Abstract
Despite the widespread use of dithiocarbamate fungicides such as maneb, mancozeb, metiram, propineb, thiram, and ziram detected, according to EU legislation, via common degradation product carbon disulfide (CS2), recent and comprehensive reviews on analytical methods for their determination in plant-based foods are lacking. Given the well-documented toxicity shown by the experimental model for these pesticides, including neurotoxicity and endocrine disruption, harmonized and reliable analytical protocols are crucial for food safety monitoring and regulatory compliance. Dithiocarbamates, beyond CS2 release, have been associated with immunotoxicity, thyroid dysfunction, and potential carcinogenicity, raising further concern regarding chronic dietary exposure. Their metabolites may disrupt enzymatic activity and oxidative balance, enhancing systemic toxicity. Early methods, had limited sensitivity, poor reproducibility, and relied on hazardous solvents, reducing practical value. Although later advancements improved detection limits, modern procedures, including those proposed by the European Union Reference Laboratory (EURL), still show limitations. The EURL-recommended protocol involves acid hydrolysis using concentrated HCl, extraction with isooctane, heating to 85 °C, and rapid ice-bath cooling, which poses environmental concerns. Recovery efficiency remains inconsistent in some cases, and reproducibility within commodity groups is poor. This review discusses the status of methods for determining dithiocarbamates as individual compounds and via CS2 moiety.
1. Introduction
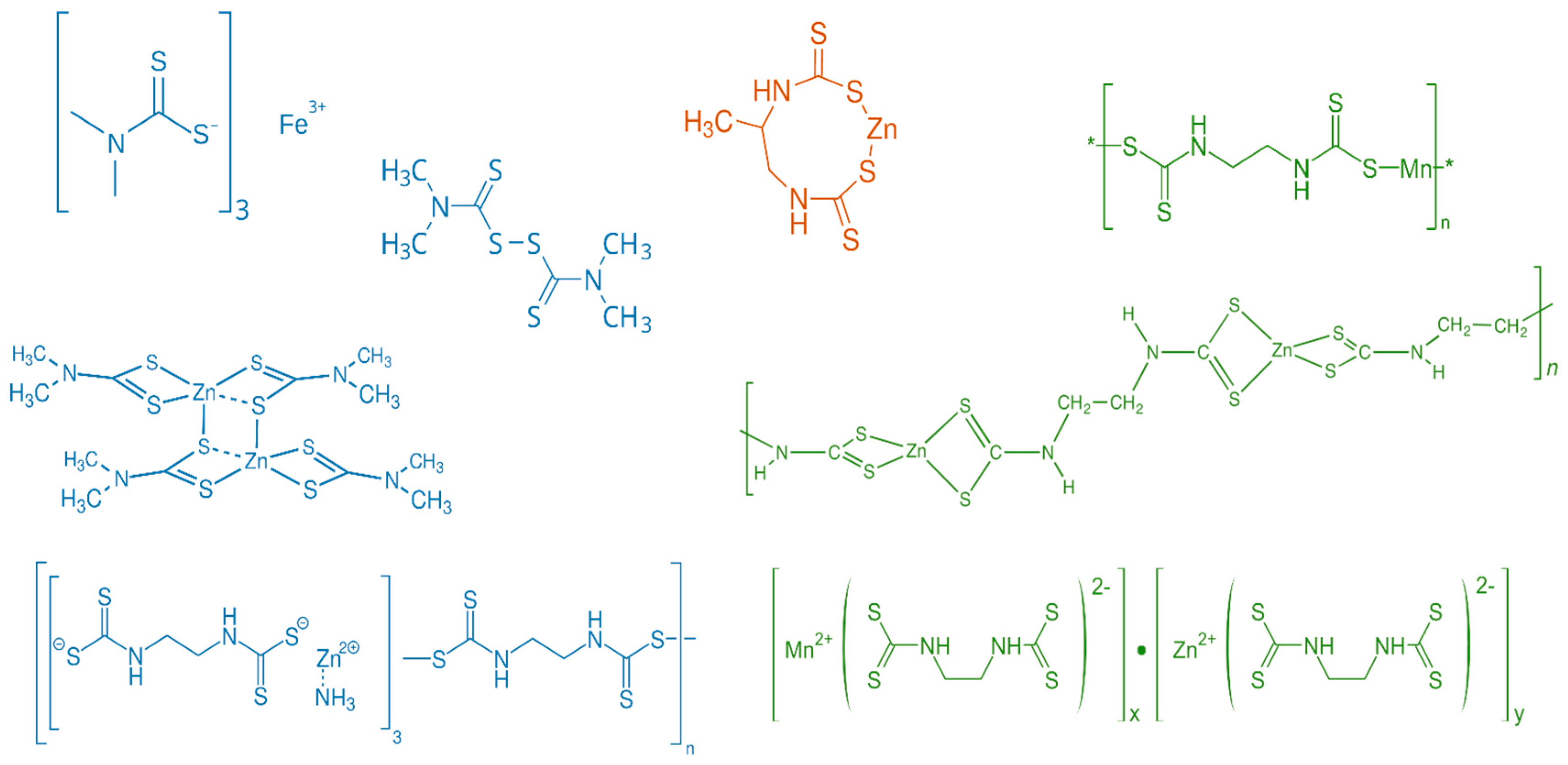
Dithiocarbamates (DTCs) are synthetic organosulfur compounds allocated among the classes of fungicides most widely used in agriculture, mainly due to their cost-effectiveness and broad-spectrum activity. Compounds such as mancozeb, maneb, thiram, ziram, and propineb are routinely applied to fruits and vegetables to control fungal pathogens. However, their intensive application has raised serious concerns due to the persistence of residues in food commodities and the consequent risks for humans and the environment. Due to their chemical structure, DTCs can be allocated in three different categories: Dimethyl-dithiocarbamates (DMDCs), Ethylene-bis-dithiocarbamates (EBDCs), and Propylene-bis-dithiocarbamates (PBDCs) (Figure 1) [1].
Figure 1.
Chemical structure of different fungicide (dithiocarbamates): DMDCs (blue), from top to bottom, Ferbam, Thiram, Ziram, and Metiram; PBDCs (orange), Propineb; EBDCs (green), from (top) to (bottom) Maneb, Zineb, and Mancozeb.
Ferbam, thiram, and ziram are examples of DMDCs. Ferbam and ziram are metal salts, iron, and zinc, respectively, of the dimethyldithiocarbamate anion, while thiram is an oxidized disulfide dimer of DMDC and does not contain any metal ions. These compounds are more soluble in organic solvents compared to other DTCs. Propineb, the sole PBDC, is a zinc salt of propylenebisdithiocarbamate, structurally distinguished by a propylene bridge linking two dithiocarbamate groups, which contributes to its polymeric nature and limited solubility [1]. EBDCs, including maneb, zineb, and mancozeb, are metal salts of ethylenebisdithiocarbamate, with maneb and zineb as the manganese and zinc salts, respectively, and mancozeb, which chelates a mixture of both metal ions. EBDCs and PBDCs are typically polymeric, poorly soluble, and degrade into more toxic metabolites like ethylene thiourea (ETU) and propylene thiourea (PTU), which have significant toxicological concerns (Figure 2). These structural and chemical differences affect not only their application and persistence in the environment but also the analytical approaches needed to detect them and assess dietary exposure risks [2].
Figure 2.
Ethylene thiourea (ETU) and propylene thiourea (PTU), toxic metabolites of EBDCs and PBDCs, respectively.
Dithiocarbamates have been developed since 1931, when a first patent, claiming several disinfectants useful as bactericides, microbicide, and fungicide, including thiram (Dimethylcarbamothioic dithioperoxyanhydride) among others, was filed in the USA [3]. In 1934, the patent was granted, leading to the widespread production and commercialization, and the subsequent development, of these products for protecting crops. After the successful commercialization of thiram, due to its high efficiency and low toxicity, many other dithiocarbamates have been developed and commercialized as fungicides, such as the EBDCs, Maneb and Zineb, and the SMDCs, Ferbam and Ziram, in 1976 [4,5].
In 1977, the use of Propineb as a fungicide was first evaluated by the Joint FAO/WHO Meeting on Pesticide Residues (JMPR), and after further evaluations conducted in 1984, 1985, and 1993, it was finally approved in 2004. Its approval, however, was not renewed in 2018, causing the withdrawal of this compound from the list of active ingredients authorized in Europe [6]. As of today, other previously authorized DTCs have been phased out by the European Commission, even though they are still present in the MRL specification for dithiocarbamates, which includes Maneb, Mancozeb, Metiram, Thiram, Propineb, and Ziram in the legal complex definition. Among these fungicides, only Ziram is still approved in the EU, with an approval expiry date of 31 January 2027; however, even this dithiocarbamate is as of today a candidate for substitution [7]. Maneb was withdrawn in 2017 because no supplementary dossiers were submitted to support its renewal [8]. The authorization of Mancozeb was not renewed in 2020, with a grace period for use until January 2022 [9]. Metiram authorization was not renewed in 2023, with the possibility to use the existing stocks of the product until November 2024 [10]. Production, use, and sale of seeds treated with thiram, were finally prohibited in 2018 following the non-renewal of the approval for this chemical [11].
The MRL established by the EU refers to the levels of carbon disulfide (CS2) developed through the dithiocarbamates degradation, so it is impossible to attribute the CS2 levels developed to one fungicide or another. Moreover, the EU maintains a tolerance level for CS2, which could be generated by different fungicides, and continuously reviews and updates MRLs to reflect new scientific knowledge changes in pesticide authorizations, and alerts concerning the presence of pesticide residues in food products, taking into due account the principles of prevention and international trade considerations. The effect of the recent bans on different dithiocarbamates in Europe is evident through the trend of the volume of patent registrations in Europe linked to the two keywords “fungicide” and “dithiocarbamates” over time (Figure 3).
Figure 3.
Patent trend of dithiocarbamates use as fungicides over the years in Europe (Lens.Org).
The patent trend shows that the peak of registrations was observed in 2015, with a constant growth since 2007, and production remained stable until 2020. In this period, novel formulations, combinations, and application methods have been developed, improving the stability of DTCs, enhancing their efficacy through synergistic mixtures with other active ingredients (e.g., dimethomorph and fosetyl-aluminum), reducing their environmental impact (e.g., improved dust-free formulations), and exploring new delivery systems [12,13,14,15].
The European Union’s commitment to safeguarding public health and environmental integrity is thus to maintain its rigorous approach to defining and updating the Maximum Residue Levels (MRLs) for dithiocarbamate fungicides. While the period between 2005 and 2015 witnessed a surge in the commercialization and patenting of new dithiocarbamate formulations, reflecting efforts to enhance efficacy and extend product life, this trend has been met with an increasingly stringent regulatory landscape. The subsequent phase-out of several key dithiocarbamates, including Propineb, Maneb, Mancozeb, Metiram, and thiram, is a direct consequence of the EU’s hazard-based assessment framework, in which the substances posing unacceptable risks to human and environmental health registration was withdrawn. Despite these withdrawals, the continued presence and dynamic adjustment of MRLs, expressed as the common analytical moiety CS2, remain critically important [16].
This ongoing regulatory activity serves multiple vital purposes: it addresses the complexities of analytical detection, manages legacy residues in the environment, and crucially navigates the intricacies of international trade by setting import tolerances for produce from non-EU countries where these substances may still be legally used. Furthermore, the evolving understanding of naturally occurring CS2 in some crops, e.g., Brassica, necessitates continuous MRL updates to ensure accurate monitoring and fair trade [17]. Thus, the EU Commission’s persistent efforts to set and update MRLs are not merely administrative tasks. They represent a fundamental pillar of consumer protection, a commitment to environmental stewardship, and a strategic response to the globalized nature of food supply, ensuring that only food deemed safe for all European consumers reaches their tables, regardless of its origin. This dynamic regulatory process is essential for maintaining the integrity of the EU food chain in an ever-changing agricultural and chemical landscape.
While earlier reviews such as that by Malik and Faubel in 1999 and Crnogorac and Schwack in 2008 provided an extensive overview of classical methods, including spectrophotometric, chromatographic, and polarographic techniques, subsequent methodological advances, particularly after 1999, have aimed to address limitations related to sensitivity, matrix effects, and reproducibility [18,19]. Despite these developments, several challenges persist, particularly in achieving selectivity among different DTCs using CS2-based indirect analysis, avoiding matrix-induced overestimation, and ensuring safety and environmental compatibility of analytical procedures.
This review aims to critically assess the evolution of analytical methods for the determination of dithiocarbamates in fruits and vegetables since 1999, with a particular emphasis on indirect CS2-based detection, in line with current EU legislation. Key developments in sample preparation, instrumental techniques, validation approaches, and matrix-specific adjustments will be evaluated, highlighting both advancements and existing methodological gaps.
2. Material and Methods
For the present literature review, references were retrieved from the Web of Science and Scopus databases. The selection was limited to research articles, patents, public institutions dithiocarbamates monitoring reports, and review papers published in peer-reviewed journals. Reports and publications from the European Food Safety Authority (EFSA), World Health Organization (WHO), International Agency for Research on Cancer (IARC), U.S. Environmental Protection Agency (EPA), and regulations of European Commission were also included in our consultation. For the patent analysis, two different databases were considered, Lens.org and the World Patent Office Database (WIPO), using the keyword “dithiocarbamate” for the research and removing the redundant results due to plural family members. Non-relevant patents have been removed manually. The search for non-patent research on analytical method collection focused on analytical methods specifically used and developed in the last 25 years (from 2000 to 2025) for the detection of dithiocarbamate in vegetables, fruit, and/or cereals to enable a follow-up on the evolution and trends over this period. Titles, abstracts, and keywords were manually screened to eliminate non-relevant publications.
In addition to the broader 25-year collection, particular attention was given to analytical methods documented in the primary literature over the last 5 years. For the determination of total dithiocarbamates via CS2 release, recent studies have explored a variety of instrumental approaches. Optical techniques, such as in situ Vis–NIR reflectance, have been investigated for direct monitoring [20], while chromatographic methods, including GC–MS, GC–ECD, and GC coupled to advanced detectors (ITD-MS, PFPD), have been widely applied [21,22,23,24,25]. More recently, innovative alternatives such as LC coupled with liquid electrode glow discharge–dielectric barrier discharge molecular emission spectrometry (LEGD–DBD–MES) and HPLC–MS/MS have been introduced, expanding the sensitivity and selectivity of CS2-based determination [26,27]. In parallel, research on the direct quantification of individual dithiocarbamates, without the need for CS2 release, has gained increasing attention. Spectroscopic methods such as UV–Vis, Raman, and surface-enhanced Raman spectroscopy have been frequently applied, often in combination with nanomaterials (e.g., gold or silver nanoparticles) to improve detection limits [28,29,30,31]. Fluorescence-based probes, including ratiometric and dual-mode colorimetric/fluorescent systems, have also been developed for specific analytes [32,33]. Chromatographic strategies remain highly relevant, with recent advances in HPLC coupled to tandem MS, ICP–MS, or novel detectors enhancing the capability to quantify multiple dithiocarbamates and their metabolites with high accuracy [34,35]. Collectively, these developments illustrate a diversification of methodologies, with both advanced chromatographic platforms and innovative spectroscopic/nanomaterial-based techniques driving the evolution of dithiocarbamate analysis in the most recent literature.
3. Dithiocarbamates Toxicological Profile
Dithiocarbamates are organosulfur compounds characterized by their ability to chelate different metal ions, including them in their structure as coordination atom (Zn, Fe, Mn, Na), except for Thiram. Although coordination with these metal ions is crucial for the efficiency of dithiocarbamate, in the last 10 years many concerns regarding their toxicological profiles have led to increasing scrutiny, particularly in relation to their long-term health effects and environmental persistence [36].
Thiram has been used extensively as a fungicide in seed treatment to control fungi that cause damping-off in seedlings and to control seedling blights and in foliar treatment on different fruits, vegetables, and ornamentals to control Botrytis species, rust, scab, and storage diseases [37]. It displays moderate acute toxicity in mammals, with oral LD50 values in rats ranging between 210 and 2000 mg/kg [38]. Dermal exposure can result in local irritation and sensitization. In terms of dietary exposure to crops contaminated with thiram, it is important to focus on sub-chronic and chronic studies, which have shown frequent hepatic and renal alteration as well as potential neurotoxicity [39]. Rats fed 52 to 67 mg/kg/day for 80 weeks exhibited hair loss, paralysis, and atrophy, while symptoms of muscle incoordination and paralysis from thiram poisoning have been shown to be associated with the degeneration of nerves in the lower lumbar and pelvic regions [40]. Repeated or prolonged exposure to thiram can cause allergic reactions such as dermatitis, watery eyes, sensitivity to light, and conjunctivitis [38]. Thiram inhibits aldehyde dehydrogenase, leading to a disulfiram-like effect in humans who consume alcohol after exposure, a reaction characterized by nausea, vomiting, and cardiovascular disturbances [41]. In developmental studies, high doses of thiram produced delayed ossification and other fetal abnormalities in rodents, although these effects were generally secondary to maternal toxicity [42].
Metiram is a zinc-containing EBDC fungicide structurally related to mancozeb and zineb. It exhibits low acute toxicity, with oral LD50 values in rats exceeding 6000 mg/kg [43]. However, its toxicological concern arises primarily from its degradation product, ethylene thiourea (ETU) (see ETU paragraph). In animal studies, chronic exposure to Metiram has resulted in thyroid enlargement, disrupted thyroid hormone homeostasis, and developmental abnormalities such as delayed ossification and reduced fetal weight. Though less extensively studied than maneb or mancozeb, Metiram’s shared metabolic pathway and toxic breakdown products indicate a similar risk profile, particularly regarding endocrine and developmental effects [42].
Zineb, a zinc-based EBDC, has low acute toxicity, with oral LD50 values in mammals between 1850 and 8900 mg/kg. However, sub-chronic exposure has been associated with histopathological changes in the thyroid gland and alterations in serum thyroid hormone levels, likely due to its interference with iodine uptake [44]. Also, Zineb is also a source of ethylene thiourea (ETU). Chronic feeding studies in rodents have suggested potential for thyroid and liver tumors, although the data are not still sufficiently robust for definitive carcinogenic classification [45].
Ziram, a zinc dimethyl dithiocarbamate, shares many toxicological features with thiram. It has a lower oral LD50, typically in the range of 400–480 mg/kg in mice and rabbits and causes severe eye and skin irritation upon contact [46]. Of growing toxicological interest is ziram’s potential neurotoxicity, characterized by its potential implication in dopaminergic neuron toxicity, possibly by interfering with ubiquitin-proteasome pathways and mitochondrial function, mechanisms that are also implicated in Parkinson’s disease [47]. Chronic exposure in animals has resulted in testicular atrophy, hepatic necrosis, and thyroid hyperplasia, suggesting that multiple organ systems are susceptible to its toxic effects [48].
Ferbam, a ferric dithiocarbamate, has a relatively low acute toxicity profile, but repeated exposure in animals is associated with hematological effects, particularly hemolytic anemia, and thyroid gland disturbances. Like other DTCs, its chronic toxic effects are partly attributable to ETU formation. Although some animal studies have shown increased incidence of thyroid tumors after prolonged exposure to ferbam, evidence of direct genotoxicity is lacking [42]. Ferbam can also induce skin sensitization in exposed workers, raising occupational safety concerns [49].
Propineb, structurally similar to zineb but based on a propylene diamine backbone, is commonly used on solanaceous crops. It has low acute toxicity, with oral LD50 values exceeding 5000 mg/kg in rats. This compound exhibits, in the experimental model, developmental toxicity at high doses, including skeletal abnormalities and reduced fetal body weight [50]. It also affects thyroid hormone levels and can induce hypertrophy of the thyroid gland. Chronic exposure studies indicate that the liver and hematopoietic system are additional targets of toxicity [51]. Propineb is of concern not only for its own toxicity but also because it is a source of PTU. The European Food Safety Authority’s peer-review of propineb shows that the active substance degrades extensively under hydrolytic conditions, forming PTU as a major product which causes, in the experimental model, endocrine-mediated adverse effects on the thyroid [51].
Mancozeb is a coordination product of zinc and manganese with ethylene bis(dithiocarbamate). While mancozeb’s acute toxicity is low, its chronic toxicity profile is more concerning. Repeated exposure in laboratory animals has led to thyroid follicular cell hyperplasia and neoplasia [52]. It is also a significant source of ETU, and there is also evidence that mancozeb could impair reproductive function, alter neurotransmitter levels, and affect neurodevelopment in animals [41].
Maneb, a manganese-based EBDC similar to mancozeb, has been extensively used in the cultivation of bananas, potatoes, and other crops. Like mancozeb, it degrades to ETU, thereby sharing its thyroid-disruptive properties. In developmental studies, maneb exposure was associated with delayed ossification, low fetal weights, and other signs of embryotoxicity [53]. Co-exposure to maneb and paraquat has been shown to produce dopaminergic neurodegeneration in animal models, mimicking features of Parkinson’s disease [54].
Overall, while acute toxicity of dithiocarbamates is generally low, chronic exposure studies show a range of risks, especially involving the thyroid gland, liver, reproductive system, and central nervous system. The common metabolite ETU represents a significant toxicological concern: ETU is primarily a metabolite of ethylene-bis-DTCs and can be present also as metabolite of other DTCs. For this reason, regulatory assessments of DTC fungicides often focus as much on ETU than on the parent compounds themselves. Its main toxicological effect is the inhibition of thyroid hormone synthesis, which induces a compensatory increase in TSH and can lead to goiter. This effect has been reported in the literature only once, in Bulgarian workers [55]. Persistent TSH stimulation may also increase the risk of thyroid neoplasms. Consequently, ETU was initially classified as Group 2B by IARC [56]. In 2001, however, it was reclassified into Group 3 (not classifiable as to its carcinogenicity to humans). The reclassification was based on the absence of evidence for genotoxicity, indicating a non-genotoxic mechanism of carcinogenesis, and on the fact that adverse effects were observed only in rodents at high experimental doses [45]. Concerns remain regarding teratogenic effects, observed in rodents at particularly high doses. Similar effects have been attributed to PTU, again at exposure levels unlikely to occur under typical occupational conditions or through dietary intake of residues.
Summarizing the data specifically discussed in the present paragraph, DTCs generally exhibit low acute toxicity, chronic and long-term effects, with particular focus on their metabolites: ETU, PTU, and CS2. Carbon disulfide is produced as a metabolite by nearly all DTCs; however, the conversion, ranging from 10 to 40% of the absorbed dose, makes the occurrence of the toxic effects in exposed populations highly unlikely [42].
ETU is primarily a metabolite of EBDTCs. Its main toxicological effect is the inhibition of thyroid hormone synthesis, which induces a compensatory increase in TSH and can lead to goiter. This effect has been reported in the literature only once, in Bulgarian worker [55]. Persistent TSH stimulation may also increase the risk of thyroid neoplasm. ETU is of concern also due to its teratogenic effects, observed in rodents in particularly high doses. Similar effects have been attributed to PTU, even if at exposure levels are unlikely to occur under typical occupational conditions or through dietary intakes of residues. A summary of the toxicological profiles of some DTCs and their main metabolites is provided in Table 1.
Table 1.
Toxicological profile of DTCs and relative main metabolites.
4. Analytical Methods for Dithiocarbamates
Dithiocarbamates are well known to degrade into carbon disulfide (CS2) under acidic conditions, a volatile compound that serves as the primary marker for their detection in regulatory monitoring. The toxicological relevance of CS2 and its parent compounds has prompted strict regulatory controls, particularly within the European Union. Under Commission Regulation (EU) 2017/171, the determination of DTC residues is mandated as a summation expressed in terms of CS2, encompassing various active substances, including mancozeb, maneb, metiram, propineb, thiram, and ziram [59]. This regulatory requirement has shifted analytical efforts toward robust, harmonized methods that prioritize the reliable quantification of CS2 as a proxy for the total dithiocarbamate content.
Over the last decade, two recent reviews, by Chung in 2022 and Campanale in 2023, have provided valuable contributions to the current understanding of DTCs, particularly in relation to their environmental fate, toxicological relevance, and analytical challenges. However, since the publication of those reviews, several key developments, both in regulatory methodology and analytical technique, have occurred, which now necessitate an updated, more comprehensive synthesis of available data and techniques [2,60]. One of the most critical advances has been the revision of the official EU Single Residue Method (SRM) for DTCs by the European Union Reference Laboratory (EURL). Between late 2023 and 2024, this method underwent several updates (Versions 3.0 through 3.2), introducing important changes to cleavage conditions, GC-MS/MS parameters, hydrolysis reagent composition, and calibration standards. These updates are central to the analytical detection of DTCs in plant-based foods and directly affect the performance, specificity, and comparability of results across laboratories [61].
Chung, in 2022, recognizes the fundamental limitation of CS2-based indirect methods, which is their inability to distinguish between specific DTC compounds; this recognition is, however, not followed by a systematic evaluation of recovery rates, limits of quantification (LOQs), or matrix-dependent variability. Similarly, Campanale, in 2023, offers an overview of DTC properties and environmental toxicity but does not substantively engage with the analytical challenges posed by individual compounds such as ziram, metiram, and propineb, which, even under revised EURL methods, still demonstrate recoveries equal to or lower than 50% [2,60,61].
Another critical shortcoming of the earlier literature is the continued reliance on hot acid digestion methods for CS2 determination, first developed by Clarke et al. in the early 1950s [62], despite well-documented issues with false positives in certain plant matrices (e.g., Brassica species and fruits like papaya), which naturally contain sulfur-containing compounds that yield CS2 under acid hydrolysis [63]. While Chung touches on this issue and briefly mentions alternative chromatographic approaches for individual DTCs, there is no holistic comparison of direct vs. indirect methods that consider both analytical performance and toxicological relevance. Moreover, the need for a more comprehensive analytical approach for ethylene thiourea (ETU) is critical due to its toxicological properties. In 2021, the U.S. National Toxicology Program reclassified ETU as a “Reasonably Anticipated Human Carcinogen.” This reclassification, along with ongoing reassessments of acceptable daily intakes (ADIs) for DTCs and their metabolites by the European Food Safety Authority (EFSA), highlights the urgent need for reliable, compound-specific residue monitoring [64].
Veiga-del-Bano et al., in 2023, conducted a bibliometric analysis of 374 publications on dithiocarbamate fungicides in the food sector (2012–2021), identified a 32% decline in scientific output over the last two years, spotlighted leading journals, countries, and institutions, and highlighted emerging research trends, such as focusing on specific fungicides (like mancozeb, thiram, and maneb), their metabolites, and a shift toward HPLC over traditional GC-based analytical methods [65]. In 2025, Martins et al. finally presented a valuable overview of carbamate and dithiocarbamate analysis in food. The review is broad in scope and not specific to dithiocarbamates, with limited critical evaluation of emerging techniques [66].
However, a significant gap remains: the connection between these toxicological findings and method validation data is not fully explored, leaving a fragmented picture for regulators and laboratories. A more complete analytical approach is necessary to bridge this gap and provide a clearer understanding of the risks associated with ETU.
The present review aims to provide a comprehensive, methodologically integrated, and practically oriented update on the last twenty-five years’ analysis of dithiocarbamates in plant-based food, incorporating and critically assessing the changes introduced in EURL-SRM versions 3.0 to 3.2, providing a comparative analysis of performance parameters (recovery, LOQ, matrix effects) for both indirect CS2-based methods and direct detection of single DTC compounds, and discussing the specific challenges associated with compounds like ziram, metiram, and propineb, which remain problematic despite method revisions.
4.1. Analytical Methods Involving the Development of CS2
Since the earliest investigations into DTCs residues, dating as far back as the 1940s, analytical methodologies have predominantly relied on the indirect determination of DTCs through the measurement of carbon disulfide (CS2) generated by acid hydrolysis. This approach rapidly became the standard due to its relative simplicity and its suitability for detecting a broad range of structurally diverse DTCs as a collective class. Even today, this methodology remains the reference approach in most regulatory frameworks, including the European Union, where Commission Regulation (EU) 2017/171 of January 2017 explicitly stipulates the quantification of DTC residues as the sum of CS2 (developed after breaking down of Maneb, Mancozeb, Metiram, Propineb, Thiram, and Ziram) released under specific acidic hydrolysis conditions [59]. The standardization around CS2 development has thus shaped the landscape of DTC analytical chemistry for over half a century.
Historically, and especially prior to 2005, the most widely adopted analytical protocols were based on modifications of the Cullen method, a foundational technique involving the production of CS2 under strongly acidic conditions and high temperature, the subsequent adsorption into an ethanol solution, and the colorimetric detection after the formation of a yellow chelate through the reaction of CS2 developed with Cu2+ and an alkylamine. The process is usually conducted in a horizontal system with an in-series double trap in order to improve efficiency and safety [67]. This method saw widespread application in routine monitoring, often in modified forms promoted by Keppel, who first introduced a reducing agent, SnCl2, before the treatment with hot acid, and a lead acetate solution to remove H2S and other interference, increasing the recovery of the DTC; and Caldas adaptations, by a vertical distillation system which offered operational flexibility and improved safety and reproducibility [68,69]. These protocols were well suited for batch processing and accommodated the relatively low technical sophistication available in early residue laboratories.
Detection of CS2 in this period typically relied on colorimetric techniques, particularly UV-Vis spectrophotometry, following derivatization [17,70,71,72,73,74,75]. While cost-effective and simple, these methods were affected by low specificity, limited sensitivity, and high susceptibility to matrix interferences, making them less reliable for trace analysis or complex sample matrices. They also often lacked rigorous calibration standards, which led to challenges in quantifying low-level residues accurately, especially near maximum residue limits (MRLs) [76,77].
In the years following 2005, analytical capabilities improved significantly with the increasing accessibility and routine use of gas chromatography coupled with mass spectrometry (GC-MS). This shift enabled greater sensitivity, selectivity, and quantification accuracy, allowing for robust identification and confirmation of CS2, even in trace concentrations, with limit of qualification (LOQ) lower than 0.05 mg/kg in some cases [78,79].
In addition to MS, other detectors such as flame photometric detectors (FPD) and electron capture detectors (ECD) have also been utilized for CS2, particularly in cases where instrumentation constraints or cost considerations limited MS deployment [80]. These newer GC-based methods represented a significant advance over classical colorimetric protocols, enhancing both analytical confidence and regulatory compliance.
Despite the dominance of GC-based techniques, a limited number of methods have explored liquid chromatography (LC or HPLC) for CS2 detection. The earlier literature described analytical methods for carbon disulfide determination based on derivatization with 1,2-benzenedithiol to form 1,3-benzodithiole-2-thione, followed by separation and quantification using reversed-phase liquid chromatography with UV detection [81]. This cyclocondensation approach, developed in the late 20th century, was widely applied for thiocarbonyl and dithiocarbamate analysis due to the stability and strong chromophore of the derivative. However, no updated or validated applications of this derivatization-HPLC method for direct CS2 measurement have been reported in the scientific literature since the early 2000s, and in the last two decades, this approach has remained uncommon.
A few niche methods, finally, have attempted detection via DBS-MES detectors or IR, yet these remain isolated and have not entered routine regulatory or monitoring use [82,83].
While the analytical determination of dithiocarbamates through the release and quantification of carbon disulfide has provided a pragmatic and standardized solution for residue monitoring over the past several decades, this approach is not without its critical limitations. In particular, the lack of chemical specificity: all dithiocarbamates, regardless of their structure, release the same degradation product under acid hydrolysis conditions, thereby having the intrinsically impossibility to identify the original active substance and making it impossible to distinguish between different DTCs, such as mancozeb, thiram, ziram, or propineb, despite their distinct toxicological profiles and environmental behaviors. This analytical ambiguity carries important implications for risk assessment and toxicological evaluation. Each dithiocarbamate possesses unique degradation products, including toxic metabolites such as ethylene thiourea (ETU) and propylene thiourea (PTU), and may exhibit synergistic or additive effects when co-occurring with other residues. By collapsing all DTC residues into a single, non-specific CS2 value, current regulatory methods underestimate the complexity of potential health risks and obscure the contribution of individual compounds to cumulative exposure.
In situ detection of CS2 has gained attention as a rapid, low-cost alternative to laboratory-based analysis, with techniques such sensor arrays emerging as promising solutions. These methods aim to minimize sample transport and preparation, enabling near-real-time monitoring of dithiocarbamate residues in agricultural fields or food processing environments. Portable electrochemical sensors, photoionization detectors, and fiber-optic probes have been developed for CS2 quantification, often with detection limits in the low parts-per-billion range [20]. However, while these in situ platforms offer valuable screening potential, they currently lack the selectivity and reproducibility required for official control programs. Matrix effects, calibration drift, and environmental variability remain major challenges, limiting their utility for legal enforcement or trade dispute resolution. Future integration of in situ methods with confirmatory LC-MS/MS workflows could provide a tiered approach, where field-deployable devices support rapid risk assessment and targeted sampling, while laboratory methods deliver legally defensible results.
In this context, regulatory risk assessment remains inherently conservative, often assuming worst-case scenarios based on arbitrary conversion factors or assumptions of compound identity, which can lead to both over and underestimation of actual toxicological risks. The indirect analytical methods, which involve the determination of CS2, are not only unspecific to individual compounds but also poses environmental and safety risks due to the significant amount of organic solvent, mainly iso-octane, and the use of large quantities of concentrated HCl. Furthermore, heating the mixture at high temperatures to facilitate the reaction introduces a safety hazard to manage. In Table 2, the methods involving the hydrolysis of dithiocarbamates and their detection as CS2 are reported. In this section, only main information concerning the methods is reported; the detailed information, comprised LOQ and Recovery ranges, for each method is reported in Table S2.
Table 2.
Methods reported in the literature from 2000 to 2025, involving the formation of CS2 for dithiocarbamate quantitative determination (for details on methods see Table S1).
Table 2 provides an overview, with further details in Supplementary Table S1, of all the literature-reported methods involving the determination of dithiocarbamates (DTCs) via their hydrolysis and the subsequent analysis of the carbon disulfide (CS2) released during this process. The column titled “Standard Used” refers to the reference compound employed by the authors to monitor the hydrolysis reaction and the corresponding formation of CS2. As can be observed, in several cases, such as method 6, no standard was used, resulting in a lack of information regarding the percentage of hydrolysis and, consequently, the precision of the method. In other instances, CS2 itself was used as an internal standard, e.g., method 7, which again provides no insight into the completeness of the hydrolysis reaction. In some methods, Thiram was employed as the sole internal standard, e.g., method 1. However, given that Thiram exhibits the highest hydrolysis efficiency among DTCs, as documented in the EURL Single Residue Method (SRM), Version 3.2 (2024) [61], its use does not allow for meaningful conclusions regarding the hydrolysis efficiency of other DTCs. This is particularly relevant for compounds like Ziram, Propineb, and Metiram, which are known to exhibit significantly lower conversion rates and poorer recovery following hydrolysis.
The graph reported in Figure 4 shows the evolution of publications concerning determination of DTCs without involving their hydrolysis and subsequently CS2 formation.
Figure 4.
Publication trend from 2000 to 2025 on analytical methods published concerning the determination of dithiocarbamates after their hydrolysis and subsequent formation of CS2.
The graph illustrates the evolution of publications concerning analytical methods used for the determination of DTCs as CS2 from 2000 to 2025. Overall, there has been a gradual decline in the total number of methods published during this 25-year period, indicating a shift away from development of these kinds of methods. Notably, spectrophotometric techniques, which dominated early in the 2000–2005 period with 13 reported methods, have sharply decreased in relevance due to their limited specificity, susceptibility to matrix interferences, and lack of regulatory robustness. In contrast, gas chromatography-based methods, especially GC-MS, have taken the lead in analytical development. Starting modestly in the early 2000s, GC-MS methods have progressively become the preferred approach due to their superior sensitivity, compound confirmation capabilities, and reproducibility. This shift has also been supported by the increased affordability and availability of GC-MS instrumentation over the past two decades, making high-resolution and confirmatory analysis accessible to more laboratories. Furthermore, the global recognition and validation of GC-MS protocols, particularly by regulatory agencies and reference laboratories, has reinforced its position as the gold standard for pesticide residue control and legal enforcement.
4.2. Specific Analytical Methods for Single Dithiocarbamates Detection
As awareness of these limitations grew, particularly after 2010, an increasing number of studies have moved beyond total CS2 detection toward the selective identification and quantification of individual dithiocarbamates. Researchers began developing and validating compound-specific analytical methods with the aim to bridge the gap between analytical data and toxicological interpretation, providing regulators and public health authorities with more accurate and actionable information. Since the early 2000s, a distinct line of analytical development has emerged focusing on the selective identification and quantification of individual dithiocarbamate residues and their highly toxic metabolites, particularly ethylene thiourea (ETU) and propylene thiourea (PTU), in plant-based foods such as fruits and vegetables [93,122,123].
This approach, fundamentally different from the conventional CS2-based methodology, aims to overcome the lack of specificity inherent in indirect detection, offering more accurate assessments of exposure and toxicological risk. The analytical methods developed for single dithiocarbamate determinations mainly involve the use of LC, HPLC, and UPLC coupled with different detectors. The more common configuration provides coupling with MS, especially MS/MS, which provides high sensitivity and structural selectivity needed to distinguish between closely related DTC compounds such as mancozeb, thiram, metiram, ziram, and propineb [2,124]. These MS-based methods have become the gold standard for compound-specific DTC analysis in food, allowing simultaneous detection of parent compounds and their metabolites with LOQs lower than 0.01 mg/kg in several cases, high precision, and satisfying recovery, even in complex plant matrices [125].
Alongside MS detection, other detectors such as spectrophotometers or electrochemical detectors have been occasionally employed, particularly in earlier studies [126]. In addition, some niche methods employed unconventional detectors such as chemiluminescence for detection of Mancozeb and Propineb in cucumbers and apples, with declared LOQ of 0.0003 mg/kg and 0.0014 mg/kg, respectively; or without chromatographic separation, through FAAS detection, with a LOQ of 2 mg/kg for Maneb (detected as Mn) in tomato and wheat grain; and DART or DESI, with recovery rate between 70 and 102% and LOQ > 0.1 mg/kg for Thiram in apples, pears, strawberries, and lettuce [127,128,129].
Emerging biosensors and nanotechnology-based techniques offer exciting opportunities for rapid, on-site pesticide screening, potentially empowering growers, regulators, and consumers with real-time residue data [60]. Nonetheless, these approaches remain primarily research tools; they lack robustness, reproducibility, and regulatory validation required for use in official control laboratories or for legal enforcement. Until their performance is standardized and internationally accepted, they will remain complementary rather than primary analytical tools.
Recently developed methods exploit the reaction of specific dithiocarbamates, e.g., maneb, with Cu2+ to form a colored complex that can be quantified by digital image colorimetry following a solid–liquid phase microextraction procedure. Detection is performed by acquiring the intensity of the RGB channels (particularly the blue channel) using a smartphone and a digital analysis application, achieving higher sensitivity compared to conventional spectrophotometric detection. While these approaches are innovative and environmentally friendly, they require further investigation to address potential cross-reactions and interferences that could lead to false positives [130,131].
Most studies on dithiocarbamate (DTC) detection using SERS or other electrode-based sensors are performed under highly controlled laboratory conditions with single-analyte solutions, which do not reflect the complex, multi-residue reality of pesticide contamination reported by EFSA and other surveillance programs. These methods, although undeniably interesting for being environmentally friendly and easy to use, face recurring challenges, including matrix interferences, competitive adsorption, substrate variability, surface fouling, and poor reproducibility, making them unsuitable for legally defensible residue monitoring without confirmatory analysis. In contrast, mass spectrometry-based approaches, although more resource-intensive, provide the selectivity, sensitivity, and robustness needed to characterize DTCs and co-occurring pesticides in real-world samples [46,47].
In Table 3, the main information concerning direct methods developed without involving the hydrolysis of dithiocarbamates is reported. Detailed information for each method, comprised LOQs and Recovery ranges, is reported in Table S2.
Table 3.
Methods reported in the literature from 2000 to 2025, without formation of CS2 for dithiocarbamate quantitative determination (for details on methods see Table S2).
Table 3 provides an overview, with further details in Supplementary Table S2, of all the literature-reported methods involving the determination of dithiocarbamates (DTCs) without the evolution of CS2. Some of the reported methods for dithiocarbamate determination (e.g., methods 10, 20, 23, 34) involve voltametric techniques or the use of metal nanoparticles. While these approaches can offer high sensitivity, they are generally selective for a specific metal-dithiocarbamate complex and show high specificity. Consequently, their applicability must be individually evaluated for each dithiocarbamate, as performance parameters and interferences may vary depending on the target analyte and matrix [129,136,141,150].
Extraction and stabilization protocols have also evolved to suit the chemical properties of single DTC, often involving alkaline buffers, chelating agents (such as EDTA), and reducing agents to prevent degradation during sample preparation. These method refinements have allowed for more reliable quantification and broader compound coverage compared to the traditional CS2-based hydrolysis. These compound-specific approaches not only meet the analytical challenges posed by modern residue monitoring but also provide essential tools for toxicologically meaningful assessments, enabling more nuanced evaluations of dietary exposure and regulatory compliance.
Table 3 finally highlights a critical limitation in the currently available analytical methods for the determination of individual dithiocarbamate analytes. While these methods may demonstrate adequate sensitivity and selectivity under controlled laboratory conditions, they lack sufficient validation data derived from the analysis of real-world samples. This gap restricts the ability to assess the applicability and robustness of the methods in complex matrices typically encountered in food monitoring or environmental surveillance. Furthermore, no data have been reported on the assessment of human exposure to individual pesticides within the dithiocarbamate group based on their respective Maximum Residue Levels (MRLs). This limitation is compounded by the fact that specific MRLs for single fungicides of this chemical class are currently not established in regulatory frameworks, preventing a refined risk assessment for each compound and potentially obscuring compound-specific exposure trends.
The graph reported in Figure 5 shows the evolution of publications concerning determination of DTCs without involving their hydrolysis and subsequently CS2 formation.
Figure 5.
Publication trend from 2000 to 2025 concerning the analytical methods published concerning the determination of dithiocarbamates without the formation of CS2.
The graph in Figure 5 shows the evolution of publication in the literature concerning analytical methods for DTCs determination without relying on CS2 formation from 2000 to 2025. In contrast to methods targeting total CS2, publications on compound-specific methods have gradually increased over time, especially peaking between 2011 and 2015. This trend reflects a growing awareness regarding the importance of quantifying individual fungicides rather than relying solely on total CS2 measurements, which cannot account for differences in toxicological profiles or for the possible synergistic effects of multiple DTCs. The shift highlights the need for more precise and toxicologically relevant risk assessments. A notable development is the steady rise in LC-MS/MS methods, which now dominate this analytical field due to their unparalleled sensitivity, specificity, and regulatory acceptance. In addition, new experimental methods, such as SERS (surface-enhanced Raman spectroscopy), have gained attention in the last decade for their rapid, on-site analytical potential. However, these emerging technologies remain less versatile and insufficiently validated for legal enforcement, limiting their use to exploratory or research contexts. This reinforces the role of LC-MS/MS as the benchmark technique for high-quality, legally defensible pesticide residue analysis.
5. Conclusions and Future Perspectives
The analysis of dithiocarbamate (DTCS) residues in vegetables, fruits, and cereals has long relied on the indirect determination of carbon disulfide (CS2) released under acidic hydrolysis. This strategy, established in the 1950s of last century and still upheld in modern regulatory protocols, including EU Regulation 2017/171 and the EURL Single Residue Method (SRM), Version 3.2 (2024), remains the standard reference method across the European Union and many other jurisdictions. However, despite its regulatory acceptance and operational simplicity, the CS2-based approach is increasingly recognized as analytically unspecific and toxicologically inadequate. One of the fundamental shortcomings of the CS2 method is its inability to discriminate between individual DTC compounds. Since all DTCs degrade into the same analyte, CS2, the method inherently overlooks the chemical identity of the original fungicide. This is critical because different DTCs (e.g., Mancozeb, Thiram, Propineb, Ziram, and Metiram) possess distinct toxicological profiles, degradation products, environmental behaviors, and different status regarding authorization in EU. Even more concerning is that the CS2 method provides no insight into the levels of highly concerning metabolites such as ethylene thiourea (ETU) and propylene thiourea (PTU), which have been associated with thyroid disruption, potential carcinogenicity, and teratogenicity. Furthermore, the method does not consider any potential synergistic toxicological effects arising from mixtures of DTCs, a situation that is not uncommon in typical agricultural practices. All ethylene-bis-dithiocarbamates (EBDCs) metabolize into ETU, with different rates of production of this metabolite among different DTCs; therefore, exposure scenarios involving combinations such as maneb, mancozeb, and zineb result in a higher cumulative ETU burden than mixtures involving compounds like propineb or thiram. However, CS2-based quantification collapses all residues into a single value, ignoring the distinct toxicological contributions of individual fungicides and their potential additive effects. This limitation hampers accurate dietary risk assessments, particularly for populations with high fruit and vegetable consumption, and calls for a paradigm shift towards compound-specific monitoring supported by toxicological modeling.
From an analytical point of view, the current method proposed by EURL SRM v3.2 (December 2024), which uses GC-MS/MS or GC-ECD following cleavage and partitioning into isooctane, has been revised over the years and validated for several matrices, such as plant-origin food, except those with high oil content, and milk. Nonetheless, critical issues remain unresolved. Notably, recovery values for certain compounds such as propineb, metiram, and ziram remain consistently low and highly variable, undermining the reliability and comparability of the results. Moreover, the method requires the use of large volumes of solvents and strong acids, raising environmental and safety concerns. Several efforts to make pesticide residue analysis more sustainable are commendable, with innovations such as sample preparation downscaling, miniaturized extraction protocols, and microextraction techniques, aligning with green chemistry principles and representing meaningful progress toward eco-friendly analytical workflows. However, these methods remain in development, with limited validation across diverse matrices, preventing their integration into standardized regulatory protocols. Continued refinement and harmonization are essential before they can replace solvent-intensive methods currently in use.
Given these shortcomings, there is a growing interest in the scientific and regulatory communities in new developments in specific compound analysis. Over the last two decades, significant progress has been made in developing LC-based methods (HPLC and UPLC) coupled with MS and MS/MS detection, capable of selectively identifying and quantifying individual DTCs and their metabolites in complex food matrices. These direct methods allow for much lower limits of quantification (LOQs), higher analytical accuracy, and most importantly, toxicologically meaningful results. Although such approaches are not yet standardized in legislation, they represent a critical step forward in modernizing residue monitoring. Looking ahead, future analytical strategies should focus on the comprehensive profiling of individual DTCs, including both parent compounds and their known toxic degradation products. This evolution in methodology will not only improve analytical performance but also enable a more accurate assessment of cumulative and synergistic consumer risks. Integrating these compound-specific data into dietary exposure models could support the development of substance-specific MRLs, which reflect both occurrence data and toxicological relevance. Finally, while the CS2-based method has served as a practical regulatory tool for decades, its limitations in specificity, toxicological insight, and environmental impact now demand a transition. Embracing direct analytical methods targeting individual DTC residues represents not only a technical advancement but a necessary step toward scientifically robust, health-protective pesticide regulation in the years to come.
The evolution of analytical chemistry for pesticide residue monitoring highlights mass spectrometry as the most promising technique for achieving high specificity and ultra-trace sensitivity in the detection of dithiocarbamates. Unlike SERS or other innovative nanosensor approaches, which remain experimental and lack inter-laboratory validation, mass spectrometry provides a robust, reproducible, and legally defensible framework for regulatory testing. These techniques allow simultaneous multi-residue analysis and accurate quantification of both parent compounds and toxic metabolites such as ETU and PTU, a significant improvement over traditional CS2-based methods. Given the legal consequences of pesticide non-compliance and the international trade barriers posed by inconsistent residue reporting, only globally validated, harmonized methods, predominantly based on LC-MS/MS and HRMS, can ensure reliable results across jurisdictions. Thus, while novel techniques are valuable for rapid screening or research, mass spectrometry remains the cornerstone of analytical enforcement.
Chronic dietary exposure to dithiocarbamates represents a particular aspect to be considered for vulnerable populations, especially children, who are more susceptible to endocrine disruptors and neurodevelopmental toxic substances. High consumption of fruits and vegetables, possibly exceeding body weight-adjusted intake in children, enhances this risk. As pesticide use is unavoidable, robust surveillance, stricter enforcement, and proactive risk communication are crucial to safeguard public health, especially among populations with high dietary exposure. For this reason, it is crucial to prioritize the development of innovative analytical methods capable of determining single dithiocarbamate residues with high specificity and sensitivity, moving beyond the current reliance on total CS2 quantification. Such methods would enable more accurate exposure assessment, reflecting the distinct toxicological profiles of individual compounds and their metabolites. Equally important is the investigation of potential synergistic or additive effects arising from co-exposure to multiple dithiocarbamates, which are currently underestimated by aggregated CS2-based data. A deeper understanding of these interactions will support refined risk assessments and better protect consumers. Ultimately, these advances should inform the establishment of new Maximum Residue Levels (MRLs) for dithiocarbamates based not only on CS2 but on compound-specific determinations.
The regulation of dithiocarbamate residues, in fact, remains fragmented globally, with the EU implementing some of the strictest measures, including the phase-out of key fungicides, while Codex Alimentarius and Latin American countries maintain more permissive Maximum Residue Limits (MRLs). The U.S. Environmental Protection Agency (EPA) has adopted compound-specific risk assessments but does not harmonize thresholds across all DTCs, further complicating global trade. This regulatory diversity underscores the urgent need for international standardization of analytical protocols and MRLs to facilitate safe food commerce while ensuring consumer protection.
Supplementary Materials
The following supporting information can be downloaded at https://www.mdpi.com/article/10.3390/toxics13100819/s1; Table S1: Analytical methods published in years 2000–2025 for determination of dithiocarbamates after hydrolysis and CS2 formation, detailed information; Table S2: Analytical methods published in years 2000–2025 for determination of dithiocarbamates without CS2 formation, detailed information.
Author Contributions
Conceptualization, S.O. and I.P.; methodology, I.P. and T.P.; investigation, T.P., E.C., A.P. and E.V.; data curation, T.P., E.C., A.P., E.V. and S.O.; writing—original draft preparation, T.P.; writing—review and editing, T.P., S.O., C.C., S.S. and I.P.; supervision, S.O. and I.P.; project administration, S.O. and I.P. All authors have read and agreed to the published version of the manuscript.
Funding
This research received no external funding.
Data Availability Statement
The data presented in this study are available on request from the corresponding author.
Conflicts of Interest
The authors declare no conflicts of interest.
References
- Fanjul-Bolado, P.; Fogel, R.; Limson, J.; Purcarea, C.; Vasilescu, A. Advances in the Detection of Dithiocarbamate Fungicides: Opportunities for Biosensors. Biosensors 2020, 11, 12. [Google Scholar] [CrossRef]
- Chung, S.W.C.; Wong, W.W.K. Chromatographic Analysis of Dithiocarbamate Residues and Their Metabolites in Foods Employed in Dietary Exposure Studies—A Review. Food Addit. Contam. Part A 2022, 39, 1731–1743. [Google Scholar] [CrossRef]
- Tisdale, W.H.; Williams, I. Disinfectant and Fungicide. U.S. Patent 1972961A, 26 May 1931. [Google Scholar]
- Liu, K.; Li, Y.; Iqbal, M.; Tang, Z.; Zhang, H. Thiram Exposure in Environment: A Critical Review on Cytotoxicity. Chemosphere 2022, 295, 133928. [Google Scholar] [CrossRef]
- Jung, J.; Kiehs, K.; Zeeh, B.; Theobald, H. Salts of Phosphonic Acids. U.S. Patent 4135909 A, 29 December 1976. [Google Scholar]
- European Commission. Commission Implementing Regulation (EU) 2018/309 of 1 March 2018, Concerning the Non-Renewal of Approval of the Active Substance Propineb, in Accordance with Regulation (EC) No 1107/2009 of the European Parliament and of the Council Concerning the Placing of Plant Protection Products on the Market, and Amending the Annex to Commission Implementing Regulation (EU) No 540/2011. Available online: https://eur-lex.europa.eu/eli/reg_impl/2018/309/oj (accessed on 12 August 2025).
- European Commission. Regulation (EC) No 1107/2009 of the European Parliament and of the Council of 21 October 2009 Concerning the Placing of Plant Protection Products on the Market and Repealing Council Directives 79/117/EEC and 91/414/EEC. Available online: https://ec.europa.eu/food/plant/pesticides/eu-pesticides-database/start/screen/active-substances/details/1008 (accessed on 12 August 2025).
- European Commission. Commission Implementing Regulation (EU) 2016/2035 of 21 November 2016 Amending Implementing Regulation (EU) No 540/2011 as Regards the Approval Periods of the Active Substances Fipronil and Maneb. Available online: https://eur-lex.europa.eu/eli/reg_impl/2016/2035/oj (accessed on 12 August 2025).
- European Commission. Commission Implementing Regulation (EU) 2020/2087 of 14 December 2020 Concerning the Non-Renewal of the Approval of the Active Substance Mancozeb, in Accordance with Regulation (EC) No 1107/2009 of the European Parliament and of the Council Concerning the Placing of Plant Protection Products on the Market, and Amending the Annex to Commission Implementing Regulation (EU) No 540/2011. Available online: https://eur-lex.europa.eu/eli/reg_impl/2020/2087/oj (accessed on 12 August 2025).
- European Commission. Commission Implementing Regulation (EU) 2023/2455 of 7 November 2023 Concerning the Non-Renewal of the Approval of the Active Substance Metiram, in Accordance with Regulation (EC) No 1107/2009 of the European Parliament and of the Council and Amending Commission Implementing Regulation (EU) No 540/2011. Available online: https://eur-lex.europa.eu/eli/reg_impl/2023/2455/oj (accessed on 12 August 2025).
- European Commission. Commission Implementing Regulation (EU) 2018/1500 of 9 October 2018 Concerning the Non-Renewal of Approval of the Active Substance Thiram, and Prohibiting the Use and Sale of Seeds Treated with Plant Protection Products Containing Thiram, in Accordance with Regulation (EC) No 1107/2009 of the European Parliament and of the Council Concerning the Placing of Plant Protection Products on the Market, and Amending the Annex to Commission Implementing Regulation (EU) No 540/2011. Available online: https://eur-lex.europa.eu/eli/reg_impl/2018/1500/oj (accessed on 12 August 2025).
- Stuke, S.; Wirkner, H.; Safferling, M.; Gorgulu, N.; Zupanc, C.; Ertz, K.; Steinbeck, M.; Haack, K.J.; Jasak, J.; Diot, R. Stabilized Dithiocarbamate Formulations. EP20733398 B1, 15 June 2020. [Google Scholar]
- Bristow, J.T. Fungicidal Composition. Method and Use Thereof. WO2017041717 A, 16 March 2017. [Google Scholar]
- Van der Krieken, W.M.; Mazzitelli, S. Dithiocarbamate Fungicide Macromolecular Complexes. EP20730112 B1, 28 May 2020. [Google Scholar]
- Van der Krieken, W.M.; Stratmann, C. Aqueous Composition of Dithiocarbamate Fungicide. EP4156927 B1, 28 May 2021. [Google Scholar]
- Bellisai, G.; Bernasconi, G.; Brancato, A.; Cabrera, L.C.; Castellan, I.; Del Aguila, M.; Ferreira, L.; Santonja, G.G.; Greco, L.; Jarrah, S.; et al. Review of the Existing Maximum Residue Levels for Dithiocarbamates according to Article 12 of Regulation (EC) No 396/2005. EFSA J. 2023, 21, 7987. [Google Scholar]
- Perz, R.C.; van Lishaut, H.; Schwack, W. CS2 Blinds in Brassica Crops: False Positive Results in the Dithiocarbamate Residue Analysis by the Acid Digestion Method. J. Agric. Food Chem. 2000, 48, 792–796. [Google Scholar] [CrossRef]
- Malik, A.K.; Faubel, W. Methods of Analysis of Dithiocarbamate Pesticides: A Review. Pestic. Sci. 1999, 55, 965–970. [Google Scholar] [CrossRef]
- Crnogorac, G.; Schwack, W. Residue Analysis of Dithiocarbamate Fungicides. TrAC Trends Anal. Chem. 2008, 28, 40–50. [Google Scholar] [CrossRef]
- Steidle Neto, J.A.; Lopes, D.C.; Silva, W.A. Feasibility of Vis/NIR Spectroscopy to Detect and Estimate Fungicide Residues on Intact Lettuces. Adv. Hortic. Sci. 2020, 34, 223–232. [Google Scholar] [CrossRef]
- Da Silva, R.C.; Wickert, C.; Pizzutti, I.R.; de Kok, A. Clean-up Strategy for Dithiocarbamate Fungicide Determination in Soybean by GC-ITD-MS and GC-PFPD: Method Development and Validation. J. Agric. Food Chem. 2021, 69, 11485–11493. [Google Scholar] [CrossRef] [PubMed]
- Arslan, S.; Güler, A.; Güngör, N.; Dağaşan, Ö.; Yiğitkaya, S.; Kale, L.Y.; Numanoğlu, E.; Balaban, B.; Özaltın, K.E.; Merken, Ö.; et al. False Positive Effect of Sulfur Sources Used in Growing and Processing of Vine (Vitis vinifera L.) Leaves on the Results of Dithiocarbamate Analysis Based on Carbon Disulfide Measurement. Food Addit. Contam. Part A 2022, 39, 1565–1575. [Google Scholar] [CrossRef] [PubMed]
- Natarajan, R.B.; Kakkasery, J.T.; Arimboor, R.; Jacob, J.; Thankan, B. Development and Validation of a GC-MS Method for Analysis of Dithiocarbamate Fungicide Residues in the Spices Cardamom (Elettaria cardamomom) and Black Pepper (Piper nigrum). J. Food Sci. Technol. 2022, 59, 4097–4107. [Google Scholar] [CrossRef]
- da Silva, R.C.; Duarte, I.; Neu, J.P.; Wouters, R.D.; Zorzella, E.; Dotto, P.; Wagner, R.; Pizzutti, I.R. Commercial Yerba Mate (Ilex paraguariensis) Produced in South America: Determination of Dithiocarbamate Residues by Gas Chromatography-Mass Spectrometry. Food Chem. 2022, 394, 133513. [Google Scholar] [CrossRef]
- Tian, Q.; Li, H.; Chen, L.; Han, B. Microwave-Assisted “One-Pot” Acidolysis and Extraction for the Rapid Determination of Mancozeb in Fruit and Vegetable Samples. J. Food Qual. 2024, 2024, 2577585. [Google Scholar] [CrossRef]
- Tian, Q.; Wang, M.; Li, H.; Huan, Z.; Wang, M.; Lin, J.; Li, B.; Han, B. Hyphenated Liquid Electrode Glow Discharge–Dielectric Barrier Discharge Molecular Emission Spectrometry for Determination of Dithiocarbamates. Food Chem. 2023, 429, 136884. [Google Scholar] [CrossRef]
- Tripathi, K.; Harshangkumar, T.; Narayanan, N.; Gupta, S.; Singh, S.B.; Banerjee, T. Development and Validation of a Sensitive Liquid Chromatography-Tandem Mass Spectrometry Method for the Analysis of Mancozeb Residues in Cauliflower: Risk Assessment of Real Samples. J. Chromatogr. Open 2025, 7, 100226. [Google Scholar] [CrossRef]
- Wang, Z.; Yang, L.; Ye, X.; Huang, C.; Yang, W.; Zhang, L.; Wu, Z.; Fu, F. Multicolor Visual Screening of Total Dithiocarbamate Pesticides in Foods Based on Sulfydryl-Mediated Growth of Gold Nanobipyramids. Anal. Chim. Acta 2020, 1139, 59–67. [Google Scholar] [CrossRef] [PubMed]
- Wei, Q.; Zhang, L.; Song, C.; Yuan, H.; Li, X. Quantitative Detection of Dithiocarbamate Pesticides by Surface-Enhanced Raman Spectroscopy Combined with an Exhaustive Peak-Seeking Method. Anal. Methods 2021, 13, 1479–1488. [Google Scholar] [CrossRef]
- Tsen, C.-M.; Yu, C.-W.; Chen, S.-Y.; Lin, C.-L.; Chuang, C.-Y. Application of Surface-Enhanced Raman Scattering in Rapid Detection of Dithiocarbamate Pesticide Residues in Foods. Appl. Surf. Sci. 2021, 558, 149740. [Google Scholar] [CrossRef]
- Anh, N.H.; Doan, M.Q.; Dinh, N.X.; Huy, T.Q.; Tri, D.Q.; Le, A.-T. Gold Nanoparticles-Based SERS Nanosensor for Thiram and Chloramphenicol Monitoring in Food Samples: Insight into Effects of Analyte Molecular Structure on Their Sensing Performance and Signal Enhancement. Appl. Surf. Sci. 2022, 584, 152555. [Google Scholar] [CrossRef]
- Han, M.; Wang, Y.; Xiang, G.; Chen, Y.; Yang, Z.; Li, Y.; Zhang, Y.; Lu, C.; Wang, X. Construction of Ratiometric Fluorescence Determination of Ethylene Thiourea in Foods Based on the Nanocomposite Combining with Sulfur Quantum Dots and Gold Clusters. Microchem. J. 2023, 189, 108549. [Google Scholar] [CrossRef]
- Feng, Y.; Jiang, W.; Li, H.; Liang, X.; Tong, F.; Sheng, X.; Hou, R.; Wan, X.; Liu, Y. Detection of Dithiocarbamate Pesticide Residues in Tea by Colorimetric and Fluorescent Double-Mode Probe Regulated by Tyrosinase. Sens. Actuators B Chem. 2024, 426, 137026. [Google Scholar] [CrossRef]
- Sayed, R.; Hussein, O.E.; Omran, A.A. Method Optimization and Validation for the Determination of Mancozeb in Chamomile by Modified QuEChERS and Liquid Chromatography–Tandem Mass Spectrometry. J. Food Compos. Anal. 2022, 111, 104646. [Google Scholar] [CrossRef]
- Bendhiab, I.; Dirtu, A.C.; Marchond, N.; Guérin, T.; Jitaru, P. A Novel Analytical Approach for the Determination of Ethylene-Thiourea and Propylene-Thiourea in Vegetal Foodstuffs by High-Performance Liquid Chromatography Hyphenated to Inductively Coupled Plasma-Tandem Mass Spectrometry. Anal. Bioanal. Chem. 2023, 416, 431–438. [Google Scholar] [CrossRef]
- Zoratto, C.; Thais, D.; Aguera, R.G.; Sano Lini, R.; Pante, G.C.; Bueno, C.; Castro, J.C.; Aparecida, S.; Marchioni, C.; Machinski, M. Analytical and Toxicological Aspects of Dithiocarbamates: An Overview of the Last 10 Years. Toxicol. Mech. Methods 2022, 32, 637–649. [Google Scholar] [CrossRef]
- Food and Agriculture Organization of the United Nations (FAO). Use Pattern, Registered Uses of Thiram. Available online: https://www.fao.org/4/W5897E/w5897e5i.htm (accessed on 8 September 2025).
- National Pesticide Information Center (NPIC). EXTOXNET PIP—Thiram. Available online: https://extoxnet.orst.edu/pips/thiram.htm (accessed on 12 August 2025).
- New Jersey Department of Health. Hazardous Substance Fact Sheet, Thiram; New Jersey Department of Health: Trenton, NJ, USA, 2010. [Google Scholar]
- Edwards, I.R.; Ferry, D.G.; Temple, W.A. Fungicides & Related Compounds. In Handbook of Pesticide Toxicology; Volume 3: Classes of Pesticides; Academic Press, Inc.: New York, NY, USA, 1991; Chapter 21; pp. 1409–1470. [Google Scholar] [CrossRef]
- Roberts, J.R.; Reigart, J.R. Recognition and Management of Pesticide Poisonings; United States Environmental Protection Agency, Office of Pesticide Programs: Washington, DC, USA, 2013.
- World Health Organization (WHO). Dithiocarbamate Pesticides, Ethylenethiourea, and Propylenethiourea: A General Introduction/Published Under the Joint Sponsorship of the United Nations Environment Programme, the International Labour Organisation, and the World Health Organization; WHO: Geneva, Switzerland, 1988; ISBN 9789241542784. [Google Scholar]
- National Pesticide Information Center (NPIC). EXTOXNET PIP—METIRAM. Available online: https://extoxnet.orst.edu/pips/metiram.htm (accessed on 12 August 2025).
- National Pesticide Information Center (NPIC). EXTOXNET PIP—ZINEB. Available online: https://extoxnet.orst.edu/pips/zineb.htm (accessed on 12 August 2025).
- International Agency for Research on Cancer (IARC). Ethylene Thiourea, IARC Monographs on the Evaluation of Carcinogenic Risks to Humans, Volume 79; International Agency for Research on Cancer: Lyon, France, 2001. [Google Scholar]
- National Pesticide Information Center (NPIC). EXTOXNET PIP—ZIRAM. Available online: https://extoxnet.orst.edu/pips/ziram.htm (accessed on 12 August 2025).
- Chou, A.P.; Maidment, N.; Klintenberg, R.; Casida, J.E.; Li, S.; Fitzmaurice, A.G.; Fernagut, P.-O.; Mortazavi, F.; Chesselet, M.-F.; Bronstein, J.M. Ziram Causes Dopaminergic Cell Damage by Inhibiting E1 Ligase of the Proteasome. J. Biol. Chem. 2008, 283, 34696–34703. [Google Scholar] [CrossRef]
- Chen, J.; Akhtar, M.; Hardej, D. Exposure to Dithiocarbamate Fungicide Ziram Results in Hepatic and Renal Toxicity in Long Evan Rats. Environ. Toxicol. Pharmacol. 2023, 99, 104116. [Google Scholar] [CrossRef] [PubMed]
- United States Environmental Protection Agency (EPA). Prevention, Pesticides and Toxic Substances, EPA-738-F-05-002, Ferbam; US EPA: Washington, DC, USA, 2005.
- Rasgele, P.G.; Muranli, F.D.; Kekeçoğlu, M. Assessment of the Genotoxicity of Propineb in Mice Bone Marrow Cells Using Micronucleus Assay. Tsitol. Genet. 2014, 48, 39–43. [Google Scholar] [CrossRef] [PubMed]
- European Food Safety Authority (EFSA). Peer Review of the Pesticide Risk Assessment of the Active Substance Propineb. EFSA J. 2016, 14, e04605. [Google Scholar] [CrossRef][Green Version]
- Kumar, K.; Sabarwal, A.; Singh, R.P. Mancozeb Selectively Induces Mitochondrial-Mediated Apoptosis in Human Gastric Carcinoma Cells through ROS Generation. Mitochondrion 2019, 48, 1–10. [Google Scholar] [CrossRef]
- United States Environmental Protection Agency (EPA). Maneb-Developmental Toxicity Study in Rats; US EPA: Washington, DC, USA, 1993.
- Thiruchelvam, M.; Brockel, B.J.; Richfield, E.K.; Baggs, R.B.; Cory-Slechta, D.A. Potentiated and Preferential Effects of Combined Paraquat and Maneb on Nigrostriatal Dopamine Systems: Environmental Risk Factors for Parkinson’s Disease? Brain Res. 2000, 873, 225–234. [Google Scholar] [CrossRef]
- Vergova, M.; Jablonica, A.; Janota, S. Occupational Exposure to Mancozeb in Employees in the Production of Novozir Mn 80. Park. Lak 1988, 40, 425–430. [Google Scholar]
- International Agency for Research on Cancer (IARC). Overall Evaluations of Carcenogenicity. IARC Monographs on the Evaluation of Carcinogenic Risks to Humans, Suppl. 7; International Agency for Research on Cancer, Ethylene thiourea: Lyon, France, 1987; pp. 207–208. [Google Scholar]
- Brent, G.A.; Koenig, R.J. Thyroid and Antithyroid Drugs. In Goodman & Gilman’s: The Pharmacological Basis of Therapeutics, 13th ed.; Brunton, L.L., Hilal-Dandan, R., Knollmann, B.C., Eds.; McGraw-Hill Education: New York, NY, USA, 2017. [Google Scholar]
- Agency for Toxic Substances and Disease Registry (US). U.S. Department of Health and Human Services Toxicological Profile for Carbon Disulfide; ATSDR: Atlanta, GA, USA, 2000. [PubMed]
- European Commission. Commission Regulation (EU) 2017/171 of 30 January 2017 Amending Annexes II, III and IV to Regulation (EC) No 396/2005 of the European Parliament and of the Council as Regards Maximum Residue Levels for Aminopyralid, Azoxystrobin, Cyantraniliprole, Cyflufenamid, Cyproconazole, Diethofencarb, Dithiocarbamates, Fluazifop-P, Fluopyram, Haloxyfop, Isofetamid, Metalaxyl, Prohexadione, Propaquizafop, Pyrimethanil, Trichoderma Atroviride Strain SC1 and Zoxamide in or on Certain Products. Available online: https://eur-lex.europa.eu/eli/reg/2017/171/oj/eng (accessed on 12 August 2025).
- Campanale, C.; Triozzi, M.; Ragonese, A.; Losacco, D.; Massarelli, C. Dithiocarbamates: Properties, Methodological Approaches and Challenges to Their Control. Toxics 2023, 11, 851. [Google Scholar] [CrossRef]
- EU Reference Laboratories for Residues of Pesticides (EURL). Analysis of Residues of Dithiocarbamate Fungicides in Low-Oil Content Food of Plant Origin Involving Cleavage into Carbon Disulfide, Partitioning into Isooctane and Measurement by GC-MS/MS or GC-ECD, Version 3.2, Updated December; EU Reference Laboratories for Residues of Pesticides (EURL): Freiburg, Germany, 2024. [Google Scholar]
- Clarke, D.; Baum, H.; Stanley, E.; Hester, W. Determination of Dithiocarbamates. Anal. Chem. 1951, 23, 1842–1846. [Google Scholar] [CrossRef]
- Crnogorac, G.; Schmauder, S.; Schwack, W. Trace Analysis of Dithiocarbamate Fungicide Residues on Fruits and Vegetables by Hydrophilic Interaction Liquid Chromatography/Tandem Mass Spectrometry. Rapid Commun. Mass Spectrom. 2008, 22, 2539–2546. [Google Scholar] [CrossRef] [PubMed]
- U. S. Department of Health and Human Services, Public Health Service NTP (National Toxicology Program). Report on Carcinogens, 15th ed.; NTP: Research Triangle Park, NC, USA, 2021. [Google Scholar]
- Veiga-del-Baño, J.M.; Martínez-López, S.; Pérez-Lucas, G.; Cuenca-Martínez, J.J.; Andreo-Martínez, P. Trends in Dithiocarbamates Food Research: A Bibliometric Vision. Chemosphere 2023, 313, 137342. [Google Scholar] [CrossRef] [PubMed]
- Martins, F.C.O.L.; Melchert, W.R. Trends in Determining Carbamates and Dithiocarbamates in Food Samples. J. Food Compos. Anal. 2025, 141, 107330. [Google Scholar] [CrossRef]
- Cullen, T.E. Spectrophotometric Determination of Dithiocarbamate Residues in Food Crops. Anal. Chem. 1964, 36, 221–224. [Google Scholar] [CrossRef]
- Keppel, G.E. Modification of the Carbon Disulfide Evolution Method for Dithiocarbamate Residues. J. AOAC Int. 1969, 52, 162–167. [Google Scholar] [CrossRef]
- Caldas, E.D.; Conceição, M.H.; Miranda, M.C.C.; de Souza, L.C.K.R.; Lima, J.F. Determination of Dithiocarbamate Fungicide Residues in Food by a Spectrophotometric Method Using a Vertical Disulfide Reaction System. J. Agric. Food Chem. 2001, 49, 4521–4525. [Google Scholar] [CrossRef]
- Heise, S.; Weber, H.; Alder, L. Reasons for the Decomposition of the Fungicide Thiram during Preparation of Fruit and Vegetable Samples and Consequences for Residue Analysis. Fresenius’ J. Anal. Chem. 2000, 366, 851–856. [Google Scholar] [CrossRef]
- Dogheim, S.M.; Gad Alla, S.A.; El-Marsafy, A.M. Monitoring of Pesticide Residues in Egyptian Fruits and Vegetables during 1996. J. AOAC Int. 2001, 84, 519–531. [Google Scholar] [CrossRef]
- Abbassy, M.S. Pesticide Residues in Selected Vegetables and Fruits in Alexandria City, Egypt, 1997–1998. Bull. Environ. Contam. Toxicol. 2001, 67, 0225–0232. [Google Scholar] [CrossRef]
- Andersen, J.H.; Poulsen, M.E. Results from the Monitoring of Pesticide Residues in Fruit and Vegetables on the Danish Market, 1998–1999. Food Addit. Contam. 2001, 18, 906–931. [Google Scholar] [CrossRef]
- Poulsen, M.E.; Andersen, J.H. Results from the Monitoring of Pesticide Residues in Fruit and Vegetables on the Danish Market, 2000–2001. Food Addit. Contam. 2003, 20, 742–757. [Google Scholar] [CrossRef]
- Elgueta, S.; Moyano, S.; Sepúlveda, P.; Quiroz, C.; Correa, A. Pesticide Residues in Leafy Vegetables and Human Health Risk Assessment in North Central Agricultural Areas of Chile. Food Addit. Contam. Part B Surveill. Commun. 2017, 10, 105–112. [Google Scholar] [CrossRef] [PubMed]
- Caldas, E.D.; Tressou, J.; Boon, P.E. Dietary Exposure of Brazilian Consumers to Dithiocarbamate Pesticides—A Probabilistic Approach. Food Chem. Toxicol. 2006, 44, 1562–1571. [Google Scholar] [CrossRef] [PubMed]
- Pastor Ciscato, C.H.; Bertoni Gebara, A.; Henrique Monteiro, S. Pesticide Residue Monitoring of Brazilian Fruit for Export 2006–2007. Food Addit. Contam. Part B-Surveill. 2009, 2, 140–145. [Google Scholar] [CrossRef] [PubMed]
- Dong, J.-Z.; DeBusk, S.M. GC–MS Analysis of Hydrogen Sulfide, Carbonyl Sulfide, Methanethiol, Carbon Disulfide, Methyl Thiocyanate and Methyl Disulfide in Mainstream Vapor Phase Cigarette Smoke. Chromatographia 2009, 71, 259–265. [Google Scholar] [CrossRef]
- Shao, H.; Liu, L.; Li, H.; Li, J.; Zhang, Y.-T.; Guo, Y.-Z. Determination of Amobam Residues in Vegetables and Cereals by Gas Chromatography-Mass Spectrometry with Solvent Absorption. J. Food Saf. Qual. 2017, 8, 2966–2972. [Google Scholar]
- Nguyen, N.V.; Le, T.T. Development of Analytical Method for Determination of Dithiocarbamate Resiudes, Expressed as CS2 in Fruits and Vegetables by GC-ECD. J. Sci. Technol.-IUH 2021, 36. [Google Scholar] [CrossRef]
- Zhang, Y.; Wade, K.L.; Prestera, T.; Talalay, P. Quantitative Determination of Isothiocyanates, Dithiocarbamates, Carbon Disulfide, and Related Thiocarbonyl Compounds by Cyclocondensation with 1,2-Benzenedithiol. Anal. Biochem. 1996, 239, 160–167. [Google Scholar] [CrossRef]
- Gonzálvez, A.; Garrigues, S.; Armenta, S.; De la Guardia, M. Miguel Determination at Low Ppm Levels of Dithiocarbamate Residues in Foodstuff by Vapour Phase-Liquid Phase Microextraction-Infrared Spectroscopy. Anal. Chim. Acta 2011, 688, 191–196. [Google Scholar] [CrossRef] [PubMed]
- Han, B.; Li, Y.; Qian, B.; He, Y.; Peng, L.; Yu, H. A Novel Liquid Chromatography Detector Based on a Dielectric Barrier Discharge Molecular Emission Spectrometer with Online Microwave-Assisted Hydrolysis for Determination of Dithiocarbamates. Analyst 2018, 143, 2790–2798. [Google Scholar] [CrossRef]
- Ripley, B.D.; Lissermore, L.I.; Leishman, P.D.; Denommé, M.A. Pesticide Residues on Fruits and Vegetables from Ontario, Canada, 1991–1995. J. AOAC Int. 2000, 83, 196–213. [Google Scholar] [CrossRef] [PubMed]
- Dogheim, S.M.; El-Marsafy, A.M.; Salama, E.Y.; Gadalla, S.A.; Nabil, Y.M. Monitoring of Pesticide Residues in Egyptian Fruits and Vegetables during 1997. Food Addit. Contam. 2002, 19, 1015–1027. [Google Scholar] [CrossRef]
- Morzycka, B.; Nowacka, A. Monitoring of Dithiocarbamate Fungicides in Polish Crops during 1999–2000. J. Plant Prot. Res. 2001, 42, 57–63. [Google Scholar]
- Vryzas, Z.; Papadakis, E.N.; Papadopoulou-Mourkidou, E. Microwave-Assisted Extraction (MAE)−Acid Hydrolysis of Dithiocarbamates for Trace Analysis in Tobacco and Peaches. J. Agric. Food Chem. 2002, 50, 2220–2226. [Google Scholar] [CrossRef] [PubMed]
- Gad Alla, S.A. Monitoring of Dithiocarbamate (EBDC) Residues in Fruits and Vegetables throughout 1995–1999 and Estimation of Their Daily Intakes in Egypt. Egypt. J. Agric. Res. 2002, 80, 583–596. [Google Scholar]
- Nowacka, A. Polish Monitoring of Pesticide Residues in Crops. In Proceedings of the 6th Slovenian Conference on Plant Protection, Zreče, Slovenia, 4–6 March 2003; pp. 34–41. [Google Scholar]
- Caldas, E.D.; Miranda, M.C.C.; Conceição, M.H.; de Souza, L.C.K.R. Dithiocarbamates Residues in Brazilian Food and the Potential Risk for Consumers. Food Chem. Toxicol. 2004, 42, 1877–1883. [Google Scholar] [CrossRef]
- Guidotti, M.; Stella, D.; Blasi, G. Determination of Dithiocarbamate Residues as CS2 in Products of Vegetable Origin. In Proceedings of the 27th International Symposium on Capillary Chromatography, Riva del Garda, Italy, 31 May–4 June 2004. [Google Scholar]
- Kovacevic, D.; Jovanovic, A.; Pucarevic, M.; Rajkovic, M.B. Determination of Dithiocarbamates in Raspberries (Rubus idaeus L.) by Gas Chromatography via Head Space. Jugosl. Voćarstvo 2004, 38, 127–133. [Google Scholar]
- Kontou, S.; Tsipi, D.; Tzia, C. Stability of the Dithiocarbamate Pesticide Maneb in Tomato Homogenates during Cold Storage and Thermal Processing. Food Addit. Contam. 2004, 21, 1083–1089. [Google Scholar] [CrossRef]
- Chang, J.-M.; Chen, T.-H.; Fang, T.-J. Pesticide Residue Monitoring in Marketed Fresh Vegetables and Fruits in Central Taiwan (1999–2004) and an Introduction to the HACCP System. J. Food Drug Anal. 2005, 13, 5. [Google Scholar] [CrossRef]
- Česnik, H.B.; Gregorčič, A.; Bolta, Š.V.; Kmecl, V. Monitoring of Pesticide Residues in Apples, Lettuce and Potato of the Slovene Origin, 2001–2004. Food Addit. Contam. 2006, 23, 164–173. [Google Scholar] [CrossRef] [PubMed]
- Česnik, H.B.; Gregorčič, A. Validation of the Method for the Determination of Dithiocarbamates and Thiuram Disulphide on Apple, Lettuce, Potato, Strawberry and Tomato Matrix. Acta Chim. Slov. 2006, 53, 100–104. [Google Scholar]
- Papadopoulou-Mourkidou, E.; Papadakis, E.N.; Vryzas, Z. Application of Microwave-Assisted Extraction for the Analysis of Dithiocarbamates in Food Matrices. Pestic. Protoc. 2006, 19, 319–329. [Google Scholar]
- Česnik, H.B.; Gregorčič, A.; Velikonja Bolta, S. Plant Protection Product Residues in Apples, Cauliflower, Cereals, Grapes, Lettuce, Peas, Peppers, Potatoes and Strawberries of the Slovene Origin. J. Cent. Eur. Agric. 2007, 10, 311–320. [Google Scholar]
- Bazzi, L.; Zougagh, M.; Salghi, R.; Hormatallah, A.; Lemerhyeratte, A.; Mihit, M.; Chakir, A. Pesticide Residue Monitoring in Green Beans from Souss-Massa (Morocco) and Half-Life Times of Dithiocarbamate Fungicide on Green Beans after Field Treatments by Mancozeb and Mefenoxam. Orient. J. Chem. 2009, 25, 461–470. [Google Scholar]
- Lazić, S.D.; Bursić, V.P.; Vuković, S.M.; Šunjka, D.B.; Pucarević, M.M. Pucarević Pesticide Residues in Vegetable Samples from the Market of the Republic of Serbia during 2007. Acta Hortic. 2009, 830, 569–576. [Google Scholar] [CrossRef]
- Berrada, H.; Fernández, M.; Ruiz, M.J.; Moltó, J.C.; Mañes, J.; Font, G. Surveillance of Pesticide Residues in Fruits from Valencia during Twenty Months (2004/05). Food Control 2010, 21, 36–44. [Google Scholar] [CrossRef]
- Khorshed, M.; Gomaa, A.; Attallah, E.; Amer, M. Ethylene-Bis- Dithiocarbamates Residues in Some Food and the Potential Risk for Egyptian Consumers. J. Plant Prot. Pathol. 2010, 1, 733–741. [Google Scholar] [CrossRef]
- El-Gohary, A.A.; Hassan, A. Method Validation of Dithiocarbamates Residues on Some Egyptian Commodieties Using GC-MS Instrument. J. Plant Prot. Pathol. 2011, 2, 59–65. [Google Scholar] [CrossRef]
- Łozowicka, B.; Kaczynski, P. Pesticide Residues in Apples (2005–2010). Arch. Environ. Prot. 2011, 37, 43–54. [Google Scholar]
- Bempelou, E.; Liapis, K.S.; Miliadis, G.E. Validation of Single Residue Methods for the Determination of Dithiocarbamates and Inorganic Bromide Residues in Plant Products. Hell. Plant Prot. J. 2012, 5, 57–64. [Google Scholar]
- El-Sawi, S.; Khorshed, M.; Nabil, Y.; Mahmoud, A. Monitoring and Risk Exposure Studies of Some Pesticide Residues Detected in Egyptian Fruit and Vegetables. J. Plant Prot. Pathol. 2012, 3, 253–271. [Google Scholar] [CrossRef]
- Pucarević, M.; Bursić, V.; Lazić, S.; Radović, V.; Durović, R.; Grahovac, M. Trends of Dithiocarbamate Residues in Raspberries in the Republic of Serbia over the Period 2007/2010. Acta Hortic. 2012, 946, 327–332. [Google Scholar] [CrossRef]
- Kostik, V. Determination of Pesticide Residues in Plant-Based Foods from the Republic of Macedonia. J. Food Nutr. Sci. 2014, 2, 124. [Google Scholar] [CrossRef]
- Mujawar, S.; Utture, S.C.; Fonseca, E.; Matarrita, J.; Banerjee, K. Validation of a GC–MS Method for the Estimation of Dithiocarbamate Fungicide Residues and Safety Evaluation of Mancozeb in Fruits and Vegetables. Food Chem. 2014, 150, 175–181. [Google Scholar] [CrossRef]
- Szpyrka, E.; Kurdziel, A.; Rupar, J.; Słowik-Boroweic, M. Pesticide Residues in Fruit and Vegetable Crops from the Central and Eastern Region of Poland. Rocz. Państwowego Zakładu Hig. 2015, 66, 107–113. [Google Scholar]
- Łozowicka, B.; Hrynko, I.; Kaczyński, P.; Rutkowska, E.; Jankowska, M.; Mojsak, P. Occurrence of Pesticide Residues in Fruit from Podlasie (Poland) in 2012. J. Plant Prot. Res. 2015, 55, 142–150. [Google Scholar] [CrossRef]
- Szpyrka, E.; Slowik-Borowiec, M.; Matyaszek, A.; Podbielska, M.; Rupar, J. Pesticide Residues in Raw Agricultural Products from the South Eastern Region of Poland and the Acute Risk Assessment. Rocz. Państwowego Zakładu Hig. 2016, 67, 237–245. [Google Scholar]
- Addi, E.H.A. Dissipation Behavior of a Mancozeb Residue (Dithiocarbamate Fungicide) in Tomato under South Moroccan Climatic Condition. IRA-Int. J. Appl. Sci. 2017, 7, 62. [Google Scholar] [CrossRef]
- Atuhaire, A.; Kaye, E.; Mutambuze, I.L.; Matthews, G.; Friedrich, T.; Jørs, E. Assessment of Dithiocarbamate Residues on Tomatoes Conventionally Grown in Uganda and the Effect of Simple Washing to Reduce Exposure Risk to Consumers. Environ. Health Insights 2017, 11, 117863021771221. [Google Scholar] [CrossRef] [PubMed]
- Pizzutti, I.; de Kok, A.; da Silva, R.; Rohers, G. Comparison between Three Chromatographic (GC-ECD, GC-PFPD and GC-ITD-MS) Methods and a UV-Vis Spectrophotometric Method for the Determination of Dithiocarbamates in Lettuce. J. Braz. Chem. Soc. 2017, 28, 775–781. [Google Scholar] [CrossRef]
- Song, S.; Wei, J.; Chen, Z.; Lei, Y.; Zhang, Y.; Deng, C.; Tan, H.; Li, X. Determination of Propineb and Its Metabolites Propylenethiourea and Propylenediamine in Banana and Soil Using Gas Chromatography with Flame Photometric Detection and LC–MS/MS Analysis. J. Environ. Sci. Health Part B 2017, 53, 153–160. [Google Scholar] [CrossRef]
- Arslan, S.; Mert, I.D.; Yiğitkaya, S.; Dagaşan, O.; Sakallı, F.N.; Oztürk, S. The False Positive Effect of Residue of Sulphur Sources on Dithiocarbamate Analysis Based on CS2 Measurement. Food Addit. Contam. Part A 2019, 36, 131–140. [Google Scholar] [CrossRef]
- Mozzaquatro, J.; Mello, D.; Oliveira, R.; Rosa, R.; Costa, A.; Caldas, E. Dithiocarbamate Residues in Fruits and Leaves of Passion Fruit (Passiflora edulis) from Different Brazilian Regions. J. Braz. Chem. Soc. 2019, 30, 1834–1840. [Google Scholar] [CrossRef]
- Patil, C.; Deore, B.; Saindane, Y. Residues Dnd Dissipation of Mancozeb 75% WP In/on Onion. Int. J. Chem. Stud. 2020, 8, 2433–2437. [Google Scholar] [CrossRef][Green Version]
- Rahman, A.A. Pesticides Residue Analysis of Fruits for Farm Accreditation Schemes in Sabah, Malysia. Int. Symp. Trop. Fruits 2019, 123, 28–31. [Google Scholar]
- de Araujo, F.J.M.; Mello, D.C.; Junqueira, A.M.R.; Caldas, E.D. Análise de Resíduos de Fungicidas Ditiocarbamatos Em Hortaliças Produzidas Na Região de Vargem Bonita, Distrito Federal. Hortic. Bras. 2022, 40, 226–230. [Google Scholar] [CrossRef]
- Kontou, S.; Tsipi, D.; Oreopoulou, V.; Tzia, C. Determination of ETU in Tomatoes and Tomato Products by HPLC-PDA. Evaluation of Cleanup Procedures. J. Agric. Food Chem. 2001, 49, 1090–1097. [Google Scholar] [CrossRef]
- Bonnechère, A.; Hanot, V.; Van Loco, J. A Rapid and Environmental Friendly Determination of the Dithiocarbamate Metabolites Ethylenethiourea and Propylenethiourea in Fruit and Vegetables by Ultra High Performance Liquid Chromatography Tandem Mass Spectrometry. J. Chromatogr. A 2011, 1218, 4627–4631. [Google Scholar] [CrossRef]
- Peruga, A.; Grimalt, S.; López, F.J.; Sancho, J.V.; Hernández, F. Optimisation and Validation of a Specific Analytical Method for the Determination of Thiram Residues in Fruits and Vegetables by LC–MS/MS. Food Chem. 2012, 135, 186–192. [Google Scholar] [CrossRef]
- Bansal, O.P. Health Impacts of the Carbamate and Dithiocarbamate Pesticides: A Review. Int. J. Sci. Res. Publ. (IJSRP) 2022, 12, 366. [Google Scholar] [CrossRef]
- Saad, B.; Chandran, M.; Saleh, M. Flow-Injection Spectrophotometric Method for the Determination of Ziram (Dithiocarbamate Fungicide). Malays. J. Anal. Sci. 2001, 7, 103–107. [Google Scholar]
- Nakazawa, H.; Tsuda, Y.; Ito, K.; Yoshimura, Y.; Kubo, H.; Homma, H. Determination of Dithiocarbamate Fungicides by Reversed-Phase Ion-Pair Liquid Chromatography with Chemiluminescence Detection. J. Liq. Chromatogr. Relat. Technol. 2004, 27, 705–713. [Google Scholar] [CrossRef]
- Turker, A.R.; Sezer, B. Indirect Determination of Maneb (Manganese Ethylenebisdithiocarbamate) in Some Foods by Flame Atomic Absorption Spectrometry. Gazi Univ. J. Sci. 2004, 18, 93–101. [Google Scholar]
- Cajka, T.; Riddellova, K.; Zomer, P.; Mol, H.; Hajslova, J. Direct Analysis of Dithiocarbamate Fungicides in Fruit by Ambient Mass Spectrometry. Food Addit. Contam. Part A 2011, 28, 1372–1382. [Google Scholar] [CrossRef]
- Martins, F.C.O.L.; Batista, A.D.; Melchert, W.R. Current Overview and Perspectives in Environmentally Friendly Microextractions of Carbamates and Dithiocarbamates. Compr. Rev. Food Sci. Food Saf. 2021, 20, 6116–6145. [Google Scholar] [CrossRef]
- Martins, F.C.O.L.; Melchert, W.R. Solid-Liquid Phase Microextraction Coupled to Digital Images for Determination of Dithiocarbamates in Food Samples. Microchem. J. 2025, 213, 113614. [Google Scholar] [CrossRef]
- Blasco, C.; Font, G.; Picó, Y. Determination of Dithiocarbamates and Metabolites in Plants by Liquid Chromatography–Mass Spectrometry. J. Chromatogr. A 2004, 1028, 267–276. [Google Scholar] [CrossRef]
- Crnogorac, G.; Schwack, W. Determination of Dithiocarbamate Fungicide Residues by Liquid Chromatography/Mass Spectrometry and Stable Isotope Dilution Assay. Rapid Commun. Mass Spectrom. 2007, 21, 4009–4016. [Google Scholar] [CrossRef]
- Hayama, T.; Takada, M. Simple and Rapid Method for the Determination of Ethylenebisdithiocarbamate Fungicides in Fruits and Vegetables Using Liquid Chromatography with Tandem Mass Spectrometry. Anal. Bioanal. Chem. 2008, 392, 969–976. [Google Scholar] [CrossRef]
- Qiu, P.; Ni, Y.N. Determination of Ziram in Vegetable Samples by Square Wave Voltammetry. Chin. Chem. Lett. 2008, 19, 1337–1340. [Google Scholar] [CrossRef]
- Nakamura, M.; Noda, S.; Kosugi, M.; Ishiduka, N.; Mizukoshi, K.; Taniguchi, M.; Nemoto, S. Determination of Dithiocarbamates and Milneb Residues in Foods by Gas Chromatography-Mass Spectrometry. Food Hyg. Saf. Sci. (Shokuhin Eiseigaku Zasshi) 2010, 51, 213–219. [Google Scholar] [CrossRef]
- Jafari, A.; Shoeibi, S.; Amini, M.; Amirahmadi, M.; Rastegar, H.; Ghaffarian, A.; Ghazi-Khansari, M. Monitoring Dithiocarbamate Fungicide Residues in Greenhouse and Non-Greenhouse Tomatoes in Iran by HPLC-UV. Food Addit. Contam. Part B 2012, 5, 87–92. [Google Scholar] [CrossRef] [PubMed]
- Chung, S.W.C.; Lam, C.H. Development and Validation of a Method for Determination of Residues of 15 Pyrethroids and Two Metabolites of Dithiocarbamates in Foods by Ultra-Performance Liquid Chromatography–Tandem Mass Spectrometry. Anal. Bioanal. Chem. 2012, 403, 885–896. [Google Scholar] [CrossRef] [PubMed]
- López-Fernández, O.; Rial-Otero, R.; González-Barreiro, C.; Simal-Gándara, J. Surveillance of Fungicidal Dithiocarbamate Residues in Fruits and Vegetables. Food Chem. 2012, 134, 366–374. [Google Scholar] [CrossRef]
- Ivanova, B.; Spiteller, M. Solid-State UV–MALDI–MS Assay of Transition Metal Dithiocarbamate Fungicides. Environ. Sci. Pollut. Res. 2013, 21, 1163–1177. [Google Scholar] [CrossRef]
- Ringli, D.; Schwack, W. Selective Determination of Thiram Residues in Fruit and Vegetables by Hydrophilic Interaction LC-MS. Food Addit. Contam. Part A 2013, 30, 1909–1917. [Google Scholar] [CrossRef]
- Amorello, D.; Orecchio, S. Micro-Determination of Dithiocarbamates in Pesticide Formulations Using Voltammetry. Microchem. J. 2013, 110, 334–339. [Google Scholar] [CrossRef]
- Rastegarzadeh, S.; Pourreza, N.; Larki, A. Dispersive Liquid–Liquid Microextraction of Thiram Followed by Microvolume UV–Vis Spectrophotometric Determination. Spectrochim. Acta Part A Mol. Biomol. Spectrosc. 2013, 114, 46–50. [Google Scholar] [CrossRef]
- Schmidt, B.; Christensen, H.B.; Petersen, A.; Sloth, J.J.; Poulsen, M.E. Method Validation and Analysis of Nine Dithiocarbamates in Fruits and Vegetables by LC-MS/MS. Food Addit. Contam. Part A 2013, 30, 1287–1298. [Google Scholar] [CrossRef]
- Rohit, J.V.; Solanki, J.N.; Kailasa, S.K. Surface Modification of Silver Nanoparticles with Dopamine Dithiocarbamate for Selective Colorimetric Sensing of Mancozeb in Environmental Samples. Sens. Actuators B Chem. 2014, 200, 219–226. [Google Scholar] [CrossRef]
- Rossi Lemes, V.R.; Martins-Júnior, H.A.; Carvalho de Souza, S.V.; Colacioppo, S. Ethylenethiourea in Fruits: Optimization and In-House Validation of a Method by Liquid Chromatography Tandem Mass Spectrometry, Occurrence and Dietary Exposure Assessment. Food Control 2014, 42, 321–328. [Google Scholar] [CrossRef]
- Charoenkitamorn, K.; Chailapakul, O.; Siangproh, W. Development of Gold Nanoparticles Modified Screen-Printed Carbon Electrode for the Analysis of Thiram, Disulfiram and Their Derivative in Food Using Ultra-High Performance Liquid Chromatography. Talanta 2015, 132, 416–423. [Google Scholar] [CrossRef]
- Al-Alam, J.; Bom, L.; Chbani, A.; Fajloun, Z.; Millet, M. Analysis of Dithiocarbamate Fungicides in Vegetable Matrices Using HPLC-UV Followed by Atomic Absorption Spectrometry. J. Chromatogr. Sci. 2017, 55, 429–435. [Google Scholar] [CrossRef]
- Kakitani, A.; Yoshioka, T.; Nagatomi, Y.; Harayama, K. A Rapid and Sensitive Analysis of Dithiocarbamate Fungicides Using Modified QuEChERS Method and Liquid Chromatography–Tandem Mass Spectrometry. J. Pestic. Sci. 2017, 42, 145–150. [Google Scholar] [CrossRef] [PubMed]
- Chen, M.; Luo, W.; Liu, Q.; Hao, N.; Zhu, Y.; Liu, M.; Wang, L.; Yang, H.; Chen, X. Simultaneous in Situ Extraction and Fabrication of Surface-Enhanced Raman Scattering Substrate for Reliable Detection of Thiram Residue. Anal. Chem. 2018, 90, 13647–13654. [Google Scholar] [CrossRef] [PubMed]
- Ghoto, S.A.; Khuhawar, M.Y.; Jahangir, T.M. Silver Nanoparticles with Sodium Dodecyl Sulfate as a Colorimetric Probe for the Detection of Dithiocarbamate Pesticides in Environmental Samples. Anal. Sci. 2019, 35, 631–637. [Google Scholar] [CrossRef]
- Ghoto, S.A.; Khuhawar, M.Y.; Jahangir, T.M.; Mangi, J.U.D. Applications of Copper Nanoparticles for Colorimetric Detection of Dithiocarbamate Pesticides. J. Nanostruct. Chem. 2019, 9, 77–93. [Google Scholar] [CrossRef]
- Bodur, S.; Erarpat, S.; Günkara, Ö.T.; Chormey, D.S.; Bakırdere, S. A New Derivatization Method for the Determination of Propineb in Black Tea and Infant Formula Samples Using Dispersive Liquid-Liquid Microextraction Followed by Gas Chromatography-Mass Spectrometry. Talanta 2020, 213, 120846. [Google Scholar] [CrossRef] [PubMed]
- Eswaran, S.G.; Mamat, M.H.; Vasimalai, N. Spectrophotometric Detection of Thiram Pesticide in Vegetables, Fruits, Soil and Water Samples Using Silane-Modified Silver Nanoparticles. J. Food Compos. Anal. 2023, 120, 105327. [Google Scholar] [CrossRef]
- Wei, L.; Gan, W.; Cai, M.; Cai, H.; Zhang, G.; Cheng, X. Development of a Novel HPLC-CDCL Method Utilizing Nitrogen-Doped Carbon Dots for Sensitive and Selective Detection of Dithiocarbamate Pesticides in Tea. Food Chem. 2024, 458, 140237. [Google Scholar] [CrossRef] [PubMed]
Disclaimer/Publisher’s Note: The statements, opinions and data contained in all publications are solely those of the individual author(s) and contributor(s) and not of MDPI and/or the editor(s). MDPI and/or the editor(s) disclaim responsibility for any injury to people or property resulting from any ideas, methods, instructions or products referred to in the content. |
© 2025 by the authors. Licensee MDPI, Basel, Switzerland. This article is an open access article distributed under the terms and conditions of the Creative Commons Attribution (CC BY) license (https://creativecommons.org/licenses/by/4.0/).




