Decontamination of Chlorpyrifos Residue in Soil by Using Mentha piperita (Lamiales: Lamiaceae) for Phytoremediation and Two Bacterial Strains
Abstract
1. Introduction
2. Materials and Methods
2.1. Insecticide and Bacteria
2.2. Phytoremediation Experiment Setup and Procedures
2.3. Biosurfactants Enhanced Recovery of CPF
2.4. CPF Residue Extraction and Analysis in Soil and IM
2.5. HPLC Analysis
2.6. Accuracy and Precision
2.7. Physiological Parameters
2.8. Data and Statistical Analysis
3. Results
3.1. Degradation and Translocation of CPF under Tested Bacteria
3.2. Enhancing CPF Recovery in Soil
3.3. Reaction Rate Constants for CPF
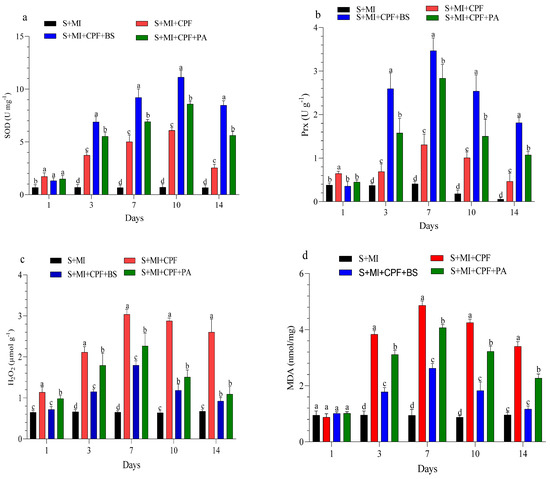
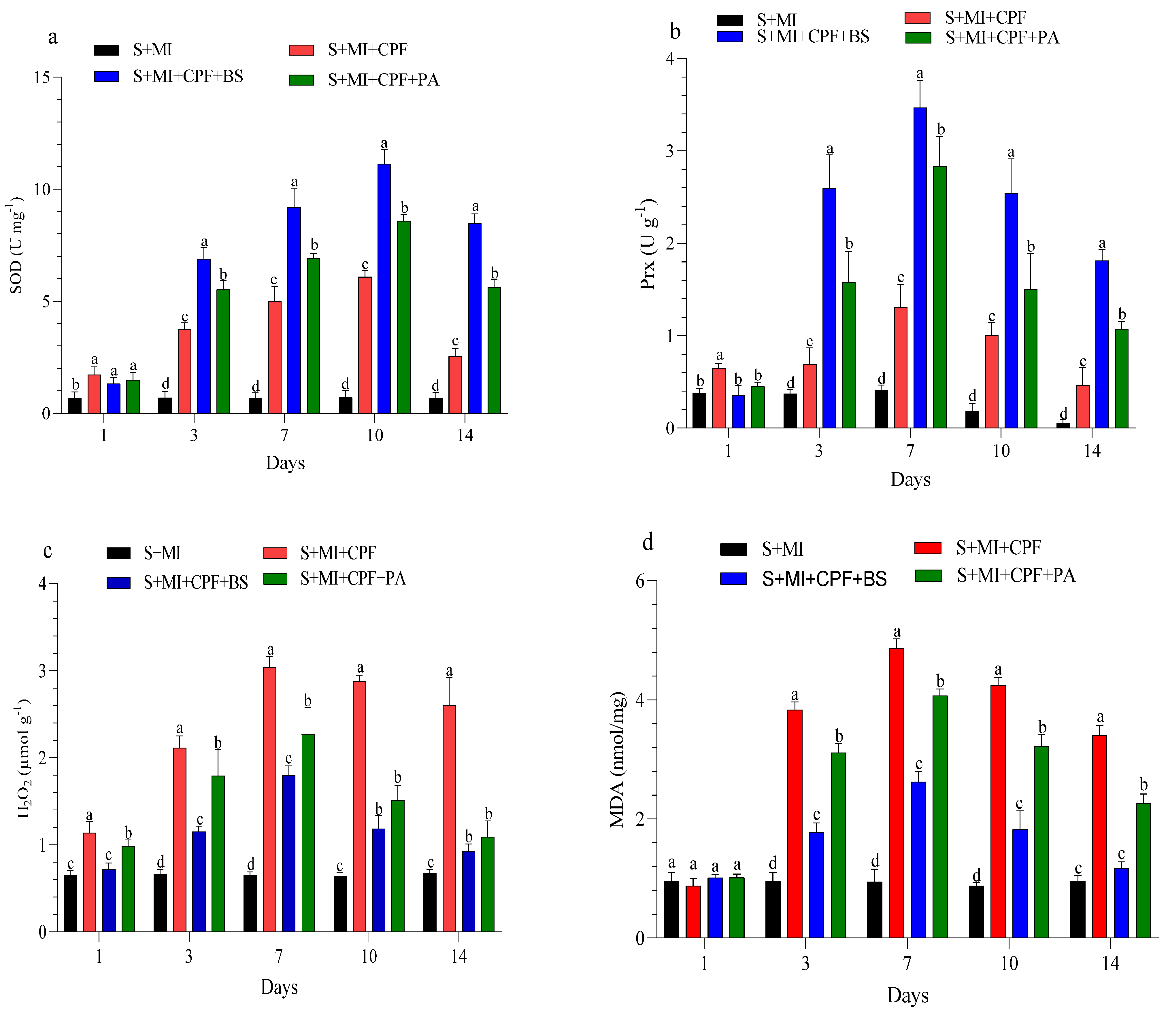
3.4. Physiological Characteristics of Mentha Piperita
4. Discussion
5. Conclusions
Supplementary Materials
Author Contributions
Funding
Institutional Review Board Statement
Informed Consent Statement
Data Availability Statement
Acknowledgments
Conflicts of Interest
References
- Van, E.; Jeanette, M.; Pan, P.; van Breukelen, F. Effects of chlorpyrifos and trichloropyridinol on HEK 293 human embryonic kidney cells. Chemosphere Environ. Toxicol. Risk Assess. 2018, 191, 537–547. [Google Scholar] [CrossRef] [PubMed]
- Foong, S.Y.; Ma, N.L.; Lam, S.S.; Peng, W.; Low, F.; Lee, B.H.K.; Alstrup, A.K.O.; Sonne, C. A recent global review of hazardous chlorpyrifos pesticide in fruit and vegetables: Prevalence, remediation and actions needed. J. Hazard. Mater. 2020, 400, 123006. [Google Scholar] [CrossRef]
- Abd-Alrahman, S.H.; Mostafa, A.A. Mycoremediation of organophosphorous insecticide chlorpyrifos by fungal soil isolates. J. Pure Appl. Microbiol. 2014, 8, 2945–2951. [Google Scholar]
- Rahman, S.U.; Xuebin, Q.; Kamran, M.; Yasin, G.; Cheng, H.; Rehim, A.; Riaz, L.; Rizwan, M.; Ali, S.; Alsahli, A. Silicon elevated cadmium tolerance in wheat (Triticum aestivum L.) by endorsing nutrients uptake and antioxidative defense mechanisms in the leaves. Plant Physiol. Biochem. PPB 2021, 166, 148–159. [Google Scholar] [CrossRef] [PubMed]
- Tudi, M.; Yang, L.; Wang, L.; Lv, J.; Gu, L.; Li, H.; Peng, W.; Yu, Q.; Ruan, H.; Li, Q.; et al. Environmental and Human Health Hazards from Chlorpyrifos, Pymetrozine and Avermectin Application in China under a Climate Change Scenario: A Comprehensive Review. Agriculture 2023, 13, 1683. [Google Scholar] [CrossRef]
- Liang, B.; Yang, C.; Gong, M.; Zhao, Y.; Zhu, C.; Jiang, J.; Li, S. Adsorption and degradation of triazophos, chlorpyrifos and their main hydrolytic metabolites in paddy soil from Chaohu Lake, China. J. Environ. Manag. 2011, 92, 2229–2234. [Google Scholar] [CrossRef] [PubMed]
- Mackay, D.; Giesy, J.P.; Solomon, K.R. Fate in the environment and long-range atmospheric transport of the organophosphorus insecticide, chlorpyrifos and its oxon. Rev. Environ. Contam. Toxicol. 2014, 231, 35–76. [Google Scholar] [CrossRef]
- Eaton, D.L.; Daroff, R.B.; Autrup, H.; Bridges, J.; Spencer, P.S. Review of the Toxicology of Chlorpyrifos with an Emphasis on Human Exposure and Neurodevelopment. Crit. Rev. Toxicol. 2008, 38 (Suppl. S2), 1–125. [Google Scholar] [CrossRef]
- Cilia, N.; Kandris, I. Training in the evaluation of pesticides (plant protection products and active substances) according to Regulation (EC) No 1107/2009. EFSA J. 2023, 21, e211007. [Google Scholar] [CrossRef]
- Rock, S.; Pivetz, B.; Madalinski, K.; Adams, N.; Wilson, T. Introduction to Phytoremediation; EPA/600/R-99/107 (NTIS PB2000-106690); U.S. Environmental Protection Agency: Washington, DC, USA, 2000. [Google Scholar]
- Aioub, A.A.A.; Li, Y.; Qie, X.; Zhang, X.; Hu, Z. Reduction of soil contamination by cypermethrin residues using phytoremediation with Plantago major and some surfactants. Environ. Sci. Eur. 2019, 2019, 26. [Google Scholar] [CrossRef]
- Liu, W.; Sun, J.; Ding, L.; Luo, Y.; Chen, M. Rhizobacteria (Pseudomona ssp. SB) assist phytoremediation of oily-sludge-contaminated soil by tall fescue (Testuca arundinacea L.). Plant Soil 2013, 371, 533–542. [Google Scholar] [CrossRef]
- Pandey, S.; Bhattacharya, T. Characterization and phytoremediation of heavy metals of flyash by native plant species: A case study of fly ash generated from Patratu Thermal Power Station, Jharkhand. In Proceedings of the RACEE-2016; Birla Institute of Technology: Mesra, India, 2016. [Google Scholar]
- Lv, T.; Zhang, Y.; Casas, M.E.; Carvalho, P.N.; Arias, C.A.; Bester, K.; Brix, H. Phytoremediation of imazalil and tebuconazole by four emergent wetland plant species in hydroponic medium. Chemosphere 2016, 148, 459–466. [Google Scholar] [CrossRef]
- Lubbu, M.A.; Taufikurahman, T. Effect of chromium phytoextraction to anticancer compound of Catharanthus roseus (L.) G. Don. In Proceedings of the International Conference on Universal Wellbeing, Kuala Lumpur, Malaysia, 5–6 December 2019. [Google Scholar]
- Aioub, A.A.A.; Zuo, Y.; Aioub, A.A.A.; Hu, Z. Biochemical and phytoremediation of Plantago major L. to protect tomato plants from the contamination of cypermethrin pesticide. Environ. Sci. Pollut. Res. 2021, 30, 7040–7055. [Google Scholar] [CrossRef] [PubMed]
- Zhang, J.J.; Lu, Y.C.; Zhang, J.J.; Tan, L.R.; Yang, H. Accumulation and toxicological response of atrazine in rice crops. Ecotoxicol. Environ. Saf. 2014, 102, 105–112. [Google Scholar] [CrossRef] [PubMed]
- Ansari, A.A.; Lanza, G.R.; Gill, S.S.; Gill, R.; Newman, L. Phytoremediation: Management of Environmental Contaminants Volume-2; Springer International Publishing: Berlin, Germany, 2014. [Google Scholar] [CrossRef]
- Raza, A.; Habib, M.; Kakavand, S.N.; Zahid, Z.; Zahra, N.; Sharif, R.; Hasanuzzaman, M. Phytoremediation of Cadmium: Physiological, Biochemical, and Molecular Mechanisms. Biology 2020, 9, 177. [Google Scholar] [CrossRef] [PubMed]
- Phaenark, C.; Pokethitiyook, P.; Kruatrachue, M.; Ngernsansaruay, C. Cd and Zn accumulation in plants from the Padaeng zinc mine area. Int. J. Phytoremediat. 2009, 11, 479–495. [Google Scholar] [CrossRef] [PubMed]
- Prasad, M.; Ranjan, R.; Gupta, A.; Srivastava, P. Molecular basis of plant-microbe interaction in remediating organic pollutants. In Handbook of Bioremediation Physiological, Molecular and Biotechnological Interventions; Elsevier Inc.: Amsterdam, The Netherlands, 2021; pp. 603–623. [Google Scholar] [CrossRef]
- Kurashvili, M.; Adamia, G.; Ananiashvili, T.; Amiranasvili, L.; Varazi, T.; Pruidze, M.; Gordeziani, M.; Khatisashvili, G. Plants and Microorganisms for Phytoremediation of Soils Polluted with Organochlorine Pesticides. Int. J. Biol. Vet. Agric. Food Eng. 2014, 8, 382–384. [Google Scholar]
- Escalante-Espinosa, E.; Gallegos-Martinez, M.; Favela-Torres, E.; Gutierrez-Rojas, M. Improvement of the hydrocarbon phytoremediation rate by Cyperus laxus Lam. inoculated with a microbial consortium in a model system. Chemosphere 2005, 59, 405–413. [Google Scholar] [CrossRef]
- Khan, M.S.; Zaidi, A.; Wani, P.A.; Oves, M. Erratum to: Role of plant growth promoting rhizobacteria in the remediation of metal contaminated soils. Environ. Chem. Lett. 2011, 10, 105–106. [Google Scholar] [CrossRef]
- Akbar, S.; Sultan, S. Soil bacteria showing a potential of chlorpyrifos degradation and plant growth enhancement. Braz. J. Microbiol. 2016, 47, 563–570. [Google Scholar] [CrossRef]
- Wasi, S.; Tabrez, S.; Ahmad, M. Use of Pseudomonas spp. for the bioremediation of environmental pollutants: A review. Environ. Monit. Assess. 2013, 185, 8147–8155. [Google Scholar] [PubMed]
- Ramadass, M.; Thiagarajan, P. Effective pesticide nano formulations and their bacterial degradation. In IOP Conference Series: Materials Science and Engineering; IOP Publishing: Bristol, UK; p. 022050. [CrossRef]
- Avarseji, Z.; Talie, F.; GholamaAlipour Alamdari, E.; Hoseini Tilan, M.S. Investigation of the biodegradability of pendimethalin by Bacillus subtilis, Pseudomonas fluorescens, and Escherichia coli. Adv. Environ. Technol. 2021, 7, 221–229. [Google Scholar]
- Salunkhe, V.P.; Sawant, I.S.; Banerjee, K.; Rajguru, Y.R.; Wadkar, P.N.; Oulkar, D.P.; Naik, D.G.; Sawant, S.D. Biodegradation of profenofos by Bacillus subtilis isolated from grapevines (Vitis vinifera). J. Agric. Food Chem. 2013, 61, 7195–7202. [Google Scholar] [CrossRef] [PubMed]
- Aziz, M.W.; Sabit, H.; Tawakkol, W. Biodegradation of malathion by Pseudomonas spp. and Bacillus spp. isolated from polluted sites in Egypt. Am.-Eurasian J. Agric. Environ. Sci. 2014; 14, 855–862. [Google Scholar]
- Mishra, A.; Mishra, S.P.; Arshi, A.; Agarwal, A.; Dwivedi, S.K. Plant-Microbe Interactions for Bioremediation and Phytoremediation of Environmental Pollutants and Agro-ecosystem Development; Springer: Singapore, 2020. [Google Scholar]
- Soldi, E.; Casey, C.; Murphy, B.R.; Hodkinson, T.R. Fungal Endophytes for Grass Based Bioremediation: An Endophytic Consortium Isolated from Agrostis stolonifera Stimulates the Growth of Festuca arundinacea in Lead Contaminated Soil. J. Fungi 2020, 6, 254. [Google Scholar] [CrossRef] [PubMed]
- Patra, D.D. Unraveling Plant-Rhizosphere-Microbe Interactions: An Overview. J. Indian Soc. Soil Sci. 2016, 64, S14–S26. [Google Scholar]
- Sustrikova, A.; Salamon, I. Essential oil of peppermint (Mentha × piperita L.) from fields in Eastern Slovakia. Hortic. Sci. 2004, 31, 31–36. [Google Scholar] [CrossRef]
- Dinu, C.; Vasile, G.; Tenea, A.; Stoica, C.; Stefania, G.; Serban, E.A. The influence of toxic metals As, Cd, Ni and Pb on nutrients accumulation in Mentha piperita. Rom. J. Ecol. Environ. Chem. 2021, 3, 141–152. [Google Scholar] [CrossRef]
- Azmat, R.; Haider, S.; Riaz, M. An inverse relation between Pb2+ and Ca2+ ions accumulation in phaseolus mungo and lens culinaris under Pb stress. Pak. J. Bot. 2009, 41, 2289–2295. [Google Scholar]
- Malinowska, E.; Jankowski, K. Copper and zinc concentrations of medicinal herbs and soil surrounding ponds on agricultural land. Landsc. Ecol. Eng. 2017, 13, 183–188. [Google Scholar] [CrossRef]
- Jiang, W.; Xu, L.; Liu, Y.; Su, W.; Yan, J.; Xu, D. Effect of Biochar on the Growth, Photosynthesis, Antioxidant System and Cadmium Content of Mentha piperita ‘Chocolate’ and Mentha spicata in Cadmium-Contaminated Soil. Agronomy 2022, 12, 2737. [Google Scholar] [CrossRef]
- Yücel, E.; Yücel, M. Removal of Heavy Metal Cr (II), Ni (II), Cu (II), Zn (II), Cd (II), Pb (II) Ions from Aqueous Solution by Mentha piperita Extract. Langmuir 2020, 12, 21. [Google Scholar]
- Ugulu, I.; Khan, Z.I.; Rehman, S.; Ahmad, K.; Dogan, Y. Heavy Metal Content of Mentha piperita Samples Irrigated with Wastewater and Appraisal of Human Health Risk. In Conference of the Arabian Journal of Geosciences; Springer: Cham, Switzerland, 2019; pp. 173–176. [Google Scholar]
- Peixoto, F.; Alves-Fernandes, D.; Santos, D.; Fontaínhas-Fernandes, A. Toxicological effects of oxyfluorfen on oxidative stress enzymes in tilapia Oreochromis niloticus. Pestic. Biochem. Physiol. 2006, 85, 91–96. [Google Scholar] [CrossRef]
- MITHOFER. Biotic and heavy metal stress response in plants: Evidence for common signals. FEBS Lett. 2004, 566, 1–5. [Google Scholar] [CrossRef] [PubMed]
- Agrawal, G.K.; Rakwal, R.; Jwa, N.S.; Agrawal, V.P. Effects of signaling molecules, protein phosphatase inhibitors and blast pathogen (Magnaporthe grisea) on the mRNA level of a rice (Oryza sativa L.) phospholipid hydroperoxide glutathione peroxidase (OsPHGPX) gene in seedling leaves. Gene 2002, 283, 227–236. [Google Scholar] [CrossRef] [PubMed]
- Kaushik, D.; Aryadeep, R. Reactive oxygen species (ROS) and response of antioxidants as ROS-scavengers during environmental stress in plants. Front. Environ. Sci. 2014, 2, 53. [Google Scholar]
- Mishra, S.; Imlay, J. Why do bacteria use so many enzymes to scavenge hydrogen peroxide? Arch. Biochem. Biophys. 2012, 525, 145–160. [Google Scholar] [CrossRef] [PubMed]
- Kong, W.; Liu, F.; Zhang, C.; Zhang, J.; Feng, H. Non-destructive determination of Malondialdehyde (MDA) distribution in oilseed rape leaves by laboratory scale NIR hyperspectral imaging. Sci. Rep. 2016, 6, 35393. [Google Scholar] [CrossRef] [PubMed]
- Maksymiec, W.; Krupa, Z. Effects of methyl jasmonate and excess copper on root and leaf growth. Biol. Plant. 2007, 51, 322–326. [Google Scholar] [CrossRef]
- Fahmy, M.A.; Salem, S.H.; Qattan, S.Y.A.; Abourehab, M.A.S.; Ashkan, M.F.; Al-Quwaie, D.A.; Abd El-Fattah, H.I.; Akl, B.A. Biodegradation of Chlorantraniliprole and Flubendiamide by Some Bacterial Strains Isolated from Different Polluted Sources. Processes 2022, 10, 2527. [Google Scholar] [CrossRef]
- Lehotay, S.J.; Kok, A.d.; Hiemstra, M.; Bodegraven, P.V. Validation of a fast and easy method for the determination of residues from 229 pesticides in fruits and vegetables using gas and liquid chromatography and mass spectrometric detection. J. AOAC Int. 2005, 88, 595–614. [Google Scholar] [CrossRef]
- Romeh, A. Enhancing agents for phytoremediation of soil contaminated by cyanophos. Ecotoxicol. Environ. Saf. 2015, 117, 124–131. [Google Scholar] [CrossRef] [PubMed]
- Pihlström, T.; Fernández-Alba, A.R.; Amate, C.F.; Poulsen, M.E.; Hardebusch, B.; Anastassiades, M.; Lippold, R.; Cabrera, L.C.; de Kok, A.; ORegan, F. Analytical quality control and method validation procedures for pesticide residues analysis in food and feed SANTE 11312/2021. Sante 2021, 11312, v2. [Google Scholar]
- Gomaa, E.A.; Belal, M.H. Determination of dimethoate residues in some vegetables and cotton plant. J. Plasma Phys. 1975, 22, 726–730. [Google Scholar]
- Gaur, N.; Sharma, S.; Yadav, N. Chapter 2—Environmental pollution. In Green Chemistry Approaches to Environmental Sustainability; Garg, V.K., Yadav, A., Mohan, C., Yadav, S., Kumari, N., Eds.; Elsevier: Amsterdam, The Netherlands, 2024; pp. 23–41. [Google Scholar]
- Aioub, A.A.A.; Zuo, Y.; Li, Y.; Qie, X.; Zhang, X.; Essmat, N.; Wu, W.; Hu, Z. Transcriptome analysis of Plantago major as a phytoremediator to identify some genes related to cypermethrin detoxification. Environ. Sci. Pollut. Res. 2021, 28, 5101–5115. [Google Scholar] [CrossRef] [PubMed]
- Ražić, S.; Svetlana, Đ. Determination of chromium in Mentha piperita L. and soil by graphite furnace atomic absorption spectrometry after sequential extraction and microwave-assisted acid digestion to assess potential bioavailability. Chemosphere 2009, 78, 451–456. [Google Scholar] [CrossRef] [PubMed]
- Li, J.; Xu, J.; Yang, X.; Ren, L.; Wang, Y.; Ma, D.; Fan, P.; Wang, H.; Liu, L.; Dong, B. Effects of phenanthrene on the essential oil composition and leaf metabolome in peppermint plants (Mentha piperita L.). Ind. Crops Prod. 2022, 187, 115383. [Google Scholar] [CrossRef]
- Mohseni, A.; Reyhanitabar, A.; Najafi, N.; Oustan, S.; Bazargan, K. Phytoremediation potential and essential oil quality of peppermint grown in contaminated soils as affected by sludge and time. J. Agric. Sci. Technol. 2022, 24, 723–737. [Google Scholar]
- Dinu, C.; Gheorghe, S.; Tenea, A.G.; Stoica, C.; Vasile, G.-G.; Popescu, R.L.; Serban, E.A.; Pascu, L.F. Toxic Metals (As, Cd, Ni, Pb) impact in the most common medicinal plant (Mentha piperita). Int. J. Environ. Res. Public Health 2021, 18, 3904. [Google Scholar] [CrossRef] [PubMed]
- Mishra, B.; Chandra, M. Evaluation of phytoremediation potential of aromatic plants: A systematic review. J. Appl. Res. Med. Aromat. Plants 2022, 31, 100405. [Google Scholar] [CrossRef]
- Khair, K.U.; Farid, M.; Ashraf, U.; Zubair, M.; Rizwan, M.; Farid, S.; Ishaq, H.K.; Iftikhar, U.; Ali, S. Citric acid enhanced phytoextraction of nickel (Ni) and alleviate Mentha piperita (L.) from Ni-induced physiological and biochemical damages. Environ. Sci. Pollut. Res. Int. 2020, 27, 27010–27022. [Google Scholar] [CrossRef]
- Kerle, E.A.; Jenkins, J.J.; Vogue, P.A. Understanding Pesticide Persistence and Mobility for Groundwater and Surface Water Protection. 1994. Available online: https://ir.library.oregonstate.edu/concern/open_educational_resources/05741s066 (accessed on 1 June 2024).
- Turgut, C. Uptake and modeling of pesticides by roots and shoots of parrotfeather (Myriophyllum aquaticum) (5 pp). Environ. Sci. Pollut. Res. 2005, 12, 342–346. [Google Scholar]
- Bouldin, J.; Farris, J.; Moore, M.; Smith, S., Jr.; Cooper, C. Hydroponic uptake of atrazine and lambda-cyhalothrin in Juncus effusus and Ludwigia peploides. Chemosphere 2006, 65, 1049–1057. [Google Scholar] [CrossRef] [PubMed]
- Trapp, S. Modelling uptake into roots and subsequent translocation of neutral and ionisable organic compounds. Pest Manag. Sci. Former. Pestic. Sci. 2000, 56, 767–778. [Google Scholar] [CrossRef]
- Wang, M.-J.; Jones, K.C. Behaviour and fate of chlorobenzenes (CBs) introduced into soil-plant systems by sewage sludge application: A review. Chemosphere 1994, 28, 1325–1360. [Google Scholar] [CrossRef]
- Racke, K.D. Environmental fate of chlorpyrifos. In Reviews of Environmental Contamination and Toxicology. Reviews of Environmental Contamination and Toxicology; Springer: New York, NY, USA, 1993; Volume 131, pp. 1–150. [Google Scholar] [CrossRef] [PubMed]
- Jaiswal, S.; Bara, J.K.; Soni, R.; Shrivastava, K. Bioremediation of chlorpyrifos contaminated soil by microorganism. Int. J. Environ. Agric. Biotechnol. 2017, 2, 238833. [Google Scholar] [CrossRef]
- McCall, P.; Swann, R.; Laskowski, D.; Unger, S.; Vrona, S.; Dishburger, H. Estimation of chemical mobility in soil from liquid chromatographic retention times. Bull. Environ. Contam. Toxicol. 1980, 24, 190–195. [Google Scholar] [CrossRef] [PubMed]
- Kaushik, G.; Dar, M.A.; Nimesh, S.; López-Chuken, U.J.; Villarreal-Chiu, J.F. Microbial Degradation of Organophosphate Pesticides: A Review. Pedosphere 2018, 28, 190–208. [Google Scholar]
- Gongora-Echeverria, V.R.; Martin-Laurent, F.; Quintal-Franco, C.; Lorenzo-Flores, A.; Giacoman-Vallejos, G.; Ponce-Caballero, C. Dissipation and Adsorption of 2,4-D, Atrazine, Diazinon, and Glyphosate in an Agricultural Soil from Yucatan State, Mexico. Water Air Soil Pollut. 2019, 230, 131. [Google Scholar] [CrossRef]
- Acharya, K.; Shilpkar, P.; Shah, M.; Chellapandi, P. Biodegradation of insecticide monocrotophos by Bacillus subtilis KPA-1, isolated from agriculture soils. Appl. Biochem. Biotechnol. 2015, 175, 1789–1804. [Google Scholar] [CrossRef]
- Mousa, N.; Gatie, I.H.; Hasan, A. Biodegradation of (N-phosphonomethyl)glycine Utilizing Bacillus subtilis using different incubation periods. IOP Conf. Ser. Earth Environ. Sci. 2019, 388, 012080. [Google Scholar] [CrossRef]
- Chen, W.-J.; Zhang, W.; Lei, Q.; Chen, S.-F.; Huang, Y.; Bhatt, K.; Liao, L.; Zhou, X. Pseudomonas aeruginosa based concurrent degradation of beta-cypermethrin and metabolite 3-phenoxybenzaldehyde, and its bioremediation efficacy in contaminated soils. Environ. Res. 2023, 236, 116619. [Google Scholar] [CrossRef] [PubMed]
- Kharabsheh, H.A.; Han, S.; Allen, S.; Chao, S.L. Metabolism of chlorpyrifos by Pseudomonas aeruginosa increases toxicity in adult zebrafish (Danio rerio). Int. Biodeterior. Biodegrad. 2017, 121, 114–121. [Google Scholar] [CrossRef]
- Zhang, C.; Wang, S.; Yan, Y. Isomerization and biodegradation of beta-cypermethrin by Pseudomonas aeruginosa CH7 with biosurfactant production. Bioresour. Technol. 2011, 102, 7139–7146. [Google Scholar] [CrossRef] [PubMed]
- Gangola, S.; Sharma, A.; Bhatt, P.; Khati, P.; Chaudhary, P. Presence of esterase and laccase in Bacillus subtilis facilitates biodegradation and detoxification of cypermethrin. Sci. Rep. 2018, 8, 12755. [Google Scholar] [CrossRef] [PubMed]
- Singh, B. Degradation of clodinafop propargyl by Pseudomonas sp. strain B2. Bull. Environ. Contam. Toxicol. 2013, 91, 730–733. [Google Scholar] [CrossRef] [PubMed]
- Lyon, D.Y.; Vogel, T.M. Bioaugmentation for Groundwater Remediation: An Overview. In Bioaugmentation for Groundwater Remediation; Springer: New York, NY, USA, 2013; pp. 1–37. [Google Scholar] [CrossRef]
- Cycoń, M.; Mrozik, A.; Piotrowska-Seget, Z. Bioaugmentation as a strategy for the remediation of pesticide-polluted soil: A review. Chemosphere 2017, 172, 52–71. [Google Scholar] [CrossRef]
- Li, X.; He, J.; Li, S. Isolation of a chlorpyrifos-degrading bacterium, Sphingomonas sp. strain Dsp-2, and cloning of the mpd gene. Res. Microbiol. 2007, 158, 143–149. [Google Scholar] [CrossRef]
- Cycon, M.; Piotrowska-Seget, Z. Effect of selected pesticides on soil microflora involved in organic matter and nitrogen transformations: Pot experiment. Pol. J. Ecol. 2007, 55, 207–220. [Google Scholar]
- Reddy, G.S.; Reddy, B.; Tlou, M. Biodegradation of 2-hydroxyquinoxaline (2-HQ) by Bacillus sp. J. Hazard. Mater. 2014, 278, 100–107. [Google Scholar] [CrossRef]
- Singh, B.K.; Walker, A.; Morgan, J.A.W.; Wright, D.J. Biodegradation of chlorpyrifos by Enterobacter strain B-14 and its use in bioremediation of contaminated soils. Appl. Environ. Microbiol. 2004, 70, 4855–4863. [Google Scholar] [CrossRef] [PubMed]
- Yang, L.; Zhao, Y.-H.; Zhang, B.-X.; Yang, C.-H.; Zhang, X. Isolation and characterization of a chlorpyrifos and 3, 5, 6-trichloro-2-pyridinol degrading bacterium. FEMS Microbiol. Lett. 2005, 251, 67–73. [Google Scholar] [CrossRef] [PubMed]
- Cycoń, M.; Żmijowska, A.; Wójcik, M.; Piotrowska-Seget, Z. Biodegradation and bioremediation potential of diazinon-degrading Serratia marcescens to remove other organophosphorus pesticides from soils. J. Environ. Manag. 2013, 117, 7–16. [Google Scholar] [CrossRef] [PubMed]
- Chen, Y.; Tang, X.; Cheema, S.A.; Liu, W.; Shen, C. Beta-cyclodextrin enhanced phytoremediation of aged PCBs-contaminated soil from e-waste recycling area. J. Environ. Monit. Jem 2010, 12, 1482–1489. [Google Scholar] [CrossRef] [PubMed]
- Malla, M.A.; Dubey, A.; Kumar, A.; Yadav, S.; Kumari, S. Modeling and optimization of chlorpyrifos and glyphosate biodegradation using RSM and ANN: Elucidating their degradation pathways by GC-MS based metabolomics. Ecotoxicol. Environ. Saf. 2023, 252, 114628. [Google Scholar] [CrossRef] [PubMed]
- Song, S.; Huang, H.; Chen, Z.; Wei, J.; Deng, C.; Tan, H.; Li, X. Representative commodity for six leafy vegetables based on the determination of six pesticide residues by gas chromatography. Akadémiai Kiadó 2019, 31, 49–56. [Google Scholar] [CrossRef]
- Prasad, S.M.; Dwivedi, R.; Zeeshan, M. Growth, photosynthetic electron transport, and antioxidant responses of young soybean seedlings to simultaneous exposure of nickel and UV-B stress. Photosynthetica 2005, 43, 177–185. [Google Scholar] [CrossRef]
- Fidalgo, F.; Freitas, R.; Ferreira, R.; Pessoa, A.M.; Teixeira, J. Solanum nigrum L. antioxidant defence system isozymes are regulated transcriptionally and posttranslationally in Cd-induced stress. Environ. Exp. Bot. 2011, 72, 312–319. [Google Scholar] [CrossRef]
- Bowler, C.; Montagu, M.V.; Inze, D. Superoxide Dismutase and Stress Tolerance. Annu. Rev. Plant Physiol. Plant Mol. Biol. 1992, 43, 83–116. [Google Scholar] [CrossRef]
- Hasanuzzaman, M.; Bhuyan, M.; Zulfiqar, F.; Raza, A.; Mohsin, S.M.; Mahmud, J.A.; Fujita, M.; Fotopoulos, V. Reactive Oxygen Species and Antioxidant Defense in Plants under Abiotic Stress: Revisiting the Crucial Role of a Universal Defense Regulator. Antioxidants 2020, 9, 681. [Google Scholar] [CrossRef]
- Mishra, V.; Srivastava, G.; Prasad, S.M. Antioxidant response of bitter gourd (Momordica charantia L.) seedlings to interactive effect of dimethoate and UV-B irradiation. Sci. Hortic. 2009, 120, 373–378. [Google Scholar] [CrossRef]
- Islam, F.; Yasmeen, T.; Arif, M.S.; Riaz, M.; Shahzad, S.M.; Imran, Q.; Ali, I. Combined ability of chromium (Cr) tolerant plant growth promoting bacteria (PGPB) and salicylic acid (SA) in attenuation of chromium stress in maize plants. Plant Physiol. Biochem. 2016, 108, 456–467. [Google Scholar] [CrossRef] [PubMed]
- Shah, A.A.; Sonia, A.; Muhammad, A.; Aqeel, K.; Waheed, U.Y.; Nasim, A.A.; Basharat, R.; Muhammad, A.S. Combined effect of Bacillus fortis IAGS 223 and zinc oxide nanoparticles to alleviate cadmium phytotoxicity in Cucumis melo. Plant Physiol. Biochem. 2021, 158, 1–12. [Google Scholar] [CrossRef] [PubMed]
- Gururani, M.; Upadhyaya, C.; Baskar, V.; Venkatesh, J.; Nookaraju, A.; Park, S.W. Plant Growth-Promoting Rhizobacteria Enhance Abiotic Stress Tolerance in Solanum tuberosum through Inducing Changes in the Expression of ROS-Scavenging Enzymes and Improved Photosynthetic Performance. J. Plant Growth Regul. 2012, 32, 245–258. [Google Scholar] [CrossRef]
- Martins, P.F.; Carvalho, G.; Gratão, P.L.; Dourado, M.N.; Pileggi, M.; Araújo, W.L.; Azevedo, R.A. Effects of the herbicides acetochlor and metolachlor on antioxidant enzymes in soil bacteria. Process Biochem. 2011, 46, 1186–1195. [Google Scholar] [CrossRef]
- Rani, R.; Kumar, V.; Usmani, Z.; Gupta, P.; Chandra, A. Influence of plant growth promoting rhizobacterial strains Paenibacillus sp. IITISM08, Bacillus sp. PRB77 and Bacillus sp. PRB101 using Helianthus annuus on degradation of endosulfan from contaminated soil. Chemosphere 2019, 225, 479–489. [Google Scholar] [CrossRef] [PubMed]
- Awan, S.A.; Ilyas, N.; Khan, I.; Raza, M.A.; Rehman, A.U.; Rizwan, M.; Rastogi, A.; Tariq, R.; Brestic, M. Bacillus siamensis Reduces Cadmium Accumulation and Improves Growth and Antioxidant Defense System in Two Wheat (Triticum aestivum L.) Varieties. Plants 2020, 9, 878. [Google Scholar] [CrossRef]
- Li, Q.; Xing, Y.; Fu, X.; Ji, L.; Li, T.; Wang, J.; Chen, G.; Qi, Z.; Zhang, Q. Biochemical mechanisms of rhizospheric Bacillus subtilis-facilitated phytoextraction by alfalfa under cadmium stress—Microbial diversity and metabolomics analyses. Ecotoxicol. Environ. Saf. 2021, 212, 112016. [Google Scholar] [CrossRef]
- Tanwir, K.; Javed, M.T.; Abbas, S.; Shahid, M.; Akram, M.S.; Chaudhary, H.J.; Iqbal, M. Serratia sp. CP-13 alleviates Cd toxicity by morpho-physio-biochemical improvements, antioxidative potential and diminished Cd uptake in Zea mays L. cultivars differing in Cd tolerance. Ecotoxicol. Environ. Saf. 2021, 208, 111584. [Google Scholar] [CrossRef]






| Molecular weight | 350.6 g mol−1 |
| Vapor pressure (25 °C) | 1.87 × 10−5 mmHg |
| Water solubility (20 °C) | 0.73 mg L−1 |
| Henry’s law constant | 1.10 × 10−5 atm m−3 mol−1 |
| Log KOW | 5 |
| Log KOc | 3.78–3.93 L/kg |
Disclaimer/Publisher’s Note: The statements, opinions and data contained in all publications are solely those of the individual author(s) and contributor(s) and not of MDPI and/or the editor(s). MDPI and/or the editor(s) disclaim responsibility for any injury to people or property resulting from any ideas, methods, instructions or products referred to in the content. |
© 2024 by the authors. Licensee MDPI, Basel, Switzerland. This article is an open access article distributed under the terms and conditions of the Creative Commons Attribution (CC BY) license (https://creativecommons.org/licenses/by/4.0/).
Share and Cite
Aioub, A.A.A.; Fahmy, M.A.; Ammar, E.E.; Maher, M.; Ismail, H.A.; Yue, J.; Zhang, Q.; Abdel-Wahab, S.I.Z. Decontamination of Chlorpyrifos Residue in Soil by Using Mentha piperita (Lamiales: Lamiaceae) for Phytoremediation and Two Bacterial Strains. Toxics 2024, 12, 435. https://doi.org/10.3390/toxics12060435
Aioub AAA, Fahmy MA, Ammar EE, Maher M, Ismail HA, Yue J, Zhang Q, Abdel-Wahab SIZ. Decontamination of Chlorpyrifos Residue in Soil by Using Mentha piperita (Lamiales: Lamiaceae) for Phytoremediation and Two Bacterial Strains. Toxics. 2024; 12(6):435. https://doi.org/10.3390/toxics12060435
Chicago/Turabian StyleAioub, Ahmed A. A., Mohamed A. Fahmy, Esraa E. Ammar, Mohamed Maher, Heba A. Ismail, Jin Yue, Qichun Zhang, and Sarah I. Z. Abdel-Wahab. 2024. "Decontamination of Chlorpyrifos Residue in Soil by Using Mentha piperita (Lamiales: Lamiaceae) for Phytoremediation and Two Bacterial Strains" Toxics 12, no. 6: 435. https://doi.org/10.3390/toxics12060435
APA StyleAioub, A. A. A., Fahmy, M. A., Ammar, E. E., Maher, M., Ismail, H. A., Yue, J., Zhang, Q., & Abdel-Wahab, S. I. Z. (2024). Decontamination of Chlorpyrifos Residue in Soil by Using Mentha piperita (Lamiales: Lamiaceae) for Phytoremediation and Two Bacterial Strains. Toxics, 12(6), 435. https://doi.org/10.3390/toxics12060435

