Quantitative Soil Characterization for Biochar–Cd Adsorption: Machine Learning Prediction Models for Cd Transformation and Immobilization
Abstract
1. Introduction
2. Materials and Methods
2.1. Soil Samples Description
2.2. Biochar Preparation
2.3. Incubation Experiment
2.4. Proposed Machine Learning Methods
2.4.1. LSTM Model
2.4.2. BiGRU Model
2.4.3. 5-Layer CNN
2.5. Statistical Analysis
3. Results and Discussion
3.1. Effect of the Amendment on Incubation Soil Physiochemical Characteristics Relates to Cd Concentrations
3.1.1. Soil pH Affects Cd Availability
3.1.2. Changing Soil Organic Carbon Affects Cd Availability
3.1.3. Soils EC Affects Cd Availability
3.1.4. Changing Soil CEC Affects Cd Availability
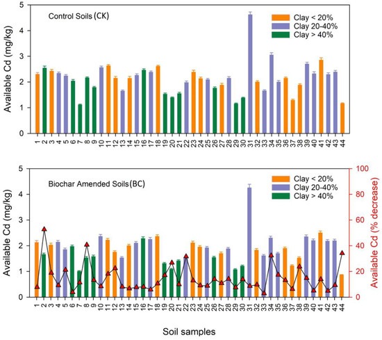
3.1.5. Effect of Soil Clay on Cd Availability
3.2. Machine Learning-Based Soil Cd Concentration Prediction Models
3.2.1. Case 1: Assess CK Soils Using Machine Learning Models
3.2.2. Case 2: Evaluated Applied BC Soils Using Machine Learning Models
4. Conclusions
Supplementary Materials
Author Contributions
Funding
Institutional Review Board Statement
Informed Consent Statement
Data Availability Statement
Conflicts of Interest
References
- Nawab, J.; Ghani, J.; Khan, S.; Xiaoping, W. Minimizing the Risk to Human Health Due to the Ingestion of Arsenic and Toxic Metals in Vegetables by the Application of Biochar, Farmyard Manure and Peat Moss. J. Environ. Manag. 2018, 214, 172–183. [Google Scholar] [CrossRef] [PubMed]
- Song, C.; Ye, F.; Zhang, H.; Hong, J.; Hua, C.; Wang, B.; Chen, Y.; Ji, R.; Zhao, L. Metal(Loid) Oxides and Metal Sulfides Nanomaterials Reduced Heavy Metals Uptake in Soil Cultivated Cucumber Plants. Environ. Pollut. 2019, 255, 113354. [Google Scholar] [CrossRef] [PubMed]
- Guo, J.; Yan, C.; Luo, Z.; Fang, H.; Hu, S.; Cao, Y. Synthesis of a Novel Ternary HA/Fe-Mn Oxides-Loaded Biochar Composite and Its Application in Cadmium(II) and Arsenic(V) Adsorption. J. Environ. Sci. 2019, 85, 168–176. [Google Scholar] [CrossRef] [PubMed]
- Liao, X.; Zhang, C.; Sun, G.; Li, Z.; Shang, L.; Fu, Y.; He, Y.; Yang, Y. Assessment of Metalloid and Metal Contamination in Soils from Hainan, China. Int. J. Environ. Res. Public Health 2018, 15, 454. [Google Scholar] [CrossRef] [PubMed]
- Li, H.; Wu, W.; Min, X.; Zhan, W.; Fang, T.; Dong, X.; Shi, Y. Immobilization and Assessment of Heavy Metals in Chicken Manure Compost Amended with Rice Straw-Derived Biochar. Environ. Pollut. Bioavailab. 2021, 33, 1–10. [Google Scholar] [CrossRef]
- Mahfooz, Y.; Yasar, A.; Guijian, L.; Islam, Q.U.; Akhtar, A.B.T.; Rasheed, R.; Irshad, S.; Naeem, U. Critical Risk Analysis of Metals Toxicity in Wastewater Irrigated Soil and Crops: A Study of a Semi-Arid Developing Region. Sci. Rep. 2020, 10, 1–11. [Google Scholar] [CrossRef]
- Wu, D.; Shi, Y.; Wang, M.; Ran, M.; Wang, Y.; Tian, L.; Ye, H.; Han, F. A Baseline Study on the Distribution Characteristics and Health Risk Assessment of Cadmium in Edible Tissues of the Swimming Crabs (Portunus trituberculatus) from Shanghai, China. Mar. Pollut. Bull. 2022, 185, 114253. [Google Scholar] [CrossRef]
- Jian, S.; Lei, Y.; Li, B.; Lv, Y.; Gao, X.; Yang, X. Investigation of Sulfate on the Migration/Solidification Mechanism and Control of Cadmium during Sintering in Lightweight Aggregates. Constr. Build. Mater. 2022, 352, 129041. [Google Scholar] [CrossRef]
- Zhang, P.; Xue, B.; Jiao, L.; Meng, X.; Zhang, L.; Li, B.; Sun, H. Preparation of Ball-Milled Phosphorus-Loaded Biochar and Its Highly Effective Remediation for Cd- and Pb-Contaminated Alkaline Soil. Sci. Total Environ. 2022, 813, 152648. [Google Scholar] [CrossRef]
- Munir, M.A.M.; Liu, G.; Yousaf, B.; Ali, M.U.; Cheema, A.I.; Rashid, M.S.; Rehman, A. Bamboo-Biochar and Hydrothermally Treated-Coal Mediated Geochemical Speciation, Transformation and Uptake of Cd, Cr, and Pb in a Polymetal(Iod)s-Contaminated Mine Soil. Environ. Pollut. 2020, 265, 114816. [Google Scholar] [CrossRef]
- Lu, K.; Yang, X.; Gielen, G.; Bolan, N.; Ok, Y.S.; Niazi, N.K.; Xu, S.; Yuan, G.; Chen, X.; Zhang, X.; et al. Effect of Bamboo and Rice Straw Biochars on the Mobility and Redistribution of Heavy Metals (Cd, Cu, Pb and Zn) in Contaminated Soil. J. Environ. Manag. 2017, 186, 285–292. [Google Scholar] [CrossRef]
- Wang, S.; Xu, Y.; Norbu, N.; Wang, Z. Remediation of Biochar on Heavy Metal Polluted Soils. IOP Conf. Ser. Earth Environ. Sci. 2018, 108, 042113. [Google Scholar] [CrossRef]
- Meng, F.; Huang, Q.; Cai, Y.; Xiao, L.; Wang, T.; Li, X.; Wu, W.; Yuan, G. A Comparative Assessment of Humic Acid and Biochar Altering Cadmium and Arsenic Fractions in a Paddy Soil. J. Soils Sediments 2023, 23, 845–855. [Google Scholar] [CrossRef]
- Lu, Y.; Cheng, J.; Wang, J.; Zhang, F.; Tian, Y.; Liu, C.; Cao, L.; Zhou, Y. Efficient Remediation of Cadmium Contamination in Soil by Functionalized Biochar: Recent Advances, Challenges, and Future Prospects. Processes 2022, 10, 1627. [Google Scholar] [CrossRef]
- Yu, K.; Fang, S.; Zhao, Y. Heavy Metal Hg Stress Detection in Tobacco Plant Using Hyperspectral Sensing and Data-Driven Machine Learning Methods. Spectrochim. Acta Part A Mol. Biomol. Spectrosc. 2021, 245, 118917. [Google Scholar] [CrossRef] [PubMed]
- Li, J.; Yang, Z.; Zhao, Y.; Yu, K. HSI Combined with CNN Model Detection of Heavy Metal Cu Stress Levels in Apple Rootstocks. Microchem. J. 2023, 194, 109306. [Google Scholar] [CrossRef]
- Sun, J.; Cao, Y.; Zhou, X.; Wu, M.; Sun, Y.; Hu, Y. Detection for Lead Pollution Level of Lettuce Leaves Based on Deep Belief Network Combined with Hyperspectral Image Technology. J. Food Saf. 2021, 41, e12866. [Google Scholar] [CrossRef]
- Lu, X.Q.; Tian, J.; Liao, Q.; Xu, Z.W.; Gan, L. CNN-LSTM Based Incremental Attention Mechanism Enabled Phase-Space Reconstruction for Chaotic Time Series Prediction. J. Electron. Sci. Technol. 2024, 22, 100256. [Google Scholar] [CrossRef]
- Chopannejad, S.; Roshanpoor, A.; Sadoughi, F. Attention-Assisted Hybrid CNN-BILSTM-BiGRU Model with SMOTE–Tomek Method to Detect Cardiac Arrhythmia Based on 12-Lead Electrocardiogram Signals. Digit. Health 2024, 10. [Google Scholar] [CrossRef]
- da Silva, D.G.; de Moura Meneses, A.A. Comparing Long Short-Term Memory (LSTM) and Bidirectional LSTM Deep Neural Networks for Power Consumption Prediction. Energy Rep. 2023, 10, 3315–3334. [Google Scholar] [CrossRef]
- Nguyen, T.N.; Lee, S.; Nguyen-Xuan, H.; Lee, J. A Novel Analysis-Prediction Approach for Geometrically Nonlinear Problems Using Group Method of Data Handling. Comput. Methods Appl. Mech. Eng. 2019, 354, 506–526. [Google Scholar] [CrossRef]
- Deng, Y.; Huang, S.; Laird, D.A.; Wang, X.; Meng, Z. Adsorption Behaviour and Mechanisms of Cadmium and Nickel on Rice Straw Biochars in Single- and Binary-Metal Systems. Chemosphere 2019, 218, 308–318. [Google Scholar] [CrossRef] [PubMed]
- Rahim, H.U.; Akbar, W.A.; Alatalo, J.M. A Comprehensive Literature Review on Cadmium (Cd) Status in the Soil Environment and Its Immobilization by Biochar-Based Materials. Agronomy 2022, 12, 877. [Google Scholar] [CrossRef]
- Li, D.; Lai, C.; Li, Y.; Li, H.; Chen, G.; Lu, Q. Biochar Improves Cd-Contaminated Soil and Lowers Cd Accumulation in Chinese Flowering Cabbage (Brassica parachinensis L.). Soil Tillage Res. 2021, 213, 105085. [Google Scholar] [CrossRef]
- Zhang, H.; Yue, X.; Li, F.; Xiao, R.; Zhang, Y.; Gu, D. Preparation of Rice Straw-Derived Biochar for Efficient Cadmium Removal by Modification of Oxygen-Containing Functional Groups. Sci. Total Environ. 2018, 631–632, 795–802. [Google Scholar] [CrossRef]
- Qi, F.; Lamb, D.; Naidu, R.; Bolan, N.S.; Yan, Y.; Ok, Y.S.; Rahman, M.M.; Choppala, G. Cadmium Solubility and Bioavailability in Soils Amended with Acidic and Neutral Biochar. Sci. Total Environ. 2018, 610–611, 1457–1466. [Google Scholar] [CrossRef] [PubMed]
- Antonangelo, J.A.; Sun, X.; Zhang, H. The Roles of Co-Composted Biochar (COMBI) in Improving Soil Quality, Crop Productivity, and Toxic Metal Amelioration. J. Environ. Manag. 2021, 277, 111443. [Google Scholar] [CrossRef] [PubMed]
- Chagas, J.K.M.; Figueiredo, C.C.d.; da Silva, J.; Paz-Ferreiro, J. The Residual Effect of Sewage Sludge Biochar on Soil Availability and Bioaccumulation of Heavy Metals: Evidence from a Three-Year Field Experiment. J. Environ. Manag. 2021, 279, 111824. [Google Scholar] [CrossRef]
- Yuan, C.; Li, Q.; Sun, Z.; Sun, H. Effects of Natural Organic Matter on Cadmium Mobility in Paddy Soil: A Review. J. Environ. Sci. 2021, 104, 204–215. [Google Scholar] [CrossRef]
- Zhang, J.; Li, S. Air Quality Index Forecast in Beijing Based on CNN-LSTM Multi-Model. Chemosphere 2022, 308, 136180. [Google Scholar] [CrossRef]
- Mei, P.; Li, M.; Zhang, Q.; Li, G.; Song, L. Prediction Model of Drinking Water Source Quality with Potential Industrial-Agricultural Pollution Based on CNN-GRU-Attention. J. Hydrol. 2022, 610, 127934. [Google Scholar] [CrossRef]
- Nguyen, H.; Vu, T.; Vo, T.P.; Thai, H.-T. Efficient Machine Learning Models for Prediction of Concrete Strengths. Constr. Build. Mater. 2021, 266, 120950. [Google Scholar] [CrossRef]
- Iluore, K.; Lu, J. Long Short-Term Memory and Gated Recurrent Neural Networks to Predict the Ionospheric Vertical Total Electron Content. Adv. Sp. Res. 2022, 70, 652–665. [Google Scholar] [CrossRef]
- Haris, M.; Hamid, Y.; Usman, M.; Wang, L.; Saleem, A.; Su, F.; Guo, J.K.; Li, Y. Crop-Residues Derived Biochar: Synthesis, Properties, Characterization and Application for the Removal of Trace Elements in Soils. J. Hazard. Mater. 2021, 416, 126212. [Google Scholar] [CrossRef]
- Abbas, Q.; Liu, G.; Yousaf, B.; Ali, M.U.; Ullah, H.; Ahmed, R. Effects of Biochar on Uptake, Acquisition and Translocation of Silver Nanoparticles in Rice (Oryza sativa L.) in Relation to Growth, Photosynthetic Traits and Nutrients Displacement. Environ. Pollut. 2019, 250, 728–736. [Google Scholar] [CrossRef] [PubMed]
- Walkley, A.J.; Black, I.A. Standard Operating Procedure for Soil Organic Carbon Walkley-Black Method. Food Agric. Organ. United Nations 1934, 1, 27. [Google Scholar]
- Ross, D.; Kettering, Q. Recommended Methods for Determining Soil Cation Exchange Capacity. Chapter 9. In Recommended Soil Testing Procedures for the Northeastern United States; Bulletin No 193; College of Agriculture & Natural Resources: Newark, DE, USA, 2011; pp. 75–86. [Google Scholar]
- Jin, X.; Zhang, J.; Wang, X.; Zhang, X.; Guo, T.; Shi, C.; Su, T.; Kong, J.; Bai, Y. A Deep Network Prediction Model for Heavy Metal Cadmium in the Rice Supply Chain. J. Futur. Foods 2021, 1, 196–202. [Google Scholar] [CrossRef]
- Greeshma, M.; Simon, P. Bidirectional Gated Recurrent Unit with Glove Embedding and Attention Mechanism for Movie Review Classification. Procedia Comput. Sci. 2024, 233, 528–536. [Google Scholar] [CrossRef]
- Alzubaidi, L.; Zhang, J.; Humaidi, A.J.; Al-Dujaili, A.; Duan, Y.; Al-Shamma, O.; Santamaría, J.; Fadhel, M.A.; Al-Amidie, M.; Farhan, L. Review of Deep Learning: Concepts, CNN Architectures, Challenges, Applications, Future Directions. J. Big Data 2021, 8, 53. [Google Scholar] [CrossRef]
- El-Naggar, A.; Shaheen, S.M.; Ok, Y.S.; Rinklebe, J. Biochar Affects the Dissolved and Colloidal Concentrations of Cd, Cu, Ni, and Zn and Their Phytoavailability and Potential Mobility in a Mining Soil under Dynamic Redox-Conditions. Sci. Total Environ. 2018, 624, 1059–1071. [Google Scholar] [CrossRef]
- Liu, L.; Huang, L.; Huang, R.; Lin, H.; Wang, D. Immobilization of Heavy Metals in Biochar Derived from Co-Pyrolysis of Sewage Sludge and Calcium Sulfate. J. Hazard. Mater. 2021, 403, 123648. [Google Scholar] [CrossRef] [PubMed]
- Trakal, L.; Vítková, M.; Hudcová, B.; Beesley, L.; Komárek, M. Chapter 7—Biochar and Its Composites for Metal(Loid) Removal from Aqueous Solutions. In Biochar from Biomass and Waste, Fundamentals and Applications; Elsevier: Amsterdam, The Netherlands, 2018; pp. 113–141. [Google Scholar] [CrossRef]
- Liao, S.; Pan, B.; Li, H.; Zhang, D.; Xing, B. Detecting Free Radicals in Biochars and Determining Their Ability to Inhibit the Germination and Growth of Corn, Wheat and Rice Seedlings. Environ. Sci. Technol. 2014, 48, 8581–8587. [Google Scholar] [CrossRef] [PubMed]
- Lu, H.; Li, K.; Nkoh, J.N.; Shi, Y.; He, X.; Hong, Z.; Xu, R. Effects of the Increases in Soil PH and PH Buffering Capacity Induced by Crop Residue Biochars on Available Cd Contents in Acidic Paddy Soils. Chemosphere 2022, 301, 134674. [Google Scholar] [CrossRef] [PubMed]
- Bogusz, A.; Oleszczuk, P. Effect of Biochar Addition to Sewage Sludge on Cadmium, Copper and Lead Speciation in Sewage Sludge-Amended Soil. Chemosphere 2020, 239, 124719. [Google Scholar] [CrossRef] [PubMed]
- Quan, G.; Fan, Q.; Sun, J.; Cui, L.; Wang, H.; Gao, B.; Yan, J. Characteristics of Organo-Mineral Complexes in Contaminated Soils with Long-Term Biochar Application. J. Hazard. Mater. 2020, 384, 121265. [Google Scholar] [CrossRef]
- Zhu, L.x.; Xiao, Q.; Shen, Y.f.; Li, S.Q. Effects of Biochar and Maize Straw on the Short-Term Carbon and Nitrogen Dynamics in a Cultivated Silty Loam in China. Environ. Sci. Pollut. Res. 2017, 24, 1019–1029. [Google Scholar] [CrossRef]
- Ruan, X.; Sun, Y.; Du, W.; Tang, Y.; Liu, Q.; Zhang, Z.; Doherty, W.; Frost, R.L.; Qian, G.; Tsang, D.C.W.W. Formation, Characteristics, and Applications of Environmentally Persistent Free Radicals in Biochars: A Review. Bioresour. Technol. 2019, 281, 457–468. [Google Scholar] [CrossRef] [PubMed]
- Han, L.; Sun, K.; Yang, Y.; Xia, X.; Li, F.; Yang, Z.; Xing, B. Biochar’s Stability and Effect on the Content, Composition and Turnover of Soil Organic Carbon. Geoderma 2020, 364, 114184. [Google Scholar] [CrossRef]
- Qi, F.; Yan, Y.; Lamb, D.; Naidu, R.; Bolan, N.S.; Liu, Y.; Ok, Y.S.; Donne, S.W.; Semple, K.T. Thermal Stability of Biochar and Its Effects on Cadmium Sorption Capacity. Bioresour. Technol. 2017, 246, 48–56. [Google Scholar] [CrossRef]
- Sun, J.; Fan, Q.; Ma, J.; Cui, L.; Quan, G.; Yan, J.; Wu, L.; Hina, K.; Abdul, B.; Wang, H. Effects of Biochar on Cadmium (Cd) Uptake in Vegetables and Its Natural Downward Movement in Saline-Alkali Soil. Environ. Pollut. Bioavailab. 2020, 32, 36–46. [Google Scholar] [CrossRef]
- Jing, F.; Sun, Y.; Liu, Y.; Wan, Z.; Chen, J.; Tsang, D.C.W. Interactions between Biochar and Clay Minerals in Changing Biochar Carbon Stability. Sci. Total Environ. 2022, 809, 151124. [Google Scholar] [CrossRef] [PubMed]
- Lin, Y.; Munroe, P.; Joseph, S.; Ziolkowski, A.; van Zwieten, L.; Kimber, S.; Rust, J. Chemical and Structural Analysis of Enhanced Biochars: Thermally Treated Mixtures of Biochar, Chicken Litter, Clay and Minerals. Chemosphere 2013, 91, 35–40. [Google Scholar] [CrossRef] [PubMed]
- Li, L.-P.; Liu, Y.-H.; Ren, D.; Wang, J.-J. Characteristics and Chlorine Reactivity of Biochar-Derived Dissolved Organic Matter: Effects of Feedstock Type and Pyrolysis Temperature. Water Res. 2022, 211, 118044. [Google Scholar] [CrossRef]
- Jiang, X.; Tan, X.; Cheng, J.; Haddix, M.L.; Cotrufo, M.F. Interactions between Aged Biochar, Fresh Low Molecular Weight Carbon and Soil Organic Carbon after 3.5 years Soil-Biochar Incubations. Geoderma 2019, 333, 99–107. [Google Scholar] [CrossRef]
- Xue, B.; Huang, L.; Li, X.; Lu, J.; Gao, R.; Kamran, M.; Fahad, S. Effect of Clay Mineralogy and Soil Organic Carbon in Aggregates under Straw Incorporation. Agronomy 2022, 12, 534. [Google Scholar] [CrossRef]
- Xue, S.; Chen, F.; Wang, Y.; Shao, Z.; Zhang, C.; Qiu, L.; Ran, Y.; He, L. Effects of Co-Applications of Biochar and Solid Digestate on Enzyme Activities and Heavy Metals Bioavailability in Cd-Polluted Greenhouse Soil. Water, Air, Soil Pollut. 2021, 232, 140. [Google Scholar] [CrossRef]
- Yan, Z.; Ding, W.; Xie, G.; Yan, M.; Li, J.; Han, Y.; Xiong, X.; Wang, C. Identification of Cadmium Phytoavailability in Response to Cadmium Transformation and Changes in Soil PH and Electrical Conductivity. Chemosphere 2023, 342, 140042. [Google Scholar] [CrossRef]
- Ullah, A.; Ren, W.-L.; Tian, P.; Yu, X.-Z. Biochar as a Green Strategy in Alleviating Cd Mobility in Soil and Uptake in Plants: A Step towards Cd-Free Food. Int. Biodeterior. Biodegradation 2024, 190, 105787. [Google Scholar] [CrossRef]
- Jing, F.; Chen, C.; Chen, X.; Liu, W.; Wen, X.; Hu, S.; Yang, Z.; Guo, B.; Xu, Y.; Yu, Q. Effects of Wheat Straw Derived Biochar on Cadmium Availability in a Paddy Soil and Its Accumulation in Rice. Environ. Pollut. 2020, 257, 113592. [Google Scholar] [CrossRef]
- Nguyen, T.-B.; Sherpa, K.; Bui, X.-T.; Nguyen, V.-T.; Vo, T.-D.-H.; Ho, H.-T.-T.; Chen, C.-W.; Dong, C.-D. Biochar for Soil Remediation: A Comprehensive Review of Current Research on Pollutant Removal. Environ. Pollut. 2023, 337, 122571. [Google Scholar] [CrossRef]
- Ghassemi-Golezani, K.; Farhangi-Abriz, S. Biochar Related Treatments Improved Physiological Performance, Growth and Productivity of Mentha crispa L. Plants under Fluoride and Cadmium Toxicities. Ind. Crops Prod. 2023, 194, 116287. [Google Scholar] [CrossRef]
- Wei, B.; Zhang, D.; Jeyakumar, P.; Trakal, L.; Wang, H.; Sun, K.; Wei, Y.; Zhang, X.; Ling, H.; He, S.; et al. Iron-Modified Biochar Effectively Mitigates Arsenic-Cadmium Pollution in Paddy Fields: A Meta-Analysis. J. Hazard. Mater. 2024, 469, 133866. [Google Scholar] [CrossRef] [PubMed]
- Zhao, X.-Y.; Zhang, Z.-Y.; Huang, Y.-M.; Feng, F.-J. Enhancing the Effect of Biochar Ageing on Reducing Cadmium Accumulation in Medicago sativa L. Sci. Total Environ. 2023, 862, 160690. [Google Scholar] [CrossRef] [PubMed]
- Wei, B.; Peng, Y.; Jeyakumar, P.; Lin, L.; Zhang, D.; Yang, M.; Zhu, J.; Ki Lin, C.S.; Wang, H.; Wang, Z.; et al. Soil PH Restricts the Ability of Biochar to Passivate Cadmium: A Meta-Analysis. Environ. Res. 2023, 219, 115110. [Google Scholar] [CrossRef] [PubMed]
- Li, G.; Chen, F.; Jia, S.; Wang, Z.; Zuo, Q.; He, H. Effect of Biochar on Cd and Pyrene Removal and Bacteria Communities Variations in Soils with Culturing Ryegrass (Lolium perenne L.). Environ. Pollut. 2020, 265, 114887. [Google Scholar] [CrossRef] [PubMed]
- Palansooriya, K.N.; Li, J.; Dissanayake, P.D.; Suvarna, M.; Li, L.; Yuan, X.; Sarkar, B.; Tsang, D.C.W.; Rinklebe, J.; Wang, X.; et al. Prediction of Soil Heavy Metal Immobilization by Biochar Using Machine Learning. Environ. Sci. Technol. 2022, 56, 4187–4198. [Google Scholar] [CrossRef] [PubMed]
- Song, P.; Liu, J.; Ma, W.; Gao, X. Remediation of Cadmium-Contaminated Soil by Biochar-Loaded Nano-Zero-Valent Iron and Its Microbial Community Responses. J. Environ. Chem. Eng. 2024, 12, 112311. [Google Scholar] [CrossRef]
- Liu, J.; He, T.; Yang, Z.; Peng, S.; Zhu, Y.; Li, H.; Lu, D.; Li, Q.; Feng, Y.; Chen, K.; et al. Insight into the Mechanism of Nano-TiO2-Doped Biochar in Mitigating Cadmium Mobility in Soil-Pak Choi System. Sci. Total Environ. 2024, 916, 169996. [Google Scholar] [CrossRef]
- Huang, Y.; Liu, T.; Liu, J.; Xiao, X.; Wan, Y.; An, H.; Luo, X.; Luo, S. Exceptional Anti-Toxic Growth of Water Spinach in Arsenic and Cadmium Co-Contaminated Soil Remediated Using Biochar Loaded with Bacillus Aryabhattai. J. Hazard. Mater. 2024, 469, 133966. [Google Scholar] [CrossRef]
- Xu, W.; Xie, X.; Li, Q.; Yang, X.; Ren, J.; Shi, Y.; Liu, D.; Shaheen, S.M.; Rinklebe, J. Biochar Co-Pyrolyzed from Peanut Shells and Maize Straw Improved Soil Biochemical Properties, Rice Yield, and Reduced Cadmium Mobilization and Accumulation by Rice: Biogeochemical Investigations. J. Hazard. Mater. 2024, 466, 133486. [Google Scholar] [CrossRef]
- Arif, M.; Liu, G.; Zia ur Rehman, M.; Yousaf, B.; Ahmed, R.; Mian, M.M.; Ashraf, A.; Mujtaba Munir, M.A.; Rashid, M.S.; Naeem, A. Carbon Dioxide Activated Biochar-Clay Mineral Composite Efficiently Removes Ciprofloxacin from Contaminated Water—Reveals an Incubation Study. J. Clean. Prod. 2022, 332, 130079. [Google Scholar] [CrossRef]
- Arif, M.; Liu, G.; Yousaf, B.; Ahmed, R.; Irshad, S.; Ashraf, A.; Zia-ur-Rehman, M.; Rashid, M.S. Synthesis, Characteristics and Mechanistic Insight into the Clays and Clay Minerals-Biochar Surface Interactions for Contaminants Removal-A Review. J. Clean. Prod. 2021, 310, 127548. [Google Scholar] [CrossRef]
- Palansooriya, K.N.; Shaheen, S.M.; Chen, S.S.; Tsang, D.C.W.; Hashimoto, Y.; Hou, D.; Bolan, N.S.; Rinklebe, J.; Ok, Y.S. Soil Amendments for Immobilization of Potentially Toxic Elements in Contaminated Soils: A Critical Review. Environ. Int. 2020, 134, 105046. [Google Scholar] [CrossRef] [PubMed]
- Fang, Y.; Wang, P.; Zhang, L.; Zhang, H.; Xiao, R.; Luo, Y.; Tang, K.H.D.; Li, R.; Abdelrahman, H.; Zhang, Z.; et al. A Novel Zr-P-Modified Nanomagnetic Herbal Biochar Immobilized Cd and Pb in Water and Soil and Enhanced the Relative Abundance of Metal-Resistant Bacteria: Biogeochemical and Spectroscopic Investigations to Identify the Governing Factors and Potential Mech. Chem. Eng. J. 2024, 485, 149978. [Google Scholar] [CrossRef]
- Mujtaba Munir, M.A.; Liu, G.; Yousaf, B.; Ali, M.U.; Abbas, Q.; Ullah, H. Synergistic Effects of Biochar and Processed Fly Ash on Bioavailability, Transformation and Accumulation of Heavy Metals by Maize (Zea mays L.) in Coal-Mining Contaminated Soil. Chemosphere 2020, 240, 124845. [Google Scholar] [CrossRef]








Disclaimer/Publisher’s Note: The statements, opinions and data contained in all publications are solely those of the individual author(s) and contributor(s) and not of MDPI and/or the editor(s). MDPI and/or the editor(s) disclaim responsibility for any injury to people or property resulting from any ideas, methods, instructions or products referred to in the content. |
© 2024 by the authors. Licensee MDPI, Basel, Switzerland. This article is an open access article distributed under the terms and conditions of the Creative Commons Attribution (CC BY) license (https://creativecommons.org/licenses/by/4.0/).
Share and Cite
Rashid, M.S.; Wang, Y.; Yin, Y.; Yousaf, B.; Jiang, S.; Mirza, A.F.; Chen, B.; Li, X.; Liu, Z. Quantitative Soil Characterization for Biochar–Cd Adsorption: Machine Learning Prediction Models for Cd Transformation and Immobilization. Toxics 2024, 12, 535. https://doi.org/10.3390/toxics12080535
Rashid MS, Wang Y, Yin Y, Yousaf B, Jiang S, Mirza AF, Chen B, Li X, Liu Z. Quantitative Soil Characterization for Biochar–Cd Adsorption: Machine Learning Prediction Models for Cd Transformation and Immobilization. Toxics. 2024; 12(8):535. https://doi.org/10.3390/toxics12080535
Chicago/Turabian StyleRashid, Muhammad Saqib, Yanhong Wang, Yilong Yin, Balal Yousaf, Shaojun Jiang, Adeel Feroz Mirza, Bing Chen, Xiang Li, and Zhongzhen Liu. 2024. "Quantitative Soil Characterization for Biochar–Cd Adsorption: Machine Learning Prediction Models for Cd Transformation and Immobilization" Toxics 12, no. 8: 535. https://doi.org/10.3390/toxics12080535
APA StyleRashid, M. S., Wang, Y., Yin, Y., Yousaf, B., Jiang, S., Mirza, A. F., Chen, B., Li, X., & Liu, Z. (2024). Quantitative Soil Characterization for Biochar–Cd Adsorption: Machine Learning Prediction Models for Cd Transformation and Immobilization. Toxics, 12(8), 535. https://doi.org/10.3390/toxics12080535

