Refined Cumulative Risk Assessment of Pb, Cd, and as in TCM Decoction Based on Bioavailability through In Vitro Digestion/MDCK Cells
Abstract
1. Introduction
2. Materials and Methods
2.1. Samples and Reagents
2.2. Preparation of TCM Decoction
2.3. Determination of the Heavy Metal Concentrations in TCM and TCM Decoction Using ICP-MS
2.4. In Vitro Digestion
2.5. MDCK Cell Model
3. Health Risk Assessment
3.1. Risk Assessment Based on the HQ Method
3.2. Preliminary Cumulative Risk Assessment Using Hazard Index
3.3. Accurate Cumulative Risk Evaluation Utilizing Target Organ Toxicity Dose (TTD) Modification of HI Method
4. Results
4.1. Concentration of Heavy Metal(loid)s in TCMs
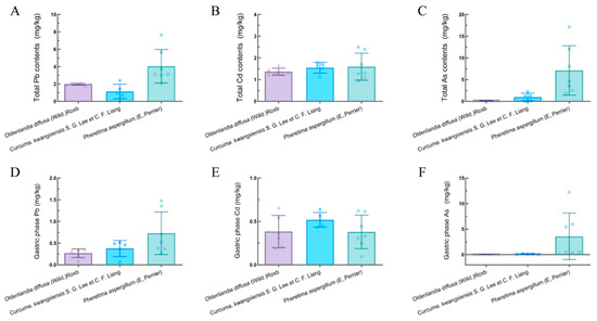
4.2. Concentration of Heavy Metal(loid)s in TCM Decoction
4.3. Bioaccessible Amounts and Bioavailability of Heavy Metal(loid)s in TCM
Bioaccessible Contents and Bioavailability of Heavy Metal(loid)s in TCM Decoction
5. Health Risk Assessment
5.1. Health Risk Assessment for a Single Metal
5.2. Preliminary Cumulative Risk Assessment Based on Hazard Index
5.3. Precise Cumulative Risk Assessment According to TTD
In the Scenario Where TCMs Were Used as Raw Powder
5.4. In the Scenario Where TCMs Were Used after Decoction
6. Discussion
7. Conclusions
Author Contributions
Funding
Institutional Review Board Statement
Informed Consent Statement
Data Availability Statement
Conflicts of Interest
Abbreviations
References
- Song, C.; Liu, J.; Yao, S.; Sun, J.; Hou, J.; Feng, X. Prevention of new coronavirus infection and screening of medicinal and food homologous TCM. Asia-Pac. Tradit. Med. 2020, 16, 18–21. [Google Scholar]
- Xia, B.; Chen, C.; Tao, W. Neuroplasticity: A Key Player in the Antidepressant Action of Chinese Herbal Medicine. Am. J. Chin. Med. 2021, 49, 1115–1133. [Google Scholar] [CrossRef] [PubMed]
- Liu, Y.; Wu, J.; Hao, H. Antitumor immunostimulatory activity of the traditional Chinese medicine polysaccharide on hepatocellular carcinoma. Front. Immunol. 2024, 15, 1369110. [Google Scholar] [CrossRef] [PubMed]
- Nagarajan, S.; Sivaji, K.; Krishnaswamy, S.; Pemiah, B.; Rajan, K.S.; Krishnan, U.M.; Sethuraman, S. Safety and toxicity issues associated with lead-based traditional herbo-metallic preparations. J. Ethnopharmacol. 2014, 151, 1–11. [Google Scholar] [CrossRef]
- Arjouni, M.Y.; Bennouna, M.A.; El Fels, M.A.; Romane, A. Assessment of mineral elements and heavy metals in leaves of indigenous cypress of High Atlas Mountains. Nat. Prod. Res. 2015, 29, 764–767. [Google Scholar] [CrossRef] [PubMed]
- Kashyap, R.; Verma, K.S.; Uniyal, S.K.; Bhardwaj, S.K. Geospatial distribution of metal(loid)s and human health risk assessment due to intake of contaminated groundwater around an industrial hub of northern India. Environ. Monit. Assess. 2018, 190, 136. [Google Scholar] [CrossRef]
- Li, Y.; Li, H.; Zan, K.; Wang, Y.; Zuo, T.; Jin, H.; Zhang, B.; Ma, S. Medicinal Earthworm: Speciation and Bioaccessibility of Arsenic and Its Potential Health Risks. Front. Pharmacol. 2022, 13, 795530. [Google Scholar] [CrossRef] [PubMed]
- Bortey-Sam, N.; Nakayama, S.M.; Ikenaka, Y.; Akoto, O.; Baidoo, E.; Mizukawa, H.; Ishizuka, M. Health risk assessment of heavy metals and metalloid in drinking water from communities near gold mines in Tarkwa, Ghana. Environ. Monit. Assess. 2015, 187, 397. [Google Scholar] [CrossRef]
- Emenike, P.C.; Tenebe, T.I.; Omeje, M.; Osinubi, D.S. Health risk assessment of heavy metal variability in sachet water sold in Ado-Odo Ota, South-Western Nigeria. Environ. Monit. Assess. 2017, 189, 480. [Google Scholar] [CrossRef]
- Jiang, Z.; Xu, N.; Liu, B.; Zhou, L.; Wang, J.; Wang, C.; Dai, B.; Xiong, W. Metal concentrations and risk assessment in water, sediment and economic fish species with various habitat preferences and trophic guilds from Lake Caizi, Southeast China. Ecotoxicol. Environ. Saf. 2018, 157, 1–8. [Google Scholar] [CrossRef]
- Nawab, J.; Khan, S.; Xiaoping, W. Ecological and health risk assessment of potentially toxic elements in the major rivers of Pakistan: General population vs. Fishermen. Chemosphere 2018, 202, 154–164. [Google Scholar] [CrossRef] [PubMed]
- Jaishankar, M.; Tseten, T.; Anbalagan, N.; Mathew, B.B.; Beeregowda, K.N. Toxicity, mechanism and health effects of some heavy metals. Interdiscip. Toxicol. 2014, 7, 60–72. [Google Scholar] [CrossRef] [PubMed]
- Sirot, V.; Guérin, T.; Volatier, J.L.; Leblanc, J.C. Dietary exposure and biomarkers of arsenic in consumers of fish and shellfish from France. Sci. Total Environ. 2009, 407, 1875–1885. [Google Scholar] [CrossRef] [PubMed]
- Bellinger, D.C. Very low lead exposures and children’s neurodevelopment. Curr. Opin. Pediatr. 2008, 20, 172–177. [Google Scholar] [CrossRef]
- Chen, X.; Wang, K.; Wang, Z.; Gan, C.; He, P.; Liang, Y.; Jin, T.; Zhu, G. Effects of lead and cadmium co-exposure on bone mineral density in a Chinese population. Bone 2014, 63, 76–80. [Google Scholar] [CrossRef] [PubMed]
- Xu, H.; Li, C.; Wen, C.; Zhu, S.; Zhu, S.; Li, N.; Li, R.; Luo, X. Heavy metal fraction, pollution, and source-oriented risk assessment in biofilms on a river system polluted by mining activities. Chemosphere 2023, 322, 138137. [Google Scholar] [CrossRef] [PubMed]
- Bradham, K.D.; Scheckel, K.G.; Nelson, C.M.; Seales, P.E.; Lee, G.E.; Hughes, M.F.; Miller, B.W.; Yeow, A.; Gilmore, T.; Serda, S.M.; et al. Relative bioavailability and bioaccessibility and speciation of arsenic in contaminated soils. Environ. Health Perspect. 2011, 119, 1629–1634. [Google Scholar] [CrossRef]
- Li, J.; Li, K.; Cave, M.; Li, H.B.; Ma, L.Q. Lead bioaccessibility in 12 contaminated soils from China: Correlation to lead relative bioavailability and lead in different fractions. J. Hazard. Mater. 2015, 295, 55–62. [Google Scholar] [CrossRef] [PubMed]
- Li, S.W.; Sun, H.J.; Li, H.B.; Luo, J.; Ma, L.Q. Assessment of cadmium bioaccessibility to predict its bioavailability in contaminated soils. Environ. Int. 2016, 94, 600–606. [Google Scholar] [CrossRef]
- Rostami, I.; Juhasz, A.L. Assessment of persistent organic pollutant (POP) bioavailability and bioaccessibility for human health exposure assessment: A critical review. Crit. Rev. Environ. Sci. Technol. 2011, 41, 623–656. [Google Scholar] [CrossRef]
- Zuo, T.T.; Qu, H.R.; Jin, H.Y.; Zhang, L.; Luo, F.Y.; Yu, K.Z.; Gao, F.; Wang, Q.; Sun, L.; He, H.Z.; et al. Innovative health risk assessments of heavy metals based on bioaccessibility due to the consumption of traditional animal medicines. Environ. Sci. Pollut. Res. Int. 2020, 27, 22593–22603. [Google Scholar] [CrossRef] [PubMed]
- Dong, W.J.; He, S.X.; Li, X.Y.; Zeng, J.Y.; Li, M.Y.; Guan, D.X.; Ma, L.Q. Chromium contents, distribution and bioaccessibility in cultivated mushrooms from market: Health implications for human consumption. J. Hazard. Mater. 2024, 461, 132643. [Google Scholar] [CrossRef] [PubMed]
- Koch, I.; Moriarty, M.; House, K.; Sui, J.; Cullen, W.R.; Saper, R.B.; Reimer, K.J. Bioaccessibility of lead and arsenic in traditional Indian medicines. Sci. Total Environ. 2011, 409, 4545–4552. [Google Scholar] [CrossRef] [PubMed]
- Ma, P.; Tian, T.; Dai, Z.; Shao, T.; Zhang, W.; Liu, M. Assessment of Cd bioavailability using chemical extraction methods, DGT, and biological indicators in soils with different aging times. Chemosphere 2022, 296, 133931. [Google Scholar] [CrossRef] [PubMed]
- Oomen, A.G.; Hack, A.; Minekus, M.; Zeijdner, E.; Cornelis, C.; Schoeters, G.; Verstraete, W.; Van de Wiele, T.; Wragg, J.; Rompelberg, C.J.; et al. Comparison of five in vitro digestion models to study the bioaccessibility of soil contaminants. Environ. Sci. Technol. 2002, 36, 3326–3334. [Google Scholar] [CrossRef] [PubMed]
- Ruby, M.V.; Davis, A.; Schoof, R.; Eberle, S.; Sellstone, C.M. Estimation of lead and arsenic bioavailability using a physiologically based extraction test. Environ. Sci. Technol. 1996, 30, 422–430. [Google Scholar] [CrossRef]
- Juhasz, A.L.; Smith, E.; Weber, J.; Rees, M.; Rofe, A.; Kuchel, T.; Sansom, L.; Naidu, R. In vivo assessment of arsenic bioavailability in rice and its significance for human health risk assessment. Environ. Health Perspect. 2006, 114, 1826–1831. [Google Scholar] [CrossRef] [PubMed]
- Li, H.B.; Li, M.Y.; Zhao, D.; Zhu, Y.G.; Li, J.; Juhasz, A.L.; Cui, X.Y.; Luo, J.; Ma, L.Q. Food influence on lead relative bioavailability in contaminated soils: Mechanisms and health implications. J. Hazard. Mater. 2018, 358, 427–433. [Google Scholar] [CrossRef] [PubMed]
- Smith, E.; Kempson, I.M.; Juhasz, A.L.; Weber, J.; Rofe, A.; Gancarz, D.; Naidu, R.; McLaren, R.G.; Gräfe, M. In vivo-in vitro and XANES spectroscopy assessments of lead bioavailability in contaminated periurban soils. Environ. Sci. Technol. 2011, 45, 6145–6152. [Google Scholar] [CrossRef]
- Zhao, D.; Wang, J.Y.; Tang, N.; Yin, D.X.; Luo, J.; Xiang, P.; Juhasz, A.L.; Li, H.B.; Ma, L.Q. Coupling bioavailability and stable isotope ratio to discern dietary and non-dietary contribution of metal exposure to residents in mining-impacted areas. Environ. Int. 2018, 120, 563–571. [Google Scholar] [CrossRef]
- Zuo, T.T.; Zhu, J.; Gao, F.; Wang, J.S.; Song, Q.H.; Wang, H.Y.; Sun, L.; Zhang, W.Q.; Kong, D.J.; Guo, Y.S.; et al. Innovative accumulative risk assessment strategy of co-exposure of As and Pb in medical earthworms based on in vivo-in vitro correlation. Environ. Int. 2023, 175, 107933. [Google Scholar] [CrossRef] [PubMed]
- United States Environmental Protection Agency. Supplementary Guidance for Conducting Health Risk Assessment of Chemical Mixtures; EPA/630/R-00/002.Version 5. Codex, Food; 2000. Available online: https://cfpub.epa.gov/ncea/risk/recordisplay.cfm?deid=20533 (accessed on 29 June 2024).
- Kienzler, A.; Bopp, S.K.; van der Linden, S.; Berggren, E.; Worth, A. Regulatory assessment of chemical mixtures: Requirements, current approaches and future perspectives. Regul. Toxicol. Pharmacol. RTP 2016, 80, 321–334. [Google Scholar] [CrossRef] [PubMed]
- Zuo, T.T.; Jin, H.Y.; Zhang, L.; Liu, Y.L.; Nie, J.; Chen, B.L.; Fang, C.F.; Xue, J.; Bi, X.Y.; Zhou, L.; et al. Innovative health risk assessment of heavy metals in Chinese herbal medicines based on extensive data. Pharmacol. Res. 2020, 159, 104987. [Google Scholar] [CrossRef] [PubMed]
- Mahmood, A.; Malik, R.N. Human health risk assessment of heavy metals via consumption of contaminated vegetables collected from different irrigation sources in Lahore, Pakistan. Arab. J. Chem 2013, 7, 91–99. [Google Scholar] [CrossRef]
- ATSDR. Interaction Profile for Arsenic, Cadmium, Chromium and Lead; Agency for Toxic Substances and Disease Registry (ATSDR): Atlanta, GA, USA, 2004. [Google Scholar]
- Volpe, D.A. Variability in Caco-2 and MDCK cell-based intestinal permeability assays. J. Pharm. Sci. 2008, 97, 712–725. [Google Scholar] [CrossRef] [PubMed]
- Huth, F.; Domange, N.; Poller, B.; Vapurcuyan, A.; Durrwell, A.; Hanna, I.D.; Faller, B. Predicting Oral Absorption for Compounds Outside the Rule of Five Property Space. J. Pharm. Sci. 2021, 110, 2562–2569. [Google Scholar] [CrossRef] [PubMed]
- Williams, J.; Siramshetty, V.; Nguyễn, D.T.; Padilha, E.C.; Kabir, M.; Yu, K.R.; Wang, A.Q.; Zhao, T.; Itkin, M.; Shinn, P.; et al. Using in vitro ADME data for lead compound selection: An emphasis on PAMPA pH 5 permeability and oral bioavailability. Bioorganic Med. Chem. 2022, 56, 116588. [Google Scholar] [CrossRef]
- Muschong, P.; Jin, L.; Schejbal, J.; Mezler, M.; Weinheimer, M. Improvement of Workflows and Assay Reproducibility by The Introduction of “Assay-Ready” Culturing of MDCK Cells for Transport Studies. Pharm. Res. 2023, 40, 1259–1270. [Google Scholar] [CrossRef] [PubMed]
- Mnisi, R.L.; Ndibewu, P.P.; Mafu, L.D.; Bwembya, G.C. Bioaccessibility and risk assessment of essential and non-essential elements in vegetables commonly consumed in Swaziland. Ecotoxicol. Environ. Saf. 2017, 144, 396–401. [Google Scholar] [CrossRef]
- Zhuang, P.; Zhang, C.; Li, Y.; Zou, B.; Mo, H.; Wu, K.; Wu, J.; Li, Z. Assessment of influences of cooking on cadmium and arsenic bioaccessibility in rice, using an in vitro physiologically-based extraction test. Food Chem. 2016, 213, 206–214. [Google Scholar] [CrossRef]
- Wang, C.; Duan, H.Y.; Teng, J.W. Assessment of microwave cooking on the bioaccessibility of cadmium from various food matrices using an in vitro digestion model. Biol. Trace Elem. Res. 2014, 160, 276–284. [Google Scholar] [CrossRef] [PubMed]
- Torres-Escribano, S.; Denis, S.; Blanquet-Diot, S.; Calatayud, M.; Barrios, L.; Vélez, D.; Alric, M.; Montoro, R. Comparison of a static and a dynamic in vitro model to estimate the bioaccessibility of As, Cd, Pb and Hg from food reference materials Fucus sp. (IAEA-140/TM) and Lobster hepatopancreas (TORT-2). Sci. Total Environ. 2011, 409, 604–611. [Google Scholar] [CrossRef] [PubMed]
- Öhrvik, H.; Tydén, E.; Artursson, P.; Oskarsson, A.; Tallkvist, J. Cadmium transport in a model of neonatal intestinal cells correlates to MRP1 and not DMT1 or FPN1. ISRN Toxicol. 2013, 2013, 892364. [Google Scholar] [CrossRef] [PubMed]
- Verheyen, L.; Degryse, F.; Niewold, T.; Smoldersa, E. Labile complexes facilitate cadmium uptake by Caco-2 cells. Sci. Total Environ. 2012, 426, 90–99. [Google Scholar] [CrossRef] [PubMed]
- Reeves, P.G.; Chaney, R.L. Bioavailability as an issue in risk assessment and management of food cadmium: A review. Sci. Total Environ. 2008, 398, 13–19. [Google Scholar] [CrossRef]
- Xu, X.; Li, L.; Zhou, H.; Hu, Q.; Wang, L.; Cai, Q.; Zhu, Y.; Ji, S. Heavy Metals and Probabilistic Risk Assessment via Pheretima (a Traditional Chinese Medicine) Consumption in China. Front. Pharmacol. 2022, 12, 803592. [Google Scholar] [CrossRef]




| Type | No. | Batch No. | Location | Source |
|---|---|---|---|---|
| Pheretima aspergillum (E. Perrier) | 1 | DL-01 | Anhui | TCM market |
| 2 | DL-02 | Anhui | TCM market | |
| 3 | DL-03 | Shanghai | Pharmacy | |
| 4 | DL-04 | Shanghai | Pharmacy | |
| 5 | DL-05 | Shanghai | TCM market | |
| 6 | DL-06 | Guangxi | TCM market | |
| 7 | DL-07 | Guangdong | TCM market | |
| Curcuma kwangsiensis S. G. Lee et C. F. Liang | 1 | EZ0-01 | Guangxi | TCM market |
| 2 | EZ-02 | Guangxi | TCM market | |
| 3 | EZ-03 | Guangxi | Pharmacy | |
| 4 | EZ-04 | Yunnan | TCM market | |
| 5 | EZ-05 | Fujian | Pharmacy | |
| Oldenlandia diffusa (Willd.) Roxb | 1 | BHSSC-01 | Zhejiang | TCM market |
| 2 | BHSSC-02 | Zhejiang | TCM market | |
| 3 | BHSSC-03 | Yunnan | Pharmacy | |
| 4 | BHSSC-04 | Fujian | Pharmacy | |
| 5 | BHSSC-05 | Guangxi | Pharmacy | |
| 6 | BHSSC-06 | Guangxi | TCM market |
| Pb | Batch No. | Total | Bioavailability | |||||||||
| Cardiovascular | Blood | Nerve | Kidney | Testis | Cardiovascular | Blood | Nerve | Kidney | Testis | |||
| Pheretima aspergillum (E. Perrier) | 1 | 0.26 | 0.08 | 0.08 | 0.56 | 0.02 | 0.03 | 0.01 | 0.01 | 0.08 | 2.70 × 10−3 | |
| 2 | 0.27 | 0.08 | 0.08 | 0.58 | 0.02 | 0.05 | 0.01 | 0.01 | 0.10 | 3.65 × 10−3 | ||
| 3 | 0.66 | 0.20 | 0.20 | 1.43 | 0.05 | 0.13 | 0.04 | 0.04 | 0.28 | 9.89 × 10−3 | ||
| 4 | 0.49 | 0.15 | 0.15 | 1.05 | 0.04 | 0.13 | 0.04 | 0.04 | 0.29 | 1.03 × 10−2 | ||
| 5 | 0.18 | 0.05 | 0.05 | 0.38 | 0.01 | 0.03 | 0.01 | 0.01 | 0.06 | 2.01 × 10−3 | ||
| 6 | 0.27 | 0.08 | 0.08 | 0.58 | 0.02 | 0.03 | 0.01 | 0.01 | 0.07 | 2.60 × 10−3 | ||
| 7 | 0.32 | 0.10 | 0.10 | 0.69 | 0.02 | 0.06 | 0.02 | 0.02 | 0.14 | 4.84 × 10−3 | ||
| Curcuma kwangsiensis S. G. Lee et C. F. Liang | 1 | 0.11 | 0.03 | 0.03 | 0.24 | 0.01 | 0.04 | 0.01 | 0.01 | 0.08 | 2.98 × 10−3 | |
| 2 | 0.19 | 0.06 | 0.06 | 0.40 | 0.01 | 0.04 | 0.01 | 0.01 | 0.09 | 3.24 × 10−3 | ||
| 3 | 0.02 | 0.01 | 0.01 | 0.04 | 0.00 | 0.01 | 0.00 | 0.00 | 0.01 | 4.65 × 10−4 | ||
| 4 | 0.08 | 0.02 | 0.02 | 0.17 | 0.01 | 0.03 | 0.01 | 0.01 | 0.06 | 2.26 × 10−3 | ||
| 5 | 0.05 | 0.02 | 0.02 | 0.12 | 0.00 | 0.04 | 0.01 | 0.01 | 0.08 | 3.01 × 10−3 | ||
| Oldenlandia diffusa (Willd.) Roxb | 1 | 0.52 | 0.16 | 0.16 | 1.13 | 0.04 | 0.06 | 0.02 | 0.02 | 0.13 | 4.75 × 10−3 | |
| 2 | 0.52 | 0.16 | 0.16 | 1.13 | 0.04 | 0.09 | 0.03 | 0.03 | 0.20 | 7.18 × 10−3 | ||
| 3 | 0.54 | 0.17 | 0.17 | 1.17 | 0.04 | 0.09 | 0.03 | 0.03 | 0.19 | 6.92 × 10−3 | ||
| 4 | 0.53 | 0.17 | 0.17 | 1.16 | 0.04 | 0.03 | 0.01 | 0.01 | 0.06 | 2.21 × 10−3 | ||
| 5 | 0.47 | 0.14 | 0.14 | 1.01 | 0.04 | 0.10 | 0.03 | 0.03 | 0.21 | 7.65 × 10−3 | ||
| 6 | 0.49 | 0.15 | 0.15 | 1.07 | 0.04 | 0.07 | 0.02 | 0.02 | 0.16 | 5.63 × 10−3 | ||
| Cd | Pheretima aspergillum (E. Perrier) | 1 | 0.02 | 0.15 | 0.61 | 0.15 | 0.04 | 2.55 × 10−3 | 0.02 | 0.06 | 0.02 | 0.00 |
| 2 | 0.03 | 0.18 | 0.72 | 0.17 | 0.05 | 0.01 | 0.04 | 0.14 | 0.03 | 0.01 | ||
| 3 | 0.06 | 0.35 | 1.40 | 0.34 | 0.09 | 0.01 | 0.09 | 0.37 | 0.09 | 0.02 | ||
| 4 | 0.05 | 0.34 | 1.34 | 0.32 | 0.09 | 0.01 | 0.07 | 0.27 | 0.06 | 0.02 | ||
| 5 | 0.04 | 0.24 | 0.95 | 0.23 | 0.06 | 0.01 | 0.05 | 0.20 | 0.05 | 0.01 | ||
| 6 | 0.03 | 0.18 | 0.72 | 0.17 | 0.05 | 0.01 | 0.09 | 0.35 | 0.08 | 0.02 | ||
| 7 | 0.02 | 0.13 | 0.53 | 0.13 | 0.04 | 0.01 | 0.05 | 0.19 | 0.05 | 0.01 | ||
| Curcuma kwangsiensis S. G. Lee et C. F. Liang | 1 | 0.04 | 0.22 | 0.89 | 0.21 | 0.06 | 0.01 | 0.08 | 0.32 | 0.08 | 0.02 | |
| 2 | 0.03 | 0.21 | 0.82 | 0.20 | 0.05 | 0.01 | 0.07 | 0.29 | 0.07 | 0.02 | ||
| 3 | 0.02 | 0.14 | 0.57 | 0.14 | 0.04 | 0.01 | 0.06 | 0.24 | 0.06 | 0.02 | ||
| 4 | 0.03 | 0.19 | 0.77 | 0.19 | 0.05 | 0.01 | 0.08 | 0.31 | 0.08 | 0.02 | ||
| 5 | 0.03 | 0.21 | 0.86 | 0.21 | 0.06 | 0.01 | 0.06 | 0.24 | 0.06 | 0.02 | ||
| Oldenlandia diffusa (Willd.) Roxb | 1 | 0.09 | 0.56 | 2.23 | 0.54 | 0.15 | 0.03 | 0.17 | 0.68 | 0.16 | 0.05 | |
| 2 | 0.08 | 0.51 | 2.06 | 0.50 | 0.14 | 0.02 | 0.14 | 0.57 | 0.14 | 0.04 | ||
| 3 | 0.10 | 0.61 | 2.43 | 0.59 | 0.16 | 0.02 | 0.10 | 0.40 | 0.1 | 0.03 | ||
| 4 | 0.08 | 0.52 | 2.10 | 0.51 | 0.14 | 0.02 | 0.11 | 0.42 | 0.1 | 0.03 | ||
| 5 | 0.11 | 0.70 | 2.78 | 0.67 | 0.19 | 0.04 | 0.28 | 1.12 | 0.27 | 0.07 | ||
| 6 | 0.09 | 0.54 | 2.18 | 0.52 | 0.15 | 0.04 | 0.23 | 0.94 | 0.23 | 0.06 | ||
| As | Pheretima aspergillum (E. Perrier) | 1 | 1.30 | 0.65 | 1.30 | 4.34 × 10−3 | / | 0.21 | 0.11 | 0.21 | 6.98 × 10−4 | / |
| 2 | 0.93 | 0.46 | 0.93 | 3.10 × 10−3 | / | 0.15 | 0.07 | 0.15 | 4.88 × 10−4 | / | ||
| 3 | 4.50 | 2.25 | 4.50 | 1.50 × 10−2 | / | 0.69 | 0.34 | 0.69 | 2.28 × 10−3 | / | ||
| 4 | 3.01 | 1.50 | 3.01 | 1.00 × 10−2 | / | 0.44 | 0.22 | 0.43 | 1.45 × 10−3 | / | ||
| 5 | 6.41 | 3.20 | 6.41 | 2.14 × 10−2 | / | 0.94 | 0.47 | 0.94 | 3.13 × 10−3 | / | ||
| 6 | 1.74 | 0.87 | 1.74 | 5.80 × 10−3 | / | 0.19 | 0.09 | 0.18 | 6.16 × 10−4 | / | ||
| 7 | 0.70 | 0.35 | 0.70 | 2.34 × 10−3 | / | 0.06 | 0.03 | 0.06 | 2.10 × 10−4 | / | ||
| Curcuma kwangsiensis S. G. Lee et C. F. Liang | 1 | 0.13 | 0.07 | 0.13 | 4.37 × 10−4 | / | 0.08 | 0.04 | 0.08 | 2.82 × 10−4 | / | |
| 2 | 0.16 | 0.08 | 0.16 | 5.49 × 10−4 | / | 0.01 | 3.53 × 10−3 | 0.01 | 2.35 × 10−5 | / | ||
| 3 | 0.17 | 0.09 | 0.17 | 5.67 × 10−4 | / | 3.02 × 10−3 | 1.51 × 10−3 | 0.01 | 1.01 × 10−5 | / | ||
| 4 | 0.13 | 0.06 | 0.13 | 4.18 × 10−4 | / | 0.04 | 0.02 | 0.04 | 1.38 × 10−4 | / | ||
| 5 | 0.17 | 0.08 | 0.17 | 5.56 × 10−4 | / | 0.04 | 0.02 | 0.04 | 1.39 × 10−4 | / | ||
| Oldenlandia diffusa (Willd.) Roxb | 1 | 0.74 | 0.37 | 0.74 | 2.48 × 10−3 | / | 0.03 | 0.02 | 0.03 | 1.08 × 10−4 | / | |
| 2 | 0.04 | 0.02 | 0.04 | 1.24 × 10−4 | / | 0.04 | 0.02 | 0.04 | 1.38 × 10−4 | / | ||
| 3 | 0.02 | 0.01 | 0.02 | 6.27 × 10−5 | / | 0.04 | 0.02 | 0.04 | 1.27 × 10−4 | / | ||
| 4 | 0.42 | 0.21 | 0.42 | 1.41 × 10−3 | / | 0.02 | 0.01 | 0.02 | 8.21 × 10−5 | / | ||
| 5 | 0.41 | 0.21 | 0.41 | 1.38 × 10−3 | / | 0.05 | 0.02 | 0.05 | 1.57 × 10−4 | / | ||
| 6 | 0.74 | 0.37 | 0.74 | 2.48 × 10−3 | / | 0.04 | 0.02 | 0.04 | 1.49 × 10−4 | / | ||
| Pb | Batch No. | Cardiovascular | Blood | Nerve | Kidney | Testis | |
| Pheretima aspergillum (E. Perrier) | 1 | 1.98 × 10−3 | 6.13 × 10−4 | 6.13 × 10−4 | 4.29 × 10−3 | 1.54 × 10−4 | |
| 2 | 2.24 × 10−3 | 6.93 × 10−4 | 6.93 × 10−4 | 4.85 × 10−3 | 1.74 × 10−4 | ||
| 3 | 5.69 × 10−3 | 1.76 × 10−3 | 1.76 × 10−3 | 1.23 × 10−2 | 4.43 × 10−4 | ||
| 4 | 3.27 × 10−3 | 1.01 × 10−3 | 1.01 × 10−3 | 7.09 × 10−3 | 2.55 × 10−4 | ||
| 5 | 2.84 × 10−3 | 8.80 × 10−4 | 8.80 × 10−4 | 6.16 × 10−3 | 2.21 × 10−4 | ||
| 6 | 1.81 × 10−3 | 5.60 × 10−4 | 5.60 × 10−4 | 3.92 × 10−3 | 1.41 × 10−4 | ||
| 7 | 9.48 × 10−4 | 2.93 × 10−4 | 2.93 × 10−4 | 2.05 × 10−3 | 7.38 × 10−5 | ||
| Curcuma kwangsiensis S. G. Lee et C. F. Liang | 1 | 1.78 × 10−3 | 5.52 × 10−4 | 5.52 × 10−4 | 3.86 × 10−3 | 1.39 × 10−4 | |
| 2 | 2.56 × 10−3 | 7.92 × 10−4 | 7.92 × 10−4 | 5.54 × 10−3 | 1.99 × 10−4 | ||
| 3 | 6.98 × 10−4 | 2.16 × 10−4 | 2.16 × 10−4 | 1.51 × 10−3 | 5.43 × 10−5 | ||
| 4 | 7.21 × 10−3 | 2.23 × 10−3 | 2.23 × 10−3 | 1.56 × 10−2 | 5.61 × 10−4 | ||
| 5 | 2.48 × 10−3 | 7.68 × 10−4 | 7.68 × 10−4 | 5.38 × 10−3 | 1.93 × 10−4 | ||
| Oldenlandia diffusa (Willd.) Roxb | 1 | 1.24 × 10−2 | 3.84 × 10−3 | 3.84 × 10−3 | 2.69 × 10−2 | 9.66 × 10−4 | |
| 2 | 2.33 × 10−3 | 7.20 × 10−4 | 7.20 × 10−4 | 5.04 × 10−3 | 1.81 × 10−4 | ||
| 3 | 6.98 × 10−3 | 2.16 × 10−3 | 2.16 × 10−3 | 1.51 × 10−2 | 5.43 × 10−4 | ||
| 4 | 1.06 × 10−2 | 3.28 × 10−3 | 3.28 × 10−3 | 2.30 × 10−2 | 8.25 × 10−4 | ||
| 5 | 1.81 × 10−3 | 5.60 × 10−4 | 5.60 × 10−4 | 3.92 × 10−3 | 1.41 × 10−4 | ||
| 6 | 2.07 × 10−3 | 6.40 × 10−4 | 6.40 × 10−4 | 4.48 × 10−3 | 1.61 × 10−4 | ||
| Cd | Pheretima aspergillum (E. Perrier) | 1 | 9.41 × 10−4 | 5.88 × 10−3 | 2.35 × 10−2 | 5.67 × 10−3 | 1.57 × 10−3 |
| 2 | 2.02 × 10−4 | 1.26 × 10−3 | 5.04 × 10−3 | 1.21 × 10−3 | 3.36 × 10−4 | ||
| 3 | 4.48 × 10−4 | 2.80 × 10−3 | 1.12 × 10−2 | 2.70 × 10−3 | 7.47 × 10−4 | ||
| 4 | 8.29 × 10−4 | 5.18 × 10−3 | 2.07 × 10−2 | 4.99 × 10−3 | 1.38 × 10−3 | ||
| 5 | 4.03 × 10−4 | 2.52 × 10−3 | 1.01 × 10−2 | 2.43 × 10−3 | 6.72 × 10−4 | ||
| 6 | 5.15 × 10−4 | 3.22 × 10−3 | 1.29 × 10−2 | 3.10 × 10−3 | 8.59 × 10−4 | ||
| 7 | 2.46 × 10−4 | 1.54 × 10−3 | 6.16 × 10−3 | 1.48 × 10−3 | 4.11 × 10−4 | ||
| Curcuma kwangsiensis S. G. Lee et C. F. Liang | 1 | 1.41 × 10−4 | 8.82 × 10−4 | 3.53 × 10−3 | 8.50 × 10−4 | 2.35 × 10−4 | |
| 2 | 5.24 × 10−4 | 3.28 × 10−3 | 1.31 × 10−2 | 3.16 × 10−3 | 8.74 × 10−4 | ||
| 3 | 5.04 × 10−4 | 3.15 × 10−3 | 1.26 × 10−2 | 3.04 × 10−3 | 8.40 × 10−4 | ||
| 4 | 9.68 × 10−4 | 6.05 × 10−3 | 2.42 × 10−2 | 5.83 × 10−3 | 1.61 × 10−3 | ||
| 5 | 1.39 × 10−3 | 8.69 × 10−3 | 3.48 × 10−2 | 8.38 × 10−3 | 2.32 × 10−3 | ||
| Oldenlandia diffusa (Willd.) Roxb | 1 | 1.14 × 10−3 | 7.14 × 10−3 | 2.86 × 10−2 | 6.88 × 10−3 | 1.90 × 10−3 | |
| 2 | 4.70 × 10−4 | 2.94 × 10−3 | 1.18 × 10−2 | 2.83 × 10−3 | 7.84 × 10−4 | ||
| 3 | 6.72 × 10−4 | 4.20 × 10−3 | 1.68 × 10−2 | 4.05 × 10−3 | 1.12 × 10−3 | ||
| 4 | 1.28 × 10−3 | 7.98 × 10−3 | 3.19 × 10−2 | 7.69 × 10−3 | 2.13 × 10−3 | ||
| 5 | 4.03 × 10−4 | 2.52 × 10−3 | 1.01 × 10−2 | 2.43 × 10−3 | 6.72 × 10−4 | ||
| 6 | 9.41 × 10−4 | 5.88 × 10−3 | 2.35 × 10−2 | 5.67 × 10−3 | 1.57 × 10−3 | ||
| As | Pheretima aspergillum (E. Perrier) | 1 | 2.58 × 10−2 | 1.29 × 10−2 | 2.58 × 10−2 | 8.59 × 10−5 | / |
| 2 | 1.94 × 10−2 | 9.71 × 10−3 | 1.94 × 10−2 | 6.47 × 10−5 | / | ||
| 3 | 8.44 × 10−2 | 4.22 × 10−2 | 8.44 × 10−2 | 2.81 × 10−4 | / | ||
| 4 | 7.77 × 10−2 | 3.88 × 10−2 | 7.77 × 10−2 | 2.59 × 10−4 | / | ||
| 5 | 4.74 × 10−1 | 2.37 × 10−1 | 4.74 × 10−1 | 1.58 × 10−3 | / | ||
| 6 | 7.39 × 10−2 | 3.70 × 10−2 | 7.39 × 10−2 | 2.46 × 10−4 | / | ||
| 7 | 6.72 × 10−2 | 3.36 × 10−2 | 6.72 × 10−2 | 2.24 × 10−4 | / | ||
| Curcuma kwangsiensis S. G. Lee et C. F. Liang | 1 | 2.99 × 10−2 | 1.50 × 10−2 | 2.99 × 10−2 | 9.97 × 10−5 | / | |
| 2 | 6.38 × 10−3 | 3.19 × 10−3 | 6.38 × 10−3 | 2.13 × 10−5 | / | ||
| 3 | 2.69 × 10−3 | 1.34 × 10−3 | 2.69 × 10−3 | 8.96 × 10−6 | / | ||
| 4 | 3.29 × 10−2 | 1.65 × 10−2 | 3.29 × 10−2 | 1.10 × 10−4 | / | ||
| 5 | 3.26 × 10−2 | 1.63 × 10−2 | 3.26 × 10−2 | 1.09 × 10−4 | / | ||
| Oldenlandia diffusa (Willd.) Roxb | 1 | 1.12 × 10−2 | 5.60 × 10−3 | 1.12 × 10−2 | 3.73 × 10−5 | / | |
| 2 | 1.68 × 10−2 | 8.40 × 10−3 | 1.68 × 10−2 | 5.60 × 10−5 | / | ||
| 3 | 1.23 × 10−2 | 6.16 × 10−3 | 1.23 × 10−2 | 4.11 × 10−5 | / | ||
| 4 | 4.48 × 10−3 | 2.24 × 10−3 | 4.48 × 10−3 | 1.49 × 10−5 | / | ||
| 5 | 3.36 × 10−3 | 1.68 × 10−3 | 3.36 × 10−3 | 1.12 × 10−5 | / | ||
| 6 | 6.72 × 10−3 | 3.36 × 10−3 | 6.72 × 10−3 | 2.24 × 10−5 | / |
Disclaimer/Publisher’s Note: The statements, opinions and data contained in all publications are solely those of the individual author(s) and contributor(s) and not of MDPI and/or the editor(s). MDPI and/or the editor(s) disclaim responsibility for any injury to people or property resulting from any ideas, methods, instructions or products referred to in the content. |
© 2024 by the authors. Licensee MDPI, Basel, Switzerland. This article is an open access article distributed under the terms and conditions of the Creative Commons Attribution (CC BY) license (https://creativecommons.org/licenses/by/4.0/).
Share and Cite
Zuo, T.; Luo, F.; Suo, Y.; Chang, Y.; Wang, Z.; Jin, H.; Yu, J.; Xing, S.; Guo, Y.; Wang, D.; et al. Refined Cumulative Risk Assessment of Pb, Cd, and as in TCM Decoction Based on Bioavailability through In Vitro Digestion/MDCK Cells. Toxics 2024, 12, 528. https://doi.org/10.3390/toxics12070528
Zuo T, Luo F, Suo Y, Chang Y, Wang Z, Jin H, Yu J, Xing S, Guo Y, Wang D, et al. Refined Cumulative Risk Assessment of Pb, Cd, and as in TCM Decoction Based on Bioavailability through In Vitro Digestion/MDCK Cells. Toxics. 2024; 12(7):528. https://doi.org/10.3390/toxics12070528
Chicago/Turabian StyleZuo, Tiantian, Feiya Luo, Yaqiong Suo, Yan Chang, Zhao Wang, Hongyu Jin, Jiandong Yu, Shuxia Xing, Yuansheng Guo, Dandan Wang, and et al. 2024. "Refined Cumulative Risk Assessment of Pb, Cd, and as in TCM Decoction Based on Bioavailability through In Vitro Digestion/MDCK Cells" Toxics 12, no. 7: 528. https://doi.org/10.3390/toxics12070528
APA StyleZuo, T., Luo, F., Suo, Y., Chang, Y., Wang, Z., Jin, H., Yu, J., Xing, S., Guo, Y., Wang, D., Wei, F., Wang, G., Sun, L., & Ma, S. (2024). Refined Cumulative Risk Assessment of Pb, Cd, and as in TCM Decoction Based on Bioavailability through In Vitro Digestion/MDCK Cells. Toxics, 12(7), 528. https://doi.org/10.3390/toxics12070528

