Next Article in Journal
A Deep Learning Approach for Chromium Detection and Characterization from Soil Hyperspectral Data
Next Article in Special Issue
Advanced Photocatalytic Degradation of Cytarabine from Pharmaceutical Wastewaters
Previous Article in Journal
Migration Patterns and Potential Risk Assessment of Trace Elements in the Soil–Plant System in the Production Area of the Chinese Medicinal Herb Scrophularia ningpoensis Hemsl.
Previous Article in Special Issue
Influence of Phosphate on Arsenic Adsorption Behavior of Si-Fe-Mg Mixed Hydrous Oxide
 
 
Font Type:
Arial Georgia Verdana
Font Size:
Aa Aa Aa
Line Spacing:
Column Width:
Background:
Article

Adsorption of Cadmium and Lead Capacity and Environmental Stability of Magnesium-Modified High-Sulfur Hydrochar: Greenly Utilizing Chicken Feather

1
Key Laboratory of Arable Land Conservation (South China), Ministry of Agriculture, College of Natural Resources and Environment, South China Agricultural University, Guangzhou 510642, China
2
College of Natural Resources and Environment, Joint Institute for Environmental Research & Education, South China Agricultural University, Guangzhou 510642, China
3
WENS Foodstuff Group Co., Ltd., Yunfu 527400, China
4
School of Environmental Science and Engineering, Shaanxi University of Science & Technology, Xi’an 710021, China
*
Author to whom correspondence should be addressed.
Toxics 2024, 12(5), 356; https://doi.org/10.3390/toxics12050356
Submission received: 1 April 2024 / Revised: 29 April 2024 / Accepted: 10 May 2024 / Published: 11 May 2024
(This article belongs to the Special Issue Techniques and Methods for Toxic Agent Analysis and Removal)

Abstract

Chicken feathers represent a viable material for producing biochar adsorbents. Traditional slow pyrolysis methods often result in sulfur element losses from chicken feathers, whereas hydrothermal reactions generate substantial amounts of nutrient-rich hydrothermal liquor. Magnesium-modified high-sulfur hydrochar MWF was synthesized through magnesium modification, achieving a S content of 3.68%. The maximum equilibrium adsorption amounts of MWF for Cd2+ and Pb2+ were 25.12 mg·g−1 and 70.41 mg·g−1, respectively, representing 4.00 times and 2.75 times of WF. Magnesium modification elevated the sulfur content, pH, ash content, and electronegativity of MWF. The primary mechanisms behind MWF’s adsorption of Cd2+ and Pb2+ involve magnesium ion exchange and complexation with C=O/O=C–O, quaternary N, and S functional groups. MWF maintains robust stability and antioxidative properties, even with low aromaticity levels. Given the lower energy consumption during hydrochar production, MWF offers notable carbon sequestration benefits. The hydrothermal solution derived from MWF is nutrient-rich. Following supplementation with inorganic fertilizer, the hydrothermal solution of MWF significantly enhanced bok choy growth compared to the control group. In general, adopting magnesium-modified hydrothermal reactions to produce hydrochar and converting the resultant hydrothermal solution into water-soluble fertilizer proves a viable strategy for the eco-friendly utilization of chicken feathers. This approach carries substantial value for heavy metal remediation and agricultural practices.

1. Introduction

Heavy metal pollution for Cd and Pb is a global issue [1,2]. Cd and Pb in soil continuously accumulate through the food chain, causing adverse effects on human health [3]. Solidification and stabilization technology is commonly used to remediate Cd and Pb pollution in agricultural soils. This approach involves adding immobilizing agents to the soil to adsorb heavy metals or alter their forms, thereby reducing their bioavailability [4,5]. Biochar is a solid immobilizing material with a large specific surface area and abundant surface functional groups, widely used in the remediation of Cd, Pb, and other heavy metal-contaminated soils [6,7].
The adsorption performance of biochar is crucial for the remediation of soil Cd and Pb pollution. Most original biochars exhibit relatively weak adsorption performance, necessitating modifications to enhance their adsorption capacity [8]. Metal modification is a common modification method that can bind with heteroatoms such as S, N, and P in biomass, improving biochar’s adsorption performance [9]. And then, immobilizing agents used to remediate heavy metal-polluted soil only change the forms of heavy metals in the soil; the heavy metals remain in the soil, and the decomposition and transformation of immobilizing agents may lead to the re-release of heavy metals [10]. Therefore, the stability of immobilizing agents is crucial for long-term inhibition of heavy metals. The stability of biochar directly affects its persistence in soil, which is key to achieving long-term pollution control and preventing secondary pollution. It is also crucial for biochar to realize carbon sequestration benefits [11].
The preparation processes for biochar mainly include pyrolysis, gasification, and hydrothermal carbonization [12]. Among these, pyrolysis is the most commonly used method for biochar production, and its solid product better meets the typical definition of biochar. Hydrothermal carbonization (HTC) is carried out in the presence of water, making it unaffected by the high moisture content of raw materials, and its lower reaction temperature significantly reduces energy consumption [13,14]. HTC was employed as a low-energy consumption process for the production of carbon-rich heavy metal adsorbents.
Apart from a small amount of moisture, lipids, fibers, and ash, about 90% of feathers consist of keratin [15,16]. Keratin is an essential structural protein found in animal epithelial cells, primarily sourced from animal hair or hooves [17]. Most feathers are discarded or incinerated after being processed into feed or down products, resulting in a large amount of keratin waste [16]. Chickens’ feathers are a common type of avian feather, primarily composed of organic elements such as carbon (C), nitrogen (N), hydrogen (H), sulfur (S), and others (Table S1). Numerous sulfur-containing functional groups exhibit strong binding affinity with heavy metals such as cadmium and lead, with S being an essential constituent element in plant heavy metal detoxification [18,19,20,21]. Pyrolyzing chicken feathers into pyrolysis char has been proven to be a feasible measure [22,23]. But during the conventional high-temperature pyrolysis process for pyrolysis char production, S was significantly lost, whereas relatively low-temperature hydrothermal reactions for hydrochar could preserve S to a greater extent [18,24]. Currently, some studies have begun to explore the use of chicken feathers as a raw material for preparing hydrochar. Eliuz et al. (2022) prepared hydrochar using chicken feathers and loaded it with plant extracts as an antibacterial product [25]. Islam et al. (2021) synthesized hydrochar from chicken feathers for use as an adsorbent for phosphates [26]. Akter et al. (2021) have conducted preparation, characterization, and phytotoxicity evaluations of chicken feather-derived hydrochar [27]. Overall, existing studies predominantly employed pure water as a reaction solvent for preparing chicken feather-derived hydrochar, yet without effective modifications [25,26,27]. In additional, the utilization of chicken feather hydrothermal reaction liquids remains underexplored. A substantial number of nutrients were introduced into the hydrothermal reaction liquid during the process, rendering it nutrient-rich [28,29].
In general, unmodified hydrochars exhibit poor heavy metal adsorption capacity [30]. It is necessary to carry out modifications when preparing hydrochar for the purpose of heavy metal adsorption. The deposition of metal oxides and metal salts represents a novel method for altering the surface chemical properties of hydrochar and enhancing its adsorption capacity [31]. Metal elements such as zinc, iron, and magnesium (Mg) can bind with S, N [9]. Many studies have found that metal heteroatomic coordination bonds can improve material thermal resistance [32,33]. The improvement in thermal resistance may play a role in protecting heteroatoms. And then, Mg is a crucial medium element for plants. Synthesizing hydrothermal products through Mg-coupled hydrothermal reactions not only increased the adsorption capacity and S content of hydrochar but also enhanced the plant growth-promoting properties of the resultant hydrothermal products.
In this study, chicken feathers were used as the raw material. Mg served as a solvent for hydrothermal reactions to produce magnesium-modified high-sulfur hydrochar and hydrothermal reaction liquids containing Mg. The potential application value of hydrochar in soil environments was assessed through an analysis of its adsorption capacity (Cd2+ and Pb2+) and environmental stability. Additionally, the feasibility of utilizing hydrothermal reaction liquids as organic water-soluble fertilizers was evaluated through pot experiments using bok choy (Brassica chinensis L.).

2. Materials and Methods

2.1. Chemical Agent

The reagents used in this study, including hydrogen peroxide (H2O2), nitric acid (HNO3), and sodium nitrate (NaNO3), were purchased from the Guangzhou Chemical Reagent Factory. Magnesium chloride hexahydrate (MgCl2·6H2O), cadmium nitrate tetrahydrate (Cd(NO3)2·4H2O), and lead nitrate (Pb(NO3)2) were purchased from Macklin Reagent Company.

2.2. Preparation of High-Sulfur Hydrochar

The chicken feathers were sourced from Wen’s Group Co., Ltd. They were crushed into fluff using a grinder and then ground in a ball mill at 35 s−1 for 90 min and used as raw material for the hydrothermal reaction.
A 1 mol·L−1 Mg2+ solution was prepared using MgCl2·6H2O. A weight of 2.0 g of powdered chicken feathers was weighed and placed into a reaction vessel, and then 20 mL of ultrapure water or the 1 mol·L−1 Mg2+ solution was added. The mixture was stirred at 180 rpm in a shaker at 25 °C for 4 h. After sufficient stirring, the reaction vessel containing the inner liner was placed in an electrically heated convection oven with an average heating rate of 3 °C·min−1, heated to 180 °C, and maintained at that temperature for 240 min. After cooling to room temperature, the vessel was removed. The product in the inner liner was transferred to a 50 mL centrifuge tube and centrifuged at 8000 rpm for 10 min to separate the solid–liquid products. The liquid product was stored in a refrigerator for later use, while the solid product was washed three times with ultrapure water, dried in a freeze dryer, and sieved through a 60-mesh sieve. The hydrochar synthesized using magnesium as the hydrothermal reaction solution was named MWF, while those synthesized using ultrapure water as the hydrothermal reaction solution were named WF. The yield was calculated by the following equations:
Y i e l d ( % ) = W e i g h t   o f   h y d r o c h a r   W e i g h t   o f   b i o m a s s × 100 %

2.3. Characterization of Hydrochar

The pH of the materials was determined by immersion extraction at a solid-to-liquid ratio of 1:20. The cation exchange capacity (CEC) of hydrochar was measured using an improved ammonium acetate exchange method [34,35]. Ash content was determined by heating at 800 °C for 6 h in a muffle furnace, and the elements C, H, N, and S were analyzed using an elemental analyzer (Vario Micro Cube, Elementar, Hanau, Germany). The Fourier-transform infrared (FTIR) spectra of the materials were scanned in the wavelength range of 4000 cm−1 to 400 cm−1 using an FTIR analyzer (Tensor27, Bruker, Ettlingen, Germany). The porosity of hydrochar was determined by nitrogen adsorption using a surface area analyzer (ASAP-2460, Micromeritics, Norcross, USA). The nuclear magnetic resonance (NMR) procedure was as follows: 13C frequency of 100.63 MHz, magic angle spinning rate of 6.0 kHz, recycle time of 1.2 s, contact time of 1.2 ms. Measurements were conducted on a nuclear magnetic resonance spectrometer (Avance III 400MHZ, Bruker, Rheinstetten, Germany). Ultrapure water was used as the dispersant, and the Zeta potential of hydrochar at different pH levels (2–6) was measured using a Zeta analyzer (Zetasizer Nano ZS90, Malvern, Malvern, UK). Surface morphology was analyzed using a scanning electron microscope (SEM) (Evo Ma 15, Zeiss, Oberkochen, Germany) and energy-dispersive spectrometer (EDS) (Octane Plus, Edax, Mahwah, NJ, USA). Crystal structure analysis was performed using X-ray diffraction (XRD) (Ultima IV, Rigaku, Tokyo, Japan). Surface chemical composition was analyzed using X-ray photoelectron spectroscopy (XPS) (Escalab 250Xi, Thermo Fisher, Waltham, MA, USA).

2.4. Cd2+ and Pb2+ Adsorption Isotherm Experiment

In the adsorption experiments [22], the background solution was 0.01 mol·L−1 NaNO3. Cd2+ and Pb2+ solutions were prepared using Cd(NO3)2·4H2O and Pb(NO3)2, respectively, and the pH of the solutions was adjusted to 5.00 ± 0.01 using NaOH and HNO3. Each adsorption experiment was performed in triplicate, with 20 mg of adsorbent added to 20 mL of Cd2+ and Pb2+ solutions. The initial concentrations of Cd2+ were 1 mg·L−1, 5 mg·L−1, 10 mg·L−1, 25 mg·L−1, 40 mg·L−1, 55 mg·L−1, 75 mg·L−1, and the initial concentrations of Pb2+ were 1 mg·L−1, 5 mg·L−1, 25 mg·L−1, 50 mg·L−1, 75 mg·L−1, 100 mg·L−1, 150 mg·L−1. The mixture was shaken in a shaker at 25 °C and 180 rpm for 24 h. Afterward, the solution was filtered using a 0.45 μm filter. Depending on the specific situation, the filtrate was diluted with a 2% HNO3 solution, and the concentrations of Cd2+ and Pb2+ in the filtrate or dilute solution were determined using a flame atomic absorption spectrophotometer (AA-7000, Shimadzu, Kyoto, Japan). The concentration of Cd2+ and Pb2+ adsorbed on the hydrochar was calculated according to Equation (2):
q e = C 0 C e V m
where qe (mg·g−1) is the amount of adsorbed Cd2+ and Pb2+ at equilibrium, V is the volume (L) of Cd2+ and Pb2+ solution, and m (g) is the weight of the hydrochar; C0 and Ce (mg·L−1) are the initial and equilibrium concentrations of Cd2+ and Pb2+ in the solution.
The isotherm model was fitted using OriginPro 2023 b. The isotherms were fitted and calculated using the Langmuir isotherm model Equation (3) and the Freundlich isotherm model Equation (4):
q e = q m K L C e 1 + K L C e
q e = K F C e 1 n
where qe (mg·g−1) and qm (mg·g−1) are the equilibrium and maximum adsorption amounts, Ce (mg·L−1) are the equilibrium concentrations of Cd2+ and Pb2+ in the solution, KL (L·mg−1) is the Langmuir adsorption constant, KF (mg1−(1/n)·L1/n·g−1) is the Freundlich adsorption constant, and 1/n is the adsorption favorability.

2.5. H2O2 Chemical Oxidation Experiment

The hydrochar chemical oxidation followed the method outlined by Cross and Sohi (2013) [36]. Hydrochar powder was pulverized using a ball mill (25 s−1) for 3 min. Approximately 0.1 g of carbon-containing hydrochar was weighed into a glass test tube. The test tube was dried and weighed, and then 7 mL of a 2% H2O2 solution was added. After thorough mixing, the test tube was placed in an 80 °C water bath, shaken three times daily, and heated until the moisture evaporated. The test tube was then removed, dried, and weighed to determine the element content. The hydrochar stability (BS) was calculated by the following equations:
B S = m a × C a m b × C b × 100 %
where ma is the residual mass of hydrochar after oxidation, Ca is the carbon content of hydrochar after oxidation, mb is the residual mass of hydrochar before oxidation, and Cb is the carbon content of hydrochar before oxidation.

2.6. Preparation of Chicken Feather Organic Water-Soluble Fertilizer

The liquid products separated during the preparation of hydrochar WF and MWF were, respectively, named WF organic water-soluble fertilizer and MWF organic water-soluble fertilizer. The determination of the organic matter content, Mg content, pH (1:200 dilution), and total nitrogen (TN), total phosphorus (TP) and total potassium (TK) of organic water-soluble fertilizer were all referenced to the Chinese Ministry of Agriculture’s organic water-soluble fertilizers [37].
Based on the TN, TP, and TK, the contents of the major nutrient elements N, P2O5, and K2O in organic water-soluble fertilizers WF and MWF were supplemented to 82.48 g·L−1, 31.05 g·L−1, and 53.34 g·L−1, respectively. This adjustment was achieved by incorporating urea (CH4N2O), potassium dihydrogen phosphate (KH₂PO₄), and potassium chloride (KCl) as the three inorganic fertilizers. Additionally, the pH was measured (1:200 dilution), leading to the designation of WFNPK organic water-soluble fertilizer and MWFNPK organic water-soluble fertilizer, respectively.

2.7. Pot Experiment with Bok Choy

The soil samples were collected from paddy fields in Qujiang District, Shaoguan City, Guangdong Province. The soil samples were naturally air-dried, purified to remove impurities, sieved through a 5-mesh sieve, thoroughly mixed, and then used for pot experiments with bok choy. The nutrient content and basic physicochemical properties of the soil are shown in Table S2.
The potted experiments of bok choy were divided into five treatments: CK, NPK, WF, WFNPK, and MWFNPK, with three replicates for each treatment. The treatments were as follows: (1) CK served as the control group, receiving only water in the same amount as other treatments. (2) NPK involved the application of inorganic fertilizers, including CH4N2O, KH2PO4, and KCl, at a nutrient content of 137.47 mg N, 51.75 mg P2O5, and 88.91 mg K2O per pot. The fertilizers were evenly mixed and applied, with 40% as base fertilizer, 15% as first topdressing, 30% as second topdressing, and 15% as third topdressing, dissolved in water before application and applied every 7 days (Table S3). (3) WF utilized organic water-soluble fertilizers. (4) WFNPK involved the application of organic water-soluble fertilizers combined with NPK. (5) MWFNPK applied organic water-soluble fertilizers combined with NPK. All organic water-soluble fertilizers were diluted 200 times before application, with each pot receiving a total of 333.33 mL of diluted organic water-soluble fertilizer, following the fertilization method of NPK treatment, as detailed in Table S3.
Each replicate contained 2.0 kg of soil and three bok choy plants, supplemented with plant growth lights every evening and watered daily, lasting for 28 d.

2.8. Determination of Yield-Related Indicators for Bok Choy

The determination of bok choy primarily focused on yield-related indicators, including (1) the number of leaves of bok choy (excluding cotyledons); (2) plant height, maximum leaf length, corresponding leaf width, and root length; and (3) calculating the above-ground fresh weight and dry weight of bok choy through weighing methods.

3. Results and Discussion

3.1. Basic Characterization and Morphology Analysis of Hydrochar

The basic physicochemical properties of WF and MWF are shown in Table 1. The yields of chicken feather hydrochar WF and MWF were 15.90% and 16.76%, respectively. The addition of Mg slightly increased the yield of hydrochar, which was also reflected in the higher ash content of hydrochar MWF (17.42%). The ash content of hydrochar mainly comes from basic ions [38], while feathers are primarily composed of keratin, containing only a small amount of ash, fiber, and fat [15,16]. Therefore, it can be considered that the introduction of Mg metal increased the ash content of MWF and thus improved the yield. Some experimental results indicate that increasing basic ions and the ash content can raise the pH of hydrochar [39]. This may also be the reason for the higher pH of MWF (7.39) in this study, while the pH of hydrochar WF was acidic at 6.38.
The S content of raw hydrochar WF and MWF reached 3.34% and 3.68%, respectively. Chen et al. (2019) utilized chicken feathers to synthesize pyrolysis char, with a S content of only 0.32% [22]. Islam et al. (2021) employed chicken feathers to synthesize hydrochar, resulting in a S content of 1.88% [26]. Furthermore, Li et al. (2022) employed sludge as the raw material for hydrochar preparation; its S content was also low, at only 0.31% [40]. WF and MWF were significantly higher than the S content of chicken feather pyrolysis char and other hydrochar in many studies (Table S4). This is related to the characteristics of the hydrothermal reaction. Compared to pyrolysis char, hydrochar operates at lower temperatures and in a more closed reaction system. When the hydrothermal reaction temperature is low (180–300 °C), S primarily converts between the solid and liquid phases of the reaction system; thus, hydrochar can retain more S [24]. In contrast, the S content in pyrolysis char is usually lower, generally not exceeding 1.4% [18]. In this study, the addition of Mg further increased the content of heteroatoms N and S in hydrochar, with elemental contents of N and S in hydrochar MWF reaching 7.33% and 3.68%, respectively, representing increases of 32.05% and 10.10% compared to WF. This may be because Mg bonds with heteroatoms N and S, thereby reducing the loss of N and S in solid products. The enriched N and S can enhance the adsorption capacity and nutrient value of hydrochar. Additionally, S is also an important element for detoxifying heavy metals in crops [41]. Therefore, MWF has a higher environmental and agricultural application value. The carbon contents of hydrochar WF and MWF were 51.08% and 52.03%, respectively, with H/C molar ratios of 1.71 and 1.73. It can be observed that there is no significant difference in these two indicators between the two hydrochars. The H/C molar ratio is an important indicator reflecting the aromaticity and stability of hydrochar [42]; the carbon content and stability of hydrochar collectively influence its carbon sequestration effect [43]. Considering the higher yield of MWF, it can be inferred that the chelation of Mg not only increased the content of heteroatoms (N, S) but also did not decrease its carbon sequestration effect and may have slightly increased it.
In terms of the microstructure, the specific surface area, pore volume, and pore size of hydrochar MWF were 1.267 m2·g−1, 0.004 cm3·g−1, and 13.269 nm, respectively, while those of hydrochar WF were 2.049 m2·g−1, 0.002 cm3·g−1, and 5.718 nm, respectively. MWF has a smaller specific surface area but larger pore volume and pore size, indicating that the addition of MgCl2 may promote the development of large pores in hydrochar, thereby affecting its specific surface area. Figure 1 shows the SEM images of hydrochar, revealing numerous small spheres on the surfaces of WF and MWF, likely formed during the hydrothermal reaction. Compared to MWF, WF surfaces were denser, with more uneven surfaces and more pores on the carbon spheres, while MWF surfaces were relatively smooth, possibly due to the filling of pores by Mg elements. These phenomena indirectly indicate that WF may have a higher specific surface area. Additionally, SEM-EDS results (Figure S1) demonstrate that Mg was successfully loaded onto high-sulfur hydrochar MWF. The Mg-point position of MWF had a good coincidence degree with the N-point position and a certain coincidence degree with the S-point position. This was consistent with the increase in the N (32.05%) and S (10.10%) contents of MWF, suggesting a positive effect of magnesium on the N and S contents of MWF.

3.2. Adsorption Isotherms of Hydrochar

The adsorption isotherms of WF and MWF are presented in Figure 2, and the specific parameters of the Langmuir and Freundlich models are detailed in Table 2. The Langmuir model is an empirical model describing monolayer adsorption, suggesting that the adsorption behavior of materials is chemical in nature [44,45]. The Freundlich model describes multilayer adsorption, considering the adsorption behavior of materials as physical adsorption [45,46]. The adsorption isotherms of Cd2+ and Pb2+ by hydrochar WF better fit the Freundlich model (R2 of 0.986 and 0.976), indicating that the main adsorption mechanism of WF for Cd2+ and Pb2+ is physical adsorption. Magnesium-modified high-sulfur hydrochar MWF shows a better fit to the Langmuir model for adsorbing Cd2+ and Pb2+, indicating that the main adsorption mechanism of MWF for Cd2+ and Pb2+ is chemical adsorption. The maximum equilibrium adsorption amounts (qem) of MWF for Cd2+ and Pb2+ were 25.12 mg·g−1 and 70.41 mg·g−1, respectively. The qem of WF for Cd2+ and Pb2+ was 6.25 mg·g−1 and 25.65 mg·g−1, respectively. MWF showing increases of 300.40% and 174.50% in qem for Cd2+ and Pb2+, respectively, compared to WF. The results shows that Mg modification could improve the adsorption capacity of Cd2+ and Pb2+ in chicken feather hydrochar.
MWF qem for Cd2+ and Pb2+ was compared with other chicken feather adsorbents reported in the literature, including raw feather, chemically activated feather, and feather-based pyrolysis char [22,23,47,48,49,50]. Additionally, MWF qem for Cd2+ and Pb2+ was compared with other non-chicken-feather pyrolysis char and hydrochar [51,52,53]. MWF is in a mid-range position, indicating the feasibility of hydrochar MWF as a heavy metal adsorbent.

3.3. Possible Adsorption Mechanisms of Hydrochar

3.3.1. SEM-EDS

The SEM-EDS images of WF and MWF after adsorption of Cd2+ and Pb2+ are shown in Figure S2. After the adsorption of Cd2+ and Pb2+ by WF and MWF, the surface successfully detected Cd2+ and Pb2+ elements, indicating that both WF and MWF have a certain adsorption capacity for Cd2+ and Pb2+. Additionally, the Cd2+ and Pb2+ elements on the surface of MWF were significantly higher than those on WF, which demonstrates the stronger Cd2+ and Pb2+ adsorption capacity of MWF.

3.3.2. Zeta Potential

The surface charge characteristics of materials can affect the adsorption performance of hydrochar. When adsorbing heavy metal cations Cd2+ and Pb2+, a higher amount of negative surface charge on the material is more favorable for adsorbing these two cations [54]. The Zeta potentials of WF and MWF at different pH values (2–6) are shown in Figure 3. At pH below 3.26, WF has a lower Zeta potential, but as the pH increases, the number of negative surface charges on MWF exceeds that of WF. The isoelectric points of MWF and WF were 3.90 and 4.43, respectively, with MWF having a lower isoelectric point. The initial pH of the solution in this study was 5.00 ± 0.01; therefore, under the adsorption conditions of this study, MWF has more negative surface charges compared to WF. Consequently, MWF adsorbs more of the heavy metal ions Cd2+ and Pb2+ through electrostatic adsorption compared to WF. However, based on the adsorption isotherm fitting results, it is believed that the main adsorption mechanism of MWF is chemical adsorption, while that of WF is primarily physical adsorption. Therefore, the electrostatic adsorption of the heavy metal ions Cd2+ and Pb2+ by MWF should be considered an important aspect of MWF’s adsorption of Cd2+ and Pb2+, but not the primary adsorption mechanism. Hence, further analysis of MWF’s adsorption mechanism was conducted using FTIR, XRD, and XPS.

3.3.3. FTIR Analysis

The FTIR spectra of WF and MWF before and after adsorption of Cd2+ and Pb2+ are shown in Figure S3. The results indicate that both WF and MWF formed broad peaks of overlapping O-H and N-H stretching vibrations near 3300 cm−1, with O-H and N-H peaks at 3283 cm−1 for WF and shifted to 3287 cm−1 for MWF, possibly due to Mg modification. The characteristic peak representing C=O shifted from 1636 cm−1 for WF to 1638 cm−1 for MWF. The peaks corresponding to amide II groups and N-H bending also shifted, from 1543 cm−1 for WF to 1547 cm−1 for MWF. The C-O bond characteristic peak for WF appeared at 1037 cm−1, while for MWF, it appeared at 1098 cm−1, indicating a significant influence of Mg addition on the formation of C-O bonds. Finally, WF and MWF exhibited strong double peaks between 600 and 650 cm−1, possibly due to C=S bond stretching vibrations [55]. Furthermore, several weak characteristic peaks appeared for MWF in the range of 700–800 cm−1 (WF did not), which may be attributed to the coordination of Mg with S-O bonds. However, after adsorption, only one characteristic peak was observed at ~700 cm−1, possibly resulting from the destruction of the coordination bond between Mg and S after adsorption. These findings provide indirect evidence that Mg can bond with sulfur functional groups, thereby protecting sulfur elements.
Elsewhere, after adsorption of Cd2+ and Pb2+, there were slight changes and variations in intensity in the characteristic peaks of O-H bonds for both WF and MWF. The characteristic peak of C=O shifted after adsorption of Cd2+ and Pb2+, with WF peaks shifting from 1636 cm−1 to 1646 cm−1 and 1628 cm−1, and MWF peaks shifting from 1638 cm−1 to 1640 cm−1 and 1636 cm−1, with a noticeable decrease in intensity for WF after Cd2+ adsorption. The N-H bending peak shifted from 1543 cm−1 for WF to 1550 cm−1 after adsorption, while for MWF, it shifted from 1547 cm−1 to 1539 cm−1 and 1540 cm−1. The characteristic peak of C-O bonds showed minimal change after Cd2+ adsorption for WF, but disappeared directly after Pb2+ adsorption, while for MWF after Cd2+ and Pb2+ adsorption, slight changes were observed along with the emergence of new peaks nearby. The C=S bond stretching significant shifts after Cd2+ adsorption for WF, while the change was smaller after Pb2+ adsorption; for MWF, slight shifts were observed after Cd2+ and Pb2+ adsorption. In summary, the O-H, N-H, C-O, and C=S functional groups of hydrochar MWF underwent complexation reactions with Cd2+ or Pb2+, thereby adsorbing heavy metals. These chemical bonds are considered adsorption sites for the heavy metals Cd2+ and Pb2+ in MWF.

3.3.4. XRD

The XRD patterns of WF and MWF before and after adsorption of Cd2+ and Pb2+ are shown in Figure S4. There were no significant differences in the XRD spectra of the two hydrochars, and no new peaks were observed in the XRD spectra after Cd2+ and Pb2+ adsorption on WF and MWF. Therefore, precipitation is not the main adsorption mechanism of WF and MWF. FTIR analysis revealed functional group complexation reactions, and SEM-EDS results indicated the successful loading of Mg elements onto MWF. Therefore, XPS analysis was further conducted to investigate whether Mg ion exchange and functional group chelation occurred in WF and MWF.

3.3.5. XPS

The elemental atomic ratios of Cd2+ and Pb2+ adsorption on WF and MWF are shown in Table 3. After adsorbing Cd2+ and Pb2+, the atomic ratios of Cd2+ and Pb2+ on WF were 0.10 and 0.09, respectively, while on MWF, they were 0.31 and 0.44, respectively. It can be observed that after adsorption, MWF had higher atomic ratios of Cd2+ and Pb2+, indicating that MWF adsorbed more Cd2+ and Pb2+ and had a stronger adsorption capacity. The atomic ratio of Mg on MWF before adsorption was 0.48%, while WF surfaces did not contain Mg atoms, consistent with SEM-EDS results, demonstrating successful loading of Mg atoms onto MWF. However, after adsorbing Cd2+ and Pb2+, the atomic ratios of Mg decreased to 0.31% and 0.23%, respectively, on MWF. This decrease may be attributed to ion exchange interactions between Mg and Cd/Pb during adsorption, which is further supported by the XPS spectrum in Figure 4 showing a reduction in Mg signal values after adsorption on MWF, reinforcing this observation.
The O1s, N1s, S2p, C1s, and Mg1s spectra before and after the adsorption of Cd2+ and Pb2+ for WF and MWF are shown in Figures S5 and S6. After adsorption, the O1s, N1s, and S2p characteristic peaks all changed for WF and MWF (N1s remained unchanged after Pb2+ adsorption for WF). This indicates that functional groups containing N, O, and S elements participated in the adsorption process of both WF and MWF, which is consistent with the FTIR results. Additionally, the peak changes in MWF after adsorption were significantly greater than those in WF, which may be attributed to the greater chelation of Cd2+ and Pb2+ by the aforementioned functional groups in MWF, resulting in more pronounced changes. Furthermore, no significant Mg peak was observed in WF before or after adsorption. In contrast, after adsorption of Cd2+ and Pb2+, the Mg peak of MWF noticeably decreased, indicating further evidence of an exchange interaction between magnesium ions and Cd2+/Pb2+.
The C1s XPS spectra of hydrochar WF and MWF before and after adsorption are shown in Figure S7A,B. Before adsorption, the C1 peak of WF and MWF was divided into five characteristic peaks: sp2 C=C (283.78–283.83 eV), sp3 C-C (284.58–284.68 eV), C-O/C-N (285.13–285.31 eV), C=O (285.83–285.97 eV), and O=C-O (287.98–288.04 eV) [56,57]. After adsorption, sp2 C=C, sp3 C–C, and C–O/C–N showed minor changes, while C=O and O=C–O exhibited significant changes. This indicates that C=O/O=C–O are important sites for Cd2+ and Pb2+ adsorption on hydrochar WF and MWF.
The N1s XPS spectra of hydrochar WF and MWF before and after adsorption are shown in Figure S7C,D. Before adsorption, the C1 peak of WF and MWF was divided into four characteristic peaks: pyridinic N (398.78–398.93 eV), pyridonic N (399.63–399.67 eV), pyrrolic N (400.33–400.43 eV), and quaternary N (401.13–401.83 eV) [58,59]. After adsorption, pyridinic N, pyridonic N, and pyrrolic N showed minor changes, while quaternary N underwent significant changes. This indicates that quaternary N is an important site for Cd2+ and Pb2+ adsorption on hydrochar WF and MWF.
In summary, during the adsorption of Cd2+ and Pb2+ by MWF, ion exchange involving Mg occurred, and C=O/O=C–O, quaternary N, and S functional groups underwent chelation reactions with Cd2+ and Pb2+, serving as important adsorption sites for MWF. Finally, the adsorption mechanisms of Cd2+ and Pb2+ by MWF are shown in Figure 5.

3.4. Environmental Stability of Hydrochar

3.4.1. NMR

According to previous studies, the spectrum was integrated into resonance regions of alkyl C (0–45 ppm), O/N-alkyl C (45–110 ppm), aromatic C (110–165 ppm), and carboxyl/carbonyl/amide C (165–220 ppm) [60,61,62,63]. The 13C CP/TOSS NMR spectra of WF and MWF are shown in Figure 6. All spectra of hydrochars exhibited a dominant alkyl peak at 30 ppm, while the aromatic peak range representing aromatic compounds (110–160 ppm) was significantly smaller than the aliphatic peak. This is contrary to pyrolysis char, where the aromatic peak dominated completely [60,61,62,63,64,65]. However, this consistency with the higher H/C and O/C molar ratios of hydrochar WF and MWF was due to the lower hydrothermal reaction temperature in this study (180 °C). In the alkyl region (0–45 ppm), a strong signal near 30 ppm was attributed to methylene (CH2), while a weaker signal near 20 ppm was attributed to methyl (CH3). Additionally, strong signal peaks attributed to COOR/CH3COO groups were observed in the range of 160–180 ppm for hydrochar WF and MWF.
The functional group compositions of hydrochar WF and MWF are shown in Table 4. The proportions of alkyl C, O/N-alkyl C, aromatic C, and carboxyl/carbonyl/amide C functional groups in hydrochar WF were 57.90%, 22.05%, 2.15%, and 7.90%, respectively. For MWF, the proportions of alkyl C, O/N-alkyl C, aromatic C, and carboxyl/carbonyl/amide C functional groups were 63.88%, 14.11%, 11.64%, and 10.38%, respectively. Aromaticity is the ratio of aromatic carbon to all carbon elements, which is an important indicator for evaluating the stability of hydrochar and can be approximated by the H/C molar ratio [42]. The aromatic C content of WF was slightly higher than that of MWF, consistent with W’s slightly lower H/C molar ratio, indicating that WF may have slightly higher environmental stability than MWF. Alkyl group carbon is the part of hydrochar resulting from incomplete pyrolysis, with the alkyl C content of MWF higher than WF and the O/N-alkyl C content lower than WF. This was consistent with MW’s’ lower O and N elements, where the sum of O and N elements in MWF was 19.36% compared to 23.59% in WF. Additionally, the carboxyl/carbonyl/amide C content was higher in MWF than in WF. Carboxyl/carbonyl/amide C is a hydrophilic functional group, while alkyl C, O/N-alkyl C, and aromatic C are hydrophobic functional groups. An increase in hydrophobic groups can enhance the antioxidant properties of hydrochar [66]. The proportions of hydrophobic groups in carbon elements for WF and MWF were 92.10% and 89.62%, respectively, with the hydrophobic group content higher in hydrochar WF than in MWF. Molecular hydrophobicity originates from the non-polarity of the molecule itself, with the non-polarity of O/N-alkyl C weaker than that of alkyl C. WF had an O/N-alkyl C content of 22.05%, while MW’s’ O/N-alkyl C proportion was 14.11%. Considering W’s’ higher proportion of hydrophobic groups in carbon elements and other unknown hydrophobic group content, the impact of hydrophobicity on the antioxidant properties of WF and MWF is still inconclusive. In summary, the aromatic C contents of the two hydrochars were relatively close, suggesting similar stability between WF and MWF. However, considering the differences in hydrophobic group proportions and composition, further validation of the antioxidant properties of WF and MWF is needed through chemical oxidation experiments.

3.4.2. H2O2 Chemical Oxidation Experiment

Table S5 presents the results of the hydrochar H2O2 stability assessment. The carbon loss rates of hydrochar WF and MWF were 41.84% and 40.58%, respectively, indicating carbon stability of 58.16% and 59.42%. The antioxidant stability of hydrochar MWF and WF was generally similar, with MW’s carbon loss rate slightly increasing by 1.26% compared to WF, but without significant differences (p < 0.05). This is largely consistent with the similar aromaticity and H/C molar ratios of the two hydrochars, reflecting the combined influence of hydrochar aromaticity and hydrophobicity. The aromaticity of hydrochar WF and MWF was only 12.15% and 11.64%, respectively. Compared with pyrolysis char, hydrochar WF and MWF still have stronger resistance to H2O2 oxidation with relatively low aromaticity [36]. This is related to the numerous hydrophobic groups on the surface of the hydrochar, which enhance its antioxidant properties [66]. Compared to pyrolysis char, which is a product of high-temperature pyrolysis, hydrochar production occurs at lower temperatures, significantly saving energy consumption while maintaining good antioxidant properties. Therefore, both hydrochars WF and MWF in this study exhibit relatively high stability and carbon sequestration values.

3.5. Composition of Organic Water-Soluble Fertilizer

The properties and nutrient composition of organic water-soluble fertilizers are shown in Table S6. The organic matter content of organic water-soluble fertilizers WF and MWF was 49.68 g·L−1 and 53.84 g·L−1, respectively, indicating a relatively high organic matter content. The original organic water-soluble fertilizers WF and MWF had low TP and TK contents, while the TN content was relatively high, reaching 9.84 g·L−1 and 7.37 g·L−1, respectively, consistent with the high nitrogen content in chicken feathers (Table S1). The TN content in MWF organic water-soluble fertilizer was lower than WF, possibly due to the inhibitory effect of Mg2+ on N element complex gasification in chicken feathers. The higher nitrogen content in magnesium-modified hydrochar (MWF) (Table 1) also indirectly supports this viewpoint.
From the pH (1:200) perspective, the original organic water-soluble fertilizers had weak alkalinity, but after adding inorganic fertilizers, the pH of organic water-soluble fertilizers decreased slightly. The pH of WFNPK and MWFNPK were 6.360 and 5.627, respectively, attributed to the acidity of KH₂PO₄ when dissolved in water, leading to a decrease in the pH of organic water-soluble fertilizers. On the other hand, the pH of Mg-containing organic water-soluble fertilizers was slightly lower than that of ordinary organic water-soluble fertilizers, likely due to the influence of Mg2+. In an aqueous solution, Mg2+ undergoes hydrolysis reactions, producing a certain amount of H+, thereby reducing the pH of water-soluble fertilizers.
Overall, the original organic water-soluble fertilizers had a high organic matter and TN, making them valuable for use. However, they had low levels of major nutrient elements P and K, requiring supplementation of inorganic nutrient elements. The Mg hydrothermal reaction provided a large amount of Mg nutrient elements (22.69 g·L−1) to water-soluble fertilizers, further enhancing the value of organic water-soluble fertilizers. However, the specific fertilizer efficiency still needs further verification through potted plant experiments.

3.6. Effects of Organic Water-Soluble Fertilizer on the Growth of Bok Choy

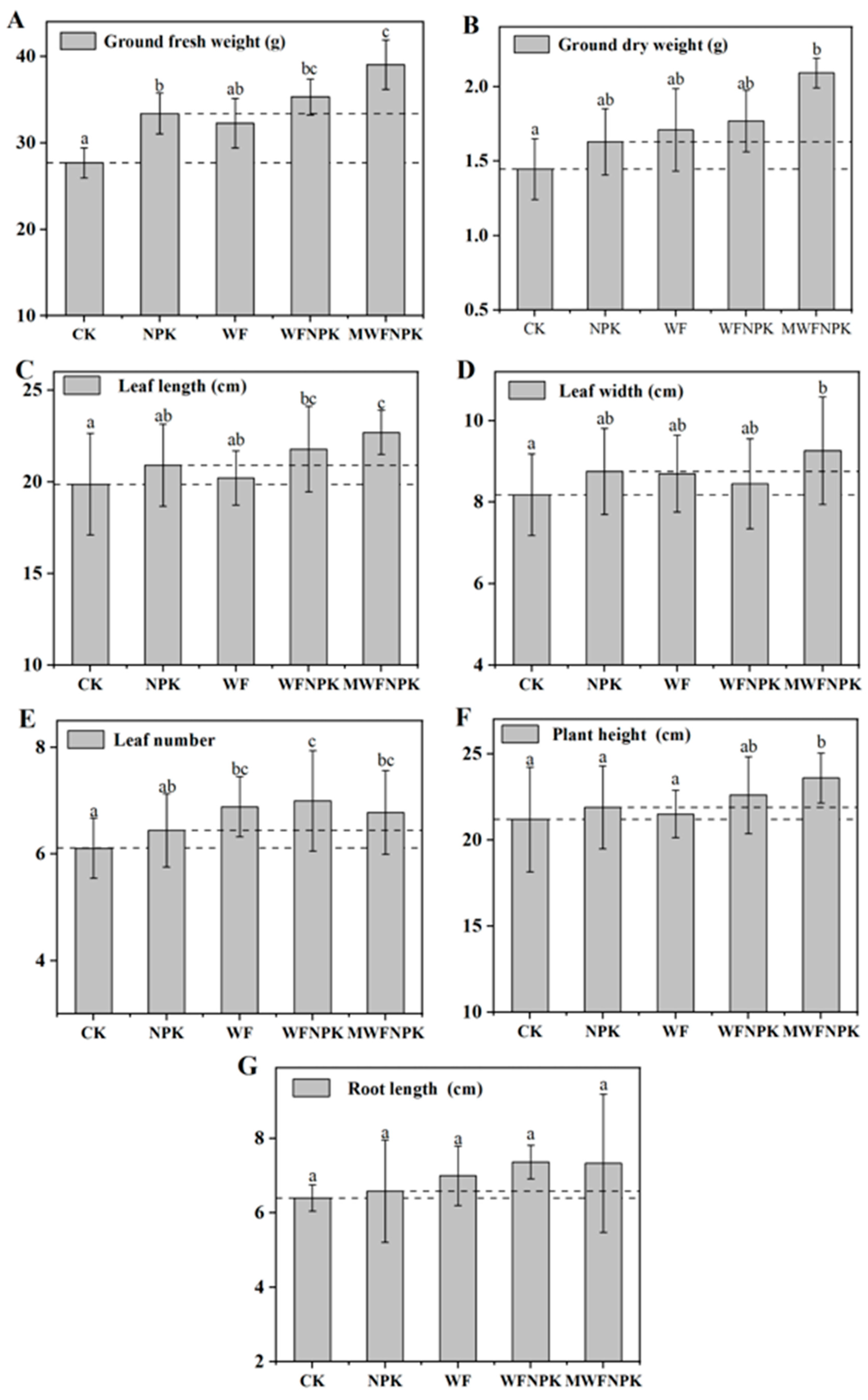
The growth status of bok choy is shown in Figure S6. The growth of bok choy under MWFNPK and WFNPK treatments was robust, while the bok choy under CK treatment appeared slender and weak. Bok choy under the WF and NPK treatments showed better growth than under CK, with similar growth patterns between the two treatments.
Under different fertilization treatments, yield-related indicators of bok choy are presented in Figure 7 and Table S7. All organic water-soluble fertilizer treatments exhibited certain growth-promoting effects. Among them, the growth-promoting effect of the WF treatment was similar to that of the NPK treatment. However, in terms of aboveground dry weight, leaf number, and root length, the WF treatment outperformed the NPK treatment, while in terms of aboveground fresh weight, leaf length, leaf width, and plant height, the WF treatment was slightly inferior to the NPK treatment. Generally, organic fertilizers have lower nutrient concentrations (Table S6) and slower effects, while inorganic fertilizers have quicker nutrient effects. In this study, the growth-promoting effect of the WF organic water-soluble fertilizer treatment was similar to the NPK treatment. This may partly be due to the high content of readily available nutrients in the potting soil (Table S2), but compared to the CK treatment, the WF treatment showed improvements in various yield indicators, indicating the feasibility of chicken feather hydrothermal liquid as an organic water-soluble fertilizer.
Organic–inorganic compound fertilizers are commonly used to increase crop yields and fertilizer utilization efficiency, providing balanced nutrition for crops. In this study, the WFNPK treatment (organic-inorganic compound fertilizer) further enhanced the growth-promoting effect compared to the WF treatment (organic fertilizer). It outperformed the CK and NPK treatments in all indicators except leaf width, further demonstrating the feasibility of chicken feather hydrothermal liquid as an organic water-soluble fertilizer. Moreover, the growth-promoting effect of the MWFNPK treatment was further enhanced compared to the WFNPK treatment. Compared to the CK treatment, the MWFNPK treatment significantly (p < 0.05) increased the aboveground fresh weight, leaf length, leaf width, leaf number, and plant height of bok choy by 40.90%, 44.62%, 14.20%, 13.24%, 10.91%, and 11.35%, respectively. Compared to the NPK treatment, the MWFNPK treatment significantly (p < 0.05) increased the aboveground fresh weight, leaf length, and plant height of bok choy by 16.91%, 14.20%, and 7.79%, respectively. The growth-promoting effect of the MWFNPK treatment not only surpassed the use of inorganic fertilizer (NPK treatment) but also exceeded other organic fertilizer treatments (WF and MWF treatments). This may be related to the high content of the metallic nutrient Mg in the MWFNPK water-soluble fertilizer (Table S6). The metallic nutrient Mg is not only an important component of plant chlorophyll but also promotes the metabolism and absorption of nutrients such as nitrogen and phosphorus in plants [67].
Finally, in terms of root length, the root lengths of bok choy under the CK and NPK treatments were similar at 6.40 cm and 6.58 cm, respectively. Under organic water-soluble fertilizer treatments, the root lengths of bok choy under the WF, WFNPK, and MWFNPK treatments were 7.00 cm, 7.37 cm, and 7.33 cm, respectively, representing increases of 9.37%, 15.10%, and 14.58% compared to the CK treatment. This phenomenon indicates that the chicken feather organic water-soluble fertilizer promoted the development of bok choy roots and may have subsequently promoted the growth and development of bok choy. In conclusion, chicken feather organic water-soluble fertilizer has high agricultural value, contains rich organic nutrients, and has demonstrated good growth-promoting effects on bok choy while reducing the use of inorganic fertilizers. The growth-promoting effect of organic–inorganic compound water-soluble fertilizers was further enhanced, with Mg-containing organic water-soluble fertilizer (MWFNPK) showing the best growth-promoting effect, effectively utilizing the residual liquid metallic nutrient Mg from magnesium-modified hydrothermal reactions.

4. Conclusions

High-sulfur hydrochar MWF was synthesized via a magnesium-modified coupling hydrothermal reaction, achieving a S content of 3.68%. The qem values of MWF for Cd2+ and Pb2+ were 25.12 mg·g−1 and 70.41 mg·g−1, respectively, representing 4.00 times and 2.75 times those of WF. The main adsorption mechanisms of MWF included Mg ion exchange and complexation with C=O/O=C–O, quaternary N, and S functional groups. MWF exhibited lower aromaticity but demonstrated good antioxidant properties. Considering the lower production energy consumption of hydrochar, MWF showed promising carbon sequestration benefits. Thus, MWF may be used as a choice for remediating soil heavy metal pollution caused by Cd and Pb. After supplementation with inorganic fertilizers, magnesium-containing organic water-soluble fertilizer (MWFNPK) resulted in the optimal growth promotion of bok choy. Compared to the CK treatment, the MWFNPK treatment significantly (p < 0.05) increased the fresh weight, dry weight, leaf length, leaf width, leaf number, and plant height of bok choy by 40.90%, 44.62%, 14.20%, 13.24%, 10.91%, and 11.35%, respectively. In conclusion, preparing hydrochar through magnesium modification and converting hydrothermal solution into water-soluble fertilizer is a viable approach for the green utilization of chicken feathers. But MWF’s could not directly remove heavy metals such as cadmium and lead from the soil. Loading MWF onto recyclable gels is a feasible direction for future research.

Supplementary Materials

The following supporting information can be downloaded at: https://www.mdpi.com/article/10.3390/toxics12050356/s1, Figure S1: SEM-EDS images of hydrochar WF and MWF; Figure S2: SEM-EDS images of Cd2+ and Pb2+ adsorbed by hydrochar WF and MWF; Figure S3: FTIR spectra before and after adsorption of Cd2+ and Pb2+ by hydrochar WF (A) and MWF (B); Figure S4: XRD patterns of hydrochar WF (A) and MWF (B) before and after adsorption of Cd2+ and Pb2+; Figure S5: The XPS spectra of O1s (A, B), N1s (C, D) and S2p (E, F) of hydrochar WF and MWF before and after adsorption of Cd2+ and Pb2+; Figure S6: The XPS spectra of Mg1s (A, B) and C1s (C, D) of hydrochar WF and MWF before and after adsorption of Cd2+ and Pb2+; Figure S7: The C1s (A, B) and N1s (C, D) high-resolution XPS spectra of hydrochar WF (A, C) and MWF (B, D) before and after adsorption of Cd2+ and Pb2+; Figure S8: Growth of bok choy under different fertilization treatments; Table S1: The element content of chicken feathers (%); Table S2: Nutrient content and basic physicochemical properties of soil tested; Table S3: Fertilizer application method for the bok choy potting test; Table S4: Sulfur content of pyrolysis char and hydrochar in different studies; Table S5: Carbon stability and carbon loss rate of hydrochar determined by H2O2 oxidation (%); Table S6: Properties and nutrient composition of different organic water-soluble fertilizers; Table S7: Effects of different fertilization treatments on yield indexes of bok choy. References [68,69] are cited in the supplementary materials.

Author Contributions

Conceptualization, W.D. and Y.Z.; methodology, W.D., X.K. and Z.X.; validation, W.D., X.K. and Z.X.; formal analysis, W.D. and D.L.; investigation, W.D., X.K. and Z.X.; resources, Y.L. and Y.Z.; writing—original draft preparation, W.D. and Y.Z.; writing—review and editing, W.D., D.L. and Y.Z.; visualization, W.D. and Y.Z.; project administration, Y.L. and Y.Z.; funding acquisition, Y.L. and Y.Z. All authors have read and agreed to the published version of the manuscript.

Funding

This work was supported by the National Key Research and Development Program of China (2023YFD1901301), the Double First-Class Discipline Promotion Project (2021B10564001), and the Wens Fifth Five R & D Major Project of the Wens Foodstuff Group Co., Ltd. in Guangdong, China (WENS-2020-1-ZDHB-003).

Institutional Review Board Statement

Not applicable.

Informed Consent Statement

Not applicable.

Data Availability Statement

Data are available under reasonable request.

Conflicts of Interest

Weiqi Deng and Yulong Zhang were employed by the company WENS Foodstuff Group Co., Ltd. The remaining authors declare that the research was conducted in the absence of any commercial or financial relationship that could be construed as a potential conflict of interest.

References

  1. Khan, S.; Naushad, M.; Lima, E.C.; Zhang, S.; Shaheen, S.M.; Rinklebe, J. Global soil pollution by toxic elements: Current status and future perspectives on the risk assessment and remediation strategies—A review. J. Hazard. Mater. 2021, 417, 126039. [Google Scholar] [CrossRef]
  2. Raffa, C.M.; Chiampo, F.; Shanthakumar, S.; Metal, R.O. Remediation of Metal/Metalloid-Polluted Soils: A Short Review. Appl. Sci. 2021, 11, 4134. [Google Scholar]
  3. Ali, H.; Khan, E.; Ilahi, I. Environmental Chemistry and Ecotoxicology of Hazardous Heavy Metals: Environmental Persistence, Toxicity, and Bioaccumulation. J. Chem. 2019, 2019, 6730305. [Google Scholar] [CrossRef]
  4. Xu, D.; Fu, R.; Wang, J.; Shi, Y.; Guo, X. Chemical stabilization remediation for heavy metals in contaminated soils on the latest decade: Available stabilizing materials and associated evaluation methods—A critical review. J. Clean. Prod. 2021, 321, 128730. [Google Scholar] [CrossRef]
  5. Wang, A.; Wang, Y.; Zhao, P.; Huang, Z. Effects of composite environmental materials on the passivation and biochemical effectiveness of Pb and Cd in soil: Analyses at the ex-planta of the Pak-choi root and leave. Environ. Pollut. 2022, 309, 119812. [Google Scholar] [CrossRef] [PubMed]
  6. Bolan, N.; Hoang, S.A.; Beiyuan, J.; Gupta, S.; Hou, D.; Karakoti, A.; Joseph, S.; Jung, S.; Kim, K.; Kirkham, M.B.; et al. Multifunctional applications of biochar beyond carbon storage. Int. Mater. Rev. 2022, 67, 150–200. [Google Scholar] [CrossRef]
  7. Huang, Q.; Song, S.; Chen, Z.; Hu, B.; Chen, J.; Wang, X. Biochar-based materials and their applications in removal of organic contaminants from wastewater: State-of-the-art review. Biochar 2019, 1, 45–73. [Google Scholar] [CrossRef]
  8. Qiu, M.; Liu, L.; Ling, Q.; Cai, Y.; Yu, S.; Wang, S.; Fu, D.; Hu, B.; Wang, X. Biochar for the removal of contaminants from soil and water: A review. Biochar 2022, 4, 19. [Google Scholar] [CrossRef]
  9. Liu, Y.; Chen, Y.; Li, Y.; Chen, L.; Jiang, H.; Li, H.; Luo, X.; Tang, P.; Yan, H.; Zhao, M.; et al. Fabrication, application, and mechanism of metal and heteroatom co-doped biochar composites (MHBCs) for the removal of contaminants in water: A review. J. Hazard. Mater. 2022, 431, 128584. [Google Scholar] [CrossRef] [PubMed]
  10. Guo, G.; Zhou, Q.; Ma, L.Q. Availability and Assessment of Fixing Additives for The in Situ Remediation of Heavy Metal Contaminated Soils: A Review. Environ. Monit. Assess. 2006, 116, 513–528. [Google Scholar] [CrossRef]
  11. Campbell, J.L.; Sessions, J.; Smith, D.; Trippe, K. Potential carbon storage in biochar made from logging residue: Basic principles and Southern Oregon case studies. PLoS ONE 2018, 13, e0203475. [Google Scholar] [CrossRef]
  12. Qian, K.; Kumar, A.; Zhang, H.; Bellmer, D.; Huhnke, R. Recent advances in utilization of biochar. Renew. Sustain. Energy Rev. 2015, 42, 1055–1064. [Google Scholar] [CrossRef]
  13. Kambo, H.S.; Dutta, A. A comparative review of biochar and hydrochar in terms of production, physico-chemical properties and applications. Renew. Sustain. Energy Rev. 2015, 45, 359–378. [Google Scholar] [CrossRef]
  14. Sharma, R.; Jasrotia, K.; Singh, N.; Ghosh, P.; Srivastava, S.; Sharma, N.R.; Singh, J.; Kanwar, R.; Kumar, A. A Comprehensive Review on Hydrothermal Carbonization of Biomass and its Applications. Chem. Afr. 2020, 3, 1–19. [Google Scholar] [CrossRef]
  15. Kshetri, P.; Roy, S.S.; Chanu, S.B.; Singh, T.S.; Tamreihao, K.; Sharma, S.K.; Ansari, M.A.; Prakash, N. Valorization of chicken feather waste into bioactive keratin hydrolysate by a newly purified keratinase from Bacillus sp. RCM-SSR-102. J. Environ. Manag. 2020, 273, 111195. [Google Scholar] [CrossRef] [PubMed]
  16. Tesfaye, T.; Sithole, B.; Ramjugernath, D.; Mokhothu, T. Valorisation of chicken feathers: Characterisation of thermal, mechanical and electrical properties. Sustain. Chem. Pharm. 2018, 9, 27–34. [Google Scholar] [CrossRef]
  17. Reddy, C.C.; Khilji, I.A.; Gupta, A.; Bhuyar, P.; Mahmood, S.; AL-Japairai, K.A.S.; Chua, G.K. Valorization of keratin waste biomass and its potential applications. J. Water Process Eng. 2021, 40, 101707. [Google Scholar] [CrossRef]
  18. Leng, L.; Liu, R.; Xu, S.; Mohamed, B.A.; Yang, Z.; Hu, Y.; Chen, J.; Zhao, S.; Wu, Z.; Peng, H.; et al. An overview of sulfur-functional groups in biochar from pyrolysis of biomass. J. Environ. Chem. Eng. 2022, 10, 107185. [Google Scholar] [CrossRef]
  19. Li, X.; Ma, W.; Li, H.; Zhang, Q.; Liu, H. Sulfur-functionalized metal-organic frameworks: Synthesis and applications as advanced adsorbents. Coord. Chem. Rev. 2020, 408, 213191. [Google Scholar] [CrossRef]
  20. Saha, D.; Barakat, S.; Van Bramer, S.E.; Nelson, K.A.; Hensley, D.K.; Chen, J. Noncompetitive and Competitive Adsorption of Heavy Metals in Sulfur-Functionalized Ordered Mesoporous Carbon. ACS Appl. Mater. Inter. 2016, 8, 34132–34142. [Google Scholar] [CrossRef]
  21. Wu, Y.; Leng, Z.; Li, J.; Yan, C.; Wang, X.; Jia, H.; Chen, L.; Zhang, S.; Zheng, X.; Du, D. Sulfur mediated heavy metal biogeochemical cycles in coastal wetlands: From sediments, rhizosphere to vegetation. Front. Environ. Sci. Eng. 2022, 16, 102. [Google Scholar] [CrossRef]
  22. Chen, H.; Li, W.; Wang, J.; Xu, H.; Liu, Y.; Zhang, Z.; Li, Y.; Zhang, Y. Adsorption of cadmium and lead ions by phosphoric acid-modified biochar generated from chicken feather: Selective adsorption and influence of dissolved organic matter. Bioresour. Technol. 2019, 292, 121948. [Google Scholar] [CrossRef] [PubMed]
  23. Chen, H.; Yang, X.; Liu, Y.; Lin, X.; Wang, J.; Zhang, Z.; Li, N.; Li, Y.; Zhang, Y. KOH modification effectively enhances the Cd and Pb adsorption performance of N-enriched biochar derived from waste chicken feathers. Waste Manag. 2021, 130, 82–92. [Google Scholar] [CrossRef]
  24. Wang, Z.; Zhai, Y.; Wang, T.; Peng, C.; Li, S.; Wang, B.; Liu, X.; Li, C. Effect of temperature on the sulfur fate during hydrothermal carbonization of sewage sludge. Environ. Pollut. 2020, 260, 114067. [Google Scholar] [CrossRef] [PubMed]
  25. Eliuz, E.A.E.; Yabalak, E. Chicken feather hydrochar incorporated with phenolic extract of Rosa damascena Mill. to enlarge the antibacterial performance against Acinobacter baumannii and Staphylococcus aureus. J. Environ. Chem. Eng. 2022, 10, 108289. [Google Scholar] [CrossRef]
  26. Islam, M.A.; Paul, J.; Akter, J.; Islam, M.A.; Limon, S.H. Conversion of chicken feather waste via hydrothermal carbonization: Process optimization and the effect of hydrochar on seed germination of Acacia auriculiformis. J. Mater. Cycles Waste 2021, 23, 1177–1188. [Google Scholar] [CrossRef]
  27. Akter, J.; Islam, M.A.; Kibria, K.Q.; Islam, M.A. Adsorption of Phosphate Ions on Chicken Feather Hydrochar and Hydrochar-Soil Mixtures. Water Air Soil. Poll. 2021, 232, 1–16. [Google Scholar] [CrossRef]
  28. Li, C.; Zhong, F.; Liang, X.; Xu, W.; Yuan, Q.; Niu, W.; Meng, H. Microwave–assisted hydrothermal conversion of crop straw: Enhancing the properties of liquid product and hydrochar by varying temperature and medium. Energy Convers. Manag. 2023, 290, 117192. [Google Scholar] [CrossRef]
  29. Nakason, K.; Panyapinyopol, B.; Kanokkantapong, V.; Viriya-empikul, N.; Kraithong, W.; Pavasant, P. Characteristics of hydrochar and liquid fraction from hydrothermal carbonization of cassava rhizome. J. Energy Inst. 2018, 91, 184–193. [Google Scholar] [CrossRef]
  30. Masoumi, S.; Borugadda, V.B.; Nanda, S.; Dalai, A.K. Hydrochar: A Review on Its Production Technologies and Applications. Catalysts 2021, 11, 939. [Google Scholar] [CrossRef]
  31. Azzaz, A.A.; Khiari, B.; Jellali, S.; Ghimbeu, C.M.; Jeguirim, M. Hydrochars production, characterization and application for wastewater treatment: A review. Renew. Sustain. Energy Rev. 2020, 127, 109882. [Google Scholar] [CrossRef]
  32. Wang, S.; Ma, S.; Li, Q.; Xu, X.; Wang, B.; Huang, K.; Liu, Y.; Zhu, J. Facile Preparation of Polyimine Vitrimers with Enhanced Creep Resistance and Thermal and Mechanical Properties via Metal Coordination. Macromolecules 2020, 53, 2919–2931. [Google Scholar] [CrossRef]
  33. Han, F.; Huang, H.; Wang, Y.; Liu, L. Crosslinking polydopamine/cellulose nanofibril composite aerogels by metal coordination bonds for significantly improved thermal stability, flame resistance, and thermal insulation properties. Cellulose 2021, 28, 10987–10997. [Google Scholar] [CrossRef]
  34. Gaskin, J.W.; Steiner, C.; Harris, K.; Bibens, B. Effect of low-temperature pyrolysis conditions on biochar for agricultural use. Trans. Asabe 2008, 6, 2061–2069. [Google Scholar] [CrossRef]
  35. Chandra, S.; Bhattacharya, J. Influence of temperature and duration of pyrolysis on the property heterogeneity of rice straw biochar and optimization of pyrolysis conditions for its application in soils. J. Clean. Prod. 2019, 215, 1123–1139. [Google Scholar] [CrossRef]
  36. Cross, A.; Sohi, S.P. A method for screening the relative long-term stability of biochar. Gcb Bioenergy 2013, 5, 215–220. [Google Scholar] [CrossRef]
  37. NY/T 3831—2021; Ministry of Agriculture of the People’s Republic of China, Organic Water-Soluble Fertilizers-General Regulations. China Agriculture Press: Beijing, China, 2021.
  38. Buss, W.; Jansson, S.; Mašek, O. Unexplored potential of novel biochar-ash composites for use as organo-mineral fertilizers. J. Clean. Prod. 2019, 208, 960–967. [Google Scholar] [CrossRef]
  39. Tomczyk, A.; Sokołowska, Z.; Boguta, P. Biochar physicochemical properties: Pyrolysis temperature and feedstock kind effects. Rev. Environ. Sci. Bio 2020, 19, 191–215. [Google Scholar] [CrossRef]
  40. Li, X.; Wang, R.; Shao, C.; Li, D.; Bai, S.; Hou, N.; Zhao, X. Biochar and Hydrochar from Agricultural Residues for Soil Conditioning: Life Cycle Assessment and Microbially Mediated C and N Cycles. ACS Sustain. Chem. Eng. 2022, 10, 3574–3583. [Google Scholar] [CrossRef]
  41. Gallego, S.M.; Pena, L.B.; Barcia, R.A.; Azpilicueta, C.E.; Iannone, M.F.; Rosales, E.P.; Zawoznik, M.S.; Groppa, M.D.; Benavides, M.P. Unravelling cadmium toxicity and tolerance in plants: Insight into regulatory mechanisms. Environ. Exp. Bot. 2012, 83, 33–46. [Google Scholar] [CrossRef]
  42. Xiao, X.; Chen, B.; Chen, Z.; Zhu, L.; Schnoor, J.L. Insight into Multiple and Multilevel Structures of Biochars and Their Potential Environmental Applications: A Critical Review. Environ. Sci. Technol. 2018, 52, 5027–5047. [Google Scholar] [CrossRef]
  43. Yang, Y.; Sun, K.; Han, L.; Chen, Y.; Liu, J.; Xing, B. Biochar stability and impact on soil organic carbon mineralization depend on biochar processing, aging and soil clay content. Soil Biol. Biochem. 2022, 169, 108657. [Google Scholar] [CrossRef]
  44. Al-Ghouti, M.A.; Da, D.A. Guidelines for the use and interpretation of adsorption isotherm models: A review. J. Hazard. Mater. 2020, 393, 122383. [Google Scholar] [CrossRef] [PubMed]
  45. Chen, X.; Hossain, M.F.; Duan, C.; Lu, J.; Tsang, Y.F.; Islam, M.S.; Zhou, Y. Isotherm models for adsorption of heavy metals from water—A review. Chemosphere 2022, 307, 135545. [Google Scholar] [CrossRef] [PubMed]
  46. Zhang, P.; Zhang, X.; Yuan, X.; Xie, R.; Han, L. Characteristics, adsorption behaviors, Cu(II) adsorption mechanisms by cow manure biochar derived at various pyrolysis temperatures. Bioresour. Technol. 2021, 331, 125013. [Google Scholar] [CrossRef] [PubMed]
  47. Reynel-Avila, H.E.; de la Rosa, G.; Rojas-Mayorga, C.K.; Cano-Aguilera, I.; Bonilla-Petriciolet, A. Kinetic and Thermodynamic Modeling of Cd2+ and Ni2+ Biosorption by Raw Chicken Feathers. Int. J. Chem. React. Eng. 2011, 9, 90. [Google Scholar] [CrossRef]
  48. Daraei, H.; Yazdanbakhsh, A.R.; Manshouri, M.; Noorisepehr, M. Study of equilibrium and kinetic models for removal of chromium (VI) and lead (II) by modified feather by H2O2. Int. J. Environ. Pollut. 2013, 4, 453–465. [Google Scholar]
  49. Rahmani-Sani, A.; Singh, P.; Raizada, P.; Lima, E.C.; Anastopoulos, I.; Giannakoudakis, D.A.; Sivamani, S.; Dontsova, T.A.; Hosseini-Bandegharaei, A. Use of chicken feather and eggshell to synthesize a novel magnetized activated carbon for sorption of heavy metal ions. Bioresour. Technol. 2020, 297, 122452. [Google Scholar] [CrossRef] [PubMed]
  50. Yin, W.; Zhao, C.; Xu, J.; Zhang, J.; Guo, Z.; Shao, Y. Removal of Cd(II) and Ni(II) from aqueous solutions using activated carbon developed from powder-hydrolyzed-feathers and Trapa natans husks. Colloid. Surface A 2019, 560, 426–433. [Google Scholar] [CrossRef]
  51. Li, Y.; Yu, H.; Liu, L.; Yu, H. Application of co-pyrolysis biochar for the adsorption and immobilization of heavy metals in contaminated environmental substrates. J. Hazard. Mater. 2021, 420, 126655. [Google Scholar] [CrossRef]
  52. Xiang, W.; Zhang, X.; Chen, J.; Zou, W.; He, F.; Hu, X.; Tsang, D.C.W.; Ok, Y.S.; Gao, B. Biochar technology in wastewater treatment: A critical review. Chemosphere 2020, 252, 126539. [Google Scholar] [CrossRef]
  53. Nadarajah, K.; Bandala, E.R.; Zhang, Z.; Mundree, S.; Goonetilleke, A. Removal of heavy metals from water using engineered hydrochar: Kinetics and mechanistic approach. J. Water Process Eng. 2021, 40, 101929. [Google Scholar] [CrossRef]
  54. Tong, X.; Li, J.; Yuan, J.; Xu, R. Adsorption of Cu(II) by biochars generated from three crop straws. J. Chem. Eng. 2011, 172, 828–834. [Google Scholar] [CrossRef]
  55. Wu, C.; Shi, L.; Xue, S.; Li, W.; Jiang, X.; Rajendran, M.; Qian, Z. Effect of sulfur-iron modified biochar on the available cadmium and bacterial community structure in contaminated soils. Sci. Total Environ. 2019, 647, 1158–1168. [Google Scholar] [CrossRef] [PubMed]
  56. Li, H.; Zhang, Y.; Guo, J.; Lv, J.; Huan, W.; Li, B. Preparation of hydrochar with high adsorption performance for methylene blue by co-hydrothermal carbonization of polyvinyl chloride and bamboo. Bioresour. Technol. 2021, 337, 125442. [Google Scholar] [CrossRef] [PubMed]
  57. Ling, L.; Liu, W.; Zhang, S.; Jiang, H. Magnesium Oxide Embedded Nitrogen Self-Doped Biochar Composites: Fast and High-Efficiency Adsorption of Heavy Metals in an Aqueous Solution. Environ. Sci. Technol. 2017, 51, 10081–10089. [Google Scholar] [CrossRef]
  58. Ayiania, M.; Smith, M.; Hensley, A.J.R.; Scudiero, L.; McEwen, J.; Garcia-Perez, M. Deconvoluting the XPS spectra for nitrogen-doped chars: An analysis from first principles. Carbon 2020, 162, 528–544. [Google Scholar] [CrossRef]
  59. Bayoka, H.; Snoussi, Y.; Bhakta, A.K.; El Garah, M.; Khalil, A.M.; Jouini, M.; Ammar, S.; Chehimi, M.M. Evidencing the synergistic effects of carbonization temperature, surface composition and structural properties on the catalytic activity of biochar/bimetallic composite. J. Anal. Appl. Pyrolysis 2023, 173, 106069. [Google Scholar] [CrossRef]
  60. Cao, X.; Pignatello, J.J.; Li, Y.; Lattao, C.; Chappell, M.A.; Chen, N.; Miller, L.F.; Mao, J. Characterization of Wood Chars Produced at Different Temperatures Using Advanced Solid-State 13C NMR Spectroscopic Techniques. Energy Fuels 2012, 26, 5983–5991. [Google Scholar] [CrossRef]
  61. Knicker, H.; Totsche, K.U.; Almendros, G.; González-Vila, F.J. Condensation degree of burnt peat and plant residues and the reliability of solid-state VACP MAS 13C NMR spectra obtained from pyrogenic humic material. Org. Geochem. 2005, 36, 1359–1377. [Google Scholar] [CrossRef]
  62. McBeath, A.V.; Smernik, R.J. Variation in the degree of aromatic condensation of chars. Org. Geochem. 2009, 40, 1161–1168. [Google Scholar] [CrossRef]
  63. Romero, C.M.; Redman, A.P.H.; Terry, S.A.; Hazendonk, P.; Hao, X.; McAllister, T.A.; Okine, E. Molecular speciation and aromaticity of biochar-manure: Insights from elemental, stable isotope and solid-state DPMAS 13C NMR analyses. J. Environ. Manag. 2021, 280, 111705. [Google Scholar] [CrossRef] [PubMed]
  64. Hammes, K.; Smernik, R.J.; Skjemstad, J.O.; Schmidt, M.W.I. Characterisation and evaluation of reference materials for black carbon analysis using elemental composition, colour, BET surface area and 13C NMR spectroscopy. Appl. Geochem. 2008, 23, 2113–2122. [Google Scholar] [CrossRef]
  65. McBeath, A.V.; Smernik, R.J.; Schneider, M.P.W.; Schmidt, M.W.I.; Plant, E.L. Determination of the aromaticity and the degree of aromatic condensation of a thermosequence of wood charcoal using NMR. Org. Geochem. 2011, 42, 1194–1202. [Google Scholar] [CrossRef]
  66. Fregolente, L.G.; Rodrigues, M.T.; Oliveira, N.C.; Araújo, B.S.; Nascimento, Í.V.; Filho, A.G.S.; Paula, A.J.; Costa, M.C.G.; Mota, J.C.A.; Ferreira, O.P. Effects of chemical aging on carbonaceous materials: Stability of water-dispersible colloids and their influence on the aggregation of natural-soil colloid. Sci. Total Environ. 2023, 903, 166835. [Google Scholar] [CrossRef] [PubMed]
  67. Tian, X.; He, D.; Bai, S.; Zeng, W.; Wang, Z.; Wang, M.; Wu, L.; Chen, Z. Physiological and molecular advances in magnesium nutrition of plants. Plant Soil 2021, 468, 1–17. [Google Scholar] [CrossRef]
  68. Bao, D.; Li, Z.; Tang, R.; Wan, C.; Zhang, C.; Tan, X.; Liu, X. Metal-modified sludge-based biochar enhance catalytic capacity: Characteristics and mechanism. J. Environ. Mang. 2021, 284, 112113. [Google Scholar] [CrossRef]
  69. Wang, H.; Teng, H.; Wang, X.; Xu, J.; Sheng, L. Physicochemical modification of corn straw biochar to improve performance and its application of constructed wetland substrate to treat city tail water. J. Environ. Mang. 2022, 310, 114758. [Google Scholar] [CrossRef]
Figure 1. SEM images of unmodified hydrochar WF and magnesium-modified hydrochar MWF.
Figure 1. SEM images of unmodified hydrochar WF and magnesium-modified hydrochar MWF.
Toxics 12 00356 g001
Figure 2. Fitting results of the adsorption isotherm for Cd2+ (A) and Pb2+ (B) adsorbed by WF and MWF.
Figure 2. Fitting results of the adsorption isotherm for Cd2+ (A) and Pb2+ (B) adsorbed by WF and MWF.
Toxics 12 00356 g002
Figure 3. Zeta potentials of hydrochar WF and MWF under different pH (2–6) pure water.
Figure 3. Zeta potentials of hydrochar WF and MWF under different pH (2–6) pure water.
Toxics 12 00356 g003
Figure 4. XPS spectra of hydrochar WF (A) and MWF (B) before and after adsorption of Cd2+ and Pb2+.
Figure 4. XPS spectra of hydrochar WF (A) and MWF (B) before and after adsorption of Cd2+ and Pb2+.
Toxics 12 00356 g004
Figure 5. Mechanism diagram of adsorption of Cd2+ and Pb2+ by hydrochar MWF.
Figure 5. Mechanism diagram of adsorption of Cd2+ and Pb2+ by hydrochar MWF.
Toxics 12 00356 g005
Figure 6. 13C CP/TOSS spectra of hydrochar WF and MWF.
Figure 6. 13C CP/TOSS spectra of hydrochar WF and MWF.
Toxics 12 00356 g006
Figure 7. Effects of different fertilization methods on aboveground fresh weight (A), aboveground dry weight (B), leaf length (C), leaf width (D), leaf number (E), plant height (F) and root length (G) of bok choy. Different lowercase letters in the figure indicate significant differences between treatments (p < 0.05).
Figure 7. Effects of different fertilization methods on aboveground fresh weight (A), aboveground dry weight (B), leaf length (C), leaf width (D), leaf number (E), plant height (F) and root length (G) of bok choy. Different lowercase letters in the figure indicate significant differences between treatments (p < 0.05).
Toxics 12 00356 g007
Table 1. Basic characterization of hydrochar WF and MWF.
Table 1. Basic characterization of hydrochar WF and MWF.
ProjectIndexUnitsWFMWF
Yield rate/%15.9016.76
pH//6.387.39
Elemental compositionCwt.%51.0852.03
H7.287.51
N5.557.33
S3.343.68
O a18.0312.03
Ash/wt.%14.7217.42
Elemental molar ratioH/C/1.711.73
O/C/0.260.25
Microstructure propertiesSurface aream2·g−12.0491.267
Pore volumecm3·g−10.0020.004
Pore sizenm5.71813.269
a Calculate by difference subtraction.
Table 2. Langmuir and Freundlich isotherm fitting parameters for Cd2+ and Pb2+ adsorption by hydrochar WF and MWF.
Table 2. Langmuir and Freundlich isotherm fitting parameters for Cd2+ and Pb2+ adsorption by hydrochar WF and MWF.
Adsorbate MaterialLangmuir ModelFreundlich Model
qm (mg·g−1)KL (L·g−1)R2KF
(mg1-(1/n)·L1/n·g−1)
1/nR2
CdWF7.10.0960.9501.4650.3530.986
MWF24.32.3750.95411.4960.2250.871
PbWF30.10.0320.9394.0060.3790.976
MWF65.30.9350.96326.1250.2300.820
Table 3. The surface elemental atomic ratios (%) of WF and MWF before and after adsorption of Cd2+ and Pb2+ by XPS.
Table 3. The surface elemental atomic ratios (%) of WF and MWF before and after adsorption of Cd2+ and Pb2+ by XPS.
ElementalWFWF+CdWF+PbMWFMWF+CdMWF+Pb
C85.2286.6679.5984.9485.7585.26
N3.923.473.13.213.012.49
O9.698.6916.2710.229.4710.20
S1.181.080.961.151.151.38
Mg///0.480.310.23
Cd/0.10//0.31/
Pb//0.09//0.44
Table 4. The functional group composition (%) of hydrochar based on CP/TOSS analysis.
Table 4. The functional group composition (%) of hydrochar based on CP/TOSS analysis.
Carboxyl/Carbonyl/Amide CAryl CO/N-Alkyl CAlkyl C
Hydrochar220–165 ppm165–110 ppm110–45 ppm45–0 ppm
WF7.9012.1522.0557.90
MWF10.3811.6414.1163.88
Disclaimer/Publisher’s Note: The statements, opinions and data contained in all publications are solely those of the individual author(s) and contributor(s) and not of MDPI and/or the editor(s). MDPI and/or the editor(s) disclaim responsibility for any injury to people or property resulting from any ideas, methods, instructions or products referred to in the content.

Share and Cite

MDPI and ACS Style

Deng, W.; Kuang, X.; Xu, Z.; Li, D.; Li, Y.; Zhang, Y. Adsorption of Cadmium and Lead Capacity and Environmental Stability of Magnesium-Modified High-Sulfur Hydrochar: Greenly Utilizing Chicken Feather. Toxics 2024, 12, 356. https://doi.org/10.3390/toxics12050356

AMA Style

Deng W, Kuang X, Xu Z, Li D, Li Y, Zhang Y. Adsorption of Cadmium and Lead Capacity and Environmental Stability of Magnesium-Modified High-Sulfur Hydrochar: Greenly Utilizing Chicken Feather. Toxics. 2024; 12(5):356. https://doi.org/10.3390/toxics12050356

Chicago/Turabian Style

Deng, Weiqi, Xubin Kuang, Zhaoxin Xu, Deyun Li, Yongtao Li, and Yulong Zhang. 2024. "Adsorption of Cadmium and Lead Capacity and Environmental Stability of Magnesium-Modified High-Sulfur Hydrochar: Greenly Utilizing Chicken Feather" Toxics 12, no. 5: 356. https://doi.org/10.3390/toxics12050356

APA Style

Deng, W., Kuang, X., Xu, Z., Li, D., Li, Y., & Zhang, Y. (2024). Adsorption of Cadmium and Lead Capacity and Environmental Stability of Magnesium-Modified High-Sulfur Hydrochar: Greenly Utilizing Chicken Feather. Toxics, 12(5), 356. https://doi.org/10.3390/toxics12050356

Note that from the first issue of 2016, this journal uses article numbers instead of page numbers. See further details here.

Article Metrics

Back to TopTop