Deep Learning-Based Automatic Duckweed Counting Using StarDist and Its Application on Measuring Growth Inhibition Potential of Rare Earth Elements as Contaminants of Emerging Concerns
Abstract
1. Introduction
2. Material and Methods
2.1. Duckweed Culture
2.2. Preparation of Stock Solution
2.3. Toxicity Test and Image Acquisition
2.4. Image Training by StarDist
2.5. Duckweed Detection and Counting
2.6. Mass Data Processing Using Python-Based Scripts
2.7. Statistical Tests
3. Results
3.1. Overview of Experimental Workflow
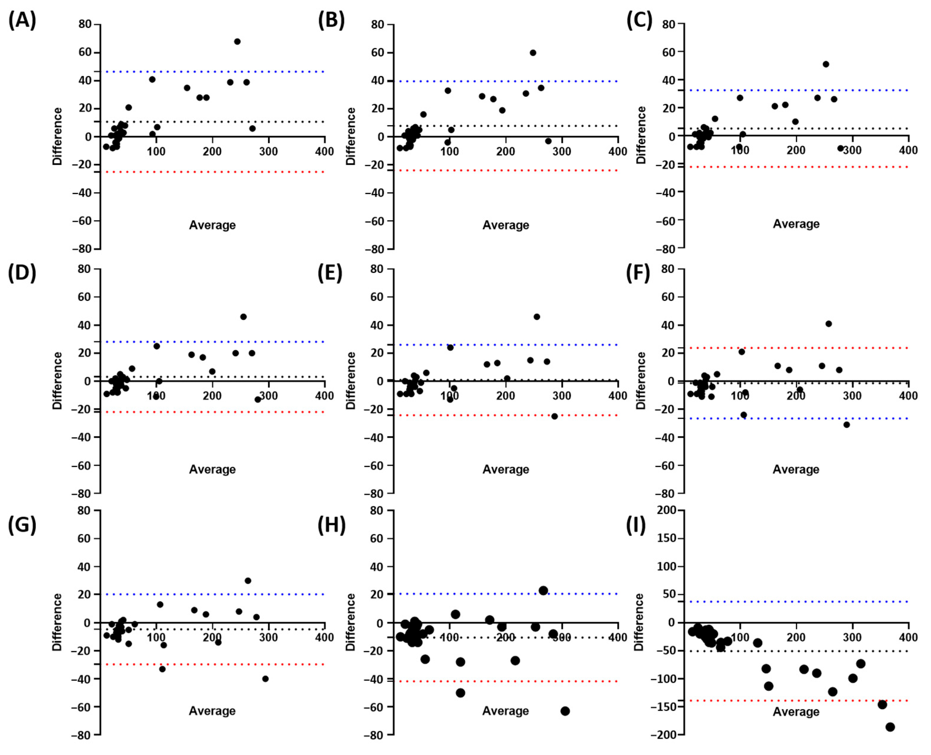
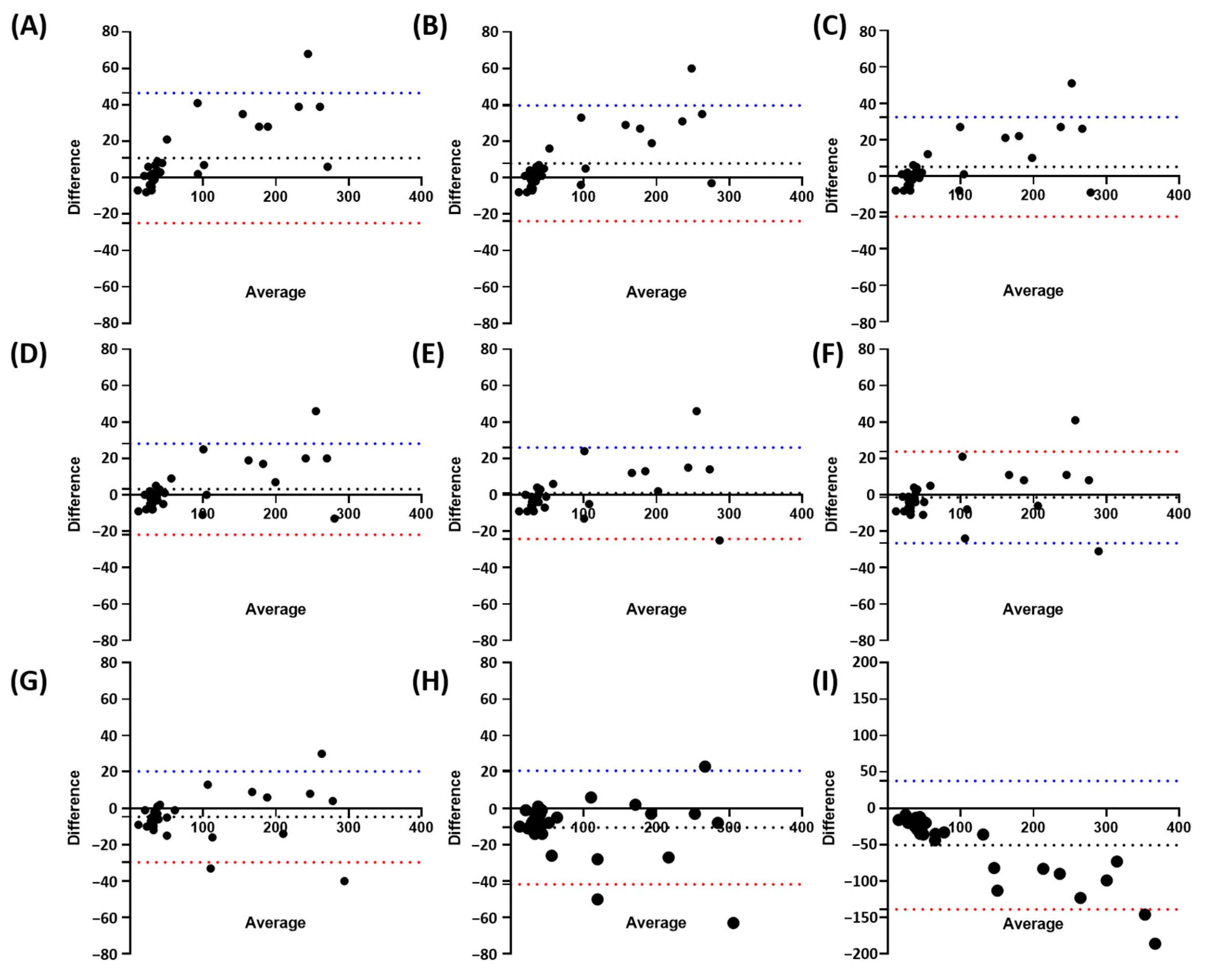
3.2. Segmentation Performance for Common Watermeal (Wolffia globosa)
3.3. Determining the Optimal Overlap/Non-Maximum Suppression (NMS) Threshold for Wolffia globosa Detection Using StarDist 2D
3.4. Optimized StarDist Model for Duckweed Growth Inhibition Assay
3.5. Exposure to Rare Earth Elements Alters Wolffia globosa Growth Rate
4. Discussion
5. Conclusions
Supplementary Materials
Author Contributions
Funding
Data Availability Statement
Acknowledgments
Conflicts of Interest
References
- Vandermeersch, G.; Lourenço, H.M.; Alvarez-Muñoz, D.; Cunha, S.; Diogène, J.; Cano-Sancho, G.; Sloth, J.J.; Kwadijk, C.; Barcelo, D.; Allegaert, W. Environmental contaminants of emerging concern in seafood–European database on contaminant levels. Environ. Res. 2015, 143, 29–45. [Google Scholar] [CrossRef] [PubMed]
- Espinoza-Montero, P.J.; Vega-Verduga, C.; Alulema-Pullupaxi, P.; Fernández, L.; Paz, J.L. Technologies Employed in the Treatment of Water Contaminated with Glyphosate: A Review. Molecules 2020, 25, 5550. [Google Scholar] [CrossRef] [PubMed]
- Geng, Y.; Jiang, L.; Zhang, D.; Liu, B.; Zhang, J.; Cheng, H.; Wang, L.; Peng, Y.; Wang, Y.; Zhao, Y. Glyphosate, aminomethylphosphonic acid, and glufosinate ammonium in agricultural groundwater and surface water in China from 2017 to 2018: Occurrence, main drivers, and environmental risk assessment. Sci. Total Environ. 2021, 769, 144396. [Google Scholar] [CrossRef] [PubMed]
- Bridi, D.; Altenhofen, S.; Gonzalez, J.B.; Reolon, G.K.; Bonan, C.D. Glyphosate and Roundup® alter morphology and behavior in zebrafish. Toxicology 2017, 392, 32–39. [Google Scholar] [CrossRef]
- Xiong, G.; Deng, Y.; Li, J.; Cao, Z.; Liao, X.; Liu, Y.; Lu, H. Immunotoxicity and transcriptome analysis of zebrafish embryos in response to glufosinate-ammonium exposure. Chemosphere 2019, 236, 124423. [Google Scholar] [CrossRef]
- Malhotra, N.; Hsu, H.-S.; Liang, S.-T.; Roldan, M.J.M.; Lee, J.-S.; Ger, T.-R.; Hsiao, C.-D. An updated review of toxicity effect of the rare earth elements (REEs) on aquatic organisms. Animals 2020, 10, 1663. [Google Scholar] [CrossRef]
- Ali, Z.; Waheed, H.; Kazi, A.G.; Hayat, A.; Ahmad, M. Duckweed: An efficient hyperaccumulator of heavy metals in water bodies. In Plant Metal Interaction; Elsevier: Amsterdam, The Netherlands, 2016; pp. 411–429. [Google Scholar]
- Landolt, E. Biosystematic Investigations in the Family of Duckweeds (Lemnaceae); Veröffentlichungen des Geobotanischen Institutes der ETH, Stiftung Rübel: Zürich, Switzerland, 1980. [Google Scholar]
- Sree, K.S.; Bog, M.; Appenroth, K.J. Taxonomy of duckweeds (Lemnaceae), potential new crop plants. Emir. J. Food Agric. 2016, 28, 291–302. [Google Scholar] [CrossRef]
- Baudo, R.; Foudoulakis, M.; Arapis, G.; Perdaen, K.; Lanneau, W.; Paxinou, A.-C.; Kouvdou, S.; Persoone, G. History and sensitivity comparison of the Spirodela polyrhiza microbiotest and Lemna toxicity tests. Knowl. Manag. Aquat. Ecosyst. 2015, 416, 23. [Google Scholar] [CrossRef]
- Xu, Y.; Ma, S.; Huang, M.; Peng, M.; Bog, M.; Sree, K.S.; Appenroth, K.-J.; Zhang, J. Species distribution, genetic diversity and barcoding in the duckweed family (Lemnaceae). Hydrobiologia 2015, 743, 75–87. [Google Scholar] [CrossRef]
- Hillman, W.S.; Culley, D.D. The uses of duckweed: The rapid growth, nutritional value, and high biomass productivity of these floating plants suggest their use in water treatment, as feed crops, and in energy-efficient farming. Am. Sci. 1978, 66, 442–451. [Google Scholar]
- Tang, J.; Zhang, Y.; Cui, Y.; Ma, J. Effects of a rhizobacterium on the growth of and chromium remediation by Lemna minor. Environ. Sci. Pollut. Res. 2015, 22, 9686–9693. [Google Scholar] [CrossRef]
- Hillman, W.S. The Lemnaceae, or duckweeds. Bot. Rev. 1961, 27, 221–287. [Google Scholar] [CrossRef]
- Shoji, R. Effect of dissolved organic matter source on phytotoxicity to Lemna aequinoctialis. Aquat. Toxicol. 2008, 87, 210–214. [Google Scholar] [CrossRef]
- Blinová, L.; Bartošová, A.; Sirotiak, M. Unconventional type of biomass suitable for the production of biofuels. Adv. Mater. Res. 2014, 860, 514–517. [Google Scholar] [CrossRef]
- Radić, S.; Babić, M.; Škobić, D.; Roje, V.; Pevalek-Kozlina, B. Ecotoxicological effects of aluminum and zinc on growth and antioxidants in Lemna minor L. Ecotoxicol. Environ. Saf. 2010, 73, 336–342. [Google Scholar] [CrossRef]
- Wang, W.; Williams, J.M. Screening and biomonitoring of industrial effluents using phytotoxicity tests. Environ. Toxicol. Chem. Int. J. 1988, 7, 645–652. [Google Scholar] [CrossRef]
- Wang, W.; Williams, J.M. The use of phytotoxicity tests (common duckweed, cabbage, and millet) for determining effluent toxicity. Environ. Monit. Assess. 1990, 14, 45–58. [Google Scholar] [CrossRef]
- Hartman, W.A.; Martin, D.B. Effect of suspended bentonite clay on the acute toxicity of glyphosate to Daphnia pulex and Lemna minor. Bull. Environ. Contam. Toxicol. 1984, 33, 355–361. [Google Scholar] [CrossRef]
- Fekete, A.; Riemer, D.; Motto, H. A bioassay using common duckweed to evaluate the release of available phosphorus from pond sediments. J. Aquat. Plant Manag. 1976, 14, 19–25. [Google Scholar]
- Grag, P.; Chandra, P. The duckweed Wolffia globosa as an indicator of heavy metal pollution: Sensitivity to Cr and Cd. Environ. Monit. Assess. 1994, 29, 89–95. [Google Scholar] [CrossRef]
- Ifayefunmi, O.S.; Mirseabasov, O.A.; Synzynys, B.I. Indirect assessment of internal irradiation from tritium decay on Lemna minor duckweed. Nucl. Eng. Technol. 2021, 53, 1991–1999. [Google Scholar] [CrossRef]
- Cayuela, M.L.; Millner, P.; Slovin, J.; Roig, A. Duckweed (Lemna gibba) growth inhibition bioassay for evaluating the toxicity of olive mill wastes before and during composting. Chemosphere 2007, 68, 1985–1991. [Google Scholar] [CrossRef] [PubMed]
- Oláh, V.; Hepp, A.; Vaca, N.Y.G.; Tamás, M.; Mészáros, I. Retrospective analyses of archive phytotoxicity test data can help in assessing internal dynamics and stability of growth in laboratory duckweed cultures. Aquat. Toxicol. 2018, 201, 40–46. [Google Scholar] [CrossRef] [PubMed]
- Jansen, M.; Nagel, K. LemnaTec Scanalyzer a Versatile Tool for Duckweed Research and Testing. Duckweed Forum 2016, 4, 272–303. [Google Scholar]
- Haffner, O.; Kučera, E.; Drahoš, P.; Cigánek, J.; Kozáková, A.; Urminská, B. Lemna minor bioassay evaluation using computer image analysis. Water 2020, 12, 2207. [Google Scholar] [CrossRef]
- Sparavigna, A.C. On the Use of ImageJ Segmentation. Available online: https://zenodo.org/record/3629411 (accessed on 5 June 2023).
- Boonyapookana, B.; Upatham, E.S.; Kruatrachue, M.; Pokethitiyook, P.; Singhakaew, S. Phytoaccumulation and Phytotoxicity of Cadmium and Chromium in Duckweed Wolffia globosa. Int. J. Phytoremediation 2002, 4, 87–100. [Google Scholar] [CrossRef]
- Shi, J.; Abid, A.D.; Kennedy, I.M.; Hristova, K.R.; Silk, W.K. To duckweeds (Landoltia punctata), nanoparticulate copper oxide is more inhibitory than the soluble copper in the bulk solution. Environ. Pollut. 2011, 159, 1277–1282. [Google Scholar] [CrossRef]
- Tabou, T.T.; Baya, D.T.; Eyul’anki, D.M.; Vasel, J.L. Monitoring the influence of light intensity on the growth and mortality of duckweed (Lemna minor) through digital images processing. Biotechnol. Agron. Soc. Environ. 2014, 18, 37–48. [Google Scholar]
- Yamakawa, Y.; Jog, R.; Morikawa, M. Effects of co-inoculation of two different plant growth-promoting bacteria on duckweed. Plant Growth Regul. 2018, 86, 287–296. [Google Scholar] [CrossRef]
- Tsui, T.-H.; van Loosdrecht, M.C.M.; Dai, Y.; Tong, Y.W. Machine learning and circular bioeconomy: Building new resource efficiency from diverse waste streams. Bioresour. Technol. 2023, 369, 128445. [Google Scholar] [CrossRef]
- Smith, M.A.; Westerling-Bui, T.; Wilcox, A.; Schwartz, J. Screening for bone marrow cellularity changes in cynomolgus macaques in toxicology safety studies using artificial intelligence models. Toxicol. Pathol. 2021, 49, 905–911. [Google Scholar] [CrossRef]
- Kurnia, K.A.; Sampurna, B.P.; Audira, G.; Juniardi, S.; Vasquez, R.D.; Roldan, M.J.M.; Tsao, C.-C.; Hsiao, C.-D. Performance Comparison of Five Methods for Tetrahymena Number Counting on the ImageJ Platform: Assessing the Built-in Tool and Machine-Learning-Based Extension. Int. J. Mol. Sci. 2022, 23, 6009. [Google Scholar] [CrossRef]
- Schmidt, U.; Weigert, M.; Broaddus, C.; Gene, M. Cell Detection with Star-Convex Polygons. In Proceedings of the Medical Image Computing and Computer Assisted Intervention-{MICCAI} 2018—21st International Conference, Granada, Spain, 16–20 September 2018; pp. 265–273. [Google Scholar]
- Weigert, M.; Schmidt, U.; Haase, R.; Sugawara, K.; Myers, G. Star-convex Polyhedra for 3D Object Detection and Segmentation in Microscopy. In Proceedings of the IEEE Winter Conference on Applications of Computer Vision (WACV), Snowmass, CO, USA, 1–5 March 2020. [Google Scholar]
- Lin, Y.-T.; Liu, R.-X.; Audira, G.; Suryanto, M.E.; Roldan, M.J.M.; Lee, J.-S.; Ger, T.-R.; Hsiao, C.-D. Lanthanides Toxicity in Zebrafish Embryos Are Correlated to Their Atomic Number. Toxics 2022, 10, 336. [Google Scholar] [CrossRef]
- Kostopoulou, S.; Ntatsi, G.; Arapis, G.; Aliferis, K.A. Assessment of the effects of metribuzin, glyphosate, and their mixtures on the metabolism of the model plant Lemna minor L. applying metabolomics. Chemosphere 2020, 239, 124582. [Google Scholar] [CrossRef]
- Michel, A.; Johnson, R.D.; Duke, S.O.; Scheffler, B.E. Dose-response relationships between herbicides with different modes of action and growth of Lemna paucicostata: An improved ecotoxicological method. Environ. Toxicol. Chem. 2004, 23, 1074–1079. [Google Scholar] [CrossRef]
- Schönbrunn, E.; Eschenburg, S.; Shuttleworth, W.A.; Schloss, J.V.; Amrhein, N.; Evans, J.N.S.; Kabsch, W. Interaction of the herbicide glyphosate with its target enzyme 5-enolpyruvylshikimate 3-phosphate synthase in atomic detail. Proc. Natl. Acad. Sci. USA 2001, 98, 1376–1380. [Google Scholar] [CrossRef]
- Takano, H.K.; Dayan, F.E. Glufosinate-ammonium: A review of the current state of knowledge. Pest Manag. Sci. 2020, 76, 3911–3925. [Google Scholar] [CrossRef]
- Sikorski, Ł.; Baciak, M.; Bęś, A.; Adomas, B. The effects of glyphosate-based herbicide formulations on Lemna minor, a non-target species. Aquat. Toxicol. 2019, 209, 70–80. [Google Scholar] [CrossRef]
- Eker, S.; Ozturk, L.; Yazici, A.; Erenoglu, B.; Romheld, V.; Cakmak, I. Foliar-Applied Glyphosate Substantially Reduced Uptake and Transport of Iron and Manganese in Sunflower (Helianthus annuus L.) Plants. J. Agric. Food Chem. 2006, 54, 10019–10025. [Google Scholar] [CrossRef] [PubMed]
- Fuchs, M.A.; Geiger, D.R.; Reynolds, T.L.; Bourque, J.E. Mechanisms of glyphosate toxicity in velvetleaf (Abutilon theophrasti medikus). Pestic. Biochem. Physiol. 2002, 74, 27–39. [Google Scholar] [CrossRef]
- Reddy, K.N.; Rimando, A.M.; Duke, S.O. Aminomethylphosphonic Acid, a Metabolite of Glyphosate, Causes Injury in Glyphosate-Treated, Glyphosate-Resistant Soybean. J. Agric. Food Chem. 2004, 52, 5139–5143. [Google Scholar] [CrossRef] [PubMed]
- Brown, P.H.; Rathjen, A.H.; Graham, R.D.; Tribe, D.E. Rare earth elements in biological systems. Handb. Phys. Chem. Rare Earths 1990, 13, 423–452. [Google Scholar]
- Zicari, M.A.; d’Aquino, L.; Paradiso, A.; Mastrolitti, S.; Tommasi, F. Effect of cerium on growth and antioxidant metabolism of Lemna minor L. Ecotoxicol. Environ. Saf. 2018, 163, 536–543. [Google Scholar] [CrossRef] [PubMed]
- Blinova, I.; Muna, M.; Heinlaan, M.; Lukjanova, A.; Kahru, A. Potential hazard of lanthanides and lanthanide-based nanoparticles to aquatic ecosystems: Data gaps, challenges and future research needs derived from bibliometric analysis. Nanomaterials 2020, 10, 328. [Google Scholar] [CrossRef]









| Plant Species | Endpoints | Manual/Auto | Software and References |
|---|---|---|---|
| Wolffia globosa | Duckweed fronds counting based on the size and shape of objects | Automatic | QuPath (pre-training) and StarDist (Training and processing) (This study) |
| Wolffia globosa | EC50 determination through biomass weight | Manual | None [29] |
| Lemna gibba | Duckweed frond counting based on image recording and frond area interpretation based on color intensity | Automatic | Nikon ACT-2U (Area measurement) and Assess: Image Analysis Software for Plant Disease Quantification (Frond area interpretation) [24] |
| Lemna minor | Differentiation between live and dead duckweed | Automatic | NI Vision Assistant [27] |
| Landoltia punctata | Manual counting using a magnifying glass | Manual | None [30] |
| Lemna minor | Differentiation between live and dead duckweed and counting | Automatic | ACD-See (pre-processing) and Image Pro-Plus (processing) [31] |
| Lemna minor | Duckweed fronds counting | Manual | None [32] |
| Compound | Atomic Number | Valence Electron | Group | Day 7 IC50 (ppm) | Ln Milliken Charge | Aromatic Cavg Charge |
|---|---|---|---|---|---|---|
| Glyphosate | - | - | Herbicide | 36.4 | - | - |
| Glufosinate | - | - | Herbicide | 34.0 | - | - |
| Lanthanum | 57 | 5d16s2 | LREE | 31.9 | 1.900 | −0.432 |
| Cerium | 58 | 4f15d16s2 | LREE | 21.3 | 1.905 | −0.434 |
| Praseodymium | 59 | 4f36s2 | LREE | 117.8 | 1.980 | −0.441 |
| Neodymium | 60 | 4f46s2 | LREE | 82.7 | 1.938 | −0.439 |
| Samarium | 62 | 4f66s2 | LREE | 279.4 | 1.946 | −0.443 |
| Europium | 63 | 4f76s2 | LREE | 158.2 | 1.877 | −0.443 |
| Gadolinium | 64 | 4f75d16s2 | LREE | 122.4 | 2.158 | −0.455 |
| Terbium | 65 | 4f96s2 | HREE | 260.3 | 2.190 | −0.45 |
| Dysprosium | 66 | 4f106s2 | HREE | 14.6 | 2.138 | −0.454 |
| Holmium | 67 | 4f116s2 | HREE | 16.5 | 2.168 | −0.458 |
| Erbium | 68 | 4f126s2 | HREE | 15.5 | 2.175 | −0.461 |
| Thulium | 69 | 4f136s2 | HREE | 146.3 | 2.117 | −0.461 |
| Ytterbium | 70 | 4f146s2 | HREE | 195.8 | 2.004 | −0.455 |
| Lutetium | 71 | 4f145d16s2 | HREE | 187.9 | 2.254 | −0.460 |
Disclaimer/Publisher’s Note: The statements, opinions and data contained in all publications are solely those of the individual author(s) and contributor(s) and not of MDPI and/or the editor(s). MDPI and/or the editor(s) disclaim responsibility for any injury to people or property resulting from any ideas, methods, instructions or products referred to in the content. |
© 2023 by the authors. Licensee MDPI, Basel, Switzerland. This article is an open access article distributed under the terms and conditions of the Creative Commons Attribution (CC BY) license (https://creativecommons.org/licenses/by/4.0/).
Share and Cite
Kurnia, K.A.; Lin, Y.-T.; Farhan, A.; Malhotra, N.; Luong, C.T.; Hung, C.-H.; Roldan, M.J.M.; Tsao, C.-C.; Cheng, T.-S.; Hsiao, C.-D. Deep Learning-Based Automatic Duckweed Counting Using StarDist and Its Application on Measuring Growth Inhibition Potential of Rare Earth Elements as Contaminants of Emerging Concerns. Toxics 2023, 11, 680. https://doi.org/10.3390/toxics11080680
Kurnia KA, Lin Y-T, Farhan A, Malhotra N, Luong CT, Hung C-H, Roldan MJM, Tsao C-C, Cheng T-S, Hsiao C-D. Deep Learning-Based Automatic Duckweed Counting Using StarDist and Its Application on Measuring Growth Inhibition Potential of Rare Earth Elements as Contaminants of Emerging Concerns. Toxics. 2023; 11(8):680. https://doi.org/10.3390/toxics11080680
Chicago/Turabian StyleKurnia, Kevin Adi, Ying-Ting Lin, Ali Farhan, Nemi Malhotra, Cao Thang Luong, Chih-Hsin Hung, Marri Jmelou M. Roldan, Che-Chia Tsao, Tai-Sheng Cheng, and Chung-Der Hsiao. 2023. "Deep Learning-Based Automatic Duckweed Counting Using StarDist and Its Application on Measuring Growth Inhibition Potential of Rare Earth Elements as Contaminants of Emerging Concerns" Toxics 11, no. 8: 680. https://doi.org/10.3390/toxics11080680
APA StyleKurnia, K. A., Lin, Y.-T., Farhan, A., Malhotra, N., Luong, C. T., Hung, C.-H., Roldan, M. J. M., Tsao, C.-C., Cheng, T.-S., & Hsiao, C.-D. (2023). Deep Learning-Based Automatic Duckweed Counting Using StarDist and Its Application on Measuring Growth Inhibition Potential of Rare Earth Elements as Contaminants of Emerging Concerns. Toxics, 11(8), 680. https://doi.org/10.3390/toxics11080680

