902. [Google Scholar] [CrossRef] [PubMed]
- Verlicchi, P.; Zambello, E. Pharmaceuticals and Personal Care Products in Untreated and Treated Sewage Sludge: Occurrence and Environmental Risk in the Case of Application on Soil—A Critical Review. Sci. Total Environ. 2015, 538, 750–767. [Google Scholar] [CrossRef]
- Caliman, F.A.; Gavrilescu, M. Pharmaceuticals, Personal Care Products and Endocrine Disrupting Agents in the Environment—A Review. Clean 2009, 37, 277–303. [Google Scholar] [CrossRef]
- Gottschall, N.; Topp, E.; Metcalfe, C.; Edwards, M.; Payne, M.; Kleywegt, S.; Russell, P.; Lapen, D.R. Pharmaceutical and Personal Care Products in Groundwater, Subsurface Drainage, Soil, and Wheat Grain, Following a High Single Application of Municipal Biosolids to a Field. Chemosphere 2012, 87, 194–203. [Google Scholar] [CrossRef] [PubMed]
- Yang, Y.Y.; Gray, J.L.; Furlong, E.T.; Davis, J.G.; Revello, R.C.; Borch, T. Steroid Hormone Runoff from Agricultural Test Plots Applied with Municipal Biosolids. Environ. Sci. Technol. 2012, 46, 2746–2754. [Google Scholar] [CrossRef]
- Cheng, Z.; Zhang, C.; Jiang, W.; Zhai, W.; Gao, J.; Wang, P. Effects of the Presence of Triclocarban on the Degradation and Migration of Co-Occurring Pesticides in Soil. Environ. Pollut. 2022, 310, 119840. [Google Scholar] [CrossRef]
- Popoola, L.T.; Olawale, T.O.; Salami, L. A Review on the Fate and Effects of Contaminants in Biosolids Applied on Land: Hazards and Government Regulatory Policies. Heliyon 2023, 9, e19788. [Google Scholar] [CrossRef]
- Shao, Y.; Yang, K.; Jia, R.; Tian, C.; Zhu, Y. Degradation of Triclosan and Carbamazepine in Two Agricultural and Garden Soils with Different Textures Amended with Composted Sewage Sludge. Int. J. Environ. Res. Public Health 2018, 15, 2557. [Google Scholar] [CrossRef]
- Pérez, D.J.; Doucette, W.J.; Moore, M.T. Contaminants of Emerging Concern (CECs) in Zea Mays: Uptake, Translocation and Distribution Tissue Patterns over the Time and Its Relation with Physicochemical Properties and Plant Transpiration Rate. Chemosphere 2022, 288, 132480. [Google Scholar] [CrossRef]
- Madikizela, L.M.; Botha, T.L.; Kamika, I.; Msagati, T.A.M. Uptake, Occurrence, and Effects of Nonsteroidal Anti-Inflammatory Drugs and Analgesics in Plants and Edible Crops. J. Agric. Food Chem. 2022, 70, 34–45. [Google Scholar] [CrossRef] [PubMed]
- Christou, A.; Papadavid, G.; Dalias, P.; Fotopoulos, V.; Michael, C.; Bayona, J.M.; Piña, B.; Fatta-Kassinos, D. Ranking of Crop Plants According to Their Potential to Uptake and Accumulate Contaminants of Emerging Concern. Environ. Res. 2019, 170, 422–432. [Google Scholar] [CrossRef] [PubMed]
- Goldstein, M.; Shenker, M.; Chefetz, B. Insights into the Uptake Processes of Wastewater-Borne Pharmaceuticals by Vegetables. Environ. Sci. Technol. 2014, 48, 5593–5600. [Google Scholar] [CrossRef]
- Fu, J.; Li, S.; Yin, S.; Zhao, X.; Zhao, E.; Li, L. Comprehensive Effects of Acetamiprid Uptake and Translocation from Soil on Pak Choi and Lettuce at the Environmental Level. Pestic. Biochem. Physiol. 2024, 206, 106178. [Google Scholar] [CrossRef]
- Miller, E.L.; Nason, S.L.; Karthikeyan, K.G.; Pedersen, J.A. Root Uptake of Pharmaceuticals and Personal Care Product Ingredients. Environ. Sci. Technol. 2016, 50, 525–541. [Google Scholar] [CrossRef]
- Chen, X.; Li, Y.; Jiang, L.; Jiang, X.; Hu, B.; Wang, L.; Zhang, S.; Zhang, X. Uptake and Transport of Steroid Estrogens in Soil-Plant Systems and Their Dissipation in Rhizosphere: Influence Factors and Mechanisms. J. Hazard. Mater. 2022, 428, 128171. [Google Scholar] [CrossRef]
- Varjúová, D.; Staňová, A.V.; Grabicová, K.; Zakhar, R.; Bodík, I. Thermal Methods of Sludge Processing—Are They Suitable for Pharmaceuticals and Illicit Drugs Removal from Sewage Sludge? Biomass Convers. Biorefinery 2025, 15, 5247–5256. [Google Scholar] [CrossRef]
- Fu, Q.; Wu, X.; Ye, Q.; Ernst, F.; Gan, J. Biosolids Inhibit Bioavailability and Plant Uptake of Triclosan and Triclocarban. Water Res. 2016, 102, 117–124. [Google Scholar] [CrossRef]
- Shahmohamadloo, R.S.; Lissemore, L.; Prosser, R.S.; Sibley, P.K. Evaluating the Effects of Triclosan on 3 Field Crops Grown in 4 Formulations of Biosolids. Environ. Toxicol. Chem. 2017, 36, 1896–1908. [Google Scholar] [CrossRef] [PubMed]
- Kovacs, E.D.; Silaghi-Dumitrescu, L.; Kovacs, M.H.; Roman, C. Determination of the Uptake of Ibuprofen, Ketoprofen, and Diclofenac by Tomatoes, Radishes, and Lettuce by Gas Chromatography–Mass Spectrometry (GC–MS). Anal. Lett. 2021, 54, 314–330. [Google Scholar] [CrossRef]
- Durán-Álvarez, J.C.; Prado, B.; Ferroud, A.; Juayerk, N.; Jiménez-Cisneros, B. Sorption, Desorption and Displacement of Ibuprofen, Estrone, and 17β Estradiol in Wastewater Irrigated and Rainfed Agricultural Soils. Sci. Total Environ. 2014, 473–474, 189–198. [Google Scholar] [CrossRef]
- Wu, X.; Ernst, F.; Conkle, J.L.; Gan, J. Comparative Uptake and Translocation of Pharmaceutical and Personal Care Products (PPCPs) by Common Vegetables. Environ. Int. 2013, 60, 15–22. [Google Scholar] [CrossRef] [PubMed]
- Wei, H.; Tang, M.; Xu, X. Mechanism of Uptake, Accumulation, Transport, Metabolism and Phytotoxic Effects of Pharmaceuticals and Personal Care Products within Plants: A Review. Sci. Total Environ. 2023, 892, 164413. [Google Scholar] [CrossRef]
- Trapp, S.; Shi, J.; Zeng, L. Generic Model for Plant Uptake of Ionizable Pharmaceuticals and Personal Care Products. Environ. Toxicol. Chem. 2023, 42, 793–804. [Google Scholar] [CrossRef]
- Khalid, S.; Shahid, M.; Natasha; Bibi, I.; Sarwar, T.; Shah, A.H.; Niazi, N.K. A Review of Environmental Contamination and Health Risk Assessment of Wastewater Use for Crop Irrigation with a Focus on Low and High-Income Countries. Int. J. Environ. Res. Public Health 2018, 15, 895. [Google Scholar] [CrossRef]
- Sahrawat, K.L. Factors Affecting Nitrification in Soils. Commun. Soil. Sci. Plant Anal. 2008, 39, 1436–1446. [Google Scholar] [CrossRef]
- Wendeborn, S. The Chemistry, Biology, and Modulation of Ammonium Nitrification in Soil. Angew. Chem. Int. Ed. 2020, 59, 2182–2202. [Google Scholar] [CrossRef]
- European Commission. Commission Regulation (EU) 2025/158 of 29 January 2025 Amending Annex II to Regulation (EC) No 396/2005 of the European Parliament and of the Council as Regards Maximum Residue Levels for Acetamiprid in or on Certain Products; European Commission: Brussels, Belgium, 2025. [Google Scholar]
- European Commission. Commission Implementing Regulation (EU) 2024/1207 of 29 April 2024 Concerning the Non-Renewal of the Approval of the Active Substance Dimethomorph, in Accordance with Regulation (EC) No 1107/2009 of the European Parliament and of the Council, and Amending Commission Implementing Regulation (EU) No 540/2011; European Commission: Brussels, Belgium, 2024. [Google Scholar]
- Ghirardini, A.; Verlicchi, P. A Review of Selected Microcontaminants and Microorganisms in Land Runoff and Tile Drainage in Treated Sludge-Amended Soils. Sci. Total Environ. 2019, 655, 939–957. [Google Scholar] [CrossRef]
- Nang, S.; Mercl, F.; Košnář, Z.; Pierdonà, L.; Doležal, P.; Paul, C.S.; Tlustoš, P. Torrefaction of Sewage Sludge: An Approach to Nutrient Recycling and Contaminant Reduction in Agriculture. Environ. Res. 2025, 275, 121409. [Google Scholar] [CrossRef]
- Mercl, F.; Košnář, Z.; Maršík, P.; Vojtíšek, M.; Dušek, J.; Száková, J.; Tlustoš, P. Pyrolysis of Biosolids as an Effective Tool to Reduce the Uptake of Pharmaceuticals by Plants. J. Hazard. Mater. 2021, 405, 124278. [Google Scholar] [CrossRef]
- Agarwal, D.; Sharma, K.; Chaudhary, H.D.; Bhatt, U.; Soni, V. Comprehensive Insights into Triclosan: Environmental Sources, Plant Uptake, Metabolism, Phytotoxicity, and Food Safety Risks. Next Sustain. 2025, 6, 100147. [Google Scholar] [CrossRef]
- Fu, Q.; Sanganyado, E.; Ye, Q.; Gan, J. Meta-Analysis of Biosolid Effects on Persistence of Triclosan and Triclocarban in Soil. Environ. Pollut. 2016, 210, 137–144. [Google Scholar] [CrossRef] [PubMed]
- Nguyen, M.K.; Lin, C.; Nguyen, H.L.; Hung, N.T.Q.; La, D.D.; Nguyen, X.H.; Chang, S.W.; Chung, W.J.; Nguyen, D.D. Occurrence, Fate, and Potential Risk of Pharmaceutical Pollutants in Agriculture: Challenges and Environmentally Friendly Solutions. Sci. Total Environ. 2023, 899, 165323. [Google Scholar] [CrossRef] [PubMed]
- Petruzzelli, G.; Pezzarossa, B.; Pedron, F. The Fate of Chemical Contaminants in Soil with a View to Potential Risk to Human Health: A Review. Environments 2025, 12, 183. [Google Scholar] [CrossRef]



| Compounds Studied | Plants Studied | Treatment | Compounds in Tomato Fruits | Refs |
|---|---|---|---|---|
| Carbamazepine, 10,11-Epoxide-carbamazepine, Dihydroxy-carbamazepine | Tomato, lettuce, wheat | Composted biosolids | Carbamazepine, Dihydroxy-carbamazepine | [17] |
| Synthetic musks and UV filters | Tomato | Composted biosolids (spiked up to 500 ng/g) | 15 musks and UV filters, including tonalide & benzophenone | [21] |
| Carbamazepine, Diphenhydramine, Triclocarban | Pepper, tomato, collard, lettuce, radish | Spiked biosolids (100 ng/g) | Diphenhydramine, Triclocarban | [22] |
| 30 PFASs | Tomato | Biosolids | PFBA; PFPeA; PFHxA, PFOA | [23] |
| PFASs, PBDEs and Dechloranes | Spinach, tomato | Anaerobically digested thermally dried sludge | PFASs, PBDEs and Dechloranes | [24] |
| 12 PFASs | Lettuce, tomato, corn | Biosolids | PFBA, PFPeA, PFHxA, PFHpA, PFOA, PFBS, PFHxS | [27] |
| 118 PPCPs or PPCP TPs, 6 parabens, and 17 hormones or hormone TPs | Barley, carrot, potato, sweet corn, tomato | Dewatered municipal biosolids | Atenolol, DEET, Minocycline, Sulfamerazine, Testosterone, Trimethoprim | [28] |
| Triclosan and Triclocarban | Carrot, cucumber, tomato, green bell pepper | Dewatered anaerobically digested biosolids | Triclocarban | [29] |
| Abbreviation | Treatment | Addition of CEC |
|---|---|---|
| PC | Peat substrate (control) | - |
| P1 | Peat substrate + CEC | 0.3 mg/kg |
| P2 | Peat substrate + CEC | 3.5 mg/kg |
| SP1 | Peat substrate + 45 g of dried sludge | - |
| SP2 | Peat substrate + 545 g of dried sludge | - |
| SP3 | Peat substrate + 45 g of dried sludge + CEC | 0.3 mg/kg |
| SP4 | Peat substrate + 545 g of dried sludge + CEC | 3.5 mg/kg |
| SP5 | Peat substrate + Anaerobically digested sludge (1:1, w/w) | - |
Disclaimer/Publisher’s Note: The statements, opinions and data contained in all publications are solely those of the individual author(s) and contributor(s) and not of MDPI and/or the editor(s). MDPI and/or the editor(s) disclaim responsibility for any injury to people or property resulting from any ideas, methods, instructions or products referred to in the content. |
© 2025 by the authors. Licensee MDPI, Basel, Switzerland. This article is an open access article distributed under the terms and conditions of the Creative Commons Attribution (CC BY) license (https://creativecommons.org/licenses/by/4.0/).
Share and Cite
Andreasidou, E.; Kovačič, A.; Manzano-Sánchez, L.; Heath, D.; Pintar, M.; Kacjan Maršič, N.; Blaznik, U.; Rodríguez Fernández-Alba, A.; Hernando, M.D.; Heath, E. Contaminants of Emerging Concern in Tomatoes Grown in Sludge-Amended Peat: Uptake, Translocation and Risk Assessment. Toxics 2025, 13, 1013. https://doi.org/10.3390/toxics13121013
Andreasidou E, Kovačič A, Manzano-Sánchez L, Heath D, Pintar M, Kacjan Maršič N, Blaznik U, Rodríguez Fernández-Alba A, Hernando MD, Heath E. Contaminants of Emerging Concern in Tomatoes Grown in Sludge-Amended Peat: Uptake, Translocation and Risk Assessment. Toxics. 2025; 13(12):1013. https://doi.org/10.3390/toxics13121013
Chicago/Turabian StyleAndreasidou, Eirini, Ana Kovačič, Lorena Manzano-Sánchez, David Heath, Marina Pintar, Nina Kacjan Maršič, Urška Blaznik, Amadeo Rodríguez Fernández-Alba, Maria Dolores Hernando, and Ester Heath. 2025. "Contaminants of Emerging Concern in Tomatoes Grown in Sludge-Amended Peat: Uptake, Translocation and Risk Assessment" Toxics 13, no. 12: 1013. https://doi.org/10.3390/toxics13121013
APA StyleAndreasidou, E., Kovačič, A., Manzano-Sánchez, L., Heath, D., Pintar, M., Kacjan Maršič, N., Blaznik, U., Rodríguez Fernández-Alba, A., Hernando, M. D., & Heath, E. (2025). Contaminants of Emerging Concern in Tomatoes Grown in Sludge-Amended Peat: Uptake, Translocation and Risk Assessment. Toxics, 13(12), 1013. https://doi.org/10.3390/toxics13121013

