Effect of S-Allyl-L-Cysteine on Nitric Oxide and Cadmium Processes in Rice (Oryza sativa L. sp. Zhongzao35) Seedlings
Abstract
1. Introduction
2. Materials and Methods
2.1. Plant Materials and Growth Conditions
2.2. Measurement of Cd and Mineral (Ca, Mg, Fe, Mn, and Zn) Contents
2.3. Measurement of MDA Contents
2.4. Measurement of GSH Contents
2.5. Measurement of Antioxidant Enzyme Activity
2.6. Analysis of Cd-Transport-Related Genes
2.7. Determination of NO Concentration in Rice Seedling Roots
2.8. Subcellular Distribution of Cd
2.9. Determination of Cd Content in Root CW Components of Rice Seedlings
2.10. Determination of Methyl Esterification Degree in Pectin Component of Root CW
2.11. Data Analysis
3. Results
3.1. Effect of SAC on Cd and Mineral Concentrations in Rice Seedlings
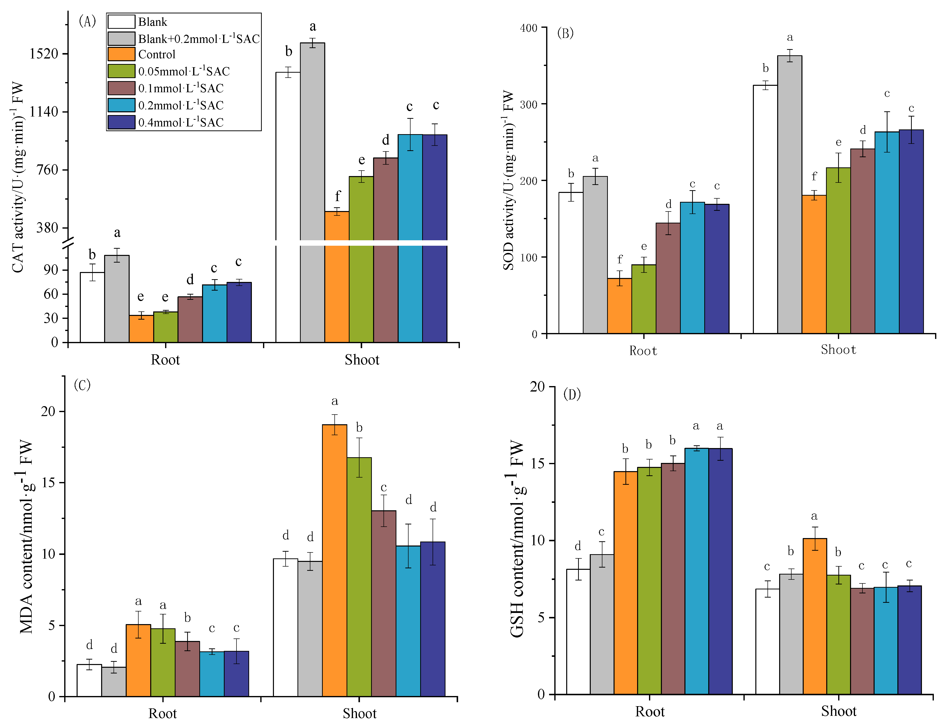
3.2. Effect of Spraying SAC on Cd Stress in Rice Seedlings
3.3. Effect of Spraying SAC on Cd Content in CW Components of Rice Seedling Roots
3.4. Effect of Spraying SAC on the Expression of Cd Uptake and Transport Genes in Rice Seedlings
3.5. Effect of Spraying SAC on NO Content in Rice Seedlings
4. Discussion
5. Conclusions
Author Contributions
Funding
Institutional Review Board Statement
Informed Consent Statement
Data Availability Statement
Acknowledgments
Conflicts of Interest
References
- Li, Q.Q.; Deng, Q.; Fang, H.Y.; Yu, X.L.; Fan, Z.M.; Du, Z.P.; Li, M.; Tao, Q.; Song, W.P.; Zhao, B.; et al. Factors affecting cadmium accumulation in the soil profiles in an urban agricultural area. Sci. Total Environ. 2022, 807, 3. [Google Scholar] [CrossRef] [PubMed]
- Li, Y.L.; Rahman, S.U.; Qiu, Z.X.; Shahzad, S.M.; Nawaz, M.F.; Huang, J.Z.; Naveed, S.; Li, L.; Wang, X.J.; Cheng, H.F. Toxic effects of cadmium on the physiological and biochemical attributes of plants, and phytoremediation strategies: A review. Environ. Pollut. 2023, 325, 121433. [Google Scholar] [CrossRef] [PubMed]
- Madrim, M.F.; Ja’afar, M.H.; Hod, R. Prevalence of abnormal urinary cadmium and risk of albuminuria as a primary bioindicator for kidney problems among a healthy population. Peer J. 2021, 9, e12014. [Google Scholar] [CrossRef] [PubMed]
- Zhou, L.F.; Teng, M.M.; Song, F.H.; Zhao, X.L.; Wu, F.C.; Meng, Y.B.; Huang, Y.Y.; Abbaspour, K.C. Integrated assessment of land-to-river Cd fluxes and riverine Cd loads using SWAT-HM to guide management strategies. J. Environ. Manag. 2023, 334, 117501. [Google Scholar] [CrossRef]
- Deng, Y.; Ren, C.; Chen, N.; Huang, Y.F.; Zhu, G.F.; Zhang, X.; Weng, L.P.; Li, Y.T. Effects of pH and phosphate on cadmium adsorption onto goethite and a paddy soil: Experiments and NOM-CD model. J. Soils Sediments 2023, 23, 2072–2082. [Google Scholar] [CrossRef]
- Wang, P.; Chen, H.; Kopittke, P.M.; Zhao, F.J. Cadmium contamination in agricultural soils of China and the impact on food safety. Environ. Pollut. 2019, 249, 1038–1048. [Google Scholar] [CrossRef]
- Chen, H.; Ye, R.; Liang, Y.; Zhang, S.C.; Liu, X.L.; Sun, C.J.; Li, F.B.; Yi, J.C. Generation of low-cadmium rice germplasms via knockout of OsLCD using CRISPR/Cas9. J. Environ. Sci. 2023, 126, 138–152. [Google Scholar] [CrossRef]
- Ishimaru, Y.; Takahashi, R.; Bashir, K.; Shimo, H.; Senoura, T.; Sugimoto, K.; Ono, K.; Yano, M.; Ishikawa, S.; Arao, T.; et al. Characterizing the role of rice NRAMP5 in Manganese, Iron and Cadmium Transport. Sci. Rep. 2012, 2, 286. [Google Scholar] [CrossRef]
- Yue, E.K.; Rong, F.X.; Liu, Z.; Ruan, S.L.; Lu, T.; Qian, H.F. Cadmium induced a non-coding RNA microRNA535 mediates Cd accumulation in rice. J. Environ. Sci. 2023, 130, 149–162. [Google Scholar] [CrossRef]
- Chang, J.D.; Huang, S.; Yamaji, N.; Zhang, W.W.; Ma, J.F.; Zhao, F.J. OsNRAMP1 transporter contributes to cadmium and manganese uptake in rice. Plant Cell Environ. 2020, 43, 2476–2491. [Google Scholar] [CrossRef]
- Zhang, L.X.; Gao, C.; Chen, C.; Zhang, W.W.; Huang, X.Y.; Zhao, F.J. Overexpression of rice OsHMA3 in wheat greatly decreases cadmium accumulation in wheat grains. Environ. Sci. Technol. 2020, 54, 10100–10108. [Google Scholar] [CrossRef] [PubMed]
- Takahashi, R.; Ishimaru, Y.; Shimo, H.; Ogo, Y.; Senoura, T.; Nishizawa, N.K.; Nakanishi, H. The OsHMA2 transporter is involved in root-to-shoot translocation of Zn and Cd in rice. Plant Cell Environ. 2012, 35, 1948–1957. [Google Scholar] [CrossRef]
- Fan, P.H.; Wu, L.W.; Wang, Q.; Wang, Y.; Luo, H.M.; Song, J.Y.; Yang, M.H.; Yao, H.; Chen, S.L. Physiological and molecular mechanisms of medicinal plants in response to cadmium stress: Current status and future perspective. J. Hazard. Mater. 2023, 450, 131008. [Google Scholar] [CrossRef] [PubMed]
- Adeosun, A.A.; Price, A.H.; Norton, G.J. Cadmium tolerance and accumulation in wild rice species. Rice Sci. 2023, 30, 181–185. [Google Scholar] [CrossRef]
- Corrionero, A.S.; Vicente, I.S.; Arteaga, N.; Gil, I.M.; Jiménez, S.G.; Quezada, I.T.; Albertos, P.; Lorenzo, O. Fine-tuned nitric oxide and hormone interface in plant root development and regeneration. J. Exp. Bot. 2022, 74, erac508. [Google Scholar] [CrossRef]
- Huang, J.; Jing, H.K.; Zhang, Y.; Chen, S.Y.; Wang, H.Y.; Cao, Y.; Zhang, Z.; Lu, Y.H.; Zheng, Q.S.; Shen, R.F.; et al. Melatonin reduces cadmium accumulation via mediating the nitric oxide accumulation and increasing the cell wall fixation capacity of cadmium in rice. J. Hazard. Mater. 2023, 5, 130529. [Google Scholar] [CrossRef]
- Pan, J.Y.; Guan, M.Y.; Xu, P.; Chen, M.X.; Cao, Z.Z. Salicylic acid reduces cadmium accumulation in rice (Oryza sativa L.) by regulating root cell wall composition via nitric oxide signaling. Sci. Total Environ. 2021, 797, 149202. [Google Scholar] [CrossRef]
- Xiong, J.; An, L.Y.; Lu, H.; Zhu, C. Exogenous nitric oxide enhances cadmium tolerance of rice by increasing pectin and hemicellulose contents in root cell wall. Planta 2009, 230, 755–765. [Google Scholar] [CrossRef]
- Singh, A.P.; Dixit, G.; Kumar, A.; Mishra, S.; Kumar, N.; Dixit, S.; Singh, P.K.; Dwivedi, S.; Trivedi, P.K.; Pandey, V.; et al. A protective role for nitric oxide and salicylic acid for arsenite phytotoxicity in rice (Oryza sativa L.). Plant Physiol. Biochem. 2017, 115, 163–173. [Google Scholar] [CrossRef]
- Zveushe, O.K.; Ling, Q.; Li, X.; Sajid, S.; Dios, V.R.d.; Nabi, F.; Han, Y.; Dong, F.; Zeng, F.; Zhou, L.; et al. Reduction of Cd uptake in rice (Oryza sativa) grain using different field management practices in alkaline Soils. Foods 2023, 12, 314. [Google Scholar] [CrossRef]
- Sebastian, A.; Prasad, M. Exogenous citrate and malate alleviate cadmium stress in Oryza sativa L.: Probing role of cadmium localization and iron nutrition. Ecotoxicol. Environ. Saf. 2018, 166, 215–222. [Google Scholar] [CrossRef]
- García, E.; Villeda-Hernández, J.; Pedraza-Chaverrí, J.; Maldonado, P.D.; Santamaría, A. S-allylcysteine reduces the MPTP-induced striatal cell damage via inhibition of pro-inflammatory cytokine tumor necrosis factor-α and inducible nitric oxide synthase expressions in mice. Phytomedicine 2010, 8, 65–73. [Google Scholar] [CrossRef] [PubMed]
- Kosuge, Y. Neuroprotective mechanisms of S-allyl-L-cysteine in neurological disease (Review). Exp. Ther. Med. 2020, 19, 1565–1569. [Google Scholar] [CrossRef] [PubMed]
- Sharma, K.; Rani, V. Therapeutic potential of stable organosulfur compounds of aged garlic. Cardiovasc. Hematol. Agents Med. Chem. 2023, 21, 84–95. [Google Scholar] [CrossRef] [PubMed]
- Agbana, Y.L.; Ni, Y.; Zhou, M.; Zhang, Q.; Kassegne, K.; Karou, S.D.; Kuang, Y.; Zhu, Y. Garlic-derived bioactive compound S-allylcysteine inhibits cancer progression through diverse molecular mechanisms. Nutr. Res. 2020, 73, 1–14. [Google Scholar] [CrossRef] [PubMed]
- Woo, H.J.; Cha, G.S.; Kang, M.J.; Kyung, K.H. Assessment of standardization of domestic commercial black garlic extract for S-allyl-L-cysteine and S-1-propenyl-L-cysteine. Food Sci. Biotechnol. 2022, 31, 253–260. [Google Scholar] [CrossRef]
- Yan, C.K.; Hu, X.M.; Zeng, F.D. Synthesis and cholesterol-lowering activity of S-allylcysteine. Chin. J. New Drugs 2006, 15, 616–620. [Google Scholar]
- van Delden, S.H.; Nazarideljou, M.J.; Marcelis, L.F.M. Nutrient solutions for Arabidopsis thaliana: A study on nutrient solution composition in hydroponics systems. Plant Methods 2020, 16, 72. [Google Scholar] [CrossRef]
- Yu, X.X.; Zhao, J.T.; Ding, Z.D.; Xiong, F.; Liu, X.Q.; Tian, J.; Wu, N.F. Cadmium-absorptive Bacillus vietnamensis 151-6 reduces the grain cadmium accumulation in rice (Oryza sativa L.): Potential for cadmium bioremediation. Ecotoxicol. Environ. Saf. 2023, 254, 114760. [Google Scholar] [CrossRef]
- Ding, X.M.; Wu, Y.J.; Wang, J.F. Effects of waste cement on the extractability of Cd, soil Enzyme activities, cadmium accumulation, activities of antioxidant enzymes, and malondialdehyde (MDA) content in lettuce. Appl. Sci. 2023, 13, 8254. [Google Scholar] [CrossRef]
- Shao, J.F.; Xia, J.; Yamaji, N.; Shen, R.F.; Ma, J.F. Effective reduction of cadmium accumulation in rice grain by expressing OsHMA3 under the control of the OsHMA2 promoter. J. Exp. Bot. 2018, 69, 2743–2752. [Google Scholar] [CrossRef] [PubMed]
- Ghorbani, A.; Pishkar, L.; Roodbari, N.; Pehlivan, N.; Wu, C. Nitric oxide could allay arsenic phytotoxicity in tomato (Solanum lycopersicum L.) by modulating photosynthetic pigments, phytochelatin metabolism, molecular redox status and arsenic sequestration. Plant Physiol. Bioch. 2021, 167, 337–348. [Google Scholar] [CrossRef] [PubMed]
- Zhang, Q.; Huang, D.Y.; Xu, C.; Zhu, H.H.; Feng, R.W.; Zhu, Q.H. Fe fortification limits rice Cd accumulation by promoting root cell wall chelation and reducing the mobility of Cd in xylem. Ecotoxicol. Environ. Saf. 2022, 240, 13700. [Google Scholar] [CrossRef]
- Wang, L.Z.; Wu, K.Y.; Liu, Z.Q.; Li, Z.F.; Shen, J.; Wu, Z.H.; Liu, H.; You, L.X.; Yang, G.D.; Rensing, C.; et al. Selenite reduced uptake/translocation of cadmium via regulation of assembles and interactions of pectins, hemicelluloses, lignins, callose and Casparian strips in rice roots. J. Hazard. Mater. 2023, 448, 130812. [Google Scholar] [CrossRef]
- Liang, X.; Ou, Y.Q.; Zhao, H.C.; Qian, R.Y.; Sun, C.L.; Lin, X.Y. Short-chain aldehydes increase aluminum retention and sensitivity by enhancing cell wall polysaccharide contents and pectin demethylation in wheat seedlings. J. Hazard. Mater. 2022, 433, 128743. [Google Scholar] [CrossRef]
- Zhang, Z.W.; Deng, Z.L.; Tao, Q.; Peng, H.Q.; Wu, F.; Fu, Y.F.; Yang, X.Y.; Xu, P.Z.; Li, Y.; Wang, C.Q.; et al. Salicylate and glutamate mediate different Cd accumulation and tolerance between Brassica napus and B. Juncea. Chemosphere 2022, 292, 133466. [Google Scholar] [CrossRef]
- Liu, J.; Fan, X.T.; Jiang, Y.Y.; Ni, J.; Mo, A.; Cai, M.H.; Li, T.; Wang, Y.Q.; He, P.S.; Hu, S.Y.; et al. Strontium alleviated the growth inhibition and toxicity caused by cadmium in rice seedlings. Sci. Total Environ. 2023, 904, 166948. [Google Scholar] [CrossRef] [PubMed]
- Mori, I.C.; Arias-Barreiro, C.R.; Ooi, L.; Lee, N.H.; Sobahan, M.A.; Nakamura, Y.; Hirai, Y.; Murata, Y. Cadmium uptake via apoplastic bypass flow in Oryza sativa. J. Plant Res. 2021, 134, 1139–1148. [Google Scholar] [CrossRef]
- Sasaki, A.; Yamaji, N.; Ma, J.F. Overexpression of OsHMA3 enhances Cd tolerance and expression of Zn transporter genes in rice. J. Exp. Bot. 2014, 65, 6013–6021. [Google Scholar] [CrossRef]
- Wu, X.W.; Song, H.X.; Guan, C.Y.; Zhang, Z.H. Boron alleviates cadmium toxicity in Brassica napus by promoting the chelation of cadmium onto the root cell wall components. Sci. Total Environ. 2020, 728, 138833. [Google Scholar] [CrossRef]
- Gu, Y.; Rasmussen, C.G. Cell biology of primary cell wall synthesis in plants. Plant Cell 2022, 34, 103–128. [Google Scholar] [CrossRef] [PubMed]
- Riaz, M.; Kamran, M.; Fahad, S.; Xiurong Wang, X.R. Nano-silicon mediated alleviation of Cd toxicity by cell wall adsorption and antioxidant defense system in rice seedlings. Plant Soil 2023, 486, 103–117. [Google Scholar] [CrossRef]
- Singh, V.P.; Singh, S.; Kumar, J.; Prasad, S.M. Hydrogen sulfide alleviates toxic effects of arsenate in pea seedlings through up-regulation of the ascorbate–glutathione cycle: Possible involvement of nitric oxide. J. Plant Physiol. 2015, 181, 20–29. [Google Scholar] [CrossRef] [PubMed]






Disclaimer/Publisher’s Note: The statements, opinions and data contained in all publications are solely those of the individual author(s) and contributor(s) and not of MDPI and/or the editor(s). MDPI and/or the editor(s) disclaim responsibility for any injury to people or property resulting from any ideas, methods, instructions or products referred to in the content. |
© 2024 by the authors. Licensee MDPI, Basel, Switzerland. This article is an open access article distributed under the terms and conditions of the Creative Commons Attribution (CC BY) license (https://creativecommons.org/licenses/by/4.0/).
Share and Cite
Huo, X.; Wang, C.; Huang, Y.; Kong, W.; Wang, X. Effect of S-Allyl-L-Cysteine on Nitric Oxide and Cadmium Processes in Rice (Oryza sativa L. sp. Zhongzao35) Seedlings. Toxics 2024, 12, 805. https://doi.org/10.3390/toxics12110805
Huo X, Wang C, Huang Y, Kong W, Wang X. Effect of S-Allyl-L-Cysteine on Nitric Oxide and Cadmium Processes in Rice (Oryza sativa L. sp. Zhongzao35) Seedlings. Toxics. 2024; 12(11):805. https://doi.org/10.3390/toxics12110805
Chicago/Turabian StyleHuo, Xingyu, Changrong Wang, Yongchun Huang, Weiyong Kong, and Xiaoli Wang. 2024. "Effect of S-Allyl-L-Cysteine on Nitric Oxide and Cadmium Processes in Rice (Oryza sativa L. sp. Zhongzao35) Seedlings" Toxics 12, no. 11: 805. https://doi.org/10.3390/toxics12110805
APA StyleHuo, X., Wang, C., Huang, Y., Kong, W., & Wang, X. (2024). Effect of S-Allyl-L-Cysteine on Nitric Oxide and Cadmium Processes in Rice (Oryza sativa L. sp. Zhongzao35) Seedlings. Toxics, 12(11), 805. https://doi.org/10.3390/toxics12110805
